Exploring Indicators for Training Load Control in Young Swimmers: The Role of Inspiratory Spirometry Outcomes
Abstract
1. Introduction
2. Materials and Methods
2.1. Subjects
2.2. Procedure
2.3. Anthropometric Measures
2.4. Vertical Jump
2.5. Inspiratory Spirometry
2.6. Critical Swimming Speed Test
2.7. Statistical Analysis
3. Results
3.1. Countermovement Jump (CMJ)
3.2. Inspiratory Spirometry
| CMJ 1 (Mean ± SD) | CMJ 2 (Mean ± SD) | CMJ 3 (Mean ± SD) | Group Differences | Sex Diferences | |||||||
|---|---|---|---|---|---|---|---|---|---|---|---|
| p Value | Bonferroni | p Value | Bonferroni | ||||||||
| CMJ 1–CMJ 2 | CMJ 2–CMJ 3 | CMJ 1–CMJ 3 | CMJ 1–CMJ 2 | CMJ 2–CMJ 3 | CMJ 1–CMJ 3 | ||||||
| Strength (N) | 1216 ± 263 | 1254 ± 267 | 1247 ± 250 | 0.065 | 0.081 | 1.000 | 0.171 | 0.440 | 0.114 | 1.000 | 0.247 | 
| Power (W) | 1480 ± 489 | 1569 ± 488 | 1543 ± 441 | 0.100 | 0.101 | 1.000 | 0.332 | 0.546 | 0.138 | 1.000 | 0.452 | 
| Height (cm) | 29.5 ± 7.77 | 30.5 ± 6.78 | 28.2 ± 6.39 | <0.001 | 0.209 | <0.001 | 0.103 | 0.043 | 0.296 | <0.001 | 0.035 | 
| Speed (m/s) | 1.19 ± 0.16 | 1.23 ± 0.14 | 1.22 ± 0.13 | 0.046 | 0.098 | 1.000 | 0.137 | 0.317 | 0.141 | 1.000 | 0.202 | 
| E1 (Mean ± SD) | E2 (Mean ± SD) | E3 (Mean ± SD) | Group Differences | Sex Diferences | |||||||
|---|---|---|---|---|---|---|---|---|---|---|---|
| p Value | Bonferroni | p Value | Bonferroni | ||||||||
| E1–E2 | E2–E3 | E1–E3 | E1–E2 | E2–E3 | E1–E3 | ||||||
| S-INDEX (cmH2O) | 107 ± 33.8 | 112 ± 37.7 | 111 ± 36.2 | 0.004 | 0.006 | 1.000 | 0.093 | 0.008 | <0.001 | 1.000 | 0.021 | 
| PIF (cmH2O) | 5.94 ± 1.54 | 6.21 ± 1.89 | 6.15 ± 1.90 | 0.004 | 0.007 | 1.000 | 0.059 | 0.007 | <0.001 | 1.000 | 0.009 | 
3.3. Critical Swim Speed
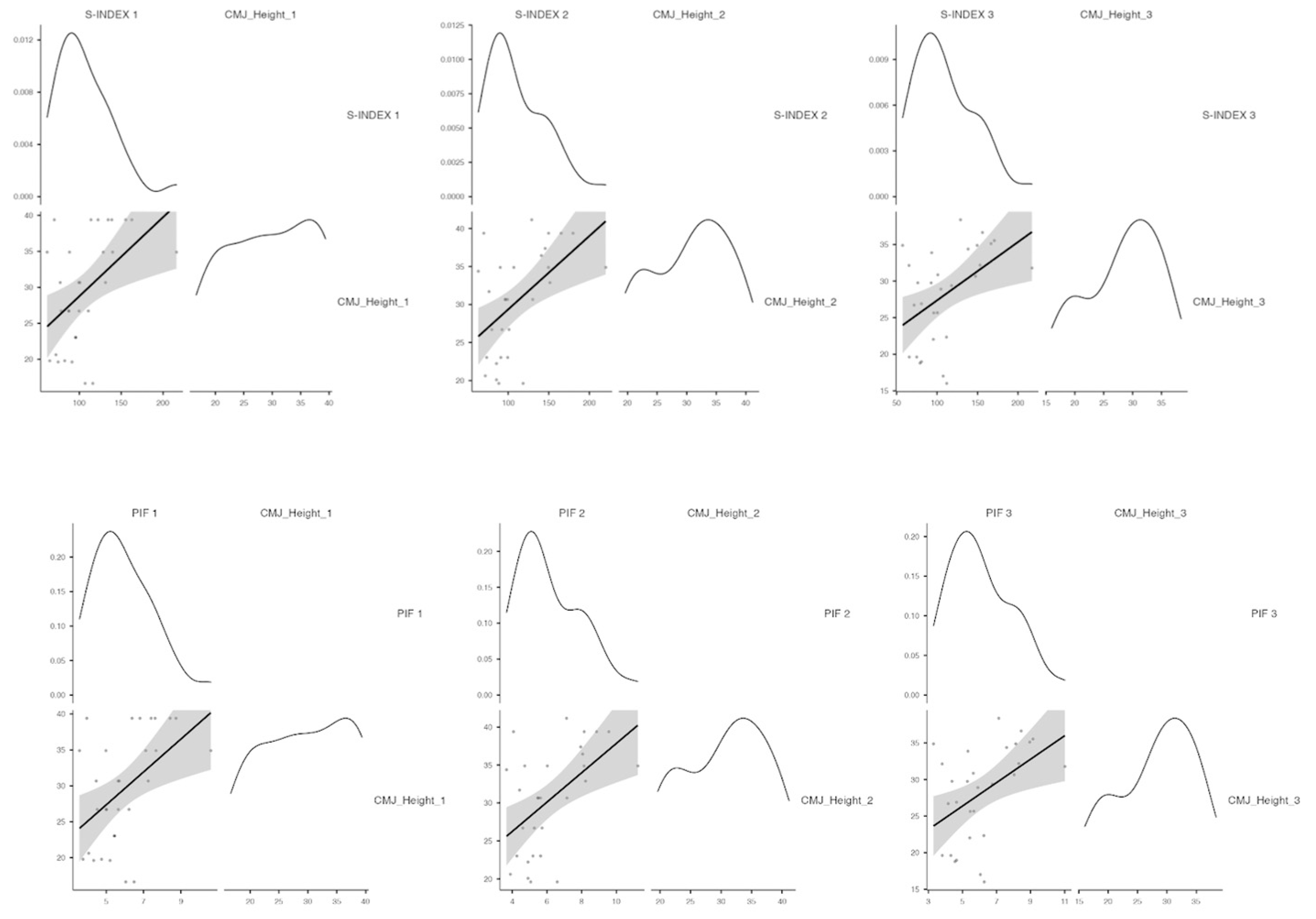
3.4. CMJ Ratio and Inspiratory Spirometry
3.5. Inspiratory Spirometry and Performance Relationship
3.6. CMJ and Performance Relationship
4. Discussion
5. Conclusions
Author Contributions
Funding
Institutional Review Board Statement
Informed Consent Statement
Data Availability Statement
Acknowledgments
Conflicts of Interest
References
- Kwok, W.; So, B.C.L.; Tse, D.H.T.; Ng, S.S.M. A Systematic Review and Meta-Analysis: Biomechanical Evaluation of the Effectiveness of Strength and Conditioning Training Programs on Front Crawl Swimming Performance. J. Sports Sci. Med. 2021, 20, 564–585. [Google Scholar] [CrossRef]
