Next Article in Journal
Enhancing Growth and Intestinal Health in Triploid Rainbow Trout Fed a Low-Fish-Meal Diet through Supplementation with Clostridium butyricum
Next Article in Special Issue
Light Intensity of Phosphorescent-Netting Pots and Determining Their Visibility to Snow Crab (Chionoecetes opilio) Using Visual Modeling Techniques
Previous Article in Journal
Effect of Dietary Supplementation on the Growth and Immunity of Fish and Shellfish
Previous Article in Special Issue
Hauling Snow Crab Traps in Eastern Canada: A Study Documenting Tension in Ropes
 
 
Font Type:
Arial Georgia Verdana
Font Size:
Aa Aa Aa
Line Spacing:
Column Width:
Background:
Article

Toxicity, Oxidative Stress, and Tissue Distribution of Butachlor in the Juvenile Chinese Mitten Crab (Eriocheir sinensis)

1
Heilongjiang River Fisheries Research Institute, Chinese Academy of Fishery Sciences, Harbin 150070, China
2
School of Resources and Environment, Northeast Agricultural University, Harbin 150030, China
3
Inspection and Testing Center for Fishery Environment and Aquatic Products (Harbin), Ministry of Agriculture and Rural Affairs, Harbin 150070, China
4
Heilongjiang River Basin Fisheries Ecology Observation and Research Station of Heilongjiang Province, Harbin 150070, China
*
Authors to whom correspondence should be addressed.
Fishes 2024, 9(5), 177; https://doi.org/10.3390/fishes9050177
Submission received: 21 April 2024 / Revised: 8 May 2024 / Accepted: 10 May 2024 / Published: 13 May 2024
(This article belongs to the Special Issue Advances in Crab Fisheries)

Abstract

The Chinese mitten crab (Eriocheir sinensis) is one of the most commercially important crustacean species in China. The aim of this study was to characterize the toxic effects of butachlor (an herbicide of the acetanilide class) on juvenile E. sinensis crabs. The lethal effects and the acute toxicity of butachlor on juvenile E. sinensis specimens were assessed through a semi-static in vitro experiment. We determined the activities of superoxide dismutase (SOD) and catalase (CAT) as well as the levels of glutathione (GSH) and malondialdehyde (MDA) in the gills and the hepatopancreas of the juvenile crabs, at different time points over a 14-day short-term exposure to butachlor. Moreover, we measured the residual levels of butachlor in three different tissues (gills, hepatopancreas, and muscles) of the juvenile crabs over a longer period. Our findings revealed that butachlor is highly toxic for juvenile E. sinensis crabs. In fact, the median lethal concentration (LC50) values of butachlor at 24, 48, 72, and 96 h were found to be 4.22, 1.84, 0.34, and 0.14 mg/L, respectively, while the safe concentration was 0.014 mg/L. The antioxidant defense ability of the juvenile E. sinensis crabs against butachlor was induced after exposure to the herbicide at a concentration of 0.01 mg/L. After 14 days of exposure to butachlor at 0.04 and 0.16 mg/L, both SOD and CAT were found to be significantly inhibited (p < 0.05), the GSH levels were found to be significantly decreased (p < 0.05) and the MDA levels were identified as significantly increased (p < 0.05). Moreover, after 14 days of exposure to butachlor at 0.16 mg/L, the activities of SOD and CAT as well as the content of GSH in the hepatopancreas were found to be significantly decreased (p < 0.05). Our results revealed that a high concentration of butachlor was capable of inducing oxidative stress and damage in juvenile E. sinensis crabs. The maximal residual value of butachlor was obtained in the gills, with a content of 4.56 μg/kg. Butachlor was not detected after 24 days in the aforementioned three tissues of the juvenile crabs, thereby indicating that it was effectively metabolized.
Key Contribution: This study indicates that long-term low-dose exposure to butachlor can cause irreversible damage to juvenile E. sinensis and a high concentration of butachlor can cause lipid peroxidation damage in hepatopancreas and the gills of juvenile E. sinensis. Butachlor reduced stress damage by inducing the activities of CAT and SOD.

1. Introduction

The extensive use of pesticides in modern agriculture has not only assured high and steady grain yield, but also resulted in many toxic substances entering the environment, thereby contaminating the soil, the water, and the agricultural products. The amount of pesticides used in China is constantly increasing: from 1.288 million tons in 2000 to 1.807 million tons in 2020 [1]; meanwhile, the average amount of pesticides implemented has also increased from 8.2 kg/ha to 10.9 kg/ha (calculated according to the total sown area of crops). According to statistics reported by the Ministry of Agriculture and Rural Affairs, the effective utilization of pesticides in China is about 40.60% in 2020, and the irrational use of pesticides has led to increasingly prominent agricultural non-point source pollution problems.
Herbicides are one of the most widely utilized types of pesticides, which account for approximately 50% of the international pesticide market and are used in order to selectively kill or inhibit plant growth. A large number of studies have demonstrated that herbicides can persist in the soil during production and use, or migrate to the atmosphere, the surface water, and other external environments through atmospheric transport and surface runoff [2,3,4,5,6]. It has been verified that some herbicides, such as linuron, herbicide ether, and glyphosate, can exhibit estrogenic activity and/or have teratogenic, mutagenic, and carcinogenic impacts that greatly threaten the environment as well as human health [7,8,9]. Most countries have prohibited the production and use of highly toxic herbicides such as herbicide ether. In 2001, China also banned the production, sale, and use of such pesticides. At present, although herbicides commonly used in agricultural production have the characteristics of low toxicity and short half-life, their use is extensive and frequent [10]; a fact that also leads to their ‘persistence’ in the environment, thereby exerting a definite long-term environmental impact [11]. Therefore, the residue, distribution, and migration of these compounds in the environment need to be studied and resolved urgently.
The rice-fishery integrated system, which combines fishery production and rice farming, is an important mode of ecological agriculture that promotes the balanced development of food production, utilization of agricultural resources, and environmental protection. The rice-fish culture system has emerged as an important component of freshwater fisheries in China. In recent years, based on traditional rice cultivation, Chinese aquatic technology extension workers have actively explored a new comprehensive planting and breeding model of rice and fishery. In 2022, the total area of farmed rice-fish covered was 2.86 million hectares, with an aquatic production that exceeded 3.87 megatons [12]. Nevertheless, due to the need for weed and disease control, pesticides cannot be completely eliminated in the rice-fishery integrated system, and pesticide residues are still one of the key issues identified in the quality and safety control of aquatic products. Pesticides not only have lethal effects on aquatic animals, but also affect their individual development, reproduction, and behavior, leading to pathological changes in biological tissues, oxidative stress, and lipid peroxidation-associated injury. Consequently, it is of great importance to evaluate the toxic effects of pesticides on cultured organisms in rice fields for both scientific and regulatory reasons.
The Chinese mitten crab (Eriocheir sinensis) is one of the most commercially important crustacean species in China. In 2022, the total cultivated area of farmed rice-crabs in northeast China reached 137,000 hectares [12]. The growth, metabolism, and reproduction of E. sinensis are primarily influenced by environmental factors such as temperature, oxygen, nutrient concentration, heavy metals, and organic pollutants [13,14,15,16,17]. Some herbicides widely used in rice cultivation have been shown to be acutely toxic to E. sinensis, and studies have been carried out regarding their residual effects and histopathological characterization [18,19]. Butachlor, a highly effective and selective herbicide, is widely used in China [20,21,22,23]. Butachlor exerts a low direct toxicity on aquatic organisms. However, its high hydrophobicity, easy adsorption, low leaching, and toxic effects on non-target organisms have attracted extensive attention. The cell and mitochondrial membranes of Carassius auratus were damaged by reactive oxygen species induced by butachlor. The metabolic activation pathway of butachlor led to the production of potential ultimate carcinogenic metabolites, including CDEPA, DEA, or DEAOH [24]. Studies on the toxicity of butachlor on aquatic organisms primarily involve studies on morphology, developmental toxicity, endocrine disruption, and immune toxicity [25,26,27,28,29]. Butachlor is highly toxic to zebrafish embryos, affecting hatching, and resulting in malformations and mortality [30]. However, the toxicity of juvenile E. sinensis has not been reported yet.
The aim of this study was to characterize the toxic effects of butachlor on juvenile E. sinensis crabs, in order to provide a theoretical basis for the risk assessment of herbicides in a rice-fishery integrated system. The lethal effects and the acute toxicity of butachlor on juvenile E. sinensis specimens were assessed through a semi-static in vitro exposure method. The activities of superoxide dismutase (SOD) and catalase (CAT) as well as the levels of glutathione (GSH) and malondialdehyde (MDA) in the gills and the hepatopancreas of the juvenile crabs were determined, at different timepoints over a 14-day short-term exposure to butachlor. Moreover, we measured the residual levels of butachlor in three different tissues (gills, hepatopancreas, and muscles) of the juvenile crabs over a longer period.

