Next Article in Journal
Transition from Traditional Knowledge Retrieval into AI-Powered Knowledge Retrieval in Infrastructure Projects: A Literature Review
Previous Article in Journal
Structural Damage Detection Using an Unmanned Aerial Vehicle-Based 3D Model and Deep Learning on a Reinforced Concrete Arch Bridge
Previous Article in Special Issue
Implementation of Crumb Rubber (CR) in Road Pavements: A Comprehensive Literature Review
 
 
Font Type:
Arial Georgia Verdana
Font Size:
Aa Aa Aa
Line Spacing:
Column Width:
Background:
Article

Comparative Analysis of Rubberized Asphalt and Traditional Asphalt: Performance, Economic, and Environmental Impacts in Life Cycle

School of Civil Engineering, College of Engineering, University of Tehran, Tehran 1417935840, Iran
*
Author to whom correspondence should be addressed.
Infrastructures 2025, 10(2), 34; https://doi.org/10.3390/infrastructures10020034
Submission received: 13 December 2024 / Revised: 31 January 2025 / Accepted: 4 February 2025 / Published: 5 February 2025

Abstract

Rubberized asphalt mixtures, including dry-process, wet-process with asphalt rubber binder, and wet-process with terminal blend binder, are superior options for pavement construction compared to conventional hot mix asphalt (HMA). This study compared these mixtures in terms of performance, cost, and environmental impact, considering their expected lifespan. Their performances were assessed through a literature review, the costs for material production and construction were estimated, and the environmental impacts were evaluated using a life cycle assessment (LCA) with the SimaPro software. The results showed that rubberized mixtures, overall, outperformed conventional asphalt by about 25%, making them a viable choice for sustainable pavements. Despite the higher material and construction costs, an economic analysis revealed that rubberized mixtures are more cost-effective in the long term due to their extended service lives. The wet-process rubberized mixture made with asphalt rubber binder proved to be the most cost-effective over the pavement’s lifespan, followed by the terminal blend and dry-process mixtures. The LCA indicated higher environmental impacts during production for rubberized asphalt due to increased fuel consumption and material usage. However, when normalizing emissions over the pavement’s lifespan, the wet-process rubberized mixtures made with asphalt rubber binder exhibit the lowest equivalent CO2 emissions per year, making them the most sustainable option. The comparative approach used in this study highlights the pros and cons of rubberized asphalt mixtures, offering valuable insights for informed decision-making in pavement construction.

1. Introduction

Rubberized asphalt mixtures, which exhibit superior performance and durability compared to conventional hot mix asphalts based on numerous laboratory studies and field performance, provide an effective solution for lowering long-term expenses by enhancing the lifespan and durability of the pavement. Additionally, the crumb rubber or powder incorporated into rubberized asphalt mixtures is sourced from grinding the rubber of used or discarded tires, effectively addressing the issue of landfilling worn tires from an environmental perspective.
In general, three main technologies for using rubber in the production of rubberized asphalt mixtures can be defined: the dry process, the wet process with the production of asphalt rubber binder, and the wet process with the production of rubber-modified binder (known as terminal blend binder). Based on a study conducted by Ghabchi et al., several transportation agencies, including the Alabama Department of Transportation (ALDOT), California Department of Transportation (Caltrans), and Texas Department of Transportation (TxDOT), were examined. The study found that 77.3% of these agencies utilize asphalt rubber binder, 54.5% use terminal blend binder in the production of rubberized asphalt mixtures, and the use of dry process rubberized asphalt mixtures is limited to only 13.6% of these organizations [1].
Although the benefits of rubberized asphalt mixtures have been proven, their usage is not without concerns. Technical problems, such as the poor storage stability of asphalt rubber binder or even terminal blend binder, the high viscosity of the binders, and the increased emissions of hazardous air pollutants during pavement construction, exist [2].
The production of each kilogram of synthetic rubber generates more than 2 kg of carbon dioxide, based on the SimaPro software data. By recycling and reintegrating used tires into the consumption cycle, it is possible to make better use of these materials, considering the significant emissions already associated with their production.
While the use of any additive that enhances asphalt properties may slightly increase environmental impacts in life cycle studies—since the production of a chemical substance is required—this issue does not apply to crumb rubber. The process does not involve producing a new raw material; it only requires shredding, preparation, and similar operations.
With growing sustainability concerns in the pavement industry, numerous studies have been conducted over the past decade to assess the environmental impacts of various pavement materials throughout their life cycles.
Praticò et al. conducted a study to assess the life cycle of pavement technologies with recycled materials (reclaimed asphalt pavements, crumb rubber, and waste plastics). The results show that the production of the materials has the highest contribution (60–70%) in all environmental aspects [3].
In a study by Lima et al., the environmental impact of impact-absorbing pavements made with crumb rubber was evaluated. The results showed that using crumb rubber in the dry process increases the overall environmental impact due to the need for higher amounts of asphalt binder. However, if the lifespan of the alternative pavement structures is 20% longer than that of the reference pavement, the total environmental impact will be lower [4]. A life cycle assessment case study in Brazil demonstrated that, considering various environmental and economic factors, a pavement structure with an asphalt binder-stabilized base containing 15% crumb rubber is the optimal option [5].
In addition to life cycle assessment studies of rubberized asphalts, numerous studies have been conducted to evaluate the performance of this type of material. In one study, Xie et al. investigated the dynamic modulus, rutting resistance, moisture sensitivity, and fatigue resistance of various rubberized stone matrix (SMA) mixtures through performance tests. The mixtures were produced in the laboratory using three processes: the dry process, the wet process with asphalt rubber binder, and the wet process with terminal blend binder. The results showed the following: (1) the incorporation of crumb rubber into SMAs improved the high-temperature dynamic modulus, rutting resistance, and fatigue life; (2) the production methods may affect the high-temperature dynamic modulus and rutting resistance while having no significant effect on the moisture sensitivity and fatigue life of the mixture; and (3) the use of a Styrene–Butadiene–Styrene (SBS) polymer and rubber blends in the terminal blend binder significantly improved the rutting and fatigue cracking resistance [6].
Chavez et al. compared rubberized asphalt mixtures produced by dry and wet processes and pointed out the disadvantages of each process; the wet process requires expensive equipment and the dry process requires long mixing times, both of which have been cited as reasons for the stagnation of the development of this technology. The development of pre-prepared rubber binder (semi-wet) has expanded the use of this type of asphalt by providing advantages to compensate for the disadvantages of other processes [7].
Bilema et al.’s review highlights the fundamental principles of crumb rubber-modified asphalt, noting its superior performance and longer service life compared to conventional asphalt. Despite its benefits, the lack of detailed information on greenhouse gas emissions, energy consumption, and life cycle costs deters its widespread adoption, leading many in the global asphalt industry to prefer more expensive and energy-intensive additives like Styrene–Butadiene–Styrene (SBS). The study concludes that adding rubber increases the optimum binder percentage and viscosity, which can be mitigated with additives. Rubberized asphalt also offers significant environmental benefits by reducing maintenance operations and energy consumption throughout its life cycle [8].
In a study, Picado-Santos et al. examined various technologies for using crumb rubber and stated that, in addition to improving environmental indicators due to the recycling of scrap tires, rubberized asphalt also has other benefits. In terms of direct costs, it can be said that rubberized asphalt is up to 30% more expensive; however, considering the longer life cycle of the pavement, it saves on pavement maintenance costs. They also stated that the use of terminal blend binder has a simpler and more controlled process, and if developed and combined with the warm asphalt (WMA) process, it will be beneficial for the pavement industry [9].

2. Research Purpose

The aim of this study is to compare three methods or processes of producing rubberized asphalt (the dry process, wet process with asphalt rubber binder, and wet process with terminal blend binder) with conventional hot asphalt mixtures in terms of performance, the costs related to production and construction, and the environmental side effects from the stage of raw material production to the end of pavement construction.
For this purpose, the performances of the mixtures were estimated through a review of the literature and previous research. For economic estimation, the costs related to production and implementation were calculated by referring to the official item price list, which is used in pavement construction projects in Iran (refer to Appendix A). Finally, to quantitatively calculate the environmental impacts, the life cycle assessment from the stage of raw material production to the end of pavement construction for the considered mixtures was calculated and compared using the SimaPro software.
The production and implementation costs and life cycle assessment were considered for the production of 1000 tons of mixture (approximately equivalent to the asphalt required to pave 1 km of a two-lane road with a width of 7 m at a thickness of 50 mm thickness).

