Next Article in Journal
Information Processing by Symmetric Inductive Turing Machines
Previous Article in Journal
Surface and Groundwater Quality in South African Area—Analysis of the Most Critical Pollutants for Drinking Purposes
 
 
Font Type:
Arial Georgia Verdana
Font Size:
Aa Aa Aa
Line Spacing:
Column Width:
Background:
Proceeding Paper

PI Tuning of a Multivariable Activated Sludge Process with Nitrification and Denitrification with Multi-Objective Optimization †

by
Gilberto Reynoso-Meza
1,* and
Elizabeth Pauline Carreño-Alvarado
2
1
Industrial and Systems Engineering Graduate Program (PPGEPS), Pontificia Universidade Católica do Paraná (PUCPR), Rua Imaculada Conceição 1155, CEP 80215 901, Brazil
2
Departamento de Ingeniería Geomática e Hidráulica, División de Ingenierías, Campus Guanajuato, Universidad de Guanajuato. Av. Juárez 77, Zona Centro, C.P. 36000, Guanajuato, Gto., Mexico
*
Author to whom correspondence should be addressed.
Presented at the 4th International Electronic Conference on Water Sciences, 13–29 November 2019; Available online: https://ecws-4.sciforum.net/.
Proceedings 2020, 48(1), 4; https://doi.org/10.3390/ECWS-4-06434
Published: 13 May 2020
(This article belongs to the Proceedings of The 4th International Electronic Conference on Water Sciences)

Abstract

:
Wastewater treatment plants (WWTPs) are responsible for attenuating the environmental impact that waste in effluent discharged to receiving waters has. As a consequence of this, new techniques for an effective control are valuable, not just for minimising this impact, but also for minimising operational costs by using energy efficiently. Such kinds of problems, with several objectives to fulfil (and usually in conflict), are termed as multi-objective problems. Within this context, multi-objective optimisation techniques have been shown to be a valuable tool in the control engineering field to tune different kinds of controller for complex systems. To accomplish this, a simultaneous optimisation approach is carried out, in order to approximate a set of Pareto-optimal solutions. Such solutions differ in the level of trade-off exhibited in two (or more) conflicting objectives. The multi-objective approach for controller tuning in one-input/one-output processes is well documented in the literature. Nevertheless, that is not the case of multivariable control. This fact is mainly due to the quantity of design objectives required to evaluate the multi-objective performance of several outputs. In this work, we elaborate a proposal to handle multi-objective problems for multivariable processes. Performance evaluation is performed (via simulation) in a multivariable benchmark for the PI control of an activated sludge process with nitrification and denitrification.

1. Introduction

Wastewater treatment plants (WWTPs) are responsible for attenuating the environmental impact that waste in effluent discharged to receiving waters has. As a consequence of this, new techniques for an effective control are valuable, not just for minimising this impact, but also for minimising operational costs by using energy efficiently [1,2]. Such kinds of problems, with several objectives to fulfil (and usually in conflict), are termed as multi-objective problems (MOPs) [3].
Within this context, multi-objective optimisation (MOO) techniques have been shown to be a valuable tool in the control engineering field to tune different kinds of controller for complex systems [4]. To accomplish this, a simultaneous optimisation approach is carried out, in order to approximate a set of Pareto-optimal solutions. Such solutions differ in the level of trade-off exhibited in two (or more) conflicting objectives.
The multi-objective approach for controller tuning in one-input/one-output processes is well documented in the literature [5]. Nevertheless, that is not the case of multivariable control. This fact is mainly due to the quantity of design objectives required to evaluate the multi-objective performance of several outputs. In this work, we elaborate a proposal to handle multi-objective problems for multivariable processes based on the works of [6] and [7]. In the former, a basic MOP was stated, merging design objectives without losing the philosophy behind multi-objective optimisation design; in the latter, an aggregation using physical programming [8] was used. In both instances, the case studies under consideration were two-inputs/two-outputs processes, where the number of design objectives was manageable. In this paper, we introduce a proposal for the general case in multivariable processes.
The proposal will be evaluated (via simulation) in a multivariable benchmark for the PI control of an activated sludge process with nitrification and denitrification [1]. The controller must maintain the DO levels in three aerobic tanks (DO3, DO4 and DO5) by the manipulation of oxygen transfer coefficients (KLa2, KLa3 and KLa4).

