Assessing the Interactive Effects of High Salinity and Stocking Density on the Growth and Stress Physiology of the Pacific White Shrimp Litopenaeus vannamei
Abstract
1. Introduction
2. Materials and Methods
2.1. Experimental Animals
2.2. Experimental Design and Samples Collection
2.3. Determination of Enzyme Activity
2.4. Quantitative Real-Time PCR
2.5. Growth Performance
2.6. Nitrogen Balance
2.7. Energy Balance Measurement
2.8. Statistical Analysis
3. Results
3.1. Digestive Enzyme
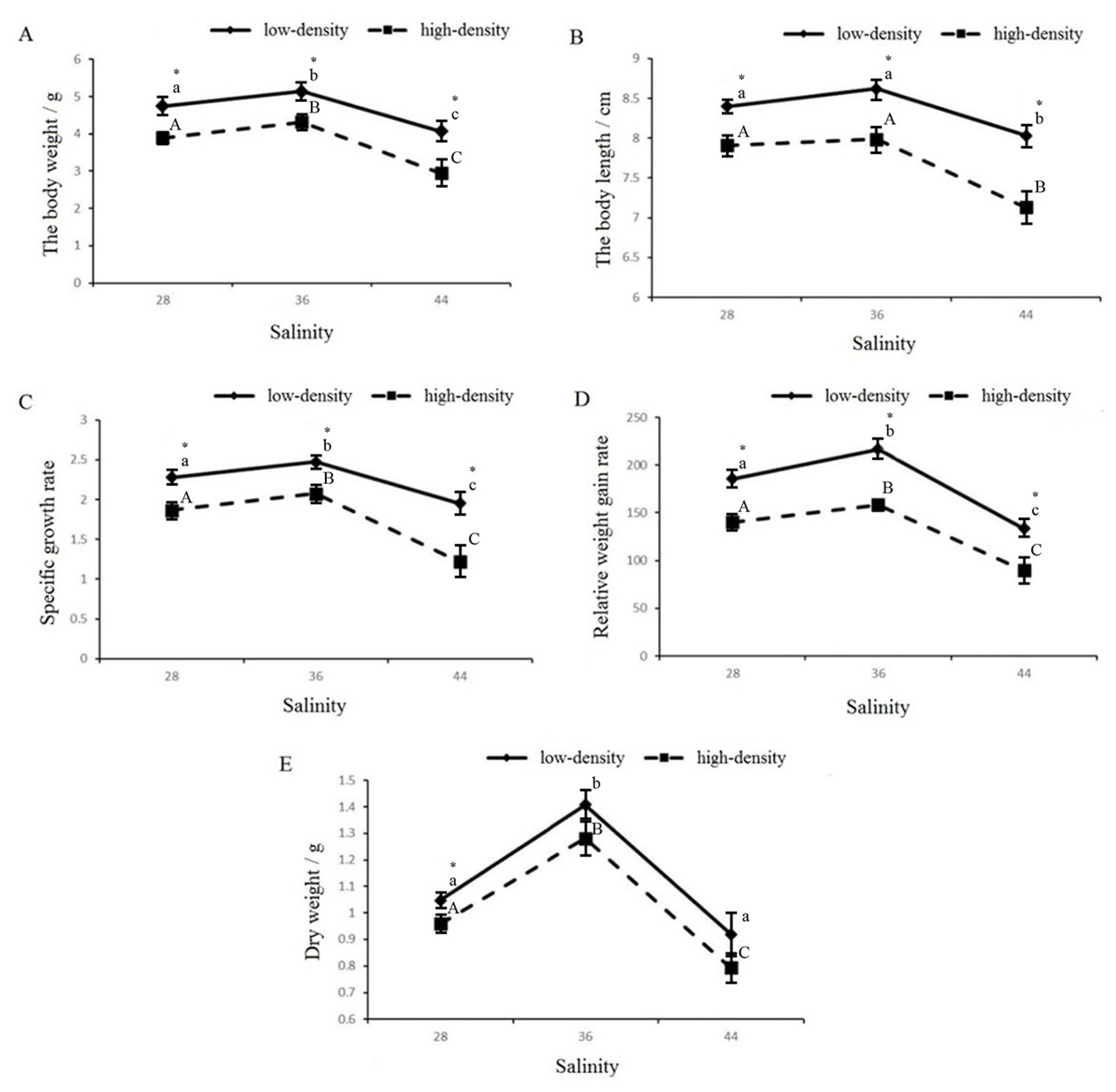
3.2. Growth
3.3. Growth-Related Genes
3.4. Molting-Related Genes
3.5. Energy-Related Genes
3.6. Energy Balance
4. Discussion
4.1. Effects of High Salinity and Stocking Density Stress on Digestive Enzyme Activity
4.2. Effects of High Salinity and Culture Density Stress on Growth
4.3. Effects of High Salinity and Culture Density Stress on Energy Balance
5. Conclusions
Author Contributions
Funding
Institutional Review Board Statement
Data Availability Statement
Acknowledgments
Conflicts of Interest
References
- Cheng, K.M.; Hu, C.Q.; Liu, Y.N.; Zheng, S.X.; Qi, X.J. Effects of dietary calcium, phosphorus and calcium/phosphorus ratio on the growth and tissue mineralization of Litopenaeus vannamei reared in low-salinity water. Aquaculture 2006, 251, 472–483. [Google Scholar] [CrossRef]
- Laramore, S.; Laramore, C.R.; Scarpa, J. Effect of Low Salinity on Growth and Survival of Postlarvae and Juvenile Litopenaeus vannamei. J. World Aquac. Soc. 2001, 32, 385–392. [Google Scholar] [CrossRef]
- Dong, J.; Zhao, Y.Y.; Yu, Y.H.; Sun, N.; Li, Y.D.; Wei, H.; Yang, Z.Q.; Li, X.D.; Li, L. Effect of stocking density on growth performance, digestive enzyme activities, and nonspecific immune parameters of Palaemonetes sinensis. Fish Shellfish Immunol. 2017, 73, 37–41. [Google Scholar] [CrossRef]
- Fleckenstein, L.J.; Kring, N.A.; Tierney, T.W.; Fisk, J.C.; Lawson, B.C.; Ray, A.J. The effects of artificial substrate and stocking density on Pacific white shrimp (Litopenaeus vannamei) performance and water quality dynamics in high tunnel-based biofloc systems. Aquac. Eng. 2020, 90, 102093. [Google Scholar] [CrossRef]
- Ma, H.; Lv, M.; Lin, Y.; Chen, X.; Wang, D.; Du, X.; Li, J. Prawn (Macrobrachium rosenbergii)–plant (Hydrilla verticillata) co-culture system improves water quality, prawn production and economic benefit through stocking density and feeding regime manage. Aquac. Res. 2020, 51, 2169–2178. [Google Scholar] [CrossRef]
- Edwards, R.R.C. Field experiments on growth and mortality of Penaeus vannamei in a Mexican coastal lagoon complex. Estuar. Coast. Mar. Sci. 1977, 5, 107–121. [Google Scholar] [CrossRef]