3. Life Cycle Assessment Framework

A life cycle assessment of an asphalt mixture is a systematic approach to evaluate the environmental impacts associated with all stages of its life cycle, from the extraction of raw materials to the production, use, and end-of-life of the pavement. This assessment helps identify critical points in the asphalt life cycle where environmental improvements can be made, such as reducing greenhouse gas emissions and the consumption of raw materials and energy resources. Recent studies emphasize the importance of considering various factors, including the selection of appropriate materials, construction methods, and maintenance practices, to achieve more sustainable asphalt design. The life cycle of any pavement includes different phases, including material production, construction, road operation and maintenance, and finally, end-of-life (Figure 1). Each of these phases can have significant environmental impacts, including energy consumption, greenhouse gas emissions, and other pollutants; therefore, it is essential to assess the impacts comprehensively throughout their entire life cycle.
The life cycle assessment framework consists of four stages as shown in Figure 2. Depending on how many stages of a product’s life cycle is considered, and the scope of the research, different types of life cycle assessment studies can be conducted; for example [10]:
  • Cradle-to-grave LCAs with complete life cycle stages included in the system boundary.
  • Cradle-to-gate LCAs with options (which include the production stage and selected further life cycle stages).
  • Cradle-to-laid (also referred to as “cradle-to-end of construction”) LCAs with the construction stage added to the system boundary.
  • Specific parts of the life cycle (e.g., waste management, components of a product, or use stage).

4. Life Cycle Inventory

In this study, four asphalt mixture samples were evaluated, including conventional hot mix asphalt (HMA), dry process rubberized asphalt (RHMA-dry), wet process rubberized asphalt prepared by asphalt rubber binder (RHMA-wet), and rubberized asphalt prepared with terminal blend binder (RHMA-tb). The following is a brief description of each process for producing rubberized asphalt mixtures:
Wet Process Asphalt Rubber Binder: This process involves mixing crumb rubber and asphalt binder to produce an improved binder for asphalt mixtures, known as asphalt rubber binder. This binder contains at least 15% of rubber by weight and may include some additives, such as aromatic oils, to aid the interaction between the asphalt binder and rubber, reduce viscosity, and improve workability. The rubber particle sizes in this process range from approximately 0.56 mm to a maximum of 2 mm. The asphalt binder and crumb rubber must first be mixed at 170 to 200 °C for 45 min to 2 h, depending on the project requirements. The mixture produced by this method offers many technical and functional advantages; however, its widespread use is challenging due to the need for expensive equipment, constant stirring to prevent the separation of the asphalt binder and rubber, and the limited storage time [7,9].
Wet Process Terminal Blend Binder: The final binder product in this method is a sticky material in which the rubber particles are completely digested into the asphalt binder and must be prepared in asphalt binder production centers. The maximum size of the rubber particles is 0.6 mm, and the main difference from the previous method is the amount of rubber consumed and the equipment used. In the terminal blend method, the recommended percentage of rubber is 5 to 15% of the binder weight. To prepare the terminal blend binder, a production temperature of 220 to 280 °C is required, and the digestion time is about 2 to 8 h. There are also stability problems in maintaining the product to achieve proper performance, and the fuel consumption of this method is high. To solve this problem, warm asphalt additives are usually used in production, which can help improve the application of the product from an environmental perspective. The mixing mechanism and properties of the terminal blend binder differ from those of asphalt rubber binders, and the production of rubberized asphalt mixtures with terminal blend binders is generally similar to asphalt mixtures made with polymer-modified binders [9,11].
Dry Process: The dry process involves the direct addition of crumb rubber or rubber powder to the hot aggregate in the asphalt plant, followed by the addition of neat asphalt binder to create a rubberized asphalt mixture. In this case, the optimum binder percentage is higher than that in conventional asphalt mixtures. To achieve a similar performance to the wet process, a fine rubber powder size is recommended (approximately 0.2 mm, with a maximum size of 0.6 mm). In this method, the amount of rubber is about 20% by the weight of the binder or about 1.5% by the weight of the mixture. The dry process rubberized asphalt mixtures, like the wet process ones, have better technical performance than conventional asphalt mixtures, with improved cracking, fatigue, and rutting resistance. The dry process is a promising method for recycling used and scrap tires due to its ease of use. When the proper mix design and manufacturing instructions are followed, the mechanical performance of dry process mixtures would be better than conventional mixtures and even comparable or close to that of wet process rubberized mixtures [9,12].
The mixing design was determined based on international regulations and guidelines, such as Caltrans, FHWA reports, and the Asphalt Institute MS2 guideline, with reference to previous studies [9,13]. The optimal binder content was also estimated, and the values for rubberized asphalts were modified compared to the conventional mixture, referencing the literature review [14,15]. The amount of materials needed to produce one ton of each mixture can be seen in Table 1. Additionally, the gradation chart is illustrated in Figure 3. Figure 3a depicts the dense-graded gradation used for HMA and RHMA-tb mixtures, while Figure 3b shows the gap-graded gradation applied for RHMA-dry and RHMA-wet mixtures.
For the material production stage, the values were assumed according to the table above and for 1000 tons. For the production of crumb rubber, based on the available resources and specifications of the devices used, the time for using these devices was included in the modeling. The production time and temperature for the preparation of the asphalt rubber binder and terminal blend binder were considered to be 1 h at 190 °C and 2 h at 220 °C, respectively [9]. For transporting materials to the mix production site and the project construction site, the details of each mix and the distances considered are provided in Figure 4.
For the mixture production stage, according to the recommended temperatures found in the related literature, the mixing temperature was considered to be 160 °C for the conventional hot mix asphalt, 180 °C for the rubberized asphalt mixtures produced in the dry process and in the wet process using asphalt rubber binder, and 170 °C for rubberized asphalt mixtures produced with the terminal blend binder [9,16]. Additionally, for the production of asphalt rubber binder using the wet process, it was assumed that the asphalt binder and crumb rubber are mixed together at a temperature of 190 °C [9].
The thermal energies used for the production of the terminal blend binder and asphalt rubber binder in the wet process were calculated using the heat calculation relationship. Also, the thermal energies required for the production of asphalt mixtures were based on the relationships commonly used in other studies (Equation (1)) [16,17]. This equation took into account the details of the aggregates, asphalt binder, and energy wasted due to heating the binder tank.
T E = i = 0 M m i × C i × t m i x t 0 + m b i t × C b i t × t m i x t 0 + i = 0 M m i × W i × C w × 100 t 0 + L v × i = 0 M m i × W i + i = 0 M m i × W i × C v a p × ( t m i x 100 ) × 1 + C L
  • TE is the thermal energy (MJ/ton mixture) necessary to produce one ton of asphalt mixture;
  • mi is the mass of aggregates of fraction i (Table 1);
  • Ci is the specific heat capacity coefficient of aggregate fraction i (0.74 k J / k g / );
  • M is the total number of aggregate fractions;
  • tmix is the mixing temperature of an asphalt mixture;
  • t0 is the ambient temperature (15 °C);
  • mbit is the mass of the asphalt binder (Table 1);
  • Cbit is the specific heat capacity coefficient of the asphalt binder (2.093 k J / k g / );
  • Wi is the water content of the aggregates of fraction i (0.3);
  • Cw is the specific heat capacity coefficient of water (4.1855 k J / k g / );
  • Lv is the latent heat required to evaporate water (2256 kJ/kg);
  • Cvap is the specific heat capacity coefficient of water vapor (1.83 kJ/kg); and
  • CL is the casing losses factor (0.27).
The production and construction equipment, including an asphalt plant, paver, dump truck, rubber wheel loader, steel wheel roller, and rubber wheel pneumatic roller, were also included in the modeling with the SimaPro software. Assuming the consecutive operation of road construction equipment, the operation time was calculated in a manner similar to the cost estimate, based on the typical durations of construction operations. The types of construction equipment or machinery were assumed to be the same for all four types of mixtures. For rubberized asphalt mixtures, correction factors were applied to the hours of equipment usage. It should be noted that rubber wheel rollers are not recommended for compacting rubberized mixtures and were therefore not considered for the three rubberized asphalt mixes evaluated [13].
In the dry process, to ensure the complete mixing of the rubber particles with other components, it is necessary to consider an appropriate time for producing the mixture. Additionally, for wet processes (utilizing asphalt rubber binder and terminal blend binder), the efficiency of the asphalt plant decreases due to the increase in the viscosity of the binders used. Since the operation of the asphalt plant and road construction equipment occurs continuously and proportionately, it is evident that the operating time of the construction equipment will also increase. Furthermore, the speed of construction may vary due to differences in the properties of the asphalt mixtures. Considering the above explanations and the lack of specifics, three scenarios of a 10, 20, and 30 percent increase in equipment operation time were assumed for the rubberized mixtures. If the operation time increases by more than 30%, the technology becomes less appealing to the industry due to the significantly increased construction time and project delays, as discussed with pavement construction experts and practitioners. All of the data utilized and the items considered in this study are summarized in Figure 5.

