Long-Term Physiological Adaptations Induced by Short-Interval High-Intensity Exercises: An RCT Comparing Active and Passive Recovery
Abstract
1. Introduction
2. Materials and Methods
2.1. Experimental Design
2.2. Participants
2.3. Treatment
Training and Volume Load
2.4. Anthropometry and Body Composition
2.5. Handgrip Strength, Power, Agility, and Peak Oxygen Consumption
2.6. Statistical Analysis
3. Results
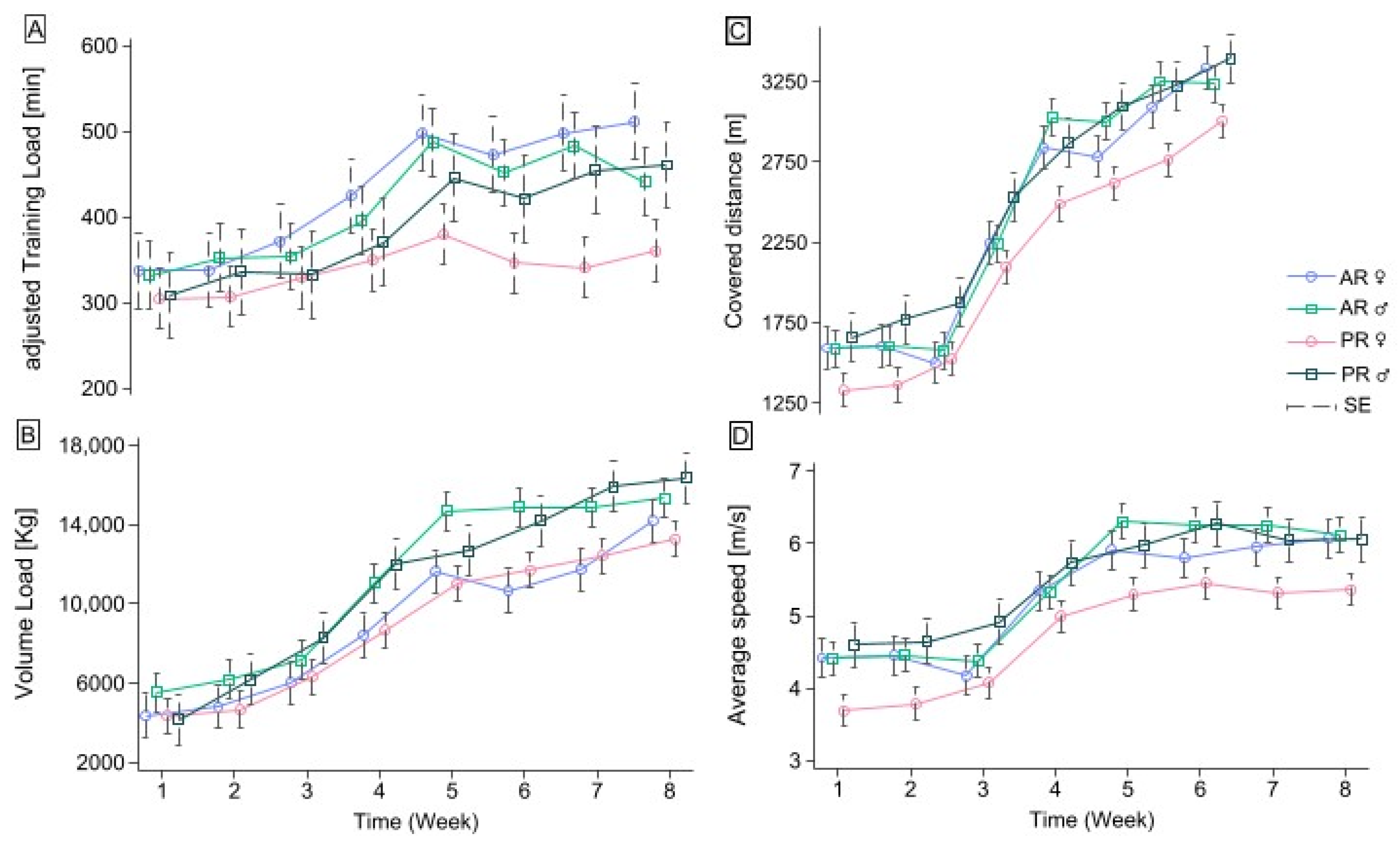
3.1. Training Progression
3.2. Body Composition
3.3. Physical Performance
4. Discussion
5. Conclusions
Supplementary Materials
Author Contributions
Funding
Institutional Review Board Statement
Informed Consent Statement
Data Availability Statement
Conflicts of Interest
References
- Newsome, A.M.; Reed, R.; Sansone, J.; Batrakoulis, A.; McAvoy, C.W.; Parrott, M. 2024 ACSM Worldwide Fitness Trends: Future Directions of the Health and Fitness Industry. ACSM’s Health Fit. J. 2024, 28, 14. [Google Scholar] [CrossRef]
- Thompson, W.R. Worldwide Survey of Fitness Trends for 2023. ACSM’s Health Fit. J. 2023, 27, 9. [Google Scholar] [CrossRef]
- Billat, L.V. Interval Training for Performance: A Scientific and Empirical Practice. Special Recommendations for Middle- and Long-Distance Running. Part I: Aerobic Interval Training. Sports Med. 2001, 31, 13–31. [Google Scholar] [CrossRef] [PubMed]
- Billat, V.L.; Slawinksi, J.; Bocquet, V.; Chassaing, P.; Demarle, A.; Koralsztein, J.P. Very Short (15s-15s) Interval-Training around the Critical Velocity Allows Middle-Aged Runners to Maintain VO2 Max for 14 Minutes. Int. J. Sports Med. 2001, 22, 201–208. [Google Scholar] [CrossRef] [PubMed]
- Buchheit, M.; Laursen, P.B. High-Intensity Interval Training, Solutions to the Programming Puzzle. Sports Med. 2013, 43, 313–338. [Google Scholar] [CrossRef]
- MacInnis, M.J.; Gibala, M.J. Physiological Adaptations to Interval Training and the Role of Exercise Intensity. J. Physiol. 2017, 595, 2915–2930. [Google Scholar] [CrossRef]
- Granata, C.; Oliveira, R.S.F.; Little, J.P.; Renner, K.; Bishop, D.J. Mitochondrial Adaptations to High-Volume Exercise Training Are Rapidly Reversed after a Reduction in Training Volume in Human Skeletal Muscle. FASEB J. 2016, 30, 3413–3423. [Google Scholar] [CrossRef]
- Kristensen, D.E.; Albers, P.H.; Prats, C.; Baba, O.; Birk, J.B.; Wojtaszewski, J.F.P. Human Muscle Fibre Type-Specific Regulation of AMPK and Downstream Targets by Exercise. J. Physiol. 2015, 593, 2053–2069. [Google Scholar] [CrossRef]