- Wirth, K.; Keiner, M.; Fuhrmann, S.; Nimmerichter, A.; Haff, G.G. Strength Training in Swimming. Int. J. Environ. Res. Public Health 2022, 19, 5369. [Google Scholar] [CrossRef]
- Crowley, E.; Harrison, A.J.; Lyons, M. The Impact of Resistance Training on Swimming Performance: A Systematic Review. Sports Med. 2017, 47, 2285–2307. [Google Scholar] [CrossRef]
- Sadowski, J.; Mastalerz, A.; Gromisz, W. Transfer of Dry-Land Resistance Training Modalities to Swimming Performance. J. Hum. Kinet. 2020, 74, 195–203. [Google Scholar] [CrossRef] [PubMed]
- Haycraft, J.; Robertson, S. The effects of concurrent aerobic training and maximal strength, power and swim-specific dry-land training methods on swim performance: A review. J. Aust. Strength Cond. 2015, 23, 91–99. [Google Scholar]
- Mooney, R.; Corley, G.; Godfrey, A.; Osborough, C.; Quinlan, L.R.; ÓLaighin, G. Application of video-based methods for competitive swimming analysis: A systematic review. Sport Exerc. Med. Open J. 2015, 1, 133–150. [Google Scholar] [CrossRef]
- Bishop, C.; Cree, J.; Read, P.; Chavda, S.; Edwards, M.; Turner, A. Strength and conditioning for sprint swimming. Strength Cond. J. 2013, 35, 1–6. [Google Scholar] [CrossRef]
- Arellano, R.; Llana, S.; Tella, V.; Morales, E.; Mercade, J. A comparison CMJ, simulated and swimming grab-start force recordings and their relationships with the start performance. ISBS-Conf. Proc. Arch. 2005, 23, 923–926. [Google Scholar]
- Calderbank, J.A.; Comfort, P.; McMahon, J.J. Association of Jumping Ability and Maximum Strength With Dive Distance in Swimmers. Int. J. Sports Physiol. Perform. 2021, 16, 296–303. [Google Scholar] [CrossRef] [PubMed]
- Nuzzo, J.L.; McBride, J.M.; Cormie, P.; McCaulley, G.O. Relationship between countermovement jump performance and multijoint isometric and dynamic tests of strength. J. Strength Cond. Res. 2008, 22, 699–707. [Google Scholar] [CrossRef] [PubMed]
- Carvalho, D.; Fonseca, P.; Marinho, D.; Silva, A.; Zacca, R.; Mourão, L.; Fernandes, R.; Vilas-Boas, P. Is there any transfer between countermovement jump and swimming track start performance? In Proceedings of the 35th Conference of the International Society of Biomechanics in Sports, Cologne, Germany, 14–18 June 2017. [Google Scholar]
