Next Article in Journal
Heat Transfer and Thermal Management of Interior Permanent Magnet Synchronous Electric Motor
Next Article in Special Issue
Study of Two-Phase Newtonian Nanofluid Flow Hybrid with Hafnium Particles under the Effects of Slip
Previous Article in Journal
The CaliPhoto Method
Previous Article in Special Issue
Investigation of Mixed Convection in a Cylindrical Lid Driven Cavity Filled with Water-Cu Nanofluid
 
 
Font Type:
Arial Georgia Verdana
Font Size:
Aa Aa Aa
Line Spacing:
Column Width:
Background:
Article

Peristaltic Propulsion of Jeffrey Nanofluid with Thermal Radiation and Chemical Reaction Effects

by
Munawwar Ali Abbas
1,
Muhammad Mubashir Bhatti
2,3,* and
Mohsen Sheikholeslami
4
1
Department of Mathematics, University of Baltistan Skardu, Skardu 16100, Pakistan
2
College of Mathematics and Systems Science, Shandong University of Science and Technology, Qingdao 266590, China
3
Shanghai Institute of Applied Mathematics and Mechanics, Shanghai University, Shanghai 200072, China
4
Department of Mechanical Engineering, Babol Noshirvani University of Technology, Babol, Iran
*
Author to whom correspondence should be addressed.
Inventions 2019, 4(4), 68; https://doi.org/10.3390/inventions4040068
Submission received: 17 September 2019 / Revised: 11 November 2019 / Accepted: 21 November 2019 / Published: 27 November 2019
(This article belongs to the Special Issue Recent Trends in Nanofluids)

Abstract

:
In this article, we have studied non-uniform hemodynamic nanofluid flow in the presence of an external magnetic field. The fluid contains magnetized nanoparticles in the presence of thermal radiation and chemical reaction. The magnetic field plays an essential role in targeting drugs by magnetic nanoparticles (“ferrofluids”) for different kinds of diseases in a human body. The Jeffrey viscoelastic model is employed to simulate non-Newtonian characteristics. With an approximation of long wavelength and minimal Reynolds number, a mathematical formulation has been performed. Numerical and analytical simulation has been used to examine the role of all the emerging parameters. Individual cases for the Newtonian fluid, non-Newtonian, nanofluid, and base fluid, have been exhibited numerically. A magnificent graphical correlation is additionally given with recently obtained outcomes to show the validity of the present findings and methodology.

1. Introduction

Magnetic drug targeting plays an essential and significant role nowadays in biomedical engineering. The central theme of magnetic drug targeting is a specific delivery of the chemotherapeutic agents to their associated targets i.e., tumors, with the help of the magnetic nanoparticles (“ferrofluids”) leap to the relevant agents and an extrinsic magnetic field is applied to the desired tumor. For the first magnetic drug targeting in a human body, this was connected to bio-compatible iron-core particles of sized 100 nm diameter. These small particles were systematically controlled, and an extrinsic magnetic field was used for the shallow tumor at the inoperable places. Numerous types of magnetic carrier have been presented and introduced in the literature. Gene therapy and Drugs have been connected to magnetic nanoparticles (“Ferrofluids”) [1,2,3], i.e., bio-compatible Nanoscale or microscopic capsules which are filled with magnetic materials and drugs [4,5], and live cells are cultivated in a media that consists of magnetic particles so that the cell absorbs the particles and then it can be handled by the magnetic fields [6]. Chemists and nanofabricators should work on a collaboration with mathematicians, engineers, and biologists to examine how carries propagate through the live tissues and how to enhance the magnetic designs and carries the therapy process to the targeted diseases. Clinicians must involve during the whole procedure to make sure that the techniques that are introduced must meet the compelling clinical requirement and will be practically beneficial for clinical settings.
Because it is of such importance, various authors discussed the behavior of the magnetic field and the nanofluid mechanism. For instance, Misra et al. [7] theoretically studied the mechanism of blood flow through an arterial segment. He considered the blood as an external plasma layer that does not contain red cells utilizing a Casson fluid model. Akbar et al. [8] examined the slip effects on the sinusoidal motion of the peristaltic flow of nanofluids. Tripathi and Bég [9] presented a detailed study on the peristaltic motion of a nanofluid for the case of drug delivery. However, they ignored the effects of the non-Newtonian case and obtained exact solutions. Sheikholeslami and Abelman [10] used two-phase modeling for the simulation of nanofluids and heat transfer with an axial magnetic field. Akbar et al. [11] discussed the behavior of the magnetic field with heat transfer in the presence of carbon nanoparticles propagating through a permeable channel. Entropy generation on the blood flow of a nanofluid employing analytical simulation was presented by Rashidi et al. [12]. Bhatti et al. [13] investigated blood clotting in the nanofluid flow with the gyrotactic microorganism and variable magnetic field. Iftikhar et al. [14] used copper Nanofluid with water as a base fluid propagating through a magnetized inclined tube. Abdelsalam and Bhatti [15] studied a non-Newtonian nanofluid model with hall and ion slip effects spreading through a non-uniform channel. Mekheimer et al. [16] explored the behavior of blood in the presence of gold nanoparticles using a third-grade nanofluid through a catheter. They presented an application of cancer therapy. Akram et al. [17] used a Jeffrey fluid model to determine the double-diffusive process in a nanofluid with magnetic effects. Prakash et al. [18] explored the thermal radiation, magnetic, and temperature-dependent viscosity on the nanofluid flow and presented mathematical modeling for the solar magneto-biomimetic pump. Abdelsalam and Bhatti [19] presented a new mathematical modeling for AuNP blood flow with the applications of cosmetic and tumor treatment through an annulus filled with nanofluids. A few more studies on the nanofluid and magnetic field can be found from the references [20,21,22,23,24,25].
The nanofluid flow with thermal and chemical reaction has broad applications in cooling, expulsion procedures and polymer industry. The chemical reaction can be classified as either homogeneous or heterogeneous procedures. A homogeneous response is one that happens consistently through a given stage. Conversely, a heterogeneous reaction happens in a limited district or inside the limit of a phase. Thermal and chemical response execution investigations of steam methane transforming in permeable media solar-powered thermochemical reactors were examined in detail by [26,27]. However, there are not many investigations of its impact on convective unsteadiness in nanofluids. Recently, Akbarzadeh [28] and Yadav [29] examined the effect of chemical reaction on the convective instability in a horizontal layer of nanofluids utilizing the direct soundness examination. They saw that the dependability of the framework augmented with an enlargement in the substance response parameter. Furthermore, thermochemical execution of solar-based driven changing of methane in a volumetric reactor with permeable media was numerically researched by [30,31]. However, transforming and gasification of previously mentioned carbonaceous fuels typically occur at high temperatures bringing about generally high heat dissipation. A significant expense central receiver system is required for applying the heat during this sort of high-temperature endothermic process.
The present work audits progress in and our comprehension of thermal radiation and the response of chemical reaction in magnetized nanofluid flow. The present analysis is applicable for magnetic drug targeting for various treatments in a human body. The arrangement of administering stream issues for velocity profile, temperature profile, and nanoparticle concentration profile is acquired with the assistance of the perturbation technique. The impacts of various parameters of intrigue are talked about and exhibited graphically. Our hope is that the present analysis will be beneficial for the researchers to analyze magnetic drug targeting for clinical purposes.