5. Result and Discussion

5.1. Performance Evaluation

Based on a review of previous studies, the performance of the three rubberized asphalt mixtures has been investigated and estimated for (I) the resistance to cracking [18,19,20,21], (II) fatigue resistance [6,22], (III) rutting resistance [6,23], and (IV) moisture sensitivity [6,23], as well as overall performance life [8,24,25]. The results are presented in Figure 6. It is important to note that the performance evaluation based on the findings of the reviewed studies may be influenced by both the properties of the materials tested and the test conditions. A conservative approach is taken in this study by considering the general findings and engineering judgments for scoring mixture performance properties, while acknowledging that specific values may be affected by the test conditions in each study.
For quantification and comparison, a score of one was assigned to the conventional hot mix asphalt for the four performance criteria. Rubberized asphalts were then scored based on the percentage increase observed for each performance criterion. For example, if an asphalt sample exhibited a 30% improvement in cracking resistance, it received a score of 1.3. The performance summary for the three rubberized asphalt samples is illustrated in Figure 6, and the assigned scores are detailed in Table 2. In each performance category, the highest score was standardized to 25, with other samples’ scores adjusted proportionally. These scores were then summed, and the highest total was normalized to 100, with other totals adjusted proportionally.
As shown in Table 2, the rubberized asphalt mixture prepared using the asphalt rubber binder (RHMA-wet) demonstrated the best performance. The mixture made with the terminal blend binder (RHMA-tb) followed closely in second place. The rubberized asphalt prepared by the dry process ranked third, with only a 5% performance difference compared to the other two rubberized asphalt mixtures; however, it still outperformed the conventional asphalt mixture by about 20%. It is important to note that the lifespan of unmodified asphalt was considered to be 10 years, and the lifespans of the mixtures were calculated proportionally based on this assumption. The scores and rankings were determined assuming that all asphalt mixtures were prepared and placed under optimal conditions, with construction defects considered to be negligible.
It must be mentioned that improving the properties of a mix may come at the cost of other properties. For example, mixtures with reclaimed asphalt pavement (RAP) may exhibit improved rutting performance, compared to the conventional mix, but have a higher cracking potential. In the case of rubberized mixtures, it is acknowledged, in all studies, and claimed that rubberized mixtures have improved rutting, fatigue, low-temperature, and moisture damage resistance compared to conventional HMA. The increase in performance of these criteria, compared to the control mix, was considered independent of each other in this study.

5.2. Economic Evaluation

The costs were estimated based on actual conditions and existing operational costs, including the preparation and transportation of crumb rubber, excess fuel consumption compared to the conventional mixture, and additional machinery time. Appendix A provides the explanations and details of the cost items considered in the estimation of cost for each type of asphalt mixture evaluated. For an appropriate and clear economic evaluation, the cost for the production and paving of 1000 tons of conventional hot mix asphalt was considered as the basis (referred to as x), and the cost for other mixtures was represented as a ratio of x. The results of the cost estimate for 1000 tons of each type of mixture are presented in Table 3. This approach is useful and beneficial as it can serve as a basis for cost estimation. By knowing the cost of HMA production and placement, one can estimate the cost of RHMA mixtures accordingly for any given project.
Despite the higher initial production cost, rubberized asphalts are economically justified in the long term due to their longer lifespan and superior performance. Therefore, to ensure a fair comparison, the annual uniform cost was calculated based on engineering economics principles, considering a discount rate of 10% and the number of years according to the performance lifespan of the mixture, as shown previously in Table 2 [26].
To account for the uncertainty of the mixture performance lifespan, uniform costs were also calculated for scenarios where the lifespan was 10% longer or shorter than indicated in Table 2. For a quantitative and multi-purpose comparison, the annual uniform costs for the average lifespan were then converted into scores out of 100. The mixture with the lowest cost received a score of 100, and the scores of the other mixtures were calculated proportionally, as shown in Table 3.
The scoring based on production costs reveals that RHMAs have higher production costs compared to conventional HMA. However, the Equivalent Uniform Annual Cost (EUAC) indicates that RHMAs, particularly those produced using the wet process, are more cost-effective over their life cycle. Among the evaluated mixtures, RHMA-wet achieved the highest score (100), demonstrating a superior cost efficiency and performance. While increasing machinery usage time leads to higher production costs, it slightly reduces the overall score. Overall, the wet process appears to be the most effective in balancing cost and performance for sustainable pavement construction. It is worth noting that variations in lifespan can alter the rankings. For example, if the lifespan of a rubberized mixture is 10% shorter and the equipment usage time increases by 30%, conventional HMA would be a more economical option.
A broader cost comparison can be achieved by performing a sensitivity analysis on the discount rate, analysis period, fluctuations in material and equipment usage costs, which was out of the scope of this current study. One should be aware of the boundaries of the economic evaluation when using the findings from this study.

5.3. Environmental Impact Evaluation

There are several methods for life cycle assessment, including those conducted at the midpoint and endpoint. Interpreting the results of the endpoint method does not require extensive knowledge of environmental impacts and includes only three impact categories, allowing for quick information retrieval and decision-making. However, a disadvantage of endpoint methods is the higher statistical uncertainty. Data gaps and assumptions accumulate along the cause-and-effect chain, making environmental results less reliable further along the chain. If such a method is used, it must be ensured that the differences are significant enough to compensate for this uncertainty (e.g., Figure 7).
In some situations, it might be more effective to present results at the midpoint. While midpoint results can be more complex and take longer to understand, they offer much more precise insights. For example, one product might have a high impact on climate change, while another has a high impact on ozone depletion. These effects both contribute to human health and ecosystem quality endpoints and may cancel each other out in endpoint results. However, at the midpoint, these differences are clearly visible, allowing for a better consideration of the trade-offs. Additionally, midpoint results have less statistical uncertainty, making them more reliable. The disadvantage is that interpreting midpoint results requires some knowledge of multiple environmental impacts, making it harder to draw general conclusions [27].
SimaPro is a leading software for life cycle assessment (LCA), widely used in research and the industry to analyze environmental impacts. With its comprehensive databases and support for various assessment methods, like ReCiPe, it helps to identify environmental hotspots and compare alternatives effectively. The ReCiPe 2016 Endpoint (H) method was chosen for its balanced and widely accepted approach which allows effects to be extracted in two ways: characterization (more detailed categories) and impact assessment (more general categories). It aggregates detailed midpoint indicators into three endpoint categories—human health, ecosystems, and resource availability—simplifying interpretation and decision-making. The Hierarchist (H) perspective provides a consensus-based balance between short- and long-term impacts, making it suitable for studies aiming to deliver actionable and widely applicable insights.
In this study, to perform an environmental comparison, all the data described in the previous sections were entered into the SimaPro software version 9.6.0.1. The rows used in the software were selected by reviewing previous studies and searching within the software database, based on availability [28]. For example, items “Bitumen, at refinery/kg/US”, “Gravel, crushed {GLO}| market for | Cut-off, U”, “Sand {GLO}| market for sand | Cut-off, U”, and “Inert filler {GLO}| sand to generic market for inert filler | Cut-off, U” were used for raw materials, the item “Transport, freight, lorry 16-32 metric ton, EURO3 {GLO}| market for | Cut-off, U” was used for transportation, the item “Diesel, burned in building machine {GLO}| market for diesel, burned in building machine | Cut-off, U” was used for thermal energy, and the item “Machine operation, diesel, >= 74.57 kW, high load factor {GLO}| machine operation, diesel, >= 74.57 kW, high load factor | Cut-off, U” was used for machinery.