2. Material and Methods

2.1. Experimental Material

Since the application of butachlor on the rice field takes place in May each year, the experimental organisms selected in this study were juvenile E. sinensis during the same period of the pesticide application. The crabs were obtained from the Panjin breeding base in the province of Liaoning. The obtained E. sinensis were incubated in adequately aerated tap water for 14 days, with an average water temperature of 25 °C ± 2 °C and a pH of 6.55–7.53. The crabs were fed regularly during the incubation period. Healthy and disease-free young crabs of the same size with healthy appendages were randomly selected in order to carry out the toxicity impact experiments. Crabs selected for the experiment were chosen based on criteria including vibrancy, normal coloration, absence of trauma, and presence of healthy appendages. Their body weight was (49.2 ± 7.5 g), and male and female crabs were used at random. The 98% pure butachlor powder was obtained from Jiangxi Zhonghe Biotechnology Co., Ltd. (Nanchang, China), while pure ethanol was obtained from Sinopharm Group Chemical Reagent Co., Ltd. (Shanghai, China). The SOD, CAT, MDA, GSH, and protein analysis kits were purchased from the Nanjing Jiancheng Bioengineering Institute (Nanjing, China).
The experiments were carried out in a glass jar. The crabs were starved for 48 h to empty the digestive systems before the experiment. During the experiment, the water temperature ranged between 25 °C and 27 °C, the pH ranged between 6.57 and 7.68, and the dissolved oxygen (DO) in the water was maintained above 6.0 mg/L after 24 h of continuous aeration. Semi-static in vitro exposure was used in our experiments. Firstly, the 24 h lethal concentration of 10 mg/L and the 96 h non-lethal concentration of 0.01 mg/L were confirmed by preliminary experiments. Six concentration gradients (0.010, 0.040, 0.16, 0.63, 2.51, and 10.00 mg/L) were selected according to the geometric progression between 0.01 and 10 mg/L. The blank group (aerated tap water) and the cosolvent group (ethanol) were set up, and each concentration group was set up in four parallel tanks. Moreover, 10 Chinese mitten crabs were placed in each tank, and the water was replaced every 24 h. The crabs were fed once a day during the experiment, and the residual feeds were cleaned up immediately after feeding. At the beginning of the experiment, the survival conditions of the juvenile crabs were observed, the pH, DO and temperature of the water were measured, and the behavioral changes and the deaths of the juvenile crabs were recorded at 24 h, 48 h, 72 h, and 96 h; the dead animals were fished out in time.

2.2. Determination of the Oxidative Stress-Related Parameters

At 4, 10, and 14 days, the surviving juvenile crabs were removed from each concentration group. During the experiment, all juvenile crabs died in the 0.63, 2.51, and 10.00 mg/L butachlor concentration groups, and thereby they were not analyzed. The juvenile crabs were placed on ice, and their gills and hepatopancreas tissues were instantly dissected. The tissues were washed with pre-cooled PBS buffer solution, and the surface moisture was absorbed by filter paper. After weighting 0.2 g of tissue, the samples were immersed in pre-cooled 0.86% saline in a ratio of 1:9 (w/v), and homogenized in an ice bath, then followed by refrigerated centrifugation for 10 min at 5000 r/min. The GSH and MDA contents as well as the activities of SOD and CAT in the supernatant after centrifugation were measured by commercially available kits, following the manufacturers’ instructions of the respective kits (Nanjing Jiancheng Biotech Inc., Nanjing, China).

2.3. Butachlor Residue Test

For this experiment, 300 crabs were used, weighing 50–75 g each. The initial concentration of butachlor was 2.0 μg/L. Five Chinese mitten crabs were randomly selected for analysis at 0.5, 1, 2, 3, 4, 6, 8, 10, 12, 24, 48, 72, 96, 120, 144, 216, 336, 528 and 576 h. The muscles, the hepatopancreas, and the gills of these crabs were dissected and stored at −20 °C until analysis.
The thawed hepatopancreas, muscle, and gill samples were weighed at 2.0 g and placed into 10 mL plastic centrifuge tubes along with 5.0 mL of acetonitrile. Subsequently, the tubes were placed on a vortex oscillator for 2 min and were then centrifuged at 5000 r/min for 10 min. After absorbing the supernatant, the residual tissue was extracted again with the use of 5.0 mL of acetonitrile. The gained supernatant was passed through an alkaline alumina SPE column that was previously activated with 10 mL of acetonitrile. The filtrate was directly collected in a test tube, and blown dry under nitrogen at 50 °C, then dissolved in 1 mL of acetonitrile/water (1:1 v/v) and passed through a 0.22-μm filter membrane.
The concentration of butachlor in extracts was investigated by a liquid chromatography-tandem triple quadrupole mass spectrometer (Waters UPLC, Waters TQ-S; Waters Corporation, Massachusetts, USA) equipped with an ESI ion source. The method was referred to in the references [31]. The limit of quantification of butachlor in the muscle was 0.05 μg/kg.