- Garrido, N.; Marinho, D.A.; Reis, V.M.; van den Tillaar, R.; Costa, A.M.; Silva, A.J.; Marques, M.C. Does combined dry land strength and aerobic training inhibit performance of young competitive swimmers? J. Sports Sci. Med. 2010, 9, 300–310. [Google Scholar]
- Sirieiro, P.; Nasser, I.; Dobbs, W.C.; Willardson, J.M.; Miranda, H. The Effect of Set Configuration and Load on Post-Activation Potentiation on Vertical Jump in Athletes. Int. J. Exerc. Sci. 2021, 14, 902–911. [Google Scholar]
- Strzała, M.; Stanula, A.; Krężałek, P.; Sokołowski, K.; Wądrzyk, Ł.; Maciejczyk, M.; Karpiński, J.; Rejdych, W.; Wilk, R.; Sadowski, W. Correlations between Crawl Kinematics and Speed with Morphologic, Functional, and Anaerobic Parameters in Competitive Swimmers. Int. J. Environ. Res. Public Health 2022, 19, 4595. [Google Scholar] [CrossRef]
- Zaras, N.; Apostolidis, A.; Kavvoura, A.; Hadjicharalambous, M. Comparison between Dry-Land and Swimming Priming on 50 m Crawl Performance in Well-Trained Adolescent Swimmers. Sports 2022, 10, 52. [Google Scholar] [CrossRef]
- Karsten, M.; Ribeiro, G.S.; Esquivel, M.S.; Matte, D.L. The effects of inspiratory muscle training with linear workload devices on the sports performance and cardiopulmonary function of athletes: A systematic review and meta-analysis. Phys. Ther. Sport Off. J. Assoc. Chart. Physiother. Sports Med. 2018, 34, 92–104. [Google Scholar] [CrossRef]
- Kilding, A.E.; Brown, S.; McConnell, A.K. Inspiratory muscle training improves 100 and 200 m swimming performance. Eur. J. Appl. Physiol. 2010, 108, 505–511. [Google Scholar] [CrossRef] [PubMed]
- Yañez-Sepulveda, R.; Alvear-Ordenes, I.; Tapia-Guajardo, A.; Verdugo-Marchese, H.; Cristi-Montero, C.; Tuesta, M. Inspiratory muscle training improves the swimming performance of competitive young male sprint swimmers. J. Sports Med. Phys. Fit. 2021, 61, 1348–1353. [Google Scholar] [CrossRef] [PubMed]
- Balsalobre-Fernández, C.; Glaister, M.; Lockey, R.A. The validity and reliability of an iPhone app for measuring vertical jump performance. J. Sports Sci. 2015, 33, 1574–1579. [Google Scholar] [CrossRef] [PubMed]
- Lee, K.B.; Kim, M.K.; Jeong, J.R.; Lee, W.H. Reliability of an Electronic Inspiratory Loading Device for Assessing Pulmonary Function in Post-Stroke Patients. Med. Sci. Monit. Int. Med. J. Exp. Clin. Res. 2016, 22, 191–196. [Google Scholar] [CrossRef] [PubMed]