5.3.1. Result of Characterization

Using the aforementioned mix design and other data introduced in the previous sections, ten asphalt mixtures were modeled in the SimaPro software. The results are presented as characterizations, highlighting only the most important factors, in Figure 8, and Table 4 presents the characterization data across various impact categories, normalized to a maximum value of 100%. This visualization highlights the environmental performance of different mixtures, using a color spectrum from green to red, where the color green indicates lower impacts and red indicates higher impacts. As seen from the results, the results vary among production processes and machinery usage time.
In comparing the processes, the results indicate that the rubberized mixtures produced through the terminal blend process consistently have the lowest impacts across most categories, while the performances of the other rubberized mixes are approximately similar. This suggests that the terminal blend method is more efficient in the environmental aspect of sustainability, due to lower resource (fuel and binder) consumption, which leads to a reduction in emissions compared to other methods. The effects of machinery usage time can also be detected. The increase in environmental impacts is obvious but slight, by about 2%, with each 10% increase in usage time.
For instance, in the global warming potential category, RHMA-tb+10%M exhibits a reduction of approximately 8% compared to RHMA-dry+10%M and RHMA-wet+10%M. Similar trends are observed for the impacts on other categories, where the RHMA-tb mixtures outperform those obtained from the dry and wet processes. Due to lower mixing temperatures, equipment time, and a different mix design—specifically, lower binder content—the HMA sample remains in the green area across all categories.
In some instances, such as stratospheric ozone depletion, the environmental performance of asphalt mixtures is influenced by machinery operation time, which can alter the ranking of production methods across certain impact categories. Therefore, while the terminal blend method generally excels, its sustainability advantage is sensitive to increases in machinery operation time. Decision-makers should carefully evaluate these trade-offs, particularly in projects where machinery use is expected to extend significantly, to select the most appropriate method for reducing environmental impacts.
In contrast to the previous explanations, in the water consumption category, the impacts of producing RHMA-tb are increased. Terminal blend mixtures have a greater aggregate content compared to other rubberized samples, and these characterizations (water consumption) are probably more reliant on aggregate amounts than others.
In summary, the terminal blend method proves to be the most environmentally favorable approach, reducing impacts by up to 20–25% across several categories compared to the dry and wet methods. This advantage is particularly significant in mitigating the effects of increased machinery operation time. These findings underscore the importance of selecting efficient production methods to minimize the environmental footprint of rubberized asphalt mixtures.

5.3.2. Result of Impact Assessment

After classification and characterization, the impact assessment at the endpoint focuses on interpreting and aggregating impacts into broader, decision-oriented outcomes. This section presents the environmental losses and impacts in three categories: human health, ecosystems, and resources. The graphs illustrate the contribution of each mixture to these components. Due to the significant differences in the values of various categories (based on their nature and units), the results are also presented in a normalized or weighted form by the software. Figure 9 displays these results, with DALY (It is a measure that measures the impact of disease, disability, and mortality by measuring the length of life lived with disability and the time lost from life due to premature death. A DALY can be thought of as a year of “healthy” life lost) used as the unit for human health, species·yr (This unit indicates the rate of loss of animal or plant species during one year (yr)) as the unit for ecosystems, and USD2013 (This unit refers to the United States dollar (USD) in 2013 and is used as a standard currency in economic evaluations, particularly in life cycle assessment (LCA)) as the unit for resources.
As can be seen, the figures in the human health and ecosystem sections are so small, compared to the resource section, that they are not visible in the diagram. To address this issue, life cycle assessment studies often examine environmental impact results in a normalized form. Normalization involves comparing the results with a reference situation to convert them into units that facilitate the comparison of different categories of environmental impacts. The normalized results are presented in Figure 10.
In the next step, coefficients are applied to each category of effects based on their importance, allowing the results to be summarized and compared. At the end of this step, the unit of the numbers is in points (The unit pt stands for point, which is a scaled score used to make simple comparisons between different impacts. For example, if one process scores 10 pts and another scores 20 pts, we can say that the second process has twice as many environmental impacts) (pt). The results are presented in weighted form in Figure 11. As shown in the figure, the overall process of the impact assessment section is similar to that of characterization.
The results of the weighted environmental impact assessment indicate that the lowest environmental impacts are associated with the HMA and RHMA-tb mixtures. This can be attributed to the lower binder content in these mixtures compared to other rubberized asphalts. In contrast, RHMA-dry and RHMA-wet mixtures exhibit higher environmental impacts due to the elevated mixing temperatures and increased asphalt binder usage required in their production processes. However, it is noteworthy that the terminal blend method (RHMA-tb) also demonstrates slightly higher impacts compared to HMA, primarily due to the higher mixing temperatures, despite its overall better performance among rubberized asphalt mixtures. The graph highlights the significant influence of asphalt binder on environmental impacts.
Furthermore, across all mixtures, the highest weighted impacts are observed in the “Human Health” category. This is a direct result of the weighting applied in the assessment process, emphasizing the critical importance of human health in environmental evaluations. This finding underscores the need for the careful consideration of health-related factors in pavement material selection and life cycle analysis.
The results of the normalized damage assessment for the conventional hot mix asphalt are presented in Figure 12. This graph indicates that the asphalt binder has the largest contribution to environmental effects, with a significant difference from other components. The general trend of this graph is consistent across all of the mixtures evaluated in this study.

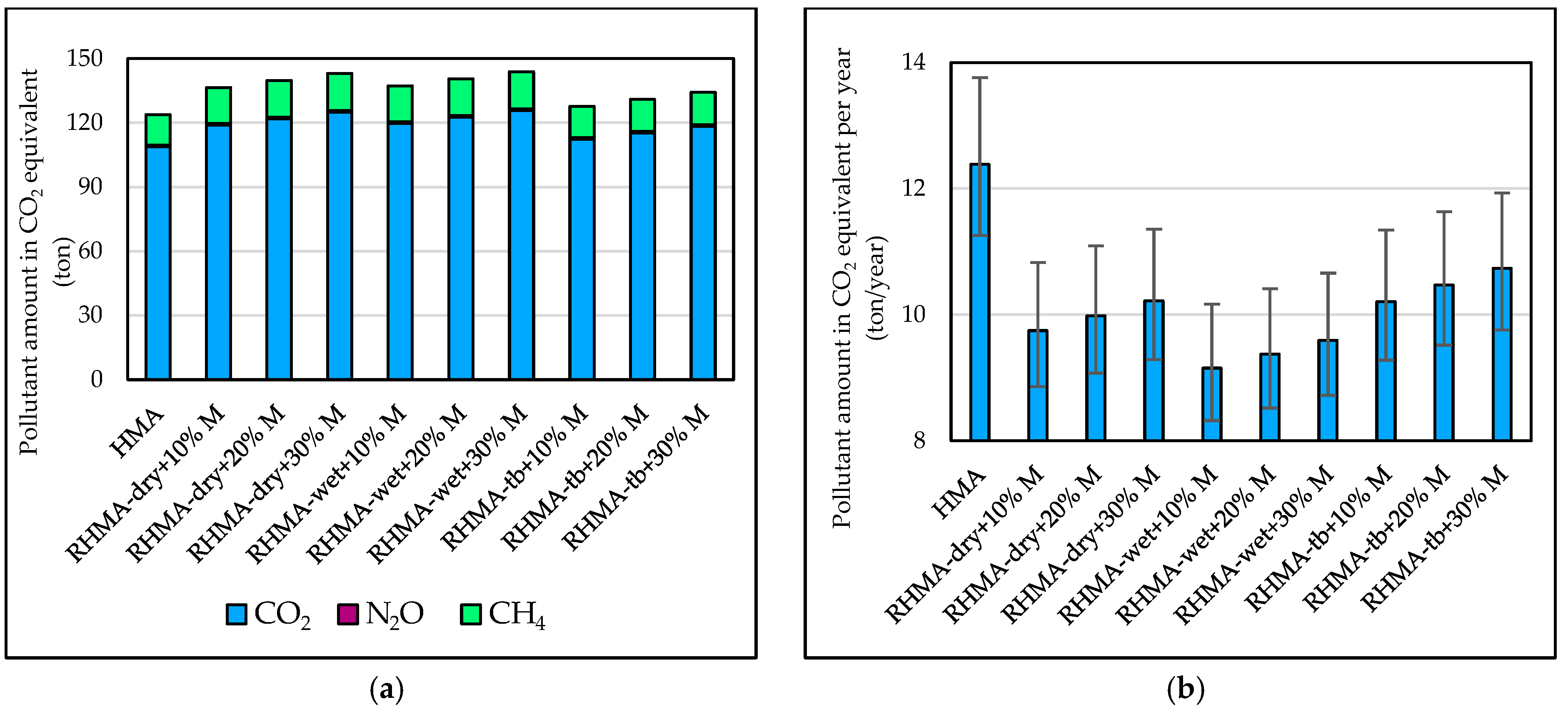
5.3.3. Emission

To assess the air pollutants emitted, the three gases, CO2, N2O, and CH₄, which have the most impact were selected for comparison and converted to carbon dioxide equivalents. These are reported to be equivalent to 28 and 265 kg of carbon dioxide per kilogram of methane and nitrous oxide, respectively [29,30]. Since rubberized asphalts are more durable than the conventional asphalt pavements, the total pollutant amount was divided by the lifespan of each for a fair comparison. The results of the calculations are shown in Table 5 and Figure 13. In this table, to account for the uncertainty of the assumed lifespans, the pollutant amounts per year were also calculated for lifespans 10% higher and lower than the assumed value. Finally, the environmental impact section score was calculated based on the annual pollutant per average lifespan.
As seen in the average lifespan scenario, the rubberized mixtures produced using an asphalt rubber binder in the wet process (even with a 30% increase in production and machinery time) are the most sustainable option among others. The rubberized mixtures produced in the dry process come in second place if the increase in production time is limited to 20%. Finally, the rubberized mixtures produced with the terminal blend binder are the third option, provided that the increase in machinery time is limited to 10%. It should be noted that if the lifespan values differ, the results will change; the effects of ±10% lifespan changes can also be seen in Figure 13b.