2. Mathematical Formulation

The two-dimensional non-uniform channel is considered with a sinusoidal wave spreading towards its dividers. The proposed geometrical structure contains blood in the presence of magnetized nanoparticles. The blood chemically reacts in the presence of thermal radiation effects. The Cartesian coordinate framework ( x ˜ , y ˜ ) is chose. Here, x ˜ -axis is considered along the centerline toward wave proliferation and y ˜ -axis is transverse to it (see Figure 1). B 0 is the extrinsic magnetic field quality, which is acting along the y ˜ -axis and an induced magnetic field is neglected. The geometry of the divider surface is characterized as:
H ( x ˜ , t ˜ ) = b ( x ˜ ) + a ˜ sin 2 π λ ( x ˜ C t ˜ ) ,
where b ( x ˜ ) = b 0 + Κ ¯ x ˜ . The relevant equations for the present flow model are given as:
u ˜ x ˜ + v ˜ y ˜ = 0 ,
ρ f ( u ˜ t ˜ + u ˜ u ˜ x ˜ + v ˜ u ˜ y ˜ ) = p ˜ x ˜ + x ˜ S x ˜ x ˜ + y ˜ S x ˜ y ˜ σ B 0 2 u ˜ + g [ ( 1 F ) ρ f 0 ζ ( T T 0 ) ( ρ p ρ f 0 ) ( F F 0 ) ] ,
ρ f ( v ˜ t ˜ + v ˜ u ˜ x ˜ + v ˜ v ˜ y ˜ ) = p ˜ y ˜ + x ˜ S y ˜ x ˜ + y ˜ S y ˜ y ˜ + g [ ( 1 F ) ρ f 0 ζ ( T T 0 ) ( ρ p ρ f 0 ) ( F F 0 ) ]
The concentration and energy equations are:
( ρ c ) f ( T t ˜ + u ˜ T x ˜ + v ˜ T y ˜ ) = κ ( 2 T x ˜ 2 + 2 T y ˜ 2 ) + ( ρ c ) p D B ( T x ˜ F x ˜ + F y ˜ T y ˜ ) + D T T 0 ( ( T x ˜ ) 2 + ( T y ˜ ) 2 ) q r y ˜ + Q 0 ,
( F t ˜ + u ˜ F x ˜ + v ˜ F y ˜ ) = D B ( 2 F x ˜ 2 + 2 F y ˜ 2 ) + D T T 0 ( 2 T x ˜ 2 + 2 T y ˜ 2 ) k 1 ( F F 0 ) .
The radiative heat flux q r under the approximation of Roseland for radiation is defined as:
q r = T 4 y ˜ [ 4 σ ˜ 3 k ˜ ] ,
In the above equations, σ ˜ is Stefan–Boltzmann consistent and is mean retention steady. The temperature term can be stretched out ( T 4 ) about a free stream temperature ( T 0 ) . Since the temperature inside the nanoparticles of blood flow is extremely small, it tends to be composed as:
T 4 = T 0 4 + 4 T 0 3 ( T T 0 ) + 6 T 0 2 ( T T 0 ) 2 + . . . .
The above equation can be modified as:
T 4 4 T 0 3 ( T T 0 ) ,
Using Equation (9) into Equation (7) we get:
q r = 16 σ ˜ 3 k ˜ T y ˜ .
For the non-Newtonian Jeffrey fluid, the extra stress tensor is defined as:
S = μ 1 + λ 1 ( γ ˙ + λ 2 γ ¨ ) ,
Defining the non-dimensional quantities:
x = x ˜ λ ,   y = y ˜ b 0 ,   t = c ˜ t ˜ λ ,   u = u ˜ c ˜ ,   v = v ˜ c ˜ δ ,   p = p ˜ b 0 2 λ μ c ˜ ,   h = b 0 ,   ϕ = a ˜ b 0 ,   Re = c ˜ ρ a ˜ μ ,   δ = b 0 λ ,   θ = T T 0 T 1 T 0 ,   Φ = F F 0 F 1 F 0 ,   G r F = g b 0 3 ( ρ p ρ f 0 ) ( F 1 F 0 ) ρ f 0 ν 2 , M = B 0 2 a ˜ 2 σ μ f , N b = ( ρ c ) p D B ( F 1 F 0 ) κ ,   γ = k 1 b 0 2 ν ,   N t = ( ρ c ) p D T ( T 1 T 0 ) κ T 0 ,   P r = ν ( ρ c ) f κ ,   G r T = ζ g b 0 3 ( T 1 T 0 ) ( 1 F 0 ) ρ f 0 ν 2 ,   β = Q 0 b 0 2 ( T 1 T 0 ) ν c p , γ = k 1 b 0 2 ν , R d = 16 σ ˜ T 0 3 3 k ˜ μ c f , S = b 0 μ C S .
Using Equation (12) into the governing equations and after dropping the tilde, the resulting equations are
1 1 + λ 1 2 u y 2 + M 2 u + G r T θ G r F Φ p x = 0 ,
( 1 P r + R d ) 2 θ y 2 + N b θ y Φ y + N t ( θ y ) 2 + β = 0 ,
2 Φ y 2 + N t N b ( 2 θ y 2 ) γ Φ = 0 ,
Subject to the respective boundary conditions:
{ u ( 0 ) y = 0 ,   θ ( 0 ) = 0 ,   Φ ( 0 ) = 0 , u ( h ) = 0 ,   θ ( h ) = 1 ,   Φ ( h ) = 1 ,
where h = 1 + λ K ¯ x b 0 + ϕ sin 2 π ( x t ) and ϕ ( 0 ϕ 1 ) the amplitude ratio.