2. Results

A decentralized PI controller is tuned. As a reference controller, a full multivariable PI controller is used. This will allow a comparison of the achievable performance with a less complex control structure. The stated MOP has three design objectives: performance (IAE), control action (TV) and robustness for individual loops (Im/Re ratio of the dominant root of the characteristic polynomial), respectively. The approximated Pareto front is depicted in Figure 1.

3. Discussion

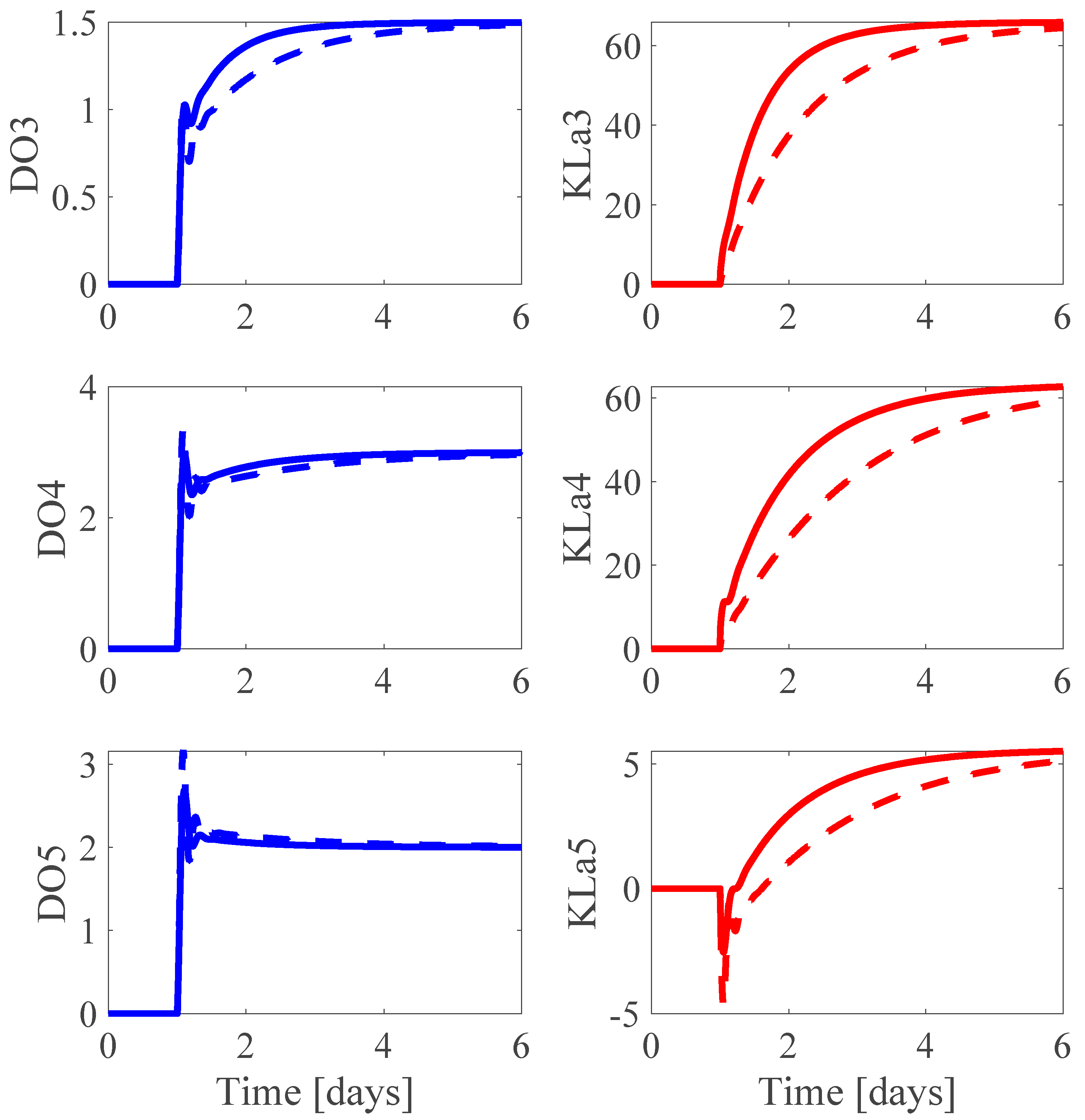
After a multicriteria decision-making step, a PI controller has been selected. The time response of this controller is compared with that of the reference controller (Figure 2). As can be noticed, the main difference in performance appears with DO3 control. This means that it was possible to have a performance improvement DO3, more control action, but with a simpler structure. The control action does not have an overshoot or oscillations.