- Egan, B.; Carson, B.P.; Garcia-Roves, P.M.; Chibalin, A.V.; Sarsfield, F.M.; Barron, N.; McCaffrey, N.; Moyna, N.M.; Zierath, J.R.; O’Gorman, D.J. Exercise Intensity-Dependent Regulation of Peroxisome Proliferator-Activated Receptor Coactivator-1 mRNA Abundance Is Associated with Differential Activation of Upstream Signalling Kinases in Human Skeletal Muscle. J. Physiol. 2010, 588, 1779–1790. [Google Scholar] [CrossRef]
- MacInnis, M.J.; Zacharewicz, E.; Martin, B.J.; Haikalis, M.E.; Skelly, L.E.; Tarnopolsky, M.A.; Murphy, R.M.; Gibala, M.J. Superior Mitochondrial Adaptations in Human Skeletal Muscle after Interval Compared to Continuous Single-Leg Cycling Matched for Total Work. J. Physiol. 2017, 595, 2955–2968. [Google Scholar] [CrossRef]
- Bacon, A.P.; Carter, R.E.; Ogle, E.A.; Joyner, M.J. VO2max Trainability and High Intensity Interval Training in Humans: A Meta-Analysis. PLoS ONE 2013, 8, e73182. [Google Scholar] [CrossRef] [PubMed]
- Bell, G.J.; Wenger, H.A. The Effect of One-Legged Sprint Training on Intramuscular pH and Nonbicarbonate Buffering Capacity. Eur. J. Appl. Physiol. 1988, 58, 158–164. [Google Scholar] [CrossRef] [PubMed]
- Boutcher, S.H. High-Intensity Intermittent Exercise and Fat Loss. J. Obes. 2011, 2011, 868305. [Google Scholar] [CrossRef] [PubMed]
- Balsom, P.D.; Seger, J.Y.; Sjödin, B.; Ekblom, B. Maximal-Intensity Intermittent Exercise: Effect of Recovery Duration. Int. J. Sports Med. 1992, 13, 528–533. [Google Scholar] [CrossRef]
- Dupont, G.; Akakpo, K.; Berthoin, S. The Effect of In-Season, High-Intensity Interval Training in Soccer Players. J. Strength Cond. Res. 2004, 18, 584–589. [Google Scholar] [CrossRef]
- Seiler, S.; Sjursen, J.E. Effect of Work Duration on Physiological and Rating Scale of Perceived Exertion Responses during Self-Paced Interval Training. Scand. J. Med. Sci. Sports 2004, 14, 318–325. [Google Scholar] [CrossRef]
- Laursen, P.B.; Jenkins, D.G. The Scientific Basis for High-Intensity Interval Training: Optimising Training Programmes and Maximising Performance in Highly Trained Endurance Athletes. Sports Med. 2002, 32, 53–73. [Google Scholar] [CrossRef]
- Fennell, C.R.J.; Hopker, J.G. The Acute Physiological and Perceptual Effects of Recovery Interval Intensity during Cycling-Based High-Intensity Interval Training. Eur. J. Appl. Physiol. 2021, 121, 425–434. [Google Scholar] [CrossRef]
- Stanley, J.; Buchheit, M. Moderate Recovery Unnecessary to Sustain High Stroke Volume during Interval Training. A Brief Report. J. Sports Sci. Med. 2014, 13, 393–396. [Google Scholar]
- Monedero, J.; Donne, B. Effect of Recovery Interventions on Lactate Removal and Subsequent Performance. Int. J. Sports Med. 2000, 21, 593–597. [Google Scholar] [CrossRef]