- Li, Y.; Li, J.; Wang, Q. The effects of dissolved oxygen concentration and stocking density on growth and non-specific immunity factors in Chinese shrimp, Fenneropenaeus chinensis. Aquaculture 2006, 256, 608–616. [Google Scholar] [CrossRef]
- Williams, A.S.; Davis, D.A.; Arnold, C.R. Density-Dependent Growth and Survival of Penaeus setiferus and Penaeus vannamei in a Semi-Closed Recirculating System. J. World Aquac. Soc. 1996, 27, 107–112. [Google Scholar] [CrossRef]
- Arnold, S.J.; Sellars, M.J.; Crocos, P.J.; Coman, G. Response of juvenile brown tiger shrimp (Penaeus esculentus) to intensive culture conditions in a flow through tank system with three-dimensional artificial substrate. Aquaculture 2005, 246, 231–238. [Google Scholar] [CrossRef]
- da Costa, F.P.; Gomes, B.S.F.d.F.; Pereira, S.D.d.N.A.; de Fátima Arruda, M. Influence of stocking density on the behaviour of juvenile Litopenaeus vannamei (Boone, 1931). Aquac. Res. 2016, 47, 912–924. [Google Scholar] [CrossRef]
- Zhang, B.; Wenhui, L.; Wang, Y.; Xu, R. Effects of artificial substrates on growth, spatial distribution and non-specific immunity factors of Litopenaeus vannamei in the intensive culture condition. Turk. J. Fish. Aquat. Sci. 2010, 10, 491–497. [Google Scholar] [CrossRef]
- Chunhou, L.I.; Qin, H.; Jia, X.; Tian, L. The effect of density on energy conversion efficiency of juvenile shrimp Litopenaeus vannamei. South China Fish. Sci. 2006, 2, 30–33. [Google Scholar] [CrossRef]
- Lin, Y.-C.; Chen, J.-C.; Chen, Y.-Y.; Yeh, S.-T.; Chen, L.-L.; Huang, C.-L.; Hsieh, J.-F.; Li, C.-C. Crowding of white shrimp Litopenaeus vananmei depresses their immunity to and resistance against Vibrio alginolyticus and white spot syndrome virus. Fish Shellfish Immunol. 2015, 45, 104–111. [Google Scholar] [CrossRef] [PubMed]
- Mena-Herrera, A.; Gutierrez-Corona, C.; Linan-Cabello, M.; Sumano-Lopez, H. Effects of stocking densities on growth of the Pacific white shrimp (Litopenaeus vannamei) in earthen ponds. Isr. J. Aquac. Bamidgeh 2006, 58, 205–213. [Google Scholar] [CrossRef]
- Abdullahi, B.A. The effect of temperature on reproduction in three species of cyclopoid copepods. Hydrobiologia 1990, 196, 101–109. [Google Scholar] [CrossRef]
- Devreker, D.; Souissi, S.; Winkler, G.; Forget-Leray, J.; Leboulenger, F. Effects of salinity, temperature and individual variability on the reproduction of Eurytemora affinis (Copepoda; Calanoida) from the Seine estuary: A laboratory study. J. Exp. Mar. Biol. Ecol. 2009, 368, 113–123. [Google Scholar] [CrossRef]