5.4. Multi-Factor Ranking

With the scores from the previous three sections, the optimal mixture can be selected in different ways. By weighting the scores so that the sum of the coefficients equals 100, the optimal mixture for a given project can be chosen based on the project priorities. For example, four ranking scenarios were defined and examined. The evaluation results for these scenarios are provided in Table 6 and Figure 14.
  • Scenario 1: Equal weight for the three categories
  • Scenario 2: 60% performance, 20% economic, and 20% environmental impact
  • Scenario 3: 40% performance, 40% economic, and 20% environmental impact
  • Scenario 4: 40% performance, 20% economic, and 40% environmental impact
In the scenarios, the rubberized mixtures with asphalt rubber binder (RHMA-wet) scored the highest points due to their significant scores in terms of economic and environmental impact, along with their acceptable performance. If the performance proportion increases, the terminal blend sample also achieves a high overall score, as seen in the second scenario.

6. Conclusions

In this study, rubberized asphalt mixtures produced using three main processes (the dry process, wet process with asphalt rubber binder, and wet process with terminal blend binder) were compared with each other and a control conventional hot mix asphalt. Alongside the use of the life cycle method to assess the environmental impacts, the mixtures were also compared based on performance and construction and execution costs. In the performance section, the results from previous studies were utilized through a comprehensive literature review, and environmental comparisons were made using the SimaPro software. The findings from this study are summarized as follows:
  • Performance Scores: RHMA-tb, RHMA-wet, and RHMA-dry samples scored 100, 96.7, and 92.2, respectively, compared to HMA’s score of 73.3, indicating superior performance in cracking, rutting, stripping, and moisture sensitivity.
  • Production Costs: RHMA-tb+10%M mix was the most suitable option, with only a 5% higher cost than producing 1000 tons of HMA mix. The cost rose by approximately 1% for every 10% increase in machine usage time. Rubberized asphalt mixes from dry and wet processes were the most expensive, incurring approximately 13% higher costs, considering a 30% increase in machine usage time.
  • Economic Viability: Using the EUAC approach, RHMA-wet was identified as the most economically viable due to its superior long-term performance and lifespan. RHMA-wet+10%M achieved a score of 100 (21% higher than HMA), followed by other rubberized asphalt mixes with scores of around 96. A 10% increase in machine usage time resulted in a 1% decrease in the mix’s score. The confidence intervals for lifespan performance were calculated at ±10% and ±5%.
  • Environmental Impacts: The environmental assessments began with the characterization phase, examining 23 impact categories. Wet- and dry-process mixes showed the highest impacts (normalized values 94–97), RHMA-tb had slightly lower impacts (~90), and HMA had the lowest impact (~88). The higher mixing temperatures and binder content in rubberized mixes led to greater environmental effects.
  • Impact Assessment: The endpoint method categorized the results into human health, ecosystems, and resources, showing consistent patterns and rankings with the characterization phase.
  • GHG Emissions: Considering the expected lifespan for each of the mixtures, HMA production generated 12.4 tons of CO2 equivalents per 1000 tons per year of its lifespan. In comparison, RHMA-wet, RHMA-dry, and RHMA-tb produced 9.2, 9.7, and 10.2 tons per year of their lifespans, respectively. The emissions increased by approximately 0.2 tons of CO2 equivalents annually for every 10% increase in machine usage time.
  • Ranking: The ranking of asphalt mixtures in various scenarios showed that rubberized asphalt prepared with asphalt rubber binder took first place due to its high scores in most scenarios. The rubberized asphalt mixture prepared with the terminal blend binder also received a high score in scenarios where the weight of mixture performance score was significant.
Overall, it can be concluded that rubberized asphalt mixtures, while more costly and pollutant-producing during the production stage, are more sustainable in the long term. This sustainability is due to their performance advantages, as they have a longer performance life, which results in lower uniform annual costs and fewer pollutants produced per year of lifespan compared to conventional hot mix asphalt.

7. Limitations and Recommendations

The presented data are only applicable to the mixtures with properties as mentioned in the paper, and the specific values should not be generalized to other mixtures.
Although life cycle assessment (LCA) studies are often conducted separately from laboratory experiments, the inclusion of performance evaluations alongside environmental impacts in this study suggests that combining LCA results with experimental and practical studies could yield more reliable outcomes.
While rubberized asphalts have been identified as more favorable options due to their extended service life, their higher mixing temperatures and increased fuel consumption result in greater pollutant emissions. Therefore, integrating rubberized asphalt with warm mix asphalt technologies could lead to improved solutions that maintain high performance while reducing emissions. Such options could potentially exhibit even lower environmental impacts compared to using traditional HMA.

Author Contributions

Conceptualization, M.Z.A. and F.L.; methodology, M.Z.A. and F.L.; software, F.L. and F.S.; validation, M.Z.A. and F.L.; formal analysis, F.L. and M.Z.A.; investigation, F.L. and F.S.; resources, M.Z.A., F.L. and F.S.; data curation, F.L.; writing—original draft preparation, F.L. and M.Z.A.; writing—review and editing, M.Z.A. and F.L.; visualization, F.L.; supervision, M.Z.A.; project administration, M.Z.A. All authors have read and agreed to the published version of the manuscript.

Funding

This research received no external funding.

Data Availability Statement

The raw data supporting the conclusions of this article will be made available by the authors on request.

Conflicts of Interest

The authors declare no conflict of interest.