- Sánchez-Otero, T.; Tuimil, J.L.; Boullosa, D.; Varela-Sanz, A.; Iglesias-Soler, E. Active vs. Passive Recovery during an Aerobic Interval Training Session in Well-Trained Runners. Eur. J. Appl. Physiol. 2022, 122, 1281–1291. [Google Scholar] [CrossRef] [PubMed]
- Signorile, J.F.; Ingalls, C.; Tremblay, L.M. The Effects of Active and Passive Recovery on Short-Term, High Intensity Power Output. Can. J. Appl. Physiol. 1993, 18, 31–42. [Google Scholar] [CrossRef] [PubMed]
- Schoenmakers, P.P.J.M.; Hettinga, F.J.; Reed, K.E. The Moderating Role of Recovery Durations in High-Intensity Interval-Training Protocols. Int. J. Sports Physiol. Perform. 2019, 14, 859–867. [Google Scholar] [CrossRef] [PubMed]
- Gibala, M.J.; Gillen, J.B.; Percival, M.E. Physiological and Health-Related Adaptations to Low-Volume Interval Training: Influences of Nutrition and Sex. Sports Med. 2014, 44 (Suppl. S2), S127–S137. [Google Scholar] [CrossRef]
- Esbjörnsson-Liljedahl, M.; Bodin, K.; Jansson, E. Smaller Muscle ATP Reduction in Women than in Men by Repeated Bouts of Sprint Exercise. J. Appl. Physiol. 2002, 93, 1075–1083. [Google Scholar] [CrossRef]
- Jaworowski, A.; Porter, M.M.; Holmbäck, A.M.; Downham, D.; Lexell, J. Enzyme Activities in the Tibialis Anterior Muscle of Young Moderately Active Men and Women: Relationship with Body Composition, Muscle Cross-Sectional Area and Fibre Type Composition. Acta Physiol. Scand. 2002, 176, 215–225. [Google Scholar] [CrossRef]
- Laursen, P.; Buchheit, M. Science and Application of High Intensity Interval Training: Solutions to the Programming Puzzle, 1st ed.; Human Kinetics: Champaign, IL, USA, 2018; ISBN 978-1-4925-5212-3. [Google Scholar]
- Machado, A.F.; Baker, J.S.; Figueira Junior, A.J.; Bocalini, D.S. High-Intensity Interval Training Using Whole-Body Exercises: Training Recommendations and Methodological Overview. Clin. Physiol. Funct. Imaging 2019, 39, 378–383. [Google Scholar] [CrossRef]
- Scoubeau, C.; Bonnechère, B.; Cnop, M.; Faoro, V.; Klass, M. Effectiveness of Whole-Body High-Intensity Interval Training on Health-Related Fitness: A Systematic Review and Meta-Analysis. Int. J. Environ. Res. Public Health 2022, 19, 9559. [Google Scholar] [CrossRef]
- Gist, N.H.; Freese, E.C.; Cureton, K.J. Comparison of Responses to Two High-Intensity Intermittent Exercise Protocols. J. Strength Cond. Res. 2014, 28, 3033–3040. [Google Scholar] [CrossRef]
- McRae, G.; Payne, A.; Zelt, J.G.E.; Scribbans, T.D.; Jung, M.E.; Little, J.P.; Gurd, B.J. Extremely Low Volume, Whole-Body Aerobic-Resistance Training Improves Aerobic Fitness and Muscular Endurance in Females. Appl. Physiol. Nutr. Metab. 2012, 37, 1124–1131. [Google Scholar] [CrossRef]