- Caruso, P.; Albuquerque, A.L.; Santana, P.V.; Cardenas, L.Z.; Ferreira, J.G.; Prina, E.; Trevizan, P.F.; Pereira, M.C.; Iamonti, V.; Pletsch, R.; et al. Diagnostic methods to assess inspiratory and expiratory muscle strength. J. Bras. Pneumol. 2015, 41, 110–123. [Google Scholar] [CrossRef] [PubMed]
- Areias, G.S.; Santiago, L.R.; Teixeira, D.S.; Reis, M.S. Concurrent Validity of the Static and Dynamic Measures of Inspiratory Muscle Strength: Comparison between Maximal Inspiratory Pressure and S-Index. Braz. J. Cardiovasc. Surg. 2020, 35, 459–464. [Google Scholar] [CrossRef]
- Wakayoshi, K.; Ikuta, K.; Yoshida, T.; Udo, M.; Moritani, T.; Mutoh, Y.; Miyashita, M. Determination and validity of critical velocity as an index of swimming performance in the competitive swimmer. Eur. J. Appl. Physiol. Occup. Physiol. 1992, 64, 153–157. [Google Scholar] [CrossRef]
- di Prampero, P.E.; Dekerle, J.; Capelli, C.; Zamparo, P. The critical velocity in swimming. Eur. J. Appl. Physiol. 2008, 102, 165–171. [Google Scholar] [CrossRef]
- Garatachea, N.; Abadía, O.; García-Isla, F.J.; Sarasa, F.J.; Bresciani, G.; González-Gallego, J.; De Paz, J.A. Determination and validity of critical swimming velocity in elite physically disabled swimmers. Disabil. Rehabil. 2006, 28, 1551–1556. [Google Scholar] [CrossRef] [PubMed]
- Pérez-Olea, J.I.; Valenzuela, P.L.; Aponte, C.; Izquierdo, M. Relationship Between Dryland Strength and Swimming Performance: Pull-Up Mechanics as a Predictor of Swimming Speed. J. Strength Cond. Res. 2018, 32, 1637–1642. [Google Scholar] [CrossRef]
- Ruiz-Navarro, J.; Gay, A.; Cuenca-Fernández, F.; López-Belmonte, O.; Morales-Ortíz, E.; López-Contreras, G.; Arellano, R. The relationship between tethered swimming, anaerobic critical velocity, dry-land strength, and swimming performance. Int. J. Perform. Anal. Sport 2022, 22, 407–421. [Google Scholar] [CrossRef]
- Cunha, M.; Mendes, F.; Paciência, I.; Rodolfo, A.; Carneiro-Leão, L.; Rama, T.; Rufo, J.; Delgado, L.; Moreira, A. The effect of inspiratory muscle training on swimming performance, inspiratory muscle strength, lung function, and perceived breathlessness in elite swimmers: A randomized controlled trial. Porto Biomed. J. 2019, 4, e49. [Google Scholar] [CrossRef] [PubMed]
- Mickleborough, T.D.; Stager, J.M.; Chatham, K.; Lindley, M.R.; Ionescu, A.A. Pulmonary adaptations to swim and inspiratory muscle training. Eur. J. Appl. Physiol. 2008, 103, 635–646. [Google Scholar] [CrossRef] [PubMed]