Appendix A

For cost estimation, the standard and official item price list in Iran, which is employed in all construction projects, was utilized. This reference provides specific codes for all of the stages and details of pavement construction, which can be applied depending on the type of project. By multiplying the work volume by the unit price and summing up the relevant items, the cost is calculated. Additionally, this reference allows for defining special items (marked with a star) for unique asphalt types or specific project conditions.
Each item includes a detailed breakdown table specifying the costs of labor, machinery, materials, and transportation. To define special items, an analysis of the existing items can be used. In this research, new items were defined for increased machine operation time and the cost of acquiring rubber powder (based on price inquiries from domestic suppliers). As mentioned, all of the tables were normalized to the cost of producing 1000 tons of HMA. Tables A1–A4 present the results for producing one ton.
Table A1. Details of cost calculation per ton of HMA.
Table A1. Details of cost calculation per ton of HMA.
CodeDescription Unit Unit Price (X) QuantityTotal Price (X)
150605Preparation and execution of asphalt concrete using crushed river materials (for topeka layer), graded from 0 to 19 mm, per 1 cm thickness. m22.085 × 10−542.558.872 × 10−4
150702Additional cost to 150605 when mountain aggregates are used instead of river materials. m24.664 × 10−742.551.985 × 10−5
150801Additional cost for the excess amount of asphalt binder compared to the values stated in this source, per square meter of asphalt, for each centimeter of asphalt thickness.m21.334 × 10−60.466.070 × 10−7
200516Transport of aggregate from the mine to the asphalt production site. m3∙km1.847 × 10−624.684.559 × 10−5
200517Transport of asphalt mixture from the batching plant to the implementation site. m3∙km2.220 × 10−616.603.685 × 10−5
200607Transport of asphalt binder with a tanker truck. ton∙km6.903 × 10−714.319.879 × 10−6
Total1.000 × 10−3
Table A2. Details of cost calculation per ton of RHMA-dry.
Table A2. Details of cost calculation per ton of RHMA-dry.
CodeDescription Unit Unit Price (X) +10%M+20%M+30%M
QuantityTotal Price (X)QuantityTotal Price (X)QuantityTotal Price (X)
150605Preparation and execution of asphalt concrete using crushed river materials (for topeka layer), graded from 0 to 19 mm, per 1 cm thickness. m22.085 × 10−542.558.872 × 10−442.558.872 × 10−442.558.872 × 10−4
150702Additional cost to 150605 when mountain aggregates are used instead of river materials. m24.664 × 10−742.551.985 × 10−542.551.985 × 10−542.551.985 × 10−5
* 151210Additional cost for a 10% increase in machine usage time.m22.383 × 10−742.551.014 × 10−5----
* 151220Additional cost for a 20% increase in machine usage time.m3∙km4.766 × 10−7--42.552.028 × 10−5--
* 151230Additional cost for a 30% increase in machine usage time.m3∙km7.150 × 10−7----42.553.042 × 10−5
* 151201Additional cost for using crumb rubber in the asphalt mix using the dry method.ton∙km1.852 × 10−642.557.881 × 10−542.557.881 × 10−542.557.881 × 10−5
150801Additional cost for the excess amount of asphalt binder compared to the values stated in this source, per square meter of asphalt, for each centimeter of asphalt thickness.m21.334 × 10−64.455.93 × 10−64.455.936 × 10−64.455.936 × 10−6
200516Transport of aggregate from the mine to the asphalt production site. m3∙km1.847 × 10−623.874.410 × 10−523.874.410 × 10−523.874.410 × 10−5
200517Transport of asphalt mixture from the batching plant to the implementation site. m3∙km2.220 × 10−616.603.685 × 10−516.603.685 × 10−516.603.685 × 10−5
200606Transportation of asphalt binder using a double-walled tanker.ton∙km1.082 × 10−618.902.045 × 10−518.902.045 × 10−518.902.045 × 10−5
* 200810Transportation of crumb rubber.ton∙km1.399 × 10−62.102.939 × 10−62.102.939 × 10−62.102.939 × 10−6
Total 1.106 × 10−3 1.116 × 10−3 1.127 × 10−3
* The special items have been marked with a star for unique asphalt types or specific project conditions.
Table A3. Details of cost calculation per ton of RHMA-wet.
Table A3. Details of cost calculation per ton of RHMA-wet.
CodeDescription Unit Unit Price (X) +10%M+20%M+30%M
QuantityTotal Price (X)QuantityTotal Price (X)QuantityTotal Price (X)
150605Preparation and execution of asphalt concrete using crushed river materials (for topeka layer), graded from 0 to 19 mm, per 1 cm thickness. m22.085 × 10−542.558.872 × 10−442.558.872 × 10−442.558.872 × 10−4
150702Additional cost to 150605 when mountain aggregates are used instead of river materials. m24.664 × 10−742.551.985 × 10−542.551.985 × 10−542.551.985 × 10−5
* 151210Additional cost for a 10% increase in machine usage time.m22.383 × 10−742.551.014 × 10−5----
* 151220Additional cost for a 20% increase in machine usage time.m3∙km4.766 × 10−7--42.552.028 × 10−5--
* 151230Additional cost for a 30% increase in machine usage time.m3∙km7.150 × 10−7----42.553.042 × 10−5
* 151202Additional cost for using crumb rubber in the asphalt mix using the wet method.m21.856 × 10−642.557.897 × 10−542.557.897 × 10−542.557.897 × 10−5
150801Additional cost for the excess amount of asphalt binder compared to the values stated in this source, per square meter of asphalt, for each centimeter of asphalt thickness.m21.334 × 10−64.455.936 × 10−64.455.936 × 10−64.455.936 × 10−6
200516Transport of aggregate from the mine to the asphalt production site. m3∙km1.847 × 10−623.874.410 × 10−523.874.410 × 10−523.874.410 × 10−5
200517Transport of asphalt mixture from the batching plant to the implementation site. m3∙km2.220 × 10−616.603.685 × 10−516.603.685 × 10−516.603.685 × 10−5
200606Transportation of asphalt binder using a double-walled tanker.ton∙km1.082 × 10−618.902.045 × 10−518.902.045 × 10−518.902.045 × 10−5
* 200810Transportation of crumb rubber.ton∙km1.399 × 10−62.102.939 × 10−62.102.939 × 10−62.102.939 × 10−6
Total1.106 × 10−3 1.117 × 10−3 1.127 × 10−3
* The special items have been marked with a star for unique asphalt types or specific project conditions.
Table A4. Details of cost calculation per ton of RHMA-tb.
Table A4. Details of cost calculation per ton of RHMA-tb.
CodeDescription Unit Unit Price (X) +10%M+20%M+30%M
QuantityTotal Price (X)QuantityTotal Price (X)QuantityTotal Price (X)
150605Preparation and execution of asphalt concrete using crushed river materials (for topeka layer), graded from 0 to 19 mm, per 1 cm thickness. m22.085 × 10−542.558.872 × 10−442.558.872 × 10−442.558.872 × 10−4
150702Additional cost to 150605 when mountain aggregates are used instead of river materials. m24.664 × 10−742.551.985 × 10−542.551.985 × 10−542.551.985 × 10−5
* 151210Additional cost for a 10% increase in machine usage timem22.383 × 10−742.551.014 × 10−5----
* 151220Additional cost for a 20% increase in machine usage timem3∙km4.766 × 10−7--42.552.028 × 10−5--
* 151230Additional cost for a 30% increase in machine usage timem3∙km7.150 × 10−7----42.553.042 × 10−5
* 151203Additional cost for using crumb rubber in the asphalt mix using the terminal blend method.m27.174 × 10−742.553.053 × 10−542.553.053 × 10−542.553.053 × 10−5
150801Additional cost for the excess amount of asphalt binder compared to the values stated in this source, per square meter of asphalt, for each centimeter of asphalt thickness.m21.334 × 10−60.466.070 × 10−70.466.070 × 10−70.466.070 × 10−7
200516Transport of aggregate from the mine to the asphalt production site. m3∙km1.847 × 10−624.544.534 × 10−524.544.534 × 10−524.544.534 × 10−5
200517Transport of asphalt mixture from the batching plant to the implementation site. m3∙km2.220 × 10−616.603.685 × 10−516.603.685 × 10−516.603.685 × 10−5
200606Transportation of asphalt binder using a double-walled tanker.ton∙km1.082 × 10−614.311.549 × 10−514.311.549 × 10−514.311.549 × 10−5
* 200810Transportation of crumb rubber.ton∙km1.399 × 10−60.273.708 × 10−70.273.708 × 10−70.273.708 × 10−7
Total1.046 × 10−3 1.057 × 10−3 1.067 × 10−3
* The special items have been marked with a star for unique asphalt types or specific project conditions.