2.4. Calculation of the Median Lethal Concentration (LC50) and the Safe Concentration (SC)

The LC50 of butachlor in juvenile crabs was calculated by an improved Kou’s method [32]. The formula used was as follows:
log LC 50 = X m i (   P 0.5 )
while the formula for the determination of SC was as follows:
SC = LC 50 ( 96 h ) × 0.1
where Log is the logarithmic value of the base 10, Xm is the logarithmic value of the maximum concentration, i is the logarithmic difference of the adjacent concentration groups, and ∑p is the sum of the mortality of each concentration group.

2.5. Statistical Analysis

The experimental data are expressed as the mean ± standard deviation of the four replicates. The diagrams were drawn with the Prism 7.0 software. Two independent-sample t-tests were used for statistical analysis by SPSS 22.0 software. A p-value that was <0.05 was considered as indicative of a statistically significant difference, while a p-value that was <0.01 was considered as indicative of a difference that was statistically extremely significant.

3. Results

3.1. Acute Toxicity of Butachlor in Juvenile E. sinensis Crabs

As the duration of exposure increased, juvenile E. sinensis crabs subjected to varying concentrations of butachlor displayed varying levels of toxicity symptoms. During the experiment, there was no poisoning phenotype or death observed in the blank control and solvent control groups. Under the concentration of 0.01 mg/L of butachlor, most individuals were active during the whole process, but a few individuals exhibited mild poisoning symptoms. When compared with the control group, the juvenile crabs in the 0.04 mg/L and the 0.16 mg/L butachlor concentration groups had no abnormal behavior at the initial stage of the exposure but showed symptoms of poisoning (such as slow swimming and slow reaction) after 72 h of exposure. After 48 h of exposure, the juvenile crabs gradually showed retardation of feeding and locomotion, clumping, appendage loss, and individual death in concentrations of 0.63 and 2.15 mg/L of butachlor. Elevated levels of butachlor had been found to have significant toxic effects on juvenile crabs. Exposure to a concentration of 10.00 mg/L resulted in observable behavioral changes, including restlessness, decreased swimming speed, increased aggregation, partial limb loss, and ultimately, the manifestation of symptoms indicative of abdominal and body rigidity poisoning. In fact, after 72 h, 100% of the individuals exposed to 10.00 mg/L of butachlor were dead (Table 1). The juvenile crabs continued to die after the acute toxicity test, which may be due to the bioaccumulation of the pesticide in the juvenile crabs or the conversion of more toxic metabolites.
There was a significant time- and dose-dependent relationship between the number of deaths of juvenile crabs and the concentration of butachlor administered (Table 1). With the increase in the concentration of butachlor and the prolongation of the exposure time, the survival rate of crabs decreased and the mortality rate increased. At 24 and 48 h of exposure, the mortality rate of crabs exposed to 0.01, 0.04, 0.16, and 0.63 mg/L of butachlor were all less than 25%, but the rate in the 10.00 mg/L group reached 45% and 65%, respectively. There was a significant difference in mortality between the 10.00 mg/L group and the other groups (p < 0.05). After 96 h of stress, the mortality rate of juvenile crabs exposed to less than 0.16 mg/L of butachlor was less than 50%, and that of juvenile crabs in the 2.51 mg/L butachlor group was 95%. In the 10.00 mg/L butachlor group, all juvenile crabs died after 72 h. At 72 and 96 h of exposure, the mortality in the 2.51 and 10.00 mg/L butachlor groups was significantly different from that of other groups (p < 0.05). The LC50 of butachlor for juvenile Chinese mitten crabs at 24, 48, 72, and 96 h was found to be 4.22, 1.84, 0.34, and 0.14 mg/L, respectively. The SC of butachlor was identified as 0.014 mg/L.