- Marx, M.T.S.; Souza, C.d.F.; Almeida, A.P.G.; Descovi, S.N.; Bianchini, A.E.; Martos-Sitcha, J.A.; Martínez-Rodríguez, G.; Antoniazzi, A.Q.; Baldisserotto, B. Expression of Ion Transporters and Na+/K+-ATPase and H+-ATPase Activities in the Gills and Kidney of Silver Catfish (Rhamdia quelen) Exposed to Different pHs. Fishes 2022, 7, 261. [Google Scholar] [CrossRef]
- Ly, K.V.; Murungu, D.K.; Nguyen, D.P.; Nguyen, N.A.T. Effects of Different Densities of Sea Grape Caulerpa lentillifera on Water Quality, Growth and Survival of the Whiteleg Shrimp Litopenaeus vannamei in Polyculture System. Fishes 2021, 6, 19. [Google Scholar] [CrossRef]
- Danilo, C.; Marc, A.C.; Peter, T.; Elena, G.; Peter, T. Salinity modulates the energy balance and reproductive success of co-occurring copepods Acartia tonsa and A. clausi in different ways. Mar. Ecol. Prog. 2006, 312, 177–188. [Google Scholar] [CrossRef]
- Gao, W.; Tian, L.; Huang, T.; Yao, M.; Hu, W.; Xu, Q. Effect of salinity on the growth performance, osmolarity and metabolism-related gene expression in white shrimp Litopenaeus vannamei. Aquac. Rep. 2016, 4, 125–129. [Google Scholar] [CrossRef]
- Ydj, A.; Rs, B.; Mi, C.; Ja, B.; Dsb, A.; Pcs, A. Effect of low salinity on the growth and survival of juvenile pacific white shrimp, Penaeus vannamei: A revival. Aquaculture 2019, 515, 734561. [Google Scholar] [CrossRef]
- Ruan, W.; Dong, Y.; Lin, Z.; He, L. Molecular Characterization of Aquaporins Genes from the Razor Clam Sinonovacula constricta and Their Potential Role in Salinity Tolerance. Fishes 2022, 7, 69. [Google Scholar] [CrossRef]
- Lemos, D.; Phan, V.N.; Alvarez, G. Growth, oxygen consumption, ammonia-N excretion, biochemical composition and energy content of Farfantepenaeus paulensis Pérez-Farfante (Crustacea, Decapoda, Penaeidae) early postlarvae in different salinities. J. Exp. Mar. Biol. Ecol. 2001, 261, 55–74. [Google Scholar] [CrossRef]
- Feng, C.; Tian, X.; Dong, S.; Su, Y.; Ma, S. Effects of frequency and amplitude of salinity fluctuation on the growth and energy budget of juvenile Litopenaeus vannamei (Boone). Aquac. Res. 2008, 39, 1639–1646. [Google Scholar] [CrossRef]
- Zhang, S.; Dong, S.L. The effects of food and salinity on energy budget of juvenile shrimp of Penaeus chinensis. J. Dalian Fish. Univ. 2002, 17, 227–233. [Google Scholar] [CrossRef]
- Wang, W.; Sun, R.; Wang, A.; Lei, B.; Wang, P. Effect of different environmental factors on the activities of digestive enzymes and alkaline phosphatase of Macrobrochium nipponense. Chin. J. Appl. Ecol. 2002, 13, 1153–1156. [Google Scholar] [CrossRef]
- Tsai, I.H.; Lu, P.J.; Chuang, J.L. The midgut chymotrypsins of shrimps (Penaeus monodon, Penaeus japonicus and Penaeus penicillatus). Biochim. Biophys. Acta 1991, 1080, 59–67. [Google Scholar] [CrossRef] [PubMed]