- Eather, N.; Riley, N.; Miller, A.; Smith, V.; Poole, A.; Vincze, L.; Morgan, P.J.; Lubans, D.R. Efficacy and Feasibility of HIIT Training for University Students: The Uni-HIIT RCT. J. Sci. Med. Sport 2019, 22, 596–601. [Google Scholar] [CrossRef] [PubMed]
- Egan, B.; Zierath, J.R. Exercise Metabolism and the Molecular Regulation of Skeletal Muscle Adaptation. Cell Metab. 2013, 17, 162–184. [Google Scholar] [CrossRef] [PubMed]
- Foster, C.; Florhaug, J.A.; Franklin, J.; Gottschall, L.; Hrovatin, L.A.; Parker, S.; Doleshal, P.; Dodge, C. A New Approach to Monitoring Exercise Training. J. Strength Cond. Res. 2001, 15, 109–115. [Google Scholar] [PubMed]
- Haddad, M.; Stylianides, G.; Djaoui, L.; Dellal, A.; Chamari, K. Session-RPE Method for Training Load Monitoring: Validity, Ecological Usefulness, and Influencing Factors. Front. Neurosci. 2017, 11, 612. [Google Scholar] [CrossRef] [PubMed]
- Lohman, T.G.; Roche, A.F.; Martorell, R. Anthropometric Standardization Reference Manual; Human Kinetics: Champaign, IL, USA, 1988; pp. 1493–1494. ISBN 978-0-87322-121-4. [Google Scholar]
- Evans, E.M.; Rowe, D.A.; Misic, M.M.; Prior, B.M.; Arngrímsson, S.A. Skinfold Prediction Equation for Athletes Developed Using a Four-Component Model. Med. Sci. Sports Exerc. 2005, 37, 2006–2011. [Google Scholar] [CrossRef]
- Bartolomei, S.; Hoffman, J.R.; Stout, J.R.; Merni, F. Effect of Lower-Body Resistance Training on Upper-Body Strength Adaptation in Trained Men. J. Strength Cond. Res. 2018, 32, 13–18. [Google Scholar] [CrossRef]
- Gatt, I.; Smith-Moore, S.; Steggles, C.; Loosemore, M. The Takei Handheld Dynamometer: An Effective Clinical Outcome Measure Tool for Hand and Wrist Function in Boxing. Hand 2018, 13, 319–324. [Google Scholar] [CrossRef]
- Draper, J.A.; Lancaster, M.G. The 505 Test: A Test for Agility in the Horizontal Plane. Aust. J. Sci. Med. Sport 1985, 17, 15–18. [Google Scholar]
- Bruce, R.A. Exercise Testing of Patients with Coronary Heart Disease. Principles and Normal Standards for Evaluation. Ann. Clin. Res. 1971, 3, 323–332. [Google Scholar]
- Cheng, J.; Edwards, L.J.; Maldonado-Molina, M.M.; Komro, K.A.; Muller, K.E. Real Longitudinal Data Analysis for Real People: Building a Good Enough Mixed Model. Stat. Med. 2010, 29, 504–520. [Google Scholar] [CrossRef]
- Plews, D.J.; Laursen, P.B.; Meur, Y.L.; Hausswirth, C.; Kilding, A.E.; Granataeit, M. Monitoring Training With Heart-Rate Variability: How Much Compliance Is Needed for Valid Assessment? Int. J. Sports Physiol. Perform. 2014, 9, 783–790. [Google Scholar] [CrossRef] [PubMed]
