Beam Test of the First Prototype of SiPM-on-Tile Calorimeter Insert for the EIC Using 4 GeV Positrons at Jefferson Laboratory
Abstract
:1. Introduction
2. Prototype
3. Experimental Setup and Data Acquisition System
4. Data Analysis
4.1. Pedestal and Cosmic Ray Runs
4.2. Energy Calibration
4.3. Simulation
4.4. Hit and Event Selection
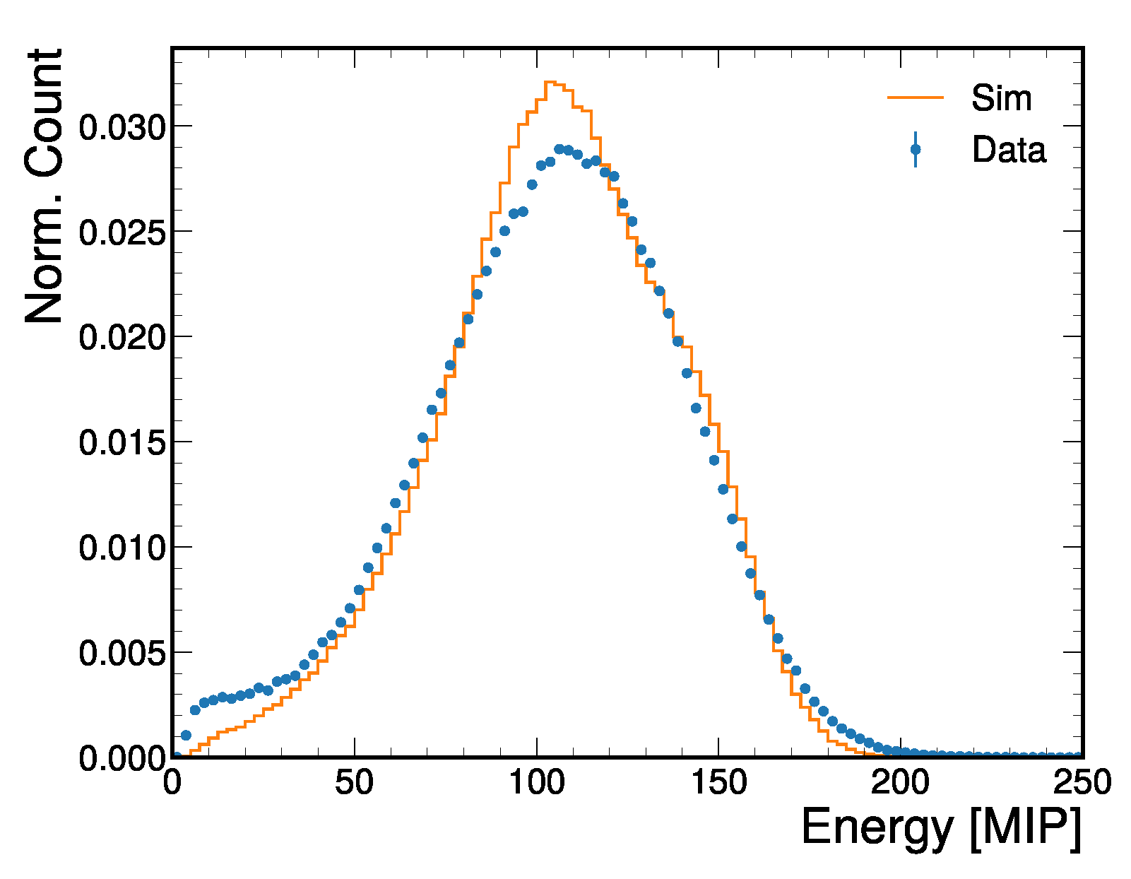
5. Results
6. Summary and Outlook
7. Code Availability
Author Contributions
Funding
Data Availability Statement
Acknowledgments
Conflicts of Interest
References
- Accardi, A.; Albacete, J.L.; Anselmino, M.; Armesto, N.; Aschenauer, E.C.; Bacchetta, A.; Boer, D.; Brooks, W.K.; Burton, T.; Chang, N.B.; et al. Electron Ion Collider: The Next QCD Frontier: Understanding the glue that binds us all. Eur. Phys. J. A 2016, 52, 268. [Google Scholar] [CrossRef]
- Adkins, J.K.; Akiba, Y.; Albataineh, A.; Amaryan, M.; Arsene, I.C.; Gayoso, C.A.; Bae, J.; Bai, X.; Baker, M.D.; Bashkanov, M.; et al. Design of the ECCE Detector for the Electron Ion Collider. arXiv 2022, arXiv:2209.02580. [Google Scholar]
- Adam, J.; Adamczyk, L.; Agrawal, N.; Aidala, C.; Akers, W.; Alekseev, M.; Allen, M.M.; Ameli, F.; Angerami, A.; Antonioli, P.; et al. ATHENA detector proposal—A totally hermetic electron nucleus apparatus proposed for IP6 at the Electron-Ion Collider. J. Instrum. 2022, 17, P10019. [Google Scholar] [CrossRef]
- Abdul Khalek, R.; Accardi, A.; Adam, J.; Adamiak, D.; Akers, W.; Albaladejo, M.; Al-Bataineh, A.; Alexeev, M.G.; Ameli, F.; Antonioli, P.; et al. Science Requirements and Detector Concepts for the Electron-Ion Collider: EIC Yellow Report. Nucl. Phys. A 2022, 1026, 122447. [Google Scholar] [CrossRef]