3. Solution of the Problem

The homotopy perturbation method (HPM) is utilized to find the solution of the above non-linear coupled fractional differential equation. The homotopy for Equations (13)–(15) can be composed as:
( w , q ) = ( 1 q ) ( L 1 ( w ) L 1 ( w ˜ 0 ) ) + q ( L 1 ( w ) M 2 w p x + G r T ϑ G r F Θ ) ,
( ϑ , q ) = ( 1 q ) ( L 2 ( ϑ ) L 2 ( ϑ ˜ 0 ) ) + q ( L 2 ( ϑ ) + P r 1 + R d P r ( N b Θ y ϑ y + N t ( ϑ y ) 2 + β ) ) ,
( Θ , q ) = ( 1 q ) ( L 2 ( Θ ) L 2 ( Θ ˜ 0 ) ) + q ( L 2 ( Θ ) + N t N b 2 ϑ y 2 γ Θ ) ,
The linear operators and initial guesses are defined as:
L 1 = 1 1 + λ 1 2 y 2
L 2 = 2 y 2
and the initial guesses are:
w ˜ 0 = ( 1 + λ 1 ) ( y 2 h 2 )
Θ ˜ 0 = ϑ ˜ 0 = y h
Defining the following expansion:
w ( x , y ) = w 0 ( x , y ) + q w 1 ( x , y ) + q 2 w 2 ( x , y ) + , Θ ( x , y ) = Θ 0 ( x , y ) + q Θ 1 ( x , y ) + q 2 Θ 2 ( x , y ) + , ϑ ( x , y ) = ϑ 0 ( x , y ) + q ϑ 1 ( x , y ) + q 2 ϑ 2 ( x , y ) + ,
By applying the procedure of HPM, we obtained the solution as q 1 . For this reason, utilizing Equation (24) in Equations (17)–(19) and looking at the forces of q , we get an arrangement of linear differential equation with their significant boundary conditions. The resulting solutions can be written in the following format:
u ( x , y ) = w ( x , y ) | q 1 = w 0 ( x , y ) + w 1 ( x , y ) + w 2 ( x , y ) + , Φ ( x , y ) = Θ ( x , y ) | q 1 = Θ 0 ( x , y ) + Θ 1 ( x , y ) + Θ 2 ( x , y ) + , θ ( x , y ) = ϑ ( x , y ) | q 1 = ϑ 0 ( x , y ) + ϑ 1 ( x , y ) + ϑ 2 ( x , y ) + ,
The last arrangement of temperature profile, velocity profile and nanoparticle concentration profile are composed as:
u ( x , y ) = u 0 + u 1 y 2 + u 2 y 3 + u 3 y 4 + u 4 y 5 + u 5 y 6 ,
θ ( x , y ) = θ 0 + θ 1 y 2 + θ 2 y 3 + θ 3 y 4 ,
Φ ( x , y ) = Φ 0 + Φ 1 y + Φ 2 y 2 + Φ 3 y 3 + Φ 4 y 4 ,
The constants u m , θ m , Φ m ( m = 1 , 2 , 3 . ) showing up in the above equations can be discover utilizing routine estimations.
The instantaneous volume rate is defined as
Q ( t , x ) = 0 h u d y .
The non-dimensional kind of pressure rise and friction power is at the wall with a length of the non-uniform channel L is given by:
Δ P L ( t , x ) = 0 L λ ( d p d x ) d x ,
Δ F L ( t , x ) = 0 L λ ( d p d x ) d x