4. Materials and Methods

4.1. Multi-Objective Optimization Design

A basic multi-objective problem (MOP) with m objectives, can be stated as follows:
min J ( x ) = [ J 1 ( x ) , , J m ( x )   ]
subject to:
x i _ x i x i ¯ ,   i = [ 1 , , n ]
where x = [ x 1 , x 2 , , x n ] is defined as the decision vector with dim(x) = n; J ( x ) as the objective vector; x i _ ,   x i ¯ are the lower and the upper bounds in the decision space. It has been noticed that there is not a single solution in MOPs, because there is not generally a better solution in all the objectives. Therefore, a set of solutions, the Pareto set, is defined. Each solution in the Pareto set defines an objective vector in the Pareto front. All the solutions in the Pareto front are a set of Pareto optimal and non-dominated solutions.
A multi-objective optimization design procedure (MOOD) is used, as described in [7]. It has three main steps:
  • Multi-objective optimization problem: design objectives are stated, as well as decision variables. In this case, decision variables are the tuning parameters of a given controller. Design objectives are related to the expected performance of the control loop.
  • Multi-objective optimization process: that is, approximating the Pareto front. For this purpose, the sp-MODEx algorithm (Supplementary Materials) is used due to its performance for controller tuning applications [7].
  • Multi-criteria decision-making stage: a given solution is selected, after an analysis of the approximated Pareto front. For this purpose, a simple 3D plot is used.

4.2. Process Description

The process is described in [1]. It was implemented in SIMULINK© and the optimization scripts in MATLAB©.

4.3. Multiobjective Problem Statement

In this work, we elaborate a proposal to handle multi-objective problems for multivariable processes based on the works of [6,7] using physical programming [8] as an aggregate function.

5. Conclusions

As it was shown, the MOP using as design objectives GPP was useful in order to keep interpretability and manageability in the MOP. Future work will focus on bringing design objectives for load rejection and noise sensitivity.

Supplementary Materials

The spMODEx algorithm is available online at https://www.mathworks.com/matlabcentral/profile/authors/2438888.

Author Contributions

G.R.-M. and E.P.C.-A. conceived and designed the experiments; G.R.-M. performed the experiments; G.R.-M. and E.P.C.-A. analyzed the data; G.R.-M. wrote the paper. All authors have read and agreed to the published version of the manuscript.

Acknowledgments

The first author would like to acknowledge Conselho Nacional de Pesquisa e Desenvolvimento (CNPq) and the Fundação Araucária (FAPPR)—Brazil—Finance Codes: [PQ2 310079/2019-5], [UNIVERSAL 437105/2018-0], [PPP, 20/2018-51432] and [PRONEX-042/2018].

Conflicts of Interest

The authors declare no conflict of interest.