References

  1. Ghabchi, R.; Arshadi, A.; Zaman, M.; March, F. Technical Challenges of Utilizing Ground Tire Rubber in Asphalt Pavements in the United States. Materials 2021, 14, 4482. [Google Scholar] [CrossRef] [PubMed]
  2. Li, J.; Santos, J.; Vargas-Farias, A.; Castro-Fresno, D.; Xiao, F. Prospective LCA of valorizing end-of-life tires in asphalt mixtures with emerging pretreatment technologies of crumb rubber. Resour. Conserv. Recycl. 2024, 210, 107828. [Google Scholar] [CrossRef]
  3. Praticò, F.G.; Giunta, M.; Mistretta, M.; Gulotta, T.M. Energy and Environmental Life Cycle Assessment of Sustainable Pavement Materials and Technologies for Urban Roads. Sustainability 2020, 12, 704. [Google Scholar] [CrossRef]
  4. Siverio Lima, M.S.; Makoundou, C.; Sangiorgi, C.; Gschösser, F. Life Cycle Assessment of Innovative Asphalt Mixtures Made with Crumb Rubber for Impact-Absorbing Pavements. Sustainability 2022, 14, 14798. [Google Scholar] [CrossRef]
  5. Nascimento, F.; Gouveia, B.; Dias, F.; Ribeiro, F.; Silva, M.A. A method to select a road pavement structure with life cycle assessment. J. Clean. Prod. 2020, 271, 122210. [Google Scholar] [CrossRef]
  6. Xie, Z.; Shen, J. Performance properties of rubberized stone matrix asphalt mixtures produced through different processes. Constr. Build. Mater. 2016, 104, 230–234. [Google Scholar] [CrossRef]
  7. Chavez, F.; Marcobal, J.; Gallego, J. Laboratory evaluation of the mechanical properties of asphalt mixtures with rubber incorporated by the wet, dry, and semi-wet process. Constr. Build. Mater. 2019, 205, 164–174. [Google Scholar] [CrossRef]
  8. Bilema, M.; Yuen, C.W.; Alharthai, M.; Al-Saffar, Z.H.; Al-Sabaeei, A.; Yusoff, N.I.M. A Review of Rubberised Asphalt for Flexible Pavement Applications: Production, Content, Performance, Motivations and Future Directions. Sustainability 2023, 15, 14481. [Google Scholar] [CrossRef]
  9. Picado-Santos, L.G.; Capitão, S.D.; Neves, J. Crumb rubber asphalt mixtures: A literature review. Constr. Build. Mater. 2020, 247, 118577. [Google Scholar] [CrossRef]
  10. Harvey, J.; Meijer, J.; Ozer, H.; Al-Qadi, I.L.; Saboori, A. Pavement Life-Cycle Assessment Framework; Federal Highway Administration (FHWA): Washington, DC, USA, 2016. [Google Scholar]
  11. Wang, H.; Liu, X.; Apostolidis, P.; Scarpas, T. Review of warm mix rubberized asphalt concrete: Towards a sustainable paving technology. J. Clean. Prod. 2018, 177, 302–314. [Google Scholar] [CrossRef]
  12. Hassan, N.A.; Airey, G.; Jaya, R.P.; Mashros, N.; Aziz, M.M.A. A Review of Crumb Rubber Modification in Dry Mixed Rubberised Asphalt Mixtures. J. Teknol. 2014, 70, 127–134. [Google Scholar] [CrossRef]
  13. Caltrans. Standard Plans, Standard Specifications, and Contract Item Codes; California Department of Transportation: Sacramento, CA, USA, 2023. [Google Scholar]
  14. Gibson, N.; Qi, X.; Shenoy, A.; Al-Khateeb, G.; Kutay, M.E.; Andriescu, A.; Stuart, K.; Youtcheff, J.; Harman, T. Performance Testing for Superpave and Structural Validation; Federal Highway Administration Research and Technology; Federal Highway Administration: Washington, DC, USA, 2012. [Google Scholar]
  15. Asphalt Institute. Asphalt Mix Design Method (MS-2); Asphalt Institute: Lexington, KY, USA, 2014. [Google Scholar]
  16. West, R.C.; Watson, D.E.; Turner, P.A.; Casola, J.R. Mixing and Compaction Temperatures of Asphalt Binders in Hot-Mix Asphalt; National Cooperative Highway Research Program Report 648; Transportation Research Board: Washington, DC, USA, 2010. [Google Scholar] [CrossRef]
  17. Vandewalle, D.; Antunes, V.; Neves, J.; Freire, A.C. Assessment of Eco-Friendly Pavement Construction and Maintenance Using Multi-Recycled RAP Mixtures. Recycling 2020, 5, 17. [Google Scholar] [CrossRef]
  18. Safaeldeen, G.I.; Al-Mansob, R.A.; Al-Sabaeei, A.M.; Yusoff, N.I.M.; Ismail, A.; Tey, W.Y.; Azahar, W.N.A.W.; Ibrahim, A.N.H.; Jassam, T.M. Investigating the Mechanical Properties and Durability of Asphalt Mixture Modified with Epoxidized Natural Rubber (ENR) under Short and Long-Term Aging Conditions. Polymers 2022, 14, 4726. [Google Scholar] [CrossRef] [PubMed]
  19. Ghafari, S.; Moghadas Nejad, F. Crack propagation characterization of crumb rubber modified asphalt concrete using J-R curves. Theor. Appl. Fract. Mech. 2022, 117, 103156. [Google Scholar] [CrossRef]
  20. Jin, D.; Boateng, K.A.; Ge, D.; Che, T.; Yin, L.; Harrall, W.; You, Z. A case study of the comparison between rubberized and polymer modified asphalt on heavy traffic pavement in wet and freeze environment. Case Stud. Constr. Mater. 2023, 18, e01847. [Google Scholar] [CrossRef]
  21. Mamlouk, M.; Mobasher, B. Cracking Resistance of Asphalt Rubber Mix Versus Hot-Mix Asphalt. Int. J. Road Mater. Pavement Des. V 2004, 5, 435–452. [Google Scholar] [CrossRef]
  22. Yan, C.; Yuan, L.; Yu, X.; Ji, S.; Zhou, Z. Characterizing the fatigue resistance of multiple modified asphalts using time sweep test, LAS test and elastic recovery test. Constr. Build. Mater. 2022, 322, 125806. [Google Scholar] [CrossRef]
  23. Hu, J.; Zhang, L.; Zhang, X.; Guo, Y.; Yu, X. Comparative evaluation of moisture susceptibility of modified/foamed asphalt binders combined with different types of aggregates using surface free energy approach. Constr. Build. Mater. 2020, 256, 119429. [Google Scholar] [CrossRef]
  24. Milad, A.; Babalghaith, A.M.; Al-Sabaeei, A.M.; Dulaimi, A.; Ali, A.; Reddy, S.S.; Bilema, M.; Yusoff, N.I.M. A Comparative Review of Hot and Warm Mix Asphalt Technologies from Environmental and Economic Perspectives: Towards a Sustainable Asphalt Pavement. Int. J. Environ. Res. Public Health 2022, 19, 14863. [Google Scholar] [CrossRef] [PubMed]
  25. Rath, P. State of Knowledge Report on Rubber Modified Asphalt; U.S. Tire Manufacturers Association: Washington, DC, USA, 2021. [Google Scholar]
  26. Newnan, D.G.; Eschenbach, T.G.; Lavelle, J.P. Engineering Economic Analysis; Oxford University Press: Oxford, UK, 2004. [Google Scholar]
  27. Meijer, E. Making LCA Results Count. Available online: https://pre-sustainability.com/articles/consider-your-audience-when-doing-lca/ (accessed on 12 December 2024).
  28. Vega, A.D.L.; Santos, J.; Martinez-Arguelles, G. Life cycle assessment of hot mix asphalt with recycled concrete aggregates for road pavements construction. Int. J. Pavement Eng. 2022, 23, 923–936. [Google Scholar] [CrossRef]
  29. Ma, F.; Dong, W.; Fu, Z.; Wang, R.; Huang, Y.; Liu, J. Life cycle assessment of greenhouse gas emissions from asphalt pavement maintenance: A case study in China. J. Clean. Prod. 2021, 288, 125595. [Google Scholar] [CrossRef]
  30. United States Environmental Protection Agency. Greenhouse Gas Equivalencies Calculator (Online Calculator). Available online: https://www.epa.gov/energy/greenhouse-gas-equivalencies-calculator (accessed on 12 December 2024).
Figure 1. Phases of pavement life cycle assessment.
Figure 1. Phases of pavement life cycle assessment.
Infrastructures 10 00034 g001
Figure 2. LCA study framework.
Figure 2. LCA study framework.
Infrastructures 10 00034 g002
Figure 3. (a) Dense-graded and (b) gap-graded aggregate gradation for asphalt mixtures [13].
Figure 3. (a) Dense-graded and (b) gap-graded aggregate gradation for asphalt mixtures [13].
Infrastructures 10 00034 g003
Figure 4. Proposed transportation distances for each mixture.
Figure 4. Proposed transportation distances for each mixture.
Infrastructures 10 00034 g004
Figure 5. Life cycle inventory data values and details.
Figure 5. Life cycle inventory data values and details.
Infrastructures 10 00034 g005
Figure 6. Performance evaluation summary for evaluated mixtures.
Figure 6. Performance evaluation summary for evaluated mixtures.
Infrastructures 10 00034 g006
Figure 7. Example of a cause–effect chain and the midpoint and endpoint method.
Figure 7. Example of a cause–effect chain and the midpoint and endpoint method.
Infrastructures 10 00034 g007
Figure 8. Environmental impacts in the form of characterization.
Figure 8. Environmental impacts in the form of characterization.
Infrastructures 10 00034 g008
Figure 9. Results of environmental impact assessment.
Figure 9. Results of environmental impact assessment.
Infrastructures 10 00034 g009
Figure 10. Normalized environmental impact assessment.
Figure 10. Normalized environmental impact assessment.
Infrastructures 10 00034 g010
Figure 11. Weighted environmental impact assessment.
Figure 11. Weighted environmental impact assessment.
Infrastructures 10 00034 g011
Figure 12. Normalized damage assessment section for the conventional hot mix asphalt.
Figure 12. Normalized damage assessment section for the conventional hot mix asphalt.
Infrastructures 10 00034 g012
Figure 13. Amount of greenhouse gas emission: (a) total and (b) per year.
Figure 13. Amount of greenhouse gas emission: (a) total and (b) per year.
Infrastructures 10 00034 g013
Figure 14. Results of scenario determination for optimal mixture selection.
Figure 14. Results of scenario determination for optimal mixture selection.
Infrastructures 10 00034 g014
Table 1. Volumes of materials to produce one ton of asphalt mixture.
Table 1. Volumes of materials to produce one ton of asphalt mixture.
Mixture TitleGravel
(kg)
Sand
(kg)
Filler
(kg)
Asphalt Binder (kg)Crumb Rubber (kg)
QuantityDescriptionQuantityDescription
HMA473.5435.6237.8853.005.3% by weight of the mixture--
RHMA-dry595.4293.1227.4870.007% by weight of the mixture1420% by weight of the binder
RHMA-wet595.4293.1227.4870.007% by weight of the mixture1420% by weight of the binder
RHMA-tb473.5435.6237.8853.005.3% by weight of the mixture5.310% by weight of the binder
Table 2. Scoring based on technical performance.
Table 2. Scoring based on technical performance.
Mixture TypeCrackingFatigue RuttingMoisture SensitivityLifetimeSumNormalized
ScoreScore out of 25ScoreScore out of 25ScoreScore out of 25ScoreScore out of 25Score
HMA120.81.012.5116.7121.7171.773.3
RHMA-dry1.225.01.721.31.220.01.123.91.490.292.2
RHMA-wet1.225.01.721.31.423.31.1525.01.594.696.7
RHMA-tb1.225.02.025.01.525.01.0522.81.2597.8100.0
Table 3. Scoring based on production costs.
Table 3. Scoring based on production costs.
Mixture TitleProduction Cost (X)Equivalent Uniform Annual Cost (X)Score
−10%−5%Average Lifetime5%10%
HMA1.0000.1740.1680.1630.1580.15489.4
RHMA-dry+10% M *1.1060.1580.1540.1500.1470.14496.9
RHMA-dry+20% M1.1160.1600.1550.1520.1480.14596.0
RHMA-dry+30% M1.1270.1610.1570.1530.1490.14695.1
RHMA-wet+10% M1.1060.1530.1490.1450.1420.140100.0
RHMA-wet+20% M1.1170.1540.1500.1470.1440.14199.1
RHMA-wet+30% M1.1270.1560.1520.1480.1450.14298.2
RHMA-tb+10% M1.0460.1590.1540.1500.1470.14396.8
RHMA-tb+20% M1.0570.1610.1560.1520.1480.14595.9
RHMA-tb+30% M1.0670.1620.1570.1530.1490.14694.9
* X% M is the percentage increase in machinery time.
Table 4. Schematic of the characterization results for all categories.
Table 4. Schematic of the characterization results for all categories.
Impact CategoryHMARHMA-dry+10%MRHMA-dry+20% MRHMA-dry+30% MRHMA-wet+10% MRHMA-wet+20% MRHMA-wet+30% MRHMA-tb+10% MRHMA-tb+20% MRHMA-tb+30% M
Global warming, human health85.994.997.199.495.497.7100.088.590.893.1
Global warming, terrestrial ecosystems85.994.997.199.495.497.7100.088.590.893.1
Global warming, freshwater ecosystems85.994.997.199.495.497.7100.088.590.893.1
Stratospheric ozone depletion88.092.395.799.193.296.6100.092.095.498.8
Ionizing radiation90.897.398.599.797.698.8100.091.993.194.3
Ozone formation, human health86.396.297.699.097.298.6100.091.392.794.1
Fine particulate matter formation83.697.598.499.398.299.1100.087.087.988.8
Ozone formation, terrestrial ecosystems86.296.297.699.097.298.6100.091.192.593.9
Terrestrial acidification82.097.998.799.598.499.2100.084.485.286.0
Freshwater eutrophication89.897.098.499.797.498.7100.091.192.493.7
Marine eutrophication85.295.897.799.596.398.2100.087.389.191.0
Terrestrial ecotoxicity95.198.499.199.898.699.3100.095.796.497.1
Freshwater ecotoxicity84.998.899.399.998.999.4100.085.485.986.5
Marine ecotoxicity85.598.699.299.898.899.4100.086.186.787.3
Human carcinogenic toxicity90.094.697.099.495.297.6100.092.695.097.4
Human non-carcinogenic toxicity82.099.399.699.999.499.7100.082.382.682.9
Land use95.897.698.799.797.999.0100.096.797.898.8
Mineral resource scarcity91.094.897.199.495.497.7100.093.595.898.1
Fossil resource scarcity79.598.098.999.898.399.1100.080.581.482.3
Water consumption, human health100.080.580.780.880.680.780.899.699.899.9
Water consumption, terrestrial ecosystem99.781.181.381.681.281.481.699.599.8100.0
Water consumption, aquatic ecosystems98.284.785.586.284.985.686.498.699.3100.0
Table 5. Amount of greenhouse gas emission.
Table 5. Amount of greenhouse gas emission.
Mixture TitlePollutant
(kg)
Pollutant in CO2 Equivalent
(ton)
Pollutant in CO2 Equivalent Per Year
(ton/Year)
Score
CO2N2OCH4−10%−5%Average Lifetime5%10%
HMA108,789.92.7511.1123.813.81312.411.811.373.9
RHMA-dry+10% M118,849.52.9601.4136.510.810.39.79.38.993.9
RHMA-dry+20% M121,881.73.0609.9139.811.110.510.09.59.191.7
RHMA-dry+30% M124,928.83.1618.5143.111.410.810.29.79.389.6
RHMA-wet+10% M119,610.02.9603.6137.310.29.69.28.78.3100.0
RHMA-wet+20% M122,642.33.0612.1140.610.49.99.48.98.597.7
RHMA-wet+30% M125,689.33.1620.6143.910.710.19.69.18.795.4
RHMA-tb+10% M112,232.42.9521.0127.611.310.710.29.79.389.7
RHMA-tb+20% M115,264.63.0529.5130.911.611.010.510.09.587.4
RHMA-tb+30% M118,311.73.1538.0134.211.911.310.710.29.885.3
Table 6. Results of scenario determination for optimal mixture selection.
Table 6. Results of scenario determination for optimal mixture selection.
Mixture TitlePerformance ScoreEconomic ScoreEnv. ScoreScenario 1Scenario 2Scenario 3Scenario 4
HMA73.389.473.978.976.779.976.8
RHMA-dry+10% M92.296.993.994.393.594.493.8
RHMA-dry+20% M92.296.091.793.392.893.692.7
RHMA-dry+30% M92.295.189.692.392.292.891.7
RHMA-wet+10% M96.7100.0100.098.998.098.798.7
RHMA-wet+20% M96.799.197.797.897.497.897.6
RHMA-wet+30% M96.798.295.496.896.797.096.5
RHMA-tb+10% M100.096.889.795.597.396.695.2
RHMA-tb+20% M100.095.987.494.496.795.894.1
RHMA-tb+30% M100.094.985.393.496.095.093.1
Disclaimer/Publisher’s Note: The statements, opinions and data contained in all publications are solely those of the individual author(s) and contributor(s) and not of MDPI and/or the editor(s). MDPI and/or the editor(s) disclaim responsibility for any injury to people or property resulting from any ideas, methods, instructions or products referred to in the content.