3.2. Effects of Butachlor on Oxidative Stress-Related Parameters in the Gills of Juvenile E. sinensis Crabs

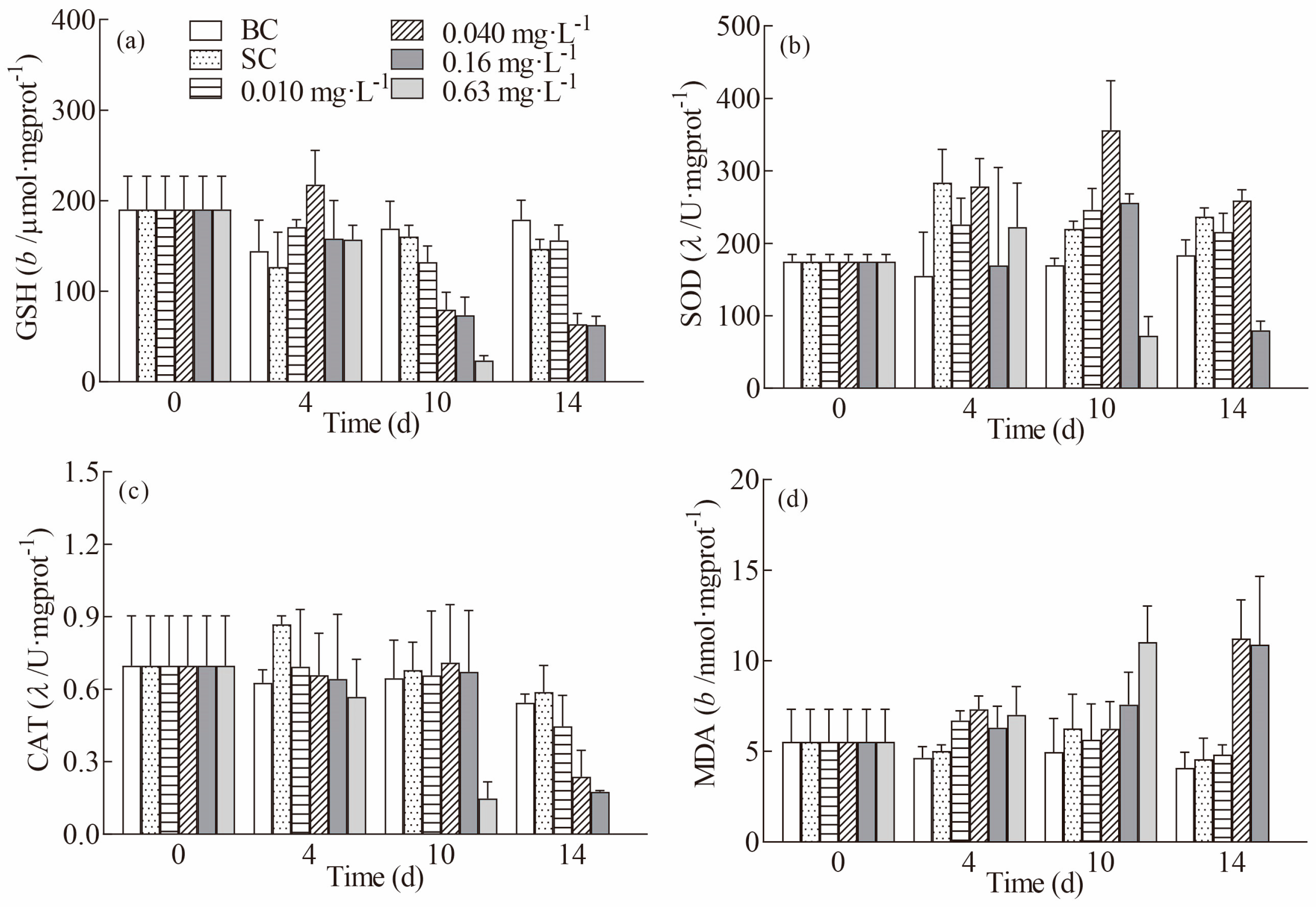
Within 14 days of exposure, the GSH content in the gills of juvenile crabs in all butachlor groups progressively diminished and reached the lowest value on the 14th day. The effects of different concentrations of butachlor on the antioxidant status of the gills of juvenile crabs were different (Figure 1). Under the stress of a 0.01 mg/L butachlor concentration, the content of MDA in the gills exhibited an overall trend of rising first, and then declining with the extension of the exposure time, while the MDA levels in other butachlor groups gradually increased with time and reached a peak on the 14th day. After 14 days of exposure to butachlor, the MDA levels of the 0.01 mg/L group were significantly lower than those of other butachlor concentration groups. Under the 0.01 mg/L and 0.04 mg/L butachlor exposure conditions, the CAT activity in the gills of juvenile crabs increased initially and then decreased with the extension of the exposure time, before reaching the peak value on the 4th day of the exposure (which was significantly higher than that in other concentration groups; p < 0.05). In the 0.16 mg/L and 0.63 mg/L butachlor groups, the CAT activity fluctuated and decreased to the lowest value during the 14th day of the exposure; this value was significantly lower than that observed in the control group and the 0.01 mg/L butachlor group (p < 0.05). The SOD activity in the gills of juvenile crabs belonging to the 0.01 mg/L butachlor group declined initially and then rose with the prolongation of the exposure time, while the SOD activity in other concentration groups gradually decreased with the prolongation of the exposure time and the increase of the butachlor concentration. On the 14th day of the exposure, the SOD activity of the 0.01 mg/L butachlor group was markedly higher than those of other concentration groups (p < 0.05).

3.3. Effects of Butachlor on Oxidative Stress-Related Parameters in the Hepatopancreas of Juvenile Chinese Mitten Crabs

The activities of SOD and CAT and the levels of MDA in the hepatopancreas of juvenile crabs were different from those identified in the gills. The SOD activity in the hepatopancreas was responsive to the change in butachlor concentration and demonstrated a trend of increasing and declining with the prolongation of the exposure time (Figure 2). The maximum value of the SOD activity in the 0.01–0.16 mg/L butachlor groups was reached on the 10th day of the experiment and was significantly higher than those of the control and the 0.63 mg/L group (p < 0.05). The maximum value of the SOD activity in the 0.63 mg/L butachlor group was reached on the 4th day. The CAT activity displayed a significant dose-response relationship with butachlor. On the 14th day of the experiment, the CAT activity in the hepatopancreas of juvenile crabs declined markedly and reached a level that was lower than that of the control group and of those observed on the 4th and the 10th days of the experiment. After 4 days of exposure, the levels of GSH in the hepatopancreatic tissue exhibited a downward trend, particularly in the 0.16 and the 0.64 mg/L butachlor groups, and were notably lower than those of the control group and other butachlor groups. At the 0.01 mg/L butachlor concentration group, the MDA content basically increased initially and then decreased with time. Under the concentrations of 0.16–0.63 mg/L, the MDA levels gradually increased with time and were significantly higher than those of the control group and the 0.01 mg/L butachlor group (p < 0.05) after 10 days of exposure.

3.4. Residues of Butachlor in Different Tissues

The concentration of butachlor in the different tissues of young crabs increased rapidly (Figure 3). The butachlor levels in the gills and the hepatopancreas reached their maximum at 24 h, and were 4.56 and 0.86 μg/kg, respectively. The highest concentration of butachlor in the muscles appeared at 120 h and reached 0.45 μg/kg. The content of butachlor in the gills was significantly higher than that in the hepatopancreas and the muscles at peak. Butachlor was no longer detected in the gills at 528 h, while butachlor was no longer detected in the muscles and the hepatopancreas at 576 h.