- Arratia, M.; Barish, K.; Blanchard, L.; Huang, H.Z.; Ji, Z.; Karki, B.; Long, O.; Milton, R.; Paul, A.; Paul, S.J.; et al. A high-granularity calorimeter insert based on SiPM-on-tile technology at the future Electron-Ion Collider. Nucl. Instrum. Meth. A 2023, 1047, 167866. [Google Scholar] [CrossRef]
- Blazey, G.; Chakraborty, D.; Dyshkant, A.; Francis, K.; Hedin, D.; Hill, J.; Lima, G.; Powell, J.; Salcido, P.; Zutshi, V.; et al. Directly Coupled Tiles as Elements of a Scintillator Calorimeter with MPPC Readout. Nucl. Instrum. Meth. A 2009, 605, 277–281. [Google Scholar] [CrossRef]
- Simon, F.; Soldner, C. Uniformity Studies of Scintillator Tiles directly coupled to SiPMs for Imaging Calorimetry. Nucl. Instrum. Meth. A 2010, 620, 196–201. [Google Scholar] [CrossRef]
- Sefkow, F.; White, A.; Kawagoe, K.; Pöschl, R.; Repond, J. Experimental tests of particle flow calorimetry. Rev. Mod. Phys. 2016, 88, 015003. [Google Scholar] [CrossRef]
- Adloff, C.; Karyotakis, Y.; Repond, J.; Brandt, A.; Brown, H.; De, K.; Medina, C.; Smith, J.; Li, J.; Sosebee, M.; et al. Construction and Commissioning of the CALICE Analog Hadron Calorimeter Prototype. J. Instrum. 2010, 5, P05004. [Google Scholar] [CrossRef]
- The CALICE Collaboration. Design, Construction and Commissioning of a Technological Prototype of a Highly Granular SiPM-on-tile Scintillator-Steel Hadronic Calorimeter. arXiv 2022, arXiv:2209.15327.
- CLICdp Collaboration. Detector Technologies for CLIC; CERN–2019–001; CERN: Geneva, Switzerland, 2019. [Google Scholar] [CrossRef]
- The CEPC Study Group. CEPC Conceptual Design Report: Volume 2—Physics & Detector. arXiv 2018, arXiv:1811.10545.