4. Results and Discussion

In this portion, the impact of nanofluid qualities on peristaltic blood flow design is contemplated graphically under the impacts of magnetohydrodynamics, thermal radiation and chemical reaction response in the framework of drug delivery. Correlation of numerical after effects of velocity profile additionally showed in Table 1 for Newtonian, non-Newtonian, nanofluid and non-nanofluid. A graphical response of the velocity profile, temperature profile and friction profile is exhibited in Figure 2, Figure 3 and Figure 4 with recently distributed outcomes [26] by taking R d = γ = 0 in Equations (17)–(19). It may be seen from these assumptions that our outcomes are in phenomenal concurrence with recently distributed outcomes which uncovers that present strategy and the present outcomes are right. Computational programming “Mathematica (10.3 v)” has been utilized to create all required numerical outlines. The integral results in Equations (30) and (31) are comprehended numerically with the assistance of the following parameters:
Q = Q ¯ + ϕ sin 2 π ( x t ) ,
and
K = 5 × 10 5 , λ = L = 10   cm ,   b 0 = 1 × 10 2   cm .
Figure 5, Figure 6 and Figure 7 show temperature profile for heat source/sink parameter β, Brownian movement parameter, Prandtl number, radiation parameter, and thermophoresis parameter. It tends to be seen from Figure 5 that an upgrade in the radiation parameter will give a noteworthy opposition in the temperature profile. At the point when the radiation parameter builds, it improves the movement of electromagnetic waves while heat conduction ends up being smothered. Since dispersion heat exchange happens because of an irregular proliferation of atoms, when it is extinguished, then the neighboring particles spread less, and the vitality exchange rate turns out to be less productive between one another. In addition, the time size of diffusive heat exchange is larger than the radiative heat exchange. Furthermore, it is likewise seen in Figure 5 that an augmentation in heat source/sink parameter altogether upgrades the temperature profile. Before we talk about the graphical outcomes, it is fundamental to compose the significance of Brownian motion and thermophoresis parameters. Brownian motion of nanofluid particles was proposed because small particles in general move all the more unequivocally and could be beneficial to heat transport. The molecule in nanofluid experience unpredictable development and the irregular impacts of the encompassing fluid particles happened. This movement is called Brownian motion. The implications of a Brownian motion-incited molecule were relied upon to expand the heat transport among particles and in this way increment heat radiation of the nanofluids. It is very well may be seen from Figure 6 for higher estimations of the Brownian motion parameter, temperature profile extraordinarily increments and comparative behavior has been watched for higher estimates of the thermophoresis parameter. Physically, when the thermophoresis parameter upgrades, thermophoretic power occurs because of blends of versatile particles, the results of which will improve the temperature profile. Figure 7 is set up to see the behavior of the Prandtl number on temperature profile. We can see from this assumption that when the Prandtl number builds, then the temperature profile rises. Physically, when the Prandtl number is minimal then it concludes that heat diffusivity is additionally overwhelming while expansive estimations of Prandtl number reveals that momentum is progressive. In different heat exchange cases, the Prandtl number is entirely positive to control the force and thermal boundary layer thickness.
Figure 8 and Figure 9 demonstrates the behavior of concentration profile against chemical reaction parameter γ , Brownian motion parameter, radiation parameter thermophoresis parameter. It is found from Figure 8 that with the expansion in chemical reaction response parameter γ, the concentration profile diminishes. Yet from the central point, its behavior ends up inverse and begins to increment. In addition, it is additionally discovered that the radiation parameter likewise enhances the concentration profile (see Figure 8). Figure 9 is dedicated to viewing the impact of N b and N t on concentration profile. In the two cases, the concentration profile has an inverse response as expanding in N b and N t .
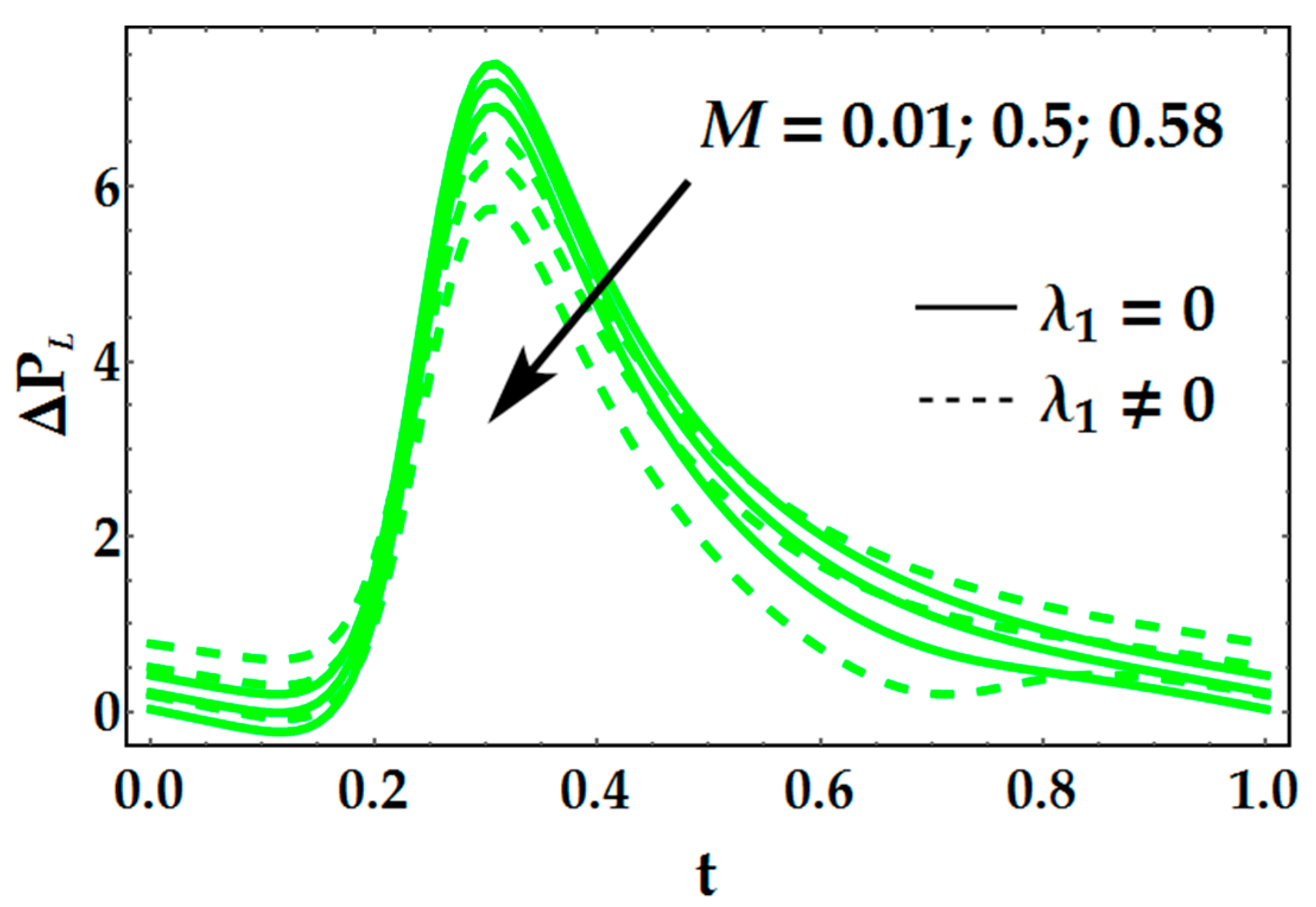
Figure 10 and Figure 11 show the variety of friction powers against various estimations of density Grashof number G r F , thermal Grashof number G r T , Hartmann number M and fluid parameter λ 1 . It is evident from Figure 10 that when the basic density Grashof number builds, then it gives colossal support to upgrade the friction force while its behavior at the origin of higher estimations of thermal Grashof number. Figure 11 shows that an upgrade in Hartmann number M will continue to ascent the friction force while when the liquid is non-Newtonian λ 1 0 , then it makes checked protection from friction forces. Figure 12 and Figure 13 demonstrate the characteristics of pumping against various included parameters, for instance, Hartmann number M, basic density Grashof number G r F and thermal Grashof number G r T . It is additionally an engaging component of peristalsis and especially supportive in transporting different sorts of natural fluids in the human body. It can be seen from Figure 12 that because of higher estimations of a magnetic field, the pumping rate diminishes, and the pumping rate indicates comparative behavior against basic density Grashof number (see Figure 13). It is seen from Figure 13 that pumping rate increases overall for higher estimations of thermal Grashof number. Figure 14 and Figure 15 portrays the behavior of pressure rise versus time against various values of basic density Grashof number, thermal Grashof number, Hartmann number, and fluid parameter. It is found here that pressure rise demonstrates opposite behavior when contrasted with friction forces.
To see the behavior of a velocity profile, Figure 16 and Figure 17 are portrayed. Figure 16 reveals the behavior of basic density Grashof number and thermal Grashof number. It is seen in this figure that the higher effect of G r F shows inverse behavior close to the wall of the channel. At the point when y > 0.5 the speed of velocity reduces because of the augmentation in basic density Grashof number while it shows a different response for y < 0.5 . Additionally, it is seen that the thermal Grashof number shows direct inverse behavior when contrasted with the basic density Grashof number. It is seen in Figure 17 that Hartmann number M neglects to give a noteworthy obstruction close to the wall at y > 0.6 . However, it will produce a remarkable opposition in the center point of the channel, since when the magnetic field is connected, a resistive power (known as the “Lorentz force”) happens that restricts the stream and will diminish the speed when y < 0.6 . Further, it is discovered that the greatness of the speed decrease when the fluid is non-Newtonian in the locale ( λ 1 0 ) in the region y < 0.6 , while its behavior is inverse for y > 0.6 (see Figure 17).