4. Discussion

Butachlor has comparatively significant toxicity to aquatic organisms, with different acute lethal effects on different aquatic species. The LC50 values of butachlor against Channa punctata (Bloch) were determined to be 0.30 mg/L at 24 h and 0.25 mg/L at 48 h [33]. For Tilapia zillii, the LC50 values at 24, 48, 72, and 96 h were found to be 3.13, 1.93, 1.27, and 1.25 mg/L, respectively [34]. The 96 h LC50 values of butachlor for Rutilus frisii Kutum, rainbow trout, bluegill sunfish, carp, and channel catfish were determined to be 0.26, 0.52, 0.44, 0.32, and 0.14 mg/L, respectively [35,36]. The LC50 values for butachlor in Heteropneustes fossilis, Clarias batrachus, Channa punctatus, and the larval stages of Culex pipiens fatigans were determined to be 2.34, 3.25, 2.82, and 35 mg/L for butachlor respectively [28]. Additionally, the 24-, 48-, 72- and 96 h LC50 values for juvenile crabs were found to be 4.22, 1.84, 0.34, and 0.14 mg/L, respectively. These results suggested that crustaceans and other invertebrates exhibit greater sensitivity to butachlor compared to fish.
According to the pesticide toxicity classification standard for fish in the Environmental Safety Assessment Test Criteria for Chemical Pesticides (GB/T 31270.21-2014) [37], the toxicity levels of butachlor to juvenile crabs were highly toxic (0.1 mg/L < LC50 < 1.0 mg/L). Other pesticides were also toxic to crabs. The LC50 value of glyphosate at 48 h for the adult E. sinensis crabs was 97.86 mg/L [38]. The 96 h semi-lethal mass concentrations of avermectin, chlorpyrifos, triazophos, and benzothiachlor for juvenile Chinese mitten crabs were 73.44, 0.49, 3.62, and 0.18 mg/L, respectively [39]. This may be due to the different experimental conditions and sizes of the experimental animals used, implying that the different growth stages of the same species exert different sensitivities to toxic pollutants.
Low concentrations of butachlor do not induce acute mortality in juvenile crabs. However, prolonged exposure to low doses can result in irreversible harm and mortality. Amide herbicides have been shown to interfere with the balance of free radicals (O2, H2O2, OH, etc.) in organisms, leading to irreversible oxidative damage [40,41]. Under conditions of butachlor-induced oxidative stress, the activities of SOD and CAT in the gills and hepatopancreas of juvenile E. sinensis crabs exhibited variations. Specifically, the activities of SOD and CAT in the gills of the juvenile crabs were notably elevated compared to those in the hepatopancreas, with the induction effect manifesting earlier in the former. Furthermore, in the residual test, the concentration of residual butachlor in the gills was significantly higher than that in the hepatopancreas and the muscles. Gills possess a heightened sensitivity due to their direct absorption of pollutants from the aquatic environment.
The findings of this study indicated that a low concentration of butachlor (0.01 mg/L) could enhance the antioxidant defense capacity of juvenile E. sinensis in the short term. The antioxidant enzyme system is crucial for neutralizing free radicals within organisms. SOD is the primary antioxidant enzyme in the body, effectively eliminating reactive oxygen species and producing H2O2. CAT is a key enzyme found in peroxisomes, playing a significant role in eliminating H2O2 generated by the disproportionation of the superoxide anion radical [42,43]. This phenomenon occurs due to the introduction of exogenous pollutants into the organism (under stress of 0.01 mg/L butachlor), leading to the generation of a significant quantity of free radicals and the subsequent upregulation of SOD and CAT activities, thereby promoting the elimination of free radicals.
In the residual analysis, butachlor was found to be absent in the gills after 528 h, and in the hepatopancreas and muscles after 576 h. This indicates that juvenile crabs exhibit a degree of tolerance to low levels of contaminants. Butachlor was applied at a prescribed dose (600–900 g/ha) prior to transplanting rice [44], followed by the introduction of crab seedlings at 2- or 3-week intervals. The greatest duration of butachlor residue in the tissues of young crabs was 576 h (24 days). The incubation period exceeds three months, and typical operational conditions do not result in detectable levels of butachlor residue in crabs. However, exposure to elevated concentrations of butachlor or prolonged use of the herbicide may inhibit the activities of SOD and CAT. When excessive formation of free radicals surpasses the capacity for scavenging, potentially explaining the initial increase followed by a subsequent decline in SOD and CAT activities.
GSH is a crucial antioxidant in living organisms, effectively neutralizing free radicals. MDA is a metabolite of lipid peroxidation and serves as an indicator of oxidative damage in cells [45]. A dose-response relationship was observed between the concentration of butachlor and the MDA content in the gills and hepatopancreas. Under conditions of butachlor-induced oxidative stress, the level of induction of MDA in the liver was significantly greater than in the gill tissue, suggesting that the hepatopancreas of young crabs is more vulnerable to lipid peroxidation than the gills. Exposure to phenanthrene and benzothiachlor resulted in varying degrees of oxidative damage in the Chinese mitten crabs, with the hepatopancreas experiencing more severe oxidative damage compared to the gills. The variation in oxidative damage levels among different tissues in organisms can be attributed to the diverse functions performed by these tissues. Specifically, the gills primarily facilitate gas exchange, whereas the hepatopancreas serves as the primary metabolic site for toxic substances [46,47]. Given its lipophilic nature, butachlor, an organic pollutant, tends to accumulate in tissues with higher fat content such as the hepatopancreas. The MDA content exhibited significant variance across varying concentrations of butachlor, suggesting a strong correlation between the level of oxidative damage in organisms and the concentration of butachlor. This observation is supported by previous research on the toxic effects of phenanthrene and benzothiachlor on E. sinensis [46,47].

5. Conclusions

Butachlor exhibited high toxicity towards juvenile E. sinensis crabs, as evidenced by its LC50 values of 4.22, 1.84, 0.34, and 0.14 mg/L at 24, 48, 72, and 96 h, respectively, with a corresponding SC of 0.014 mg/L. While low concentrations of butachlor do not result in immediate mass mortality of the organisms, prolonged exposure to low doses can lead to irreversible harm. Exposure to elevated levels of butachlor induces lipid peroxidation, causing damage to the hepatopancreas and gills of juvenile E. sinensis crabs. At a concentration of 0.014 mg/L, butachlor had been shown to mitigate the effects of butachlor-induced oxidative stress by enhancing the activity of antioxidant enzymes such as CAT and SOD. Additionally, the concentration of butachlor was found to be significantly higher in the gill compared to the hepatopancreas and muscles of juvenile E. sinensis crabs. Furthermore, the persistence of butachlor was observed to be longer in the hepatopancreas and muscles compared to the gills.

Author Contributions

Conceptualization, S.W. and X.H.; methodology, S.W. and X.H.; software, L.G.; validation, L.H. and Q.H.; formal analysis, S.W. and L.H.; investigation, S.W. and X.H.; resources, S.W. and L.H.; data curation, S.W. and L.G.; writing—original draft preparation, S.W.; writing—review and editing, X.H.; supervision, X.H. and D.Q.; funding acquisition, P.W., X.H., Y.Z., and D.Q. All authors have read and agreed to the published version of the manuscript.

Funding

This study was financially supported by the Central Public-interest Scientific Institution Basal Research Fund, CAFS: (NO.2023TD60); (NO.HSY2018010Q).

Institutional Review Board Statement

All animal procedures in this study were conducted according to the guidelines for the care and use of laboratory animals of the Heilongjiang River Fisheries Research Institute, Chinese Academy of Fishery Sciences (CAFS). The studies in animals were reviewed and approved by the Committee for the Welfare and Ethics of Laboratory Animals of the Heilongjiang River Fisheries Research Institute, CAFS (approval code: 20220420-001).

Informed Consent Statement

Not applicable.

Data Availability Statement

The authors confirm that the data supporting the findings of this study are available within the article.

Conflicts of Interest

The authors declare no conflicts of interest.