| Mean ± SD | |
|---|---|
| Age (years) | 17.0 ± 2.20 | 
| Height (cm) | 171 ± 10.6 | 
| Leg Length (cm) | 109 ± 5.99 | 
| Heigh_90° (cm) | 75.8 ± 4.49 | 
| Body Mass (Kg) | 63.9 ± 9.68 | 
| Practice (years) | 8.93 ± 2.83 | 
| Time 400 m (s) (Mean ± SD) | Speed 400 m (m/s) (Mean ± SD) | Time 100 m (s) (Mean ± SD) | Speed 100 m (m/s) (Mean ± SD) | CSS (m/s) (Mean ± SD) | |
|---|---|---|---|---|---|
| Data | 299 ± 25.8 | 1.35 ± 0.11 | 65.44 ± 6.83 | 1.51 ± 0.18 | 1.29 ± 0.10 | 
| Disclaimer/Publisher’s Note: The statements, opinions and data contained in all publications are solely those of the individual author(s) and contributor(s) and not of MDPI and/or the editor(s). MDPI and/or the editor(s) disclaim responsibility for any injury to people or property resulting from any ideas, methods, instructions or products referred to in the content. | 
© 2024 by the authors. Licensee MDPI, Basel, Switzerland. This article is an open access article distributed under the terms and conditions of the Creative Commons Attribution (CC BY) license (https://creativecommons.org/licenses/by/4.0/).
Share and Cite
Feria-Madueño, A.; Batalha, N.; Monterrubio-Fernández, G.; Parraca, J.A. Exploring Indicators for Training Load Control in Young Swimmers: The Role of Inspiratory Spirometry Outcomes. J. Funct. Morphol. Kinesiol. 2024, 9, 53. https://doi.org/10.3390/jfmk9010053
Feria-Madueño A, Batalha N, Monterrubio-Fernández G, Parraca JA. Exploring Indicators for Training Load Control in Young Swimmers: The Role of Inspiratory Spirometry Outcomes. Journal of Functional Morphology and Kinesiology. 2024; 9(1):53. https://doi.org/10.3390/jfmk9010053
Chicago/Turabian StyleFeria-Madueño, Adrián, Nuno Batalha, Germán Monterrubio-Fernández, and Jose A. Parraca. 2024. "Exploring Indicators for Training Load Control in Young Swimmers: The Role of Inspiratory Spirometry Outcomes" Journal of Functional Morphology and Kinesiology 9, no. 1: 53. https://doi.org/10.3390/jfmk9010053
APA StyleFeria-Madueño, A., Batalha, N., Monterrubio-Fernández, G., & Parraca, J. A. (2024). Exploring Indicators for Training Load Control in Young Swimmers: The Role of Inspiratory Spirometry Outcomes. Journal of Functional Morphology and Kinesiology, 9(1), 53. https://doi.org/10.3390/jfmk9010053
 
        




 
       