5. Conclusions

The impact of nanofluid particles on the peristaltic bloodstream has been explored scientifically under the effects of thermal radiation and chemical response with the guide of the computational program Mathematica. The base liquid is considered as a Jeffrey fluid model within sight of an applied magnetic field. The administering flow is displayed for low Reynolds number and long wavelength. The diminished conditions are coupled to ordinary differential equations and, along with these equations, we have utilized the homotopy irritation strategy to acquire the series solution. To get the aftereffects of pressure rise, and friction force, numerical incorporation has been used. The resulting mathematical calculations have shown the following outcomes:
  • Temperature profile increments with the augmentation in N b ,   N t ,   P r and β parameters.
  • Radiation parameter provides a significant resistance in temperature profile.
  • Concentration profile increments, when Brownian movement parameter N b increments while its behavior is inverse for higher estimations of thermophoresis parameter N t .
  • Chemical reaction parameter has an inverse behavior on concentration profile close to the wall.
  • Radiation parameter also enhances significantly the concentration profile.
  • Velocity profile shows converse behavior for higher values of thermal Grashof number and basic density Grashof number.
  • Pumping rate increases for higher values of Hartmann number and thermal Grashof number.
  • The present results reduce to Newtonian fluid model by taking λ 1 = 0 in the modeled equations.
  • The present results are also compared with previously published results [26] by taking R d = γ = 0 to validate the current results and methodology.

Author Contributions

Conceptualization and methodology, M.M.B.; writing—Review and editing, M.A.A.; Investigation, M.S.

Funding

This research received no external funding.

Conflicts of Interest

The authors declare no conflict of interest.

Nomenclature

u ˜ ,   v ˜ velocity components
x ˜ ,   y ˜ Cartesian coordinate
p ˜ pressure in fixed frame
a ˜ wave amplitude
b ( x ˜ ) width of the channel
c ˜ wave velocity
P r Prandtl number
Re Reynolds number
t ˜ time
G r F basic density Grashof number
G r T thermal Grashof number
N b Brownian motion parameter
N t thermophoresis parameter
Κ ¯ ( 1 ) constant
B 0 magnetic field
W e Weissenberg number
Q volume flow rate
T ,   F temperature and concentration
g acceleration due to gravity
D B Brownian diffusion coefficient
D T thermophoretic diffusion coefficient
K mean absorption constant
M Hartman number
S stress tensor
k ˜ porosity parameter
Greek Symbols
γ chemical reaction parameter
κ nanofluid thermal conductivity
β heat source/sink parameter
μ viscosity of the fluid
Φ nano- particle volume fraction
σ electrical conductivity
δ wave number
σ ¯ Stefan–Boltzmann constant
c p effective heat capacity of nanoparticle
ν nanofluid kinematic viscosity
( ρ ) p nanoparticle mass density
ρ f fluid density
ρ f 0 fluid density at the reference temperature
ζ volumetric expansion coefficient
( ρ c ) f heat capacity of fluid
λ wavelength ( m )
ϕ Amplitude ratio