References

  1. Li, S. China Rural Statistical Yearbook; China Statistics Press: Beijing, China, 2021. [Google Scholar]
  2. Carvalho, F.P. Agriculture, pesticides, food security and food safety. Environ. Sci. Policy 2006, 9, 685–692. [Google Scholar] [CrossRef]
  3. Alharbi, O.M.; Basheer, A.A.; Khattab, R.A.; Ali, I. Health and environmental effects of persistent organic pollutants. J. Mol. Liq. 2018, 263, 442–453. [Google Scholar] [CrossRef]
  4. Majewski, M.S.; Coupe, R.H.; Foreman, W.T.; Capel, P.D. Pesticides in Mississippi air and rain: A comparison between 1995 and 2007. Environ. Toxicol. Chem. 2014, 33, 1283–1293. [Google Scholar] [CrossRef] [PubMed]
  5. Ulrich, U.; Lorenz, S.; Hörmann, G.; Stähler, M.; Neubauer, L.; Fohrer, N. Multiple pesticides in lentic small water bodies: Exposure, ecotoxicological risk, and contamination origin. Sci. Total. Environ. 2022, 816, 151504. [Google Scholar] [CrossRef] [PubMed]
  6. Tyohemba, R.L.; Pillay, L.; Humphries, M.S. Herbicide residues in sediments from Lake St Lucia (iSimangaliso World Heritage Site, South Africa) and its catchment areas: Occurrence and ecological risk assessment. Environ. Pollut. 2020, 267, 115566. [Google Scholar] [CrossRef] [PubMed]
  7. Wolf, C.; Lambright, C.; Mann, P.; Price, M.; Cooper, R.L.; Ostby, J.; Gray, L.E. Administration of potentially antiandrogenic pesticides (procymidone, linuron, iprodione, chlozolinate, p, p′-DDE, and ketoconazole) and toxic substances (dibutyl-and diethylhexyl phthalate, PCB 169, and ethane dimethane sulphonate) during sexual differentiation produces diverse profiles of reproductive malformations in the male rat. Toxicol. Ind. Health 1999, 15, 94–118. [Google Scholar] [PubMed]
  8. Mostafalou, S.; Abdollahi, M. Pesticides and human chronic diseases: Evidences, mechanisms, and perspectives. Toxicol. Appl. Pharmacol. 2013, 268, 157–177. [Google Scholar] [CrossRef] [PubMed]
  9. Meftaul, I.M.; Venkateswarlu, K.; Dharmarajan, R.; Annamalai, P.; Asaduzzaman, M.; Parven, A.; Megharaj, M. Controversies over human health and ecological impacts of glyphosate: Is it to be banned in modern agriculture? Environ. Pollut. 2020, 263, 114372. [Google Scholar] [CrossRef] [PubMed]
  10. Ma, Q.L.; Holland, P.T.; James, T.K.; McNaughton, D.E.; Rahman, A. Persistence and leaching of the herbicides acetochlor and terbuthylazine in an allophanic soil: Comparisons of field results with PRZM-3 predictions. Pest. Manag. Sci. 2000, 56, 159–167. [Google Scholar] [CrossRef]
  11. Ghersa, F.; Pessah, S.; Duarte, A.; Ferraro, D. Theory and Practice for Environmental Risk Assessment: Understanding the Trade-Off Between the Benefits and Risks Behind Herbicide Use as Tool for Designing Sustainable Weed Management Systems. Decis. Supp. Syst. Weed. Manag. 2020, 8, 161–189. [Google Scholar]
  12. Yu, X.J.; Dang, Z.J.; Yang, L.K. Report on the Development of China’s rice-fishery integrated planting and breeding industry in China. Chin. Fish 2023, 566, 19–26. [Google Scholar]
  13. Hong, Y.H.; Huang, Y.; Wu, S.; Yang, X.Z.; Dong, Y.Z.; Xu, D.Y.; Huang, Z.Q. Effects of imidacloprid on the oxidative stress, detoxification and gut microbiota of Chinese mitten crab, Eriocheir sinensis. Sci. Total Environ. 2020, 729, 138276. [Google Scholar] [CrossRef] [PubMed]
  14. He, Y.M.; Lin, W.C.; Shi, C.; Li, R.H.; Mu, C.K.; Wang, C.L.; Ye, Y.F. Accumulation, detoxification, and toxicity of dibutyl phthalate in the swimming crab. Chemosphere 2022, 289, 133183. [Google Scholar] [CrossRef] [PubMed]
  15. Jiang, S.; Zhang, W.J.; Qian, X.B.; Ji, J.; Ning, X.H.; Zhu, F.; Yin, S.W.; Zhang, K. Effects of hypoxia and reoxygenation on apoptosis, oxidative stress, immune response and gut microbiota of Chinese mitten crab, Eriocheir sinensis. Aquat. Toxicol. 2023, 260, 106556. [Google Scholar] [CrossRef] [PubMed]
  16. Li, Z.Q.; Zhao, Z.G.; Luo, L.; Wang, S.H.; Zhang, R.; Guo, K.; Yang, Y.H. Immune and intestinal microbiota responses to heat stress in Chinese mitten crab (Eriocheir sinensis). Aquaculture 2023, 563, 738965. [Google Scholar] [CrossRef]
  17. Tang, D.; Wu, Y.; Wu, L.; Bai, Y.Z.; Zhou, Y.; Wang, Z.F. The effects of ammonia stress exposure on protein degradation, immune response, degradation of nitrogen-containing compounds and energy metabolism of Chinese mitten crab. Mol. Biol. Rep. 2022, 49, 6053–6061. [Google Scholar] [CrossRef] [PubMed]
  18. Yang, X.Z.; Song, Y.M.; Zhang, C.; Pang, Y.Y.; Song, X.Z.; Wu, M.Y.; Cheng, Y.X. Effects of the glyphosate-based herbicide roundup on the survival, immune response, digestive activities and gut microbiota of the Chinese mitten crab, Eriocheir sinensis. Aquat. Toxicol. 2019, 214, 105243. [Google Scholar] [CrossRef] [PubMed]
  19. Silvestre, F.; Trausch, G.; Devos, L.S. Effects of atrazine on osmoregulation in the Chinese mitten crab, Eriocheir sinensis. Comp. Biochem. Physiol. Part C Toxicol. Pharmacol. 2002, 132, 385–390. [Google Scholar] [CrossRef] [PubMed]
  20. Zhu, S.S.; Liu, Y.W.; Li, Y.W.; Yi, J.N.; Yang, B.J.; Li, Y.L.; Ouyang, Z.X.; Liu, B.X.; Shang, P.; Mehmood, K.; et al. The potential risks of herbicide butachlor to immunotoxicity via induction of autophagy and apoptosis in the spleen. Chemosphere 2022, 286, 131683. [Google Scholar] [CrossRef]
  21. Yu, J.; Zhu, H.; Wang, H.L.; Shutes, B.; Niu, T.T. Effect of butachlor on microcystis aeruginosa: Cellular and molecular mechanisms of toxicity. J. Hazard. Mater. 2023, 449, 131042. [Google Scholar] [CrossRef]
  22. Zhao, Y.H.; Lei, M.J.; Jing, L.D.; Xia, F.; Yan, M.X.; Liu, J.T.; Wu, Y.H.; Wu, Y.L.; Wu, C.X. Effects of herbicide butachlor application on the growth of periphytic biofilms and nitrogen loss in paddy systems. Pedosphere 2024, 34, 211–221. [Google Scholar] [CrossRef]
  23. Salvani, G.; Jumawan, J.C. Butachlor at environmentally relevant concentrations induces partial feminization in male Luzon wart frog Fejervarya vittigera Wiegmann, 1834. J. Hazard. Mater. Adv. 2023, 10, 100275. [Google Scholar] [CrossRef]
  24. Xu, H.D.; Wang, J.S.; Li, M.H.; Liu, Y.; Chen, T.; Jia, A.Q. 1NMR based metabolomics approach to study the toxic effects of herbicide butachlor on goldfish (Carassius auratus). Aquat. Toxicol. 2015, 159, 69–80. [Google Scholar] [CrossRef]
  25. Saravanan, M.; Kim, J.Y.; Hur, K.J.; Ramesh, M.; Hur, J.H. Responses of the freshwater fish Cyprinus carpio exposed to different concentrations of butachlor and oxadiazon. Biocatal. Agric. Biotechnol. 2017, 11, 275–281. [Google Scholar] [CrossRef]
  26. Kumar, V.; Swain, H.S.; Roy, S.; Das, B.K.; Upadhyay, A.; Ramteke, M.H.; Kumar, V.; Kole, R.K.; Banerjee, H. Integrated biomarker approach strongly explaining in vivo sub-lethal acute toxicity of butachlor on Labeo rohita. Comp. Biochem. Phys. Part C Toxicol. Pharmacol. 2002, 261, 109427. [Google Scholar] [CrossRef] [PubMed]
  27. Chang, J.H.; Liu, S.Y.; Zhou, S.L.; Wang, M.H.; Zhu, G.N. Effects of butachlor on reproduction and hormone levels in adult zebrafish (Danio rerio). Exp. Toxicol. Pathol. 2013, 65, 205–209. [Google Scholar] [CrossRef] [PubMed]
  28. Farah, M.A.; Ateeq, B.; Ali, M.N.; Sabir, R.; Ahmad, W. Studies on lethal concentrations and toxicity stress of some xenobiotics on aquatic organisms. Chemosphere 2004, 55, 257–265. [Google Scholar] [CrossRef]