- Li, L.; Shan, Q.; Jia, W.; Yu, B.; Liu, Y.; Shi, Y.; Hu, T.; Jiang, J. Optimization of the CEPC-AHCAL scintillator detector cells. J. Instrum. 2021, 16, P03001. [Google Scholar] [CrossRef]
- Jiang, J.; Shi, Y.; Niu, Y.; Zhao, S.; Zhang, Y.; Liu, J.; Hu, T.; Liu, Y.; Yu, B. A study of sensitive elements of CEPC-AHCAL. J. Instrum. 2020, 15, C05041. [Google Scholar] [CrossRef]
- Duan, Y.; Jiang, J.; Li, J.; Li, L.; Li, S.; Liu, D.; Liu, J.; Liu, Y.; Qi, B.; Qian, R.; et al. Scintillator tile batch test of CEPC AHCAL. J. Instrum. 2022, 17, P05006. [Google Scholar] [CrossRef]
- Abramowicz, H.; Jovin, T.A.; Alonso, O.; Amjad, M.S.; An, F.; Andricek, L.; Anduze, M.; Anguiano, J.; Antonov, E.; Aoki, Y.; et al. International Large Detector: Interim Design Report. arXiv 2020, arXiv:2003.01116. [Google Scholar]
- Contardo, D.; Ball, A.; CMS Collaboration. The Phase-2 Upgrade of the CMS Endcap Calorimeter; Technical Report, CERN-LHCC-2017-023, CMS-TDR-019; CERN: Geneva, Switzerland, 2017. [Google Scholar]
- Contardo, D.; Klute, M.; Mans, J.; Silvestris, L.; Butler, J. Technical Proposal for the Phase-II Upgrade of the CMS Detector; Technical Report, CERN-LHCC-2015-010; CERN: Geneva, Switzerland, 2015. [Google Scholar] [CrossRef]
- Belloni, A.; Chen, Y.M.; Dyshkant, A.; Edberg, T.K.; Eno, S.; Freeman, J.; Krohn, M.; Lai, Y.; Lincoln, D.; Los, S.; et al. Test beam study of SiPM-on-tile configurations. J. Instrum. 2021, 16, P07022. [Google Scholar] [CrossRef]
- Acar, B.; Adamov, G.; Adloff, C.; Afanasiev, S.; Akchurin, N.; Akgün, B.; Alhusseini, M.; Alison, J.; de Almeida, P.D.; Alpana, A.; et al. Performance of the CMS High Granularity Calorimeter prototype to charged pion beams of 20–300 GeV/c. J. Instrum. 2023, 18, P08014. [Google Scholar] [CrossRef]
- Andreev, V.; Balagura, V.; Bobchenko, B.; Buzhan, P.; Cvach, J.; Danilov, M.; Devitsin, E.; Dodonov, V.; Dolgoshein, B.; Eigen, G.; et al. A high-granularity scintillator calorimeter readout with silicon photomultipliers. Nucl. Instrum. Methods Phys. Res. Sect. Accel. Spectrometers Detect. Assoc. Equip. 2005, 540, 368–380. [Google Scholar] [CrossRef]
- Bombardi, G.; Marchioro, A.; Vergine, T.; Bouyjou, F.; Guilloux, F.; Callier, S.; Dulucq, F.; Berni, M.E.; de La Taille, C.; Raux, L.; et al. HGCROC-Si and HGCROC-SiPM: The front-end readout ASICs for the CMS HGCAL. In Proceedings of the 2020 IEEE Nuclear Science Symposium and Medical Imaging Conference (NSS/MIC), Boston, MA, USA, 31 October–7 November 2020; pp. 1–4. [Google Scholar]
- Arratia, M.; Garabito Ruiz, L.; Huang, J.; Paul, S.J.; Preins, S.; Rodriguez, M. Studies of time resolution, light yield, and crosstalk using SiPM-on-tile calorimetry for the future Electron-Ion Collider. J. Instrum. 2023, 18, P05045. [Google Scholar] [CrossRef]
- MPPC S14160-3015PS. Available online: https://www.hamamatsu.com/us/en/product/optical-sensors/mppc/mppc_mppc-array/S14160-3015PS.html (accessed on 23 August 2023).
- Paul, S.J.; Arratia, M. Leveraging Staggered Tessellation for Enhanced Spatial Resolution in High-Granularity Calorimeters. arXiv 2023, arXiv:2308.06939. [Google Scholar]
- Adhikari, S.; Akondi, C.S.; Al Ghoul, H.; Ali, A.; Amaryan, M.; Anassontzis, E.G.; Austregesilo, A.; Barbosa, F.; Barlow, J.; Barnes, A.; et al. The GLUEX beamline and detector. Nucl. Instrum. Meth. A 2021, 987, 164807. [Google Scholar] [CrossRef]
- Barbosa, F.; Hutton, C.; Sitnikov, A.; Somov, A.; Somov, S.; Tolstukhin, I. Pair spectrometer hodoscope for Hall D at Jefferson Lab. Nucl. Instrum. Meth. A 2015, 795, 376–380. [Google Scholar] [CrossRef]
- Venaruzzo, M.; Abba, A.; Tintori, C.; Venturini, Y. FERS-5200: A distributed Front-End Readout System for multidetector arrays. arXiv 2020, arXiv:2010.15688. [Google Scholar]
- A5261—SiPM Remotization Cable (0.7 m) for A5253. Available online: https://www.caen.it/products/a5261/ (accessed on 23 August 2023).