References

  1. Sun, C.; Lee, J.S.H.; Zhang, M. Magnetic nanoparticles in MR imaging and drug delivery. Adv. Drug Deliv. Rev. 2018, 60, 1252–1265. [Google Scholar] [CrossRef] [PubMed]
  2. Berry, C.C. Progress in functionalization of magnetic nanoparticles for applications in biomedicine. J. Phys. D Appl. Phys. 2009, 42, 224003. [Google Scholar] [CrossRef]
  3. McBain, S.C.; Yiu, H.H.; Dobson, J. Magnetic nanoparticles for gene and drug delivery. Int. J. Nanomed. 2008, 3, 169. [Google Scholar]
  4. Cho, K.; Wang, X.U.; Nie, S.; Shin, D.M. Therapeutic nanoparticles for drug delivery in cancer. Clin. Cancer Res. 2008, 14, 1310–1316. [Google Scholar] [CrossRef] [PubMed]
  5. Veiseh, O.; Gunn, J.W.; Zhang, M. Design and fabrication of magnetic nanoparticles for targeted drug delivery and imaging. Adv. Drug Deliv. Rev. 2010, 62, 284–304. [Google Scholar] [CrossRef]
  6. Solanki, A.; Kin, J.D.; Lee, K.B. Nanotechnology for Regenerative Medicine: Nanomaterials for Stem Cell Imaging; Future Medicine: London, UK, 2008; Volume 3, pp. 567–578. [Google Scholar]
  7. Misra, J.C.; Sinha, A.; Shit, G.C. Theoretical analysis of blood flow through an arterial segment having multiple stenoses. J. Mech. Med. Biol. 2008, 8, 265–279. [Google Scholar] [CrossRef]
  8. Akbar, N.S.; Nadeem, S.; Hayat, T.; Hendi, A.A. Peristaltic flow of a nanofluid with slip effects. Meccanica 2012, 47, 1283–1294. [Google Scholar] [CrossRef]
  9. Tripathi, D.; Bég, O.A. A study on peristaltic flow of nanofluids: Application in drug delivery systems. Int. J. Heat Mass Transf. 2014, 70, 61–70. [Google Scholar] [CrossRef]
  10. Sheikholeslami, M.; Abelman, S. Two-phase simulation of nanofluid flow and heat transfer in an annulus in the presence of an axial magnetic field. IEEE Trans. Nanotechnol. 2015, 14, 561–569. [Google Scholar] [CrossRef]
  11. Akbar, N.S.; Raza, M.; Ellahi, R. Influence of induced magnetic field and heat flux with the suspension of carbon nanotubes for the peristaltic flow in a permeable channel. J. Magn. Magn. Mater. 2015, 381, 405–415. [Google Scholar] [CrossRef]
  12. Rashidi, M.; Bhatti, M.; Abbas, M.; Ali, M. Entropy generation on MHD blood flow of nanofluid due to peristaltic waves. Entropy 2016, 18, 117. [Google Scholar] [CrossRef]
  13. Bhatti, M.M.; Zeeshan, A.; Ellahi, R. Simultaneous effects of coagulation and variable magnetic field on peristaltically induced motion of Jeffrey nanofluid containing gyrotactic microorganism. Microvasc. Res. 2017, 110, 32–42. [Google Scholar] [CrossRef] [PubMed]
  14. Iftikhar, N.; Rehman, A.; Sadaf, H.; Khan, M.N. Impact of wall properties on the peristaltic flow of Cu-water nano fluid in a non-uniform inclined tube. Int. J. Heat Mass Transf. 2018, 125, 772–779. [Google Scholar] [CrossRef]
  15. Abdelsalam, S.I.; Bhatti, M.M. The study of non-Newtonian nanofluid with hall and ion slip effects on peristaltically induced motion in a non-uniform channel. RSC Adv. 2018, 8, 7904–7915. [Google Scholar] [CrossRef]
  16. Mekheimer, K.S.; Hasona, W.M.; Abo-Elkhair, R.E.; Zaher, A.Z. Peristaltic blood flow with gold nanoparticles as a third grade nanofluid in catheter: Application of cancer therapy. Phys. Lett. A 2018, 382, 85–93. [Google Scholar] [CrossRef]
  17. Akram, S.; Zafar, M.; Nadeem, S. Peristaltic transport of a Jeffrey fluid with double-diffusive convection in nanofluids in the presence of inclined magnetic field. Int. J. Geometr. Methods Mod. Phys. 2018, 15, 1850181. [Google Scholar] [CrossRef]
  18. Prakash, J.; Siva, E.P.; Tripathi, D.; Kuharat, S.; Bég, O.A. Peristaltic pumping of magnetic nanofluids with thermal radiation and temperature-dependent viscosity effects: Modelling a solar magneto-biomimetic nanopump. Renew. Energy 2019, 133, 1308–1326. [Google Scholar] [CrossRef]
  19. Abdelsalam, S.I.; Bhatti, M.M. New Insight into AuNP Applications in Tumour Treatment and Cosmetics through Wavy Annuli at the Nanoscale. Sci. Rep. 2019, 9, 260. [Google Scholar] [CrossRef]
  20. Ray, A.K.; Vasu, B.; Bég, O.A.; Gorla, R.S.; Murthy, P.V. Homotopy Semi-Numerical Modeling of Non-Newtonian Nanofluid Transport External to Multiple Geometries Using a Revised Buongiorno Model. Inventions 2019, 4, 54. [Google Scholar] [CrossRef]
  21. Abbas, M.A.; Hussain, I. Statistical Analysis of the Mathematical Model of Entropy Generation of Magnetized Nanofluid. Inventions 2019, 4, 32. [Google Scholar] [CrossRef]
  22. Waqas, H.; Khan, S.U.; Imran, M.; Bhatti, M.M. Thermally developed Falkner-Skan bioconvection flow of a magnetized nanofluid in the presence of motile gyrotactic microorganism: Buongiorno’s nanofluid model. Phys. Scr. 2019, 94, 115304. [Google Scholar] [CrossRef]
  23. Tlili, I.; Bhatti, M.M.; Hamad, S.M.; Barzinjy, A.A.; Sheikholeslami, M.; Shafee, A. Macroscopic modeling for convection of Hybrid nanofluid with magnetic effects. Phys. A Stat. Mech. Appl. 2019, 534, 122136. [Google Scholar] [CrossRef]