- Macpherson, R.E.K.; Hazell, T.J.; Olver, T.D.; Paterson, D.H.; Lemon, P.W.R. Run Sprint Interval Training Improves Aerobic Performance but Not Maximal Cardiac Output. Med. Sci. Sports Exerc. 2011, 43, 115. [Google Scholar] [CrossRef] [PubMed]
- Evangelista, A.L.; Teixeira, C.L.S.; Machado, A.F.; Pereira, P.E.; Rica, R.L.; Bocalini, D.S. Effects of a Short-Term of Whole-Body, High-Intensity, Intermittent Training Program on Morphofunctional Parameters. J. Bodyw. Mov. Ther. 2019, 23, 456–460. [Google Scholar] [CrossRef] [PubMed]
- Hunter, S.K. The Relevance of Sex Differences in Performance Fatigability. Med. Sci. Sports Exerc. 2016, 48, 2247–2256. [Google Scholar] [CrossRef] [PubMed]
- Hill, D.W.; Smith, J.C. Gender Difference in Anaerobic Capacity: Role of Aerobic Contribution. Br. J. Sports Med. 1993, 27, 45–48. [Google Scholar] [CrossRef]
- Hazell, T.J.; Hamilton, C.D.; Olver, T.D.; Lemon, P.W. Running Sprint Interval Training Induces Fat Loss in Women. Appl. Physiol. Nutr. Metab. Physiol. Appl. Nutr. Metab. 2014, 39, 944–950. [Google Scholar] [CrossRef]
- Trapp, E.G.; Chisholm, D.J.; Freund, J.; Boutcher, S.H. The Effects of High-Intensity Intermittent Exercise Training on Fat Loss and Fasting Insulin Levels of Young Women. Int. J. Obes. 2008, 32, 684–691. [Google Scholar] [CrossRef]
- Astorino, T.A.; Edmunds, R.M.; Clark, A.; King, L.; Gallant, R.A.; Namm, S.; Fischer, A.; Wood, K.M. High-Intensity Interval Training Increases Cardiac Output and VO2max. Med. Sci. Sports Exerc. 2017, 49, 265–273. [Google Scholar] [CrossRef]
- Wen, D.; Utesch, T.; Wu, J.; Robertson, S.; Liu, J.; Hu, G.; Chen, H. Effects of Different Protocols of High Intensity Interval Training for VO2max Improvements in Adults: A Meta-Analysis of Randomised Controlled Trials. J. Sci. Med. Sport 2019, 22, 941–947. [Google Scholar] [CrossRef]
- Spencer, M.; Bishop, D.; Dawson, B.; Goodman, C.; Duffield, R. Metabolism and Performance in Repeated Cycle Sprints: Active versus Passive Recovery. Med. Sci. Sports Exerc. 2006, 38, 1492–1499. [Google Scholar] [CrossRef]
- Stankovic, M.; Djordjevic, D.; Trajkovic, N.; Milanovic, Z. Effects of High-Intensity Interval Training (HIIT) on Physical Performance in Female Team Sports: A Systematic Review. Sports Med. Open 2023, 9, 78. [Google Scholar] [CrossRef] [PubMed]
- Lievens, E.; Klass, M.; Bex, T.; Derave, W. Muscle Fiber Typology Substantially Influences Time to Recover from High-Intensity Exercise. J. Appl. Physiol. 2020, 128, 648–659. [Google Scholar] [CrossRef] [PubMed]