Share and Cite

MDPI and ACS Style

Labbafi, F.; Alavi, M.Z.; Saadat, F. Comparative Analysis of Rubberized Asphalt and Traditional Asphalt: Performance, Economic, and Environmental Impacts in Life Cycle. Infrastructures 2025, 10, 34. https://doi.org/10.3390/infrastructures10020034

AMA Style

Labbafi F, Alavi MZ, Saadat F. Comparative Analysis of Rubberized Asphalt and Traditional Asphalt: Performance, Economic, and Environmental Impacts in Life Cycle. Infrastructures. 2025; 10(2):34. https://doi.org/10.3390/infrastructures10020034

Chicago/Turabian Style

Labbafi, Fateme, Mohammad Zia Alavi, and Farnaz Saadat. 2025. "Comparative Analysis of Rubberized Asphalt and Traditional Asphalt: Performance, Economic, and Environmental Impacts in Life Cycle" Infrastructures 10, no. 2: 34. https://doi.org/10.3390/infrastructures10020034

APA Style

Labbafi, F., Alavi, M. Z., & Saadat, F. (2025). Comparative Analysis of Rubberized Asphalt and Traditional Asphalt: Performance, Economic, and Environmental Impacts in Life Cycle. Infrastructures, 10(2), 34. https://doi.org/10.3390/infrastructures10020034

Article Metrics

Back to TopTop