  24. Abdelsalam, S.; Bhatti, M.M.; Zeeshan, A.; Riaz, A.; Beg, O.A. Metachronal propulsion of a magnetized particle-fluid suspension in a ciliated channel with heat and mass transfer. Phys. Scr. 2019, 94, 115301. [Google Scholar] [CrossRef]
  25. Waqas, H.; Khan, S.U.; Hassan, M.; Bhatti, M.M.; Imran, M. Analysis on the bioconvection flow of modified second-grade nanofluid containing gyrotactic microorganisms and nanoparticles. J. Mol. Liq. 2019, 291, 111231. [Google Scholar] [CrossRef]
  26. Abbas, M.A.; Bai, Y.Q.; Rashidi, M.M.; Bhatti, M.M. Application of drug delivery in magnetohydrodynamics peristaltic blood flow of nanofluid in a non-uniform channel. J. Mech. Med. Biol. 2016, 16, 1650052. [Google Scholar] [CrossRef]
  27. Wang, F.; Shuai, Y.; Wang, Z.; Leng, Y.; Tan, H. Thermal and chemical reaction performance analyses of steam methane reforming in porous media solar thermochemical reactor. Int. J. Hydrog. Energy 2014, 39, 718–730. [Google Scholar] [CrossRef]
  28. Akbarzadeh, P. The onset of MHD nanofluid convection between a porous layer in the presence of purely internal heat source and chemical reaction. J. Therm. Anal. Calorim. 2018, 131, 2657–2672. [Google Scholar] [CrossRef]
  29. Yadav, D. The onset of longitudinal convective rolls in a porous medium saturated by a nanofluid with non-uniform internal heating and chemical reaction. J. Therm. Anal. Calorim. 2019, 135, 1107–1117. [Google Scholar] [CrossRef]
  30. Chen, X.; Wang, F.; Han, Y.; Yu, R.; Cheng, Z. Thermochemical storage analysis of the dry reforming of methane in foam solar reactor. Energy Convers. Manag. 2018, 158, 489–498. [Google Scholar] [CrossRef]
  31. Chen, X.; Wang, F.; Yan, X.; Han, Y.; Cheng, Z.; Jie, Z. Thermochemical performance of solar driven CO2 reforming of methane in volumetric reactor with gradual foam structure. Energy 2018, 151, 545–555. [Google Scholar] [CrossRef]
Figure 1. Geometry of the problem.
Figure 1. Geometry of the problem.
Inventions 04 00068 g001
Figure 2. Comparison of velocity profile.
Figure 2. Comparison of velocity profile.
Inventions 04 00068 g002
Figure 3. Comparison of temperature profile.
Figure 3. Comparison of temperature profile.
Inventions 04 00068 g003
Figure 4. Comparison of concentration profile.
Figure 4. Comparison of concentration profile.
Inventions 04 00068 g004
Figure 5. Temperature profile for multiple values of β and R d .
Figure 5. Temperature profile for multiple values of β and R d .
Inventions 04 00068 g005
Figure 6. Temperature profile for multiple values of N b and N t .
Figure 6. Temperature profile for multiple values of N b and N t .
Inventions 04 00068 g006
Figure 7. Temperature profile for multiple values of P r .
Figure 7. Temperature profile for multiple values of P r .
Inventions 04 00068 g007
Figure 8. Concentration profile for multiple values of γ and R d .
Figure 8. Concentration profile for multiple values of γ and R d .
Inventions 04 00068 g008
Figure 9. Concentration profile for multiple values of N b and N t .
Figure 9. Concentration profile for multiple values of N b and N t .
Inventions 04 00068 g009
Figure 10. Friction force for multiple values of G r T and G r F .
Figure 10. Friction force for multiple values of G r T and G r F .
Inventions 04 00068 g010
Figure 11. Friction forces for multiple values of M and λ 1 .
Figure 11. Friction forces for multiple values of M and λ 1 .
Inventions 04 00068 g011
Figure 12. Pressure rise vs. average volume flow rate for multiple values of M .
Figure 12. Pressure rise vs. average volume flow rate for multiple values of M .
Inventions 04 00068 g012
Figure 13. Pressure rise vs. average volume flow rate for multiple values of G r T and G r F .
Figure 13. Pressure rise vs. average volume flow rate for multiple values of G r T and G r F .
Inventions 04 00068 g013
Figure 14. Pressure rise vs. time for multiple values of G r T and G r F .
Figure 14. Pressure rise vs. time for multiple values of G r T and G r F .
Inventions 04 00068 g014
Figure 15. Pressure rise vs. time for multiple values of M and λ 1 .
Figure 15. Pressure rise vs. time for multiple values of M and λ 1 .
Inventions 04 00068 g015
Figure 16. Velocity profile for multiple values of G r T and G r F .
Figure 16. Velocity profile for multiple values of G r T and G r F .
Inventions 04 00068 g016
Figure 17. Velocity profile for multiple values of M and λ 1 .
Figure 17. Velocity profile for multiple values of M and λ 1 .
Inventions 04 00068 g017
Table 1. Numerical results of velocity field for Newtonian, non-Newtonian, nano and non-nanofluid.
Table 1. Numerical results of velocity field for Newtonian, non-Newtonian, nano and non-nanofluid.
u ( x , y ) u ( x , y ) u ( x , y ) u ( x , y )
λ 1 = 0 λ 1 0 λ 1 = 0 λ 1 0
h G r F = 0 ,   G r T = 0 G r F = 0 ,   G r T = 0 G r F 0 ,   G r T 0 G r F 0 ,   G r T 0
00.64670.64580.64310.6456
0.1150.64050.63970.63700.6395
0.2300.62190.62120.61840.6211
0.3450.59070.59030.58740.5903
0.4600.54690.54670.54380.5468
0.5750.49010.49030.48740.4904
0.6900.42010.42060.41780.4207
0.8050.33650.33720.33470.3373
0.9200.23900.23970.23760.2398
1.0350.12700.12750.12630.1275
1.1150000

