Adaptive Neural-Network-Based Nonsingular Fast Terminal Sliding Mode Control for a Quadrotor with Dynamic Uncertainty
Abstract
:1. Introduction
2. Preliminaries and Problem Formulation
2.1. Preliminaries
2.2. Kinematics and Dynamics
2.3. Problem Formulation
3. NN-NFTSMC Controller Design
3.1. NFTSMC Design
3.2. NN-NFTSMC Design
| Algorithm 1 NN-NFTSMC |
| Input: |
| (1) The desired trajectory |
| (2) The present position and attitude |
| (3) Model parameters of the quadrotor |
| Output: Control inputs for trajectory tacking |
| Step 1: Design of the control input |
| (1) Compute the state errors: , ; |
| (2) Define the sliding surface: ; |
| (3) Design adaptive laws: , |
| (4) Construct neural network approximation and disturbance observer: , |
| (5) Calculate the control signal u |
| Step2: Proof of the closed-loop system stabilization |
| (1) Select the Lyapunov candidate function V |
| (2) Calculate the first-order derivative of Lyapunov function |
| (3) Check the sign of |
| (4) Analyze the convergence of the state variables |
| Step3: Ending |
| If the state errors satisfy the requirement, terminate the algorithm and output the control signal u. Otherwise, go to step1 |
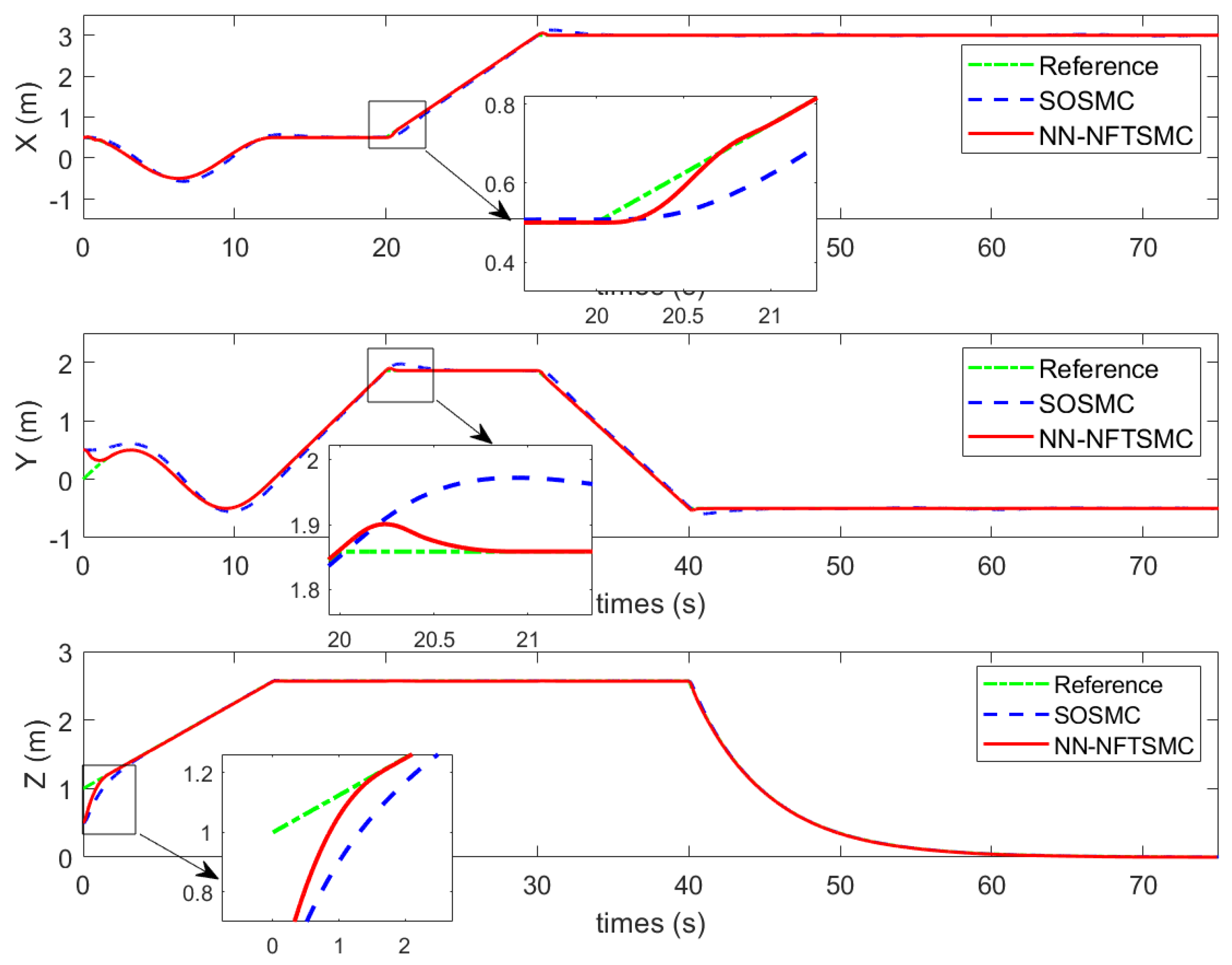