- Frank, M.; Gaede, F.; Grefe, C.; Mato, P. DD4hep: A Detector Description Toolkit for High Energy Physics Experiments. J. Phys. Conf. Ser. 2014, 513, 022010. [Google Scholar] [CrossRef]
- Agostinelli, S.; Allison, J.; Amako, K.A.; Apostolakis, J.; Araujo, H.; Arce, P.; Asai, M.; Axen, D.; Banerjee, S.; Barrand, G.J.N.I.; et al. GEANT4–a simulation toolkit. Nucl. Instrum. Meth. A 2003, 506, 250–303. [Google Scholar] [CrossRef]
- de Silva, L.M.S.; Simon, F. Effects of misalignment on response uniformity of SiPM-on-tile technology for highly granular calorimeters. J. Instrum. 2020, 15, P06030. [Google Scholar] [CrossRef]
- Bock, F.; Schmidt, N.; Wang, P.K.; Santiesteban, N.; Horn, T.; Huang, J.; Lajoie, J.; Camacho, C.M.; Adkins, J.K.; Akiba, Y.; et al. Design and Simulated Performance of Calorimetry Systems for the ECCE Detector at the Electron Ion Collider. Nucl. Instrum. Meth. A 2023, 1055, 168464. [Google Scholar] [CrossRef]
- Arratia, M.; Milton, R.; Paul, S.J.; Schmookler, B.; Zhang, W. A Few-Degree Calorimeter for the future Electron-Ion Collider. arXiv 2023, arXiv:2307.12531. [Google Scholar]









Disclaimer/Publisher’s Note: The statements, opinions and data contained in all publications are solely those of the individual author(s) and contributor(s) and not of MDPI and/or the editor(s). MDPI and/or the editor(s) disclaim responsibility for any injury to people or property resulting from any ideas, methods, instructions or products referred to in the content. |
© 2023 by the authors. Licensee MDPI, Basel, Switzerland. This article is an open access article distributed under the terms and conditions of the Creative Commons Attribution (CC BY) license (https://creativecommons.org/licenses/by/4.0/).
Share and Cite
Arratia, M.; Bagby, B.; Carney, P.; Huang, J.; Milton, R.; Paul, S.J.; Preins, S.; Rodriguez, M.; Zhang, W. Beam Test of the First Prototype of SiPM-on-Tile Calorimeter Insert for the EIC Using 4 GeV Positrons at Jefferson Laboratory. Instruments 2023, 7, 43. https://doi.org/10.3390/instruments7040043
Arratia M, Bagby B, Carney P, Huang J, Milton R, Paul SJ, Preins S, Rodriguez M, Zhang W. Beam Test of the First Prototype of SiPM-on-Tile Calorimeter Insert for the EIC Using 4 GeV Positrons at Jefferson Laboratory. Instruments. 2023; 7(4):43. https://doi.org/10.3390/instruments7040043
Chicago/Turabian StyleArratia, Miguel, Bruce Bagby, Peter Carney, Jiajun Huang, Ryan Milton, Sebouh J. Paul, Sean Preins, Miguel Rodriguez, and Weibin Zhang. 2023. "Beam Test of the First Prototype of SiPM-on-Tile Calorimeter Insert for the EIC Using 4 GeV Positrons at Jefferson Laboratory" Instruments 7, no. 4: 43. https://doi.org/10.3390/instruments7040043
APA StyleArratia, M., Bagby, B., Carney, P., Huang, J., Milton, R., Paul, S. J., Preins, S., Rodriguez, M., & Zhang, W. (2023). Beam Test of the First Prototype of SiPM-on-Tile Calorimeter Insert for the EIC Using 4 GeV Positrons at Jefferson Laboratory. Instruments, 7(4), 43. https://doi.org/10.3390/instruments7040043