Abbreviations

The following abbreviations are used in this manuscript:
MOOMulti-objective optimization
MOPMuti-objective problem
MCDMMulti-criteria decision making
MOODMulti-objective optimization design

References

  1. Wahab, N.A.; Katebi, R.; Balderud, J. Multivariable PID control design for activated sludge process with nitrification and denitrification. Biochem. Eng. J. 2009, 45, 239–248. [Google Scholar] [CrossRef]
  2. Reynoso-Meza, G.; Alves Ribeiro, V.; Carreño-Alvarado, E. A comparison of preference handling techniques in multi-objective optimisation for water distribution systems. Water 2017, 9, 996. [Google Scholar] [CrossRef]
  3. Kaiser, M.J.; Miettinen, K.M. Nonlinear Multiobjective Optimization; Springer: Berlin, Germany, 2001. [Google Scholar]
  4. Reynoso-Meza, G.; Blasco, X.; Sanchis, J.; Martínez, M. Controller tuning using evolutionary multi-objective optimisation: current trends and applications. Control Eng. Pract. 2014, 28, 58–73. [Google Scholar] [CrossRef]
  5. Meza, G.R.; Ferragud, X.B.; Saez, J.S.; Durá, J.M.H. Controller Tuning with Evolutionary Multiobjective Optimization: A Holistic Multiobjective Optimization Design Procedure; Springer: Berlin, Germany, 2016; Volume 85. [Google Scholar]
  6. Reynoso-Meza, G.; Garcia-Nieto, S.; Sanchis, J.; Blasco, F.X. Controller tuning by means of multi-objective optimization algorithms: A global tuning framework. IEEE Trans. Control Syst. Technol. 2012, 21, 445–458. [Google Scholar] [CrossRef]
  7. Reynoso-Meza, G.; Sanchis, J.; Blasco, X.; Martínez, M. Preference driven multi-objective optimization design procedure for industrial controller tuning. Inf. Sci. 2016, 339, 108–131. [Google Scholar] [CrossRef]
  8. Messac, A. Physical programming-effective optimization for computational design. AIAA J. 1996, 34, 149–158. [Google Scholar] [CrossRef]
Figure 1. Pareto front approximation for the multi-objective problem stated.
Figure 1. Pareto front approximation for the multi-objective problem stated.
Proceedings 48 00004 g001
Figure 2. Time response of the selected PI controller (solid line) and the PI reference controller (dashed line).
Figure 2. Time response of the selected PI controller (solid line) and the PI reference controller (dashed line).
Proceedings 48 00004 g002
Publisher’s Note: MDPI stays neutral with regard to jurisdictional claims in published maps and institutional affiliations.

Share and Cite

MDPI and ACS Style

Reynoso-Meza, G.; Carreño-Alvarado, E.P. PI Tuning of a Multivariable Activated Sludge Process with Nitrification and Denitrification with Multi-Objective Optimization. Proceedings 2020, 48, 4. https://doi.org/10.3390/ECWS-4-06434

AMA Style

Reynoso-Meza G, Carreño-Alvarado EP. PI Tuning of a Multivariable Activated Sludge Process with Nitrification and Denitrification with Multi-Objective Optimization. Proceedings. 2020; 48(1):4. https://doi.org/10.3390/ECWS-4-06434

Chicago/Turabian Style

Reynoso-Meza, Gilberto, and Elizabeth Pauline Carreño-Alvarado. 2020. "PI Tuning of a Multivariable Activated Sludge Process with Nitrification and Denitrification with Multi-Objective Optimization" Proceedings 48, no. 1: 4. https://doi.org/10.3390/ECWS-4-06434

APA Style

Reynoso-Meza, G., & Carreño-Alvarado, E. P. (2020). PI Tuning of a Multivariable Activated Sludge Process with Nitrification and Denitrification with Multi-Objective Optimization. Proceedings, 48(1), 4. https://doi.org/10.3390/ECWS-4-06434

Article Metrics

Back to TopTop