| PR (n = 9) | AR (n = 9) | Mixed Model Effects (Wald Test, χ2 Degrees of Freedom) | ||||||||||||||
|---|---|---|---|---|---|---|---|---|---|---|---|---|---|---|---|---|
| Pre | Post | Pre | Post | Pre | Post | Pre | Post | |||||||||
| ♀ (66.67%) | ♂ (33.33%) | ♀ (44.44%) | ♂ (55.56%) | Time | Time/Group | Time/Gender | Time/Group/Gender | |||||||||
| Mean (±SD) | Mean (±SD) | Mean (±SD) | Mean (±SD) | Mean (±SD) | Mean (±SD) | Mean (±SD) | Mean (±SD) | z | p | z | p | z | p | z | p | |
| BF (%) | 21.65 (1.79) | 20.05 (2.30) | 14.16 (0.93) | 11.86 (0.38) | 20.83 (3.01) | 19.54 (2.10) | 11.04 (3.29) | 9.76 (2.88) | −3.09 | 0.002 * | 0.35 | 0.723 | −1.59 | 0.111 | 0.51 | 0.607 |
| UFI (%) | 37.41 (4.03) | 29.65 (3.70) | 28.56 (0.87) | 20.71 (3.50) | 31.65 (5.28) | 32.64 (7.24) | 24.33 (7.03) | 20.36 (8.92) | −1.51 | 0.132 | 0.56 | 0.580 | −2.18 | 0.029 * | −0.50 | 0.614 |
| LFI (%) | 27.15 (6.36) | 25.04 (6.21) | 20.16 (2.18) | 17.62 (2.16) | 26.63 (5.55) | 25.55 (6.37) | 15.57 (3.45) | 12.48 (3.93) | −2.23 | 0.026 * | 0.78 | 0.437 | −1.01 | 0.314 | −1.14 | 0.253 |
| FFM (kg) | 48.44 (7.41) | 49.14 (7.39) | 71.18 (10.56) | 73.35 (10.62) | 45.23 (1.84) | 46.39 (1.02) | 69.41 (7.20) | 70.65 (7.58) | 1.40 | 0.161 | 0.62 | 0.537 | 2.22 | 0.026 * | −1.30 | 0.193 |
| UMA (cm2) | 35.67 (9.83) | 39.62 (9.49) | 53.29 (12.97) | 60.15 (13.31) | 33.02 (2.98) | 32.96 (4.05) | 51.61 (13.28) | 54.56 (16.37) | 2.30 | 0.022 * | −1.84 | 0.066 | 1.94 | 0.052 * | 0.06 | 0.952 |
| LMA (cm2) | 70.54 (7.00) | 74.82 (7.73) | 89.95 (13.93) | 92.73 (13.43) | 65.62 (8.55) | 71.38 (8.77) | 88.01 (8.95) | 95.55 (13.13) | 1.84 | 0.065 | 0.14 | 0.887 | 0.74 | 0.457 | 0.81 | 0.416 |
| PR (n = 9) | AR (n = 9) | Mixed Model Effects (Wald χ2 Degrees of Freedom) | ||||||||||||||
|---|---|---|---|---|---|---|---|---|---|---|---|---|---|---|---|---|
| Pre | Post | Pre | Post | Pre | Post | Pre | Post | |||||||||
| ♀ (66.67%) | ♂ (33.33%) | ♀ (44.44%) | ♂ (55.56%) | Time | Time/Group | Time/Gender | Time/Group/Gender | |||||||||
| Mean (±SD) | Mean (±SD) | Mean (±SD) | Mean (±SD) | Mean (±SD) | Mean (±SD) | Mean (±SD) | Mean (±SD) | z | p | z | p | z | p | z | p | |
| HGS r (kg) | 31.00 (4.00) | 32.83 (3.82) | 49.17 (11.03) | 50.17 (12.17) | 31.63 (2.69) | 33.13 (2.25) | 41.20 (8.87) | 48.60 (9.79) | 0.25 | 0.804 | 0.03 | 0.977 | 3.11 | 0.002 * | −0.73 | 0.464 |
| HGS l (kg) | 28.67 (4.93) | 31.17 (4.54) | 46.17 (14.89) | 46.17 (11.62) | 30.88 (3.42) | 33.00 (6.48) | 40.10 (13.25) | 46.60 (10.71) | 0.68 | 0.496 | −0.09 | 0.926 | 2.20 | 0.027 * | −0.93 | 0.354 |