  29. Wang, Y.H.; Lv, L.; Yu, Y.J.; Yang, G.L.; Xu, Z.L.; Wang, Q.; Cai, L.M. Single and joint toxic effects of five selected pesticides on the early life stages of zebrafish (Denio rerio). Chemosphere 2017, 170, 61–67. [Google Scholar] [CrossRef]
  30. Tu, W.Q.; Niu, L.L.; Liu, W.P.; Xu, C. Embryonic exposure to butachlor in zebrafish (Danio rerio): Endocrine disruption, developmental toxicity and immunotoxicity. Ecotoxicol. Environ. Saf. 2013, 89, 189–195. [Google Scholar] [CrossRef]
  31. Gan, J.H.; Lv, L.; Peng, J.; Li, J.P.; Xiong, Z.T.; Chen, D.Q.; He, L. Multi-residue method for the determination of organofluorine pesticides in fish tissue by liquid chromatography triple quadrupole tandem mass spectrometry. Food. Chem. 2016, 207, 195–204. [Google Scholar] [CrossRef]
  32. Huang, X.L.; Wu, S.; Huang, L.; Wang, P.; Chen, Z.X.; Qin, D.L. Toxicity of mefenacet on the juvenile Eriocheir sinensis. Chin. Fishery. Qual. Stand. 2021, 11, 1–8. [Google Scholar]
  33. Tilak, K.S.; Veeraiah, K.; Thathaji, R.B.; Butchiram, M.S. Toxicity studies of butachlor to the freshwater fish Channa punctata (Bloch). J. Environ. Biol. 2007, 28, 485–487. [Google Scholar]
  34. Nwani, C.D.; Ama, U.I.; Okoh, F.; Oji, U.O.; Ogbonyealu, R.C.; Ibiam, A.A.; Udu-Ibiam, O. Acute toxicity of the chloroacetanilide herbicide butachlor and its effects on the behavior of the freshwater fish Tilapia zillii. Afr. J. Biotechnol. 2013, 12, 499–503. [Google Scholar]
  35. Tomlin, C. The Pesticide Manual, 15th ed.; British Crop Protection Council: Cambridge, UK, 1994; pp. 855–857. [Google Scholar]
  36. Hedayati, A.; Gerami, M.H. Acute toxicity of butachlor to caspian kutum (Rutilus frisii Kutum Kamensky, 1991). J. Environ. Treat. Tech. 2014, 2, 155–157. [Google Scholar]
  37. GB/T 31270.21-2014; Guidelines on Environmental Safety Assessment for Chemical Pesticides—Part 21: Macro-crustacean Toxicity Test. Ministry of Agriculture of the People’s Republic of China (MOA): Beijing, China, 2014.
  38. Hong, Y.H.; Yang, X.Z.; Yan, G.W.; Huang YZuo, F.; Shen, Y.X.; Ding, Y.; Cheng, Y. Effects of glyphosate on immune responses and haemocyte DNA damage of Chinese mitten crab, Eriocheir sinensis. Fish Shellfish Immunol. 2017, 71, 19–27. [Google Scholar] [CrossRef] [PubMed]
  39. Li, H.; Song, W.H.; Li, W.K.; Fu, L.J.; Yao, X.F.; Hu, Z.Y.; Zhang, T.; Zhang, J. Acute toxicity of three pesticides to juvenile Chinese mitten crab (Eriocheir sinensis). Chin. J. Fish 2013, 26, 44–47. [Google Scholar]
  40. Jiang, J.H.; Wu, S.G.; Liu, X.J.; Wang, Y.H.; An, X.H.; Cai, L.M.; Zhao, X.P. Effect of acetochlor on transcription of genes associated with oxidative stress, apoptosis, immunotoxicity and endocrine disruption in the early life stage of zebrafish. Environ. Toxicol. Pharmacol. 2015, 40, 516–523. [Google Scholar] [CrossRef] [PubMed]
  41. Tramboo, S.M.; Yousuf, A.R.; Akbar, S. Oxidative stress-inducing potential of butachlor in a freshwater fish, Cyprinus carpio (L). Toxicol. Environ. Chem. 2011, 93, 285–295. [Google Scholar] [CrossRef]
  42. Sun, Y.Y.; Yin, Y.; Zhang, J.F.; Yu, H.X.; Wang, X.R. Bioaccumulation and ROS generation in liver of freshwater fish, goldfish Carassius auratus under HC Orange No. 1 exposure. Environ. Toxicol. Int. J. 2007, 22, 256–263. [Google Scholar] [CrossRef]
  43. Woo, S.; Yum, S.; Park, H.S.; Lee, T.K.; Ryu, J.C. Effects of heavy metals on antioxidants and stress-responsive gene expression in Javanese medaka (Oryzias javanicus). Comp. Biochem. Physiol. Part C Toxicol. Pharmacol. 2009, 149, 289–299. [Google Scholar] [CrossRef]
  44. Dong, J.J.; Wang, Y.X.; Xu, L.; Zhao, X.F.; Lai, Q.L.; Zhou, X.Y. Control efficacy of oxadiargly·simetryn·butachlor 50% EC against weeds in rice transplanting field. World Pest. 2021, 43, 46–50. [Google Scholar]
  45. Yang, X.Z.; Yu, X.W.; Sun, N.B.; Shi, X.L.; Niu, C.; Shi, A.Y.; Cheng, Y.X. Glyphosate-based herbicide causes spermatogenesis disorder andspermatozoa damage of the Chinese mitten crab (Eriocheir sinensis) by affecting testes characteristic enzymes, antioxidant capacities and inducing apoptosis. Toxicol. Appl. Pharmacol. 2022, 447, 116086. [Google Scholar] [CrossRef]
  46. Yang, Z.G.; Fang, Y.C.; Liu, J.N.; Chen, A.Q.; Cheng, Y.X.; Wang, Y.J. Moderate acidification mitigates the toxic effects of phenanthrene on the mitten crab Eriocheir sinensis. Chemosphere 2022, 294, 133783. [Google Scholar] [CrossRef] [PubMed]
  47. Yu, Y.F.; Zhang, Z.X.; Chen, L.N.; Chen, Q.H.; Wang, Z.Y.; Liao, X.Q.; Li, Z.X.; Zhu, F.; Zhou, X.J. Marine pollutant Phenanthrene (PHE) exposure causes immunosuppression of hemocytes in crustacean species, Scylla paramamosain. Comp. Biochem. Physiol. Part C Toxicol. Pharmacol. 2024, 275, 109761. [Google Scholar]
Figure 1. Effects of butachlor on the levels of GSH (a) and SOD (b) as well as on the activities of CAT (c) and MDA (d) in the gills of juvenile E. sinensis crabs. BC: blank control, SC: solvent control.
Figure 1. Effects of butachlor on the levels of GSH (a) and SOD (b) as well as on the activities of CAT (c) and MDA (d) in the gills of juvenile E. sinensis crabs. BC: blank control, SC: solvent control.
Fishes 09 00177 g001
Figure 2. Effects of butachlor levels on GSH (a), SOD (b), CAT (c), and MDA (d) contents in the hepatopancreas of juvenile Chinese mitten crab, Eriocheir sinensis. BC: blank control, SC: solvent control.
Figure 2. Effects of butachlor levels on GSH (a), SOD (b), CAT (c), and MDA (d) contents in the hepatopancreas of juvenile Chinese mitten crab, Eriocheir sinensis. BC: blank control, SC: solvent control.
Fishes 09 00177 g002
Figure 3. Residual of butachlor in the tissues of juvenile E. sinensis crabs.
Figure 3. Residual of butachlor in the tissues of juvenile E. sinensis crabs.
Fishes 09 00177 g003
Table 1. Effects of butachlor-induced acute toxicity on juvenile E. sinensis crabs.
Table 1. Effects of butachlor-induced acute toxicity on juvenile E. sinensis crabs.
ItemsAverage Number of Death/Mortality Rate (%) (n = 10)
24 h48 h72 h96 h
NumberRate (%)NumberRate (%)NumberRate (%)NumberRate (%)
Butachlor concentration
(mg/L)
Blank control00000000
Ethanol control00000000
0.010.50 ± 0.585.00 ± 5.77 b1.00 ± 0.8210.00 ± 8.17 b1.50 ± 0.5815.00 ± 5.77 b2.00 ± 0.8220.00 ± 8.17 b
0.041.00 ± 0.8210.00 ± 8.17 b1.25 ± 0.9612.50 ± 9.57 b1.75 ± 0.5017.50 ± 5.00 b3.50 ± 0.5835.00 ± 5.77 b
0.161.00 ± 0.8210.00 ± 8.17 ab1.25 ± 0.9617.50 ± 5.00 b1.75 ± 0.5037.50 ± 5.00 b3.50 ± 0.5847.50 ± 9.57 b
0.631.75 ± 0.5017.50 ± 5.00 b2.25 ± 0.9622.50 ± 9.57 b4.50 ± 1.2945.00 ± 12.91 b6.25 ± 0.9662.50 ± 9.57 b
2.512.50 ± 0.5825.00 ± 5.77 b4.50 ± 1.2945.00 ± 12.9 b8.00 ± 0.8280.00 ± 8.17 a9.50 ± 0.5895.00 ± 5.77 a
104.50 ± 1.2945.00 ± 12.91 a6.50 ± 0.5865.00 ± 5.77 a10.00100.00 a10.00100 a
LC50/(mg/L)5.312.110.470.18
Note: Data expressed as mean ± standard deviation of the four replicates. Values within the same row with different letters mean a significant difference (p < 0.05).
Disclaimer/Publisher’s Note: The statements, opinions and data contained in all publications are solely those of the individual author(s) and contributor(s) and not of MDPI and/or the editor(s). MDPI and/or the editor(s) disclaim responsibility for any injury to people or property resulting from any ideas, methods, instructions or products referred to in the content.