Share and Cite

MDPI and ACS Style

Abbas, M.A.; Bhatti, M.M.; Sheikholeslami, M. Peristaltic Propulsion of Jeffrey Nanofluid with Thermal Radiation and Chemical Reaction Effects. Inventions 2019, 4, 68. https://doi.org/10.3390/inventions4040068

AMA Style

Abbas MA, Bhatti MM, Sheikholeslami M. Peristaltic Propulsion of Jeffrey Nanofluid with Thermal Radiation and Chemical Reaction Effects. Inventions. 2019; 4(4):68. https://doi.org/10.3390/inventions4040068

Chicago/Turabian Style

Abbas, Munawwar Ali, Muhammad Mubashir Bhatti, and Mohsen Sheikholeslami. 2019. "Peristaltic Propulsion of Jeffrey Nanofluid with Thermal Radiation and Chemical Reaction Effects" Inventions 4, no. 4: 68. https://doi.org/10.3390/inventions4040068

APA Style

Abbas, M. A., Bhatti, M. M., & Sheikholeslami, M. (2019). Peristaltic Propulsion of Jeffrey Nanofluid with Thermal Radiation and Chemical Reaction Effects. Inventions, 4(4), 68. https://doi.org/10.3390/inventions4040068

Article Metrics

Back to TopTop