| CMJ (cm) | 23.97 (2.48) | 27.83 (4.25) | 36.97 (9.90) | 41.40 (8.05) | 28.58 (2.99) | 30.05 (3.77) | 40.32 (10.05) | 40.16 (8.06) | 0.38 | 0.706 | 0.03 | 0.973 | 1.21 | 0.226 | 0.56 | 0.573 |
| Agility (m/s) | 3.89 (0.42) | 3.84 (0.14) | 3.98 (0.18) | 4.28 (0.11) | 3.81 (0.32) | 4.01 (0.26) | 4.08 (0.19) | 4.33 (0.26) | 1.42 | 0.154 | −1.15 | 0.251 | 1.72 | 0.085 | 0.64 | 0.525 |
| VO2peak (mL/kg#min) | 42.70 (4.42) | 45.77 (3.17) | 46.38 (4.43) | 50.07 (3.96) | 45.26 (4.37) | 47.87 (2.79) | 51.48 (4.51) | 53.73 (4.32) | 2.89 | 0.004 * | −0.10 | 0.917 | 0.77 | 0.438 | 0.21 | 0.832 |
Disclaimer/Publisher’s Note: The statements, opinions and data contained in all publications are solely those of the individual author(s) and contributor(s) and not of MDPI and/or the editor(s). MDPI and/or the editor(s) disclaim responsibility for any injury to people or property resulting from any ideas, methods, instructions or products referred to in the content. |
© 2024 by the authors. Licensee MDPI, Basel, Switzerland. This article is an open access article distributed under the terms and conditions of the Creative Commons Attribution (CC BY) license (https://creativecommons.org/licenses/by/4.0/).
Share and Cite
Mauro, M.; Sánchez-Alcaraz Martínez, B.J.; Maietta Latessa, P.; Marini, S.; Toselli, S. Long-Term Physiological Adaptations Induced by Short-Interval High-Intensity Exercises: An RCT Comparing Active and Passive Recovery. J. Funct. Morphol. Kinesiol. 2024, 9, 229. https://doi.org/10.3390/jfmk9040229
Mauro M, Sánchez-Alcaraz Martínez BJ, Maietta Latessa P, Marini S, Toselli S. Long-Term Physiological Adaptations Induced by Short-Interval High-Intensity Exercises: An RCT Comparing Active and Passive Recovery. Journal of Functional Morphology and Kinesiology. 2024; 9(4):229. https://doi.org/10.3390/jfmk9040229
Chicago/Turabian StyleMauro, Mario, Bernardino Javier Sánchez-Alcaraz Martínez, Pasqualino Maietta Latessa, Sofia Marini, and Stefania Toselli. 2024. "Long-Term Physiological Adaptations Induced by Short-Interval High-Intensity Exercises: An RCT Comparing Active and Passive Recovery" Journal of Functional Morphology and Kinesiology 9, no. 4: 229. https://doi.org/10.3390/jfmk9040229
APA StyleMauro, M., Sánchez-Alcaraz Martínez, B. J., Maietta Latessa, P., Marini, S., & Toselli, S. (2024). Long-Term Physiological Adaptations Induced by Short-Interval High-Intensity Exercises: An RCT Comparing Active and Passive Recovery. Journal of Functional Morphology and Kinesiology, 9(4), 229. https://doi.org/10.3390/jfmk9040229