Share and Cite

MDPI and ACS Style

Wu, S.; Wang, P.; Zhang, Y.; Huang, L.; Hao, Q.; Gao, L.; Qin, D.; Huang, X. Toxicity, Oxidative Stress, and Tissue Distribution of Butachlor in the Juvenile Chinese Mitten Crab (Eriocheir sinensis). Fishes 2024, 9, 177. https://doi.org/10.3390/fishes9050177

AMA Style

Wu S, Wang P, Zhang Y, Huang L, Hao Q, Gao L, Qin D, Huang X. Toxicity, Oxidative Stress, and Tissue Distribution of Butachlor in the Juvenile Chinese Mitten Crab (Eriocheir sinensis). Fishes. 2024; 9(5):177. https://doi.org/10.3390/fishes9050177

Chicago/Turabian Style

Wu, Song, Peng Wang, Ying Zhang, Li Huang, Qirui Hao, Lei Gao, Dongli Qin, and Xiaoli Huang. 2024. "Toxicity, Oxidative Stress, and Tissue Distribution of Butachlor in the Juvenile Chinese Mitten Crab (Eriocheir sinensis)" Fishes 9, no. 5: 177. https://doi.org/10.3390/fishes9050177

APA Style

Wu, S., Wang, P., Zhang, Y., Huang, L., Hao, Q., Gao, L., Qin, D., & Huang, X. (2024). Toxicity, Oxidative Stress, and Tissue Distribution of Butachlor in the Juvenile Chinese Mitten Crab (Eriocheir sinensis). Fishes, 9(5), 177. https://doi.org/10.3390/fishes9050177

Article Metrics

Back to TopTop