A Numerically Exact Method for Dissipative Dynamics of Qubits †
Abstract
:1. Introduction
2. Materials and Methods
2.1. Model Hamiltonian
2.2. Short-Iterative Lanczos
3. Results
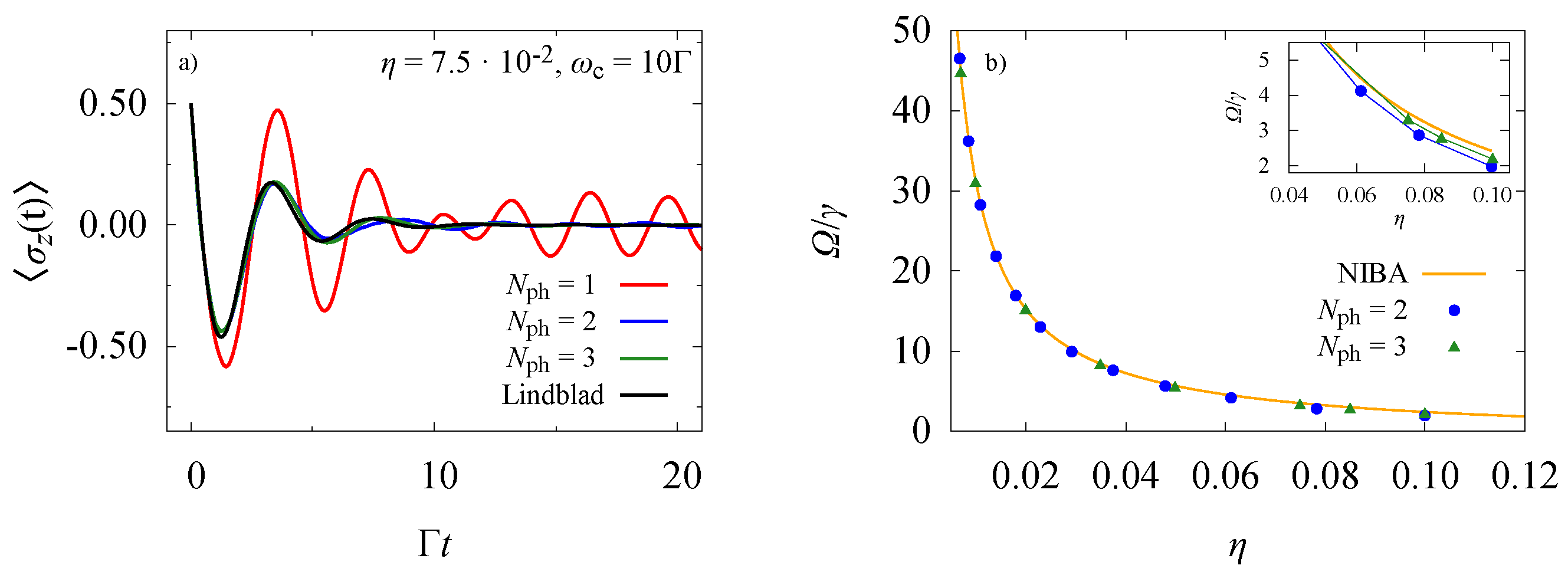
3.1. Spin-Boson Model
3.2. Quantum Annealing
4. Discussion
Author Contributions
Conflicts of Interest
References
- Leggett, A.J.; Chakravarty, S.; Dorsey, A.T.; Fisher, M.P.A.; Garg, A.; Zwerger, W. Dynamics of the dissipative two-state system. Rev. Mod. Phys. 1987, 59, 1–85. [Google Scholar] [CrossRef]
- Harris, R.; Berkley, A.J.; Johansson, J.; Bunyk, P.; Chapple, E.M.; Enderud, C.; Hilton, J.P.; Karimi, K.; Ladizinsky, E.; Ladizinsky, N.; et al. Quantum annealing with manufactured spins. Nature 2011, 473, 194–198. [Google Scholar]
- Gorini, V.; Kossakowski, A.; Sudarshan, E.C.G. Completely positive dynamical semigroups of N-level systems. J. Math. Phys. 1976, 17, 821–825. [Google Scholar] [CrossRef]
- Albash, T.; Boixo, S.; Lidar, D.A.; Zanardi, P. Quantum adiabatic Markovian master equations. New J. Phys. 2012, 14, 123016. [Google Scholar] [CrossRef]
- Passarelli, G.; De Filippis, G.; Cataudella, V.; Lucignano, P. Dissipative environment may improve the quantum annealing performances of the ferromagnetic p-spin model. Phys. Rev. A 2018, 97, 022319. [Google Scholar] [CrossRef]
- Amin, M.H.S.; Love, P.J.; Truncik, C.J.S. Thermally Assisted Adiabatic Quantum Computation. Phys. Rev. Lett. 2008, 100, 060503. [Google Scholar] [CrossRef] [PubMed]
- Cangemi, L.M.; Passarelli, G.; Cataudella, V.; Lucignano, P.; De Filippis, G. Beyond the Born-Markov approximation: Dissipative dynamics of a single qubit. Phys. Rev. B 2018, 98, 184306. [Google Scholar] [CrossRef]
- Wubs, M.; Saito, K.; Kohler, S.; Hänggi, P.; Kayanuma, Y. Gauging a Quantum Heat Bath with Dissipative Landau-Zener Transitions. Phys. Rev. Lett. 2006, 97, 200404. [Google Scholar] [CrossRef] [PubMed]


© 2019 by the authors. Licensee MDPI, Basel, Switzerland. This article is an open access article distributed under the terms and conditions of the Creative Commons Attribution (CC BY) license (https://creativecommons.org/licenses/by/4.0/).
Share and Cite
Cangemi, L.M.; Passarelli, G.; Cataudella, V.; Lucignano, P.; Filippis, G.D. A Numerically Exact Method for Dissipative Dynamics of Qubits. Proceedings 2019, 12, 59. https://doi.org/10.3390/proceedings2019012059
Cangemi LM, Passarelli G, Cataudella V, Lucignano P, Filippis GD. A Numerically Exact Method for Dissipative Dynamics of Qubits. Proceedings. 2019; 12(1):59. https://doi.org/10.3390/proceedings2019012059
Chicago/Turabian StyleCangemi, L. M., G. Passarelli, V. Cataudella, P. Lucignano, and G. De Filippis. 2019. "A Numerically Exact Method for Dissipative Dynamics of Qubits" Proceedings 12, no. 1: 59. https://doi.org/10.3390/proceedings2019012059
APA StyleCangemi, L. M., Passarelli, G., Cataudella, V., Lucignano, P., & Filippis, G. D. (2019). A Numerically Exact Method for Dissipative Dynamics of Qubits. Proceedings, 12(1), 59. https://doi.org/10.3390/proceedings2019012059