- Araneda, M.; Gasca-Leyva, E.; Vela, M.A.; Dominguez-May, R. Effects of temperature and stocking density on intensive culture of Pacific white shrimp in freshwater. J. Therm. Biol. 2020, 94, 102756. [Google Scholar] [CrossRef]
- Tsai, S.J.; Chen, J.C. Acute toxicity of nitrate on Penaeus monodon juveniles at different salinity levels. Aquaculture 2002, 213, 163–170. [Google Scholar] [CrossRef]
- Wiesepape, L.M. Effects of temperature and salinity on thermal death in postlarval brown shrimp, Penaeus aztecus. Physiol. Zool. 1972, 45, 22–33. [Google Scholar] [CrossRef]
- Livak, K.J.; Schmittgen, T.D. Analysis of Relative Gene Expression Data Using Real-Time Quantitative PCR and the 2−ΔΔCT Method. Methods 2001, 25, 402–408. [Google Scholar] [CrossRef]
- Hou, C.; Wang, F.; Dong, S.; Zhu, Y. The effects of different Ca2+ concentration fluctuation on the moulting, growth and energy budget of juvenile Litopenaeus vannamei (Boone). Aquac. Res. 2011, 42, 1453–1459. [Google Scholar] [CrossRef]
- Pei, S.; Dong, S.; Wang, F.; Tian, X.; Gao, Q. Effects of density on variation in individual growth and differentiation in endocrine response of Japanese sea cucumber (Apostichopus japonicus Selenka). Aquaculture 2012, 356–357, 398–403. [Google Scholar] [CrossRef]
- Yuan, X.; Yang, H.; Wang, L.; Zhou, Y.; Zhang, T.; Liu, Y. Effects of aestivation on the energy budget of sea cucumber Apostichopus japonicus (Selenka) (Echinodermata: Holothuroidea). Acta Ecol. Sin. 2007, 27, 3155–3161. [Google Scholar] [CrossRef]
- Zhu, C.; Dong, S.; Wang, F.; Huang, G. Effects of Na/K ratio in seawater on growth and energy budget of juvenile Litopenaeus vannamei. Aquaculture 2004, 234, 485–496. [Google Scholar] [CrossRef]
- Fang, W.; Dong, S.; Huang, G.; Wu, L.; Shen, M. The effect of light color on the growth of Chinese shrimp Fenneropenaeus chinensis. Aquaculture 2003, 228, 351–360. [Google Scholar] [CrossRef]
- Zhang, E.; Dong, S.; Wang, F.; Tian, X.; Gao, Q. Effects of l-tryptophan on the performance, energy partitioning and endocrine response of Japanese sea cucumber (Apostichopus japonicus Selenka) exposed to crowding stress. Aquac. Res. 2018, 49, 471–479. [Google Scholar] [CrossRef]
- Gao, W.; Tan, B.; Mai, K.; Chi, S.; Liu, H.; Dong, X.; Yang, Q. Profiling of differentially expressed genes in hepatopancreas of white shrimp (Litopenaeus vannamei) exposed to long-term low salinity stress. Aquaculture 2012, 364–365, 186–191. [Google Scholar] [CrossRef]
- Li, E.; Chen, L.; Zeng, C.; Yu, N.; Xiong, Z.; Chen, X.; Qin, J.G. Comparison of digestive and antioxidant enzymes activities, haemolymph oxyhemocyanin contents and hepatopancreas histology of white shrimp, Litopenaeus vannamei, at various salinities. Aquaculture 2008, 274, 80–86. [Google Scholar] [CrossRef]
- Long, L.; Liu, H.; Lu, S. Effects of Low Salinity on Growth, Digestive Enzyme Activity, Antioxidant and Immune Status, and the Microbial Community of Litopenaeus vannamei in Biofloc Technology Aquaculture Systems. J. Mar. Sci. Eng. 2023, 11, 2076. [Google Scholar] [CrossRef]
- Erchao, L.; Leticia, A.; Liqiao, C.; Qin, J.G.; Alain, V.W. Characterization and Tissue-Specific Expression of the Two Glutamate Dehydrogenase cDNAs in Pacific White Shrimp, Litopenaeus Vannamei. J. Crustac. Biol. 2009, 29, 379–386. [Google Scholar] [CrossRef][Green Version]
- Pillai, B.R.; Diwan, A.D. Effects of acute salinity stress on oxygen consumption and ammonia excretion rates of the marine shrimp Metapenaeus monoceros. J. Crustac. Biol. 2002, 22, 45–52. [Google Scholar] [CrossRef]
- Huong, D.T.; Yang, W.J.; Okuno, A.; Wilder, M.N. Changes in free amino acids in the hemolymph of giant freshwater prawn Macrobrachium rosenbergii exposed to varying salinities: Relationship to osmoregulatory ability. Comp. Biochem. Physiol. Part A Mol. Integr. Physiol. 2001, 128, 317–326. [Google Scholar] [CrossRef] [PubMed]
- Walker, S.J.; Neill, W.H.; Lawrence, A.L.; Gatlin, D.M. Effect of salinity and body weight on ecophysiological performance of the Pacific white shrimp (Litopenaeus vannamei). J. Exp. Mar. Biol. Ecol. 2009, 380, 119–124. [Google Scholar] [CrossRef]
- Cheng, W.; Chen, J.-C. Effects of pH, temperature and salinity on immune parameters of the freshwater prawn Macrobrachium rosenbergii. Fish Shellfish Immunol. 2000, 10, 387–391. [Google Scholar] [CrossRef] [PubMed]
- Sookying, D.; Silva, F.S.D.; Davis, D.A.; Hanson, T.R. Effects of stocking density on the performance of Pacific white shrimp Litopenaeus vannamei cultured under pond and outdoor tank conditions using a high soybean meal diet. Aquaculture 2011, 319, 232–239. [Google Scholar] [CrossRef]
- Ponce-Palafox, J.; Martinez-Palacios, C.A.; Ross, L.G. The effects of salinity and temperature on the growth and survival rates of juvenile white shrimp, Penaeus vannamei, Boone, 1931. Aquaculture 1997, 157, 107–115. [Google Scholar] [CrossRef]
- Wada, Y.; Ohsawa, S.; Igaki, T. Yorkie ensures robust tissue growth in Drosophila ribosomal protein mutants. Development 2021, 148, 198705. [Google Scholar] [CrossRef]
- Mabonga, L.; Kappo, A.P. The oncogenic potential of small nuclear ribonucleoprotein polypeptide G: A comprehensive and perspective view. Am. J. Transl. Res. 2019, 11, 6702–6716. Available online: https://pubmed.ncbi.nlm.nih.gov/31814883 (accessed on 2 January 2024).
- Ortiz-Rivas, B.; Jaubert-Possamai, S.; Tanguy, S.; Gauthier, J.P.; Tagu, D.; Claude, R. Evolutionary study of duplications of the miRNA machinery in aphids associated with striking rate acceleration and changes in expression profiles. BMC Evol. Biol. 2012, 12, 216. [Google Scholar] [CrossRef] [PubMed]
- Xu, Q.; Liu, Y. Gene expression profiles of the swimming crab Portunus trituberculatus exposed to salinity stress. Mar. Biol. 2011, 158, 2161–2172. [Google Scholar] [CrossRef]
- Nakamura, A.M.; Chahad-Ehlers, S.; Lima, A.L.A.; Taniguti, C.H.; Sobrinho, I.; Torres, F.R.; de Brito, R.A. Reference genes for accessing differential expression among developmental stages and analysis of differential expression of OBP genes in Anastrepha obliqua. Sci. Rep. 2016, 6, 17480. [Google Scholar] [CrossRef] [PubMed]
- Jia, R.; Wang, L.; Hou, Y.; Feng, W.; Li, B.; Zhu, J. Effects of Stocking Density on the Growth Performance, Physiological Parameters, Redox Status and Lipid Metabolism of Micropterus salmoides in Integrated Rice-Fish Farming Systems. Antioxidants 2022, 11, 1215. [Google Scholar] [CrossRef] [PubMed]
- King-Jones, K.; Thummel, C.S. Nuclear receptors—A perspective from Drosophila. Nat. Rev. Genet. 2005, 6, 311–323. [Google Scholar] [CrossRef] [PubMed]
- Kumar, M.; Chadha, N.K.; Prakash, S.; Pavan-Kumar, A.; Harikrishna, V.; Gireesh-Babu, P.; Krishna, G. Salinity, stocking density, and their interactive effects on growth performance and physiological parameters of white-leg shrimp, Penaeus vannamei (Boone, 1931), reared in inland ground saline water. Aquac. Int. 2023. [Google Scholar] [CrossRef]
- Panikkar, N.K. Osmotic behaviour of shrimps and prawns in relation to their biology and culture. Food Agric. Organ. United Nations 1968, 2, 527–538. [Google Scholar]
- Armstrong, J.D.; Griffiths, S.W. Density-dependent refuge use among over-wintering wild Atlantic salmon juveniles. J. Fish Biol. 2001, 58, 1524–1530. [Google Scholar] [CrossRef]
- Arnold, S.J.; Sellars, M.J.; Crocos, P.J.; Coman, G.J. Intensive production of juvenile tiger shrimp Penaeus monodon: An evaluation of stocking density and artificial substrates. Aquaculture 2006, 261, 890–896. [Google Scholar] [CrossRef]





| Genes | NCBI Accession Number | Forward (5′-3′) | Reverse (5′-3′) |
|---|---|---|---|
| L18 | XM_027372553.1 | GAAGTGCCCAAGATGACCG | GACCCTGGATGAGGACTGTGT |
| SNRPG | XM_037920053.1 | GTGGATGATGGGGTGGAAGT | CATTTGGGTTTGGGACTACGA |
| RPL7 | XM_027357991.1 | CTTCATCACCTGGGGTTATCC | GAACACGGCGTCCATCAAT |
| RXR | XM_027379485.1 | ACCACCCTACAATGATGACGAA | GGATGGCTCGCTTGACTCTC |
| EcR | XM_027356276.1 | CTGACGACGACTCTGAAGATCC | TGCCTTGAGGAGTGTAATCTGG |
| E75 | XM_027355294.1 | CCATGCAACCCACCGTAAC | GAGCACCCAAGCCTGAATGT |
| ATPase-α | XM_027356918.1 | CTCTTGTGCCTATTGGTCG | CGTTGAATCGCTTCTGGT |
| β-actin | XM_062036902.1 | GCCCTGTTCCAGCCCTCATT | ACGGATGTCCACGTCGCACT |
| Item | Tissue | p-Values | ||
|---|---|---|---|---|
| Salinity (S) | Density (D) | S × D | ||
| L18 | muscle | 0.439 | 0.138 | 0.693 |
| RPL7 | muscle | 0.048 | 0.102 | 0.104 |
| SNRPG | muscle | 0.012 | 0.016 | 0.022 |
| ECR | muscle | 0.013 | 0.058 | 0.045 |
| RXR | muscle | 0.007 | 0.005 | 0.029 |
| E75 | muscle | 0.011 | 0.000 | 0.001 |
| ATP | muscle | 0.046 | 0.039 | 0.046 |
| Protease | hepatopancreas | 0.019 | 0.493 | 0.043 |
| Amylase | hepatopancreas | 0.791 | 0.046 | 0.050 |
| Lipase | hepatopancreas | 0.185 | 0.019 | 0.261 |
| The body length | 0.047 | 0.012 | 0.048 | |
| The body weight | 0.024 | 0.015 | 0.048 | |
| Dry weight | 0.014 | 0.015 | 0.027 | |
| Relative weight gain | 0.032 | 0.027 | 0.042 | |
| Specific growth rate | 0.028 | 0.019 | 0.037 | |
| Salinity | Density (shrimp/m3) | Feeding Energy | Growth Energy/Feeding Energy | Respiration/ Feeding Energy | Fecal Energy/ Feeding Energy | Excretion Energy/Feeding Energy | Molting Energy/ Feeding Energy |
|---|---|---|---|---|---|---|---|
| 28 g/L | 600 | 20.79 ± 2.62 aA | 10.19 ± 1.2 aA | 71.54 ± 1.8 aA | 9.51 ± 0.8 a | 7.02 ± 0.4 aA | 1.74 ± 0.02 aA |
| 300 | 30.07 ± 1.0 aB | 15.38 ± 0.52 aB | 64.75 ± 1.0 aB | 11.22 ± 0.7 a | 6.27 ± 0.5 B | 2.38 ± 0.08 aB | |
| 36 g/L | 600 | 25.12 ± 1.2 bA | 11.29 ± 0.58 a | 69.75 ± 1.6 aA | 10.54 ± 0.8 a | 6.99 ± 0.1 a | 1.43 ± 0.07 b |
| 300 | 43.16 ± 3.2 bB | 13.44 ± 2.7 b | 66.79 ± 2.0 aB | 11.38 ± 0.6 a | 6.69 ± 0.5 | 1.7 ± 0.03 b | |
| 44 g/L | 600 | 18.52 ± 1.5 cA | 10.73 ± 0.7 b | 68.34 ± 0.6 bA | 13.2 ± 0.4 b | 5.75 ± 0.7 b | 1.99 ± 0.04 c |
| 300 | 36.19 ± 3.0 abB | 10.04 ± 1.5 c | 66.22 ± 2.2 bB | 15.78 ± 0.8 b | 5.94 ± 0.6 | 2.02 ± 0.03 a | |
| p-values | Salinity (S) | 0.219 | 0.037 | 0.013 | 0.436 | 0.048 | 0.035 |
| Density (D) | 0.042 | 0.026 | 0.021 | 0.542 | 0.322 | 0.163 | |
| S × D | 0.224 | 0.049 | 0.029 | 0.683 | 0.416 | 0.217 |
Disclaimer/Publisher’s Note: The statements, opinions and data contained in all publications are solely those of the individual author(s) and contributor(s) and not of MDPI and/or the editor(s). MDPI and/or the editor(s) disclaim responsibility for any injury to people or property resulting from any ideas, methods, instructions or products referred to in the content. |
© 2024 by the authors. Licensee MDPI, Basel, Switzerland. This article is an open access article distributed under the terms and conditions of the Creative Commons Attribution (CC BY) license (https://creativecommons.org/licenses/by/4.0/).
Share and Cite
Liu, F.; Sun, J.; Long, J.; Sun, L.; Liu, C.; Wang, X.; Zhang, L.; Hao, P.; Wang, Z.; Cui, Y.; et al. Assessing the Interactive Effects of High Salinity and Stocking Density on the Growth and Stress Physiology of the Pacific White Shrimp Litopenaeus vannamei. Fishes 2024, 9, 62. https://doi.org/10.3390/fishes9020062
Liu F, Sun J, Long J, Sun L, Liu C, Wang X, Zhang L, Hao P, Wang Z, Cui Y, et al. Assessing the Interactive Effects of High Salinity and Stocking Density on the Growth and Stress Physiology of the Pacific White Shrimp Litopenaeus vannamei. Fishes. 2024; 9(2):62. https://doi.org/10.3390/fishes9020062
Chicago/Turabian StyleLiu, Fei, Jinfeng Sun, Jinnan Long, Lichao Sun, Chang Liu, Xiaofan Wang, Long Zhang, Pengyuan Hao, Zhongkai Wang, Yanting Cui, and et al. 2024. "Assessing the Interactive Effects of High Salinity and Stocking Density on the Growth and Stress Physiology of the Pacific White Shrimp Litopenaeus vannamei" Fishes 9, no. 2: 62. https://doi.org/10.3390/fishes9020062
APA StyleLiu, F., Sun, J., Long, J., Sun, L., Liu, C., Wang, X., Zhang, L., Hao, P., Wang, Z., Cui, Y., Wang, R., & Li, Y. (2024). Assessing the Interactive Effects of High Salinity and Stocking Density on the Growth and Stress Physiology of the Pacific White Shrimp Litopenaeus vannamei. Fishes, 9(2), 62. https://doi.org/10.3390/fishes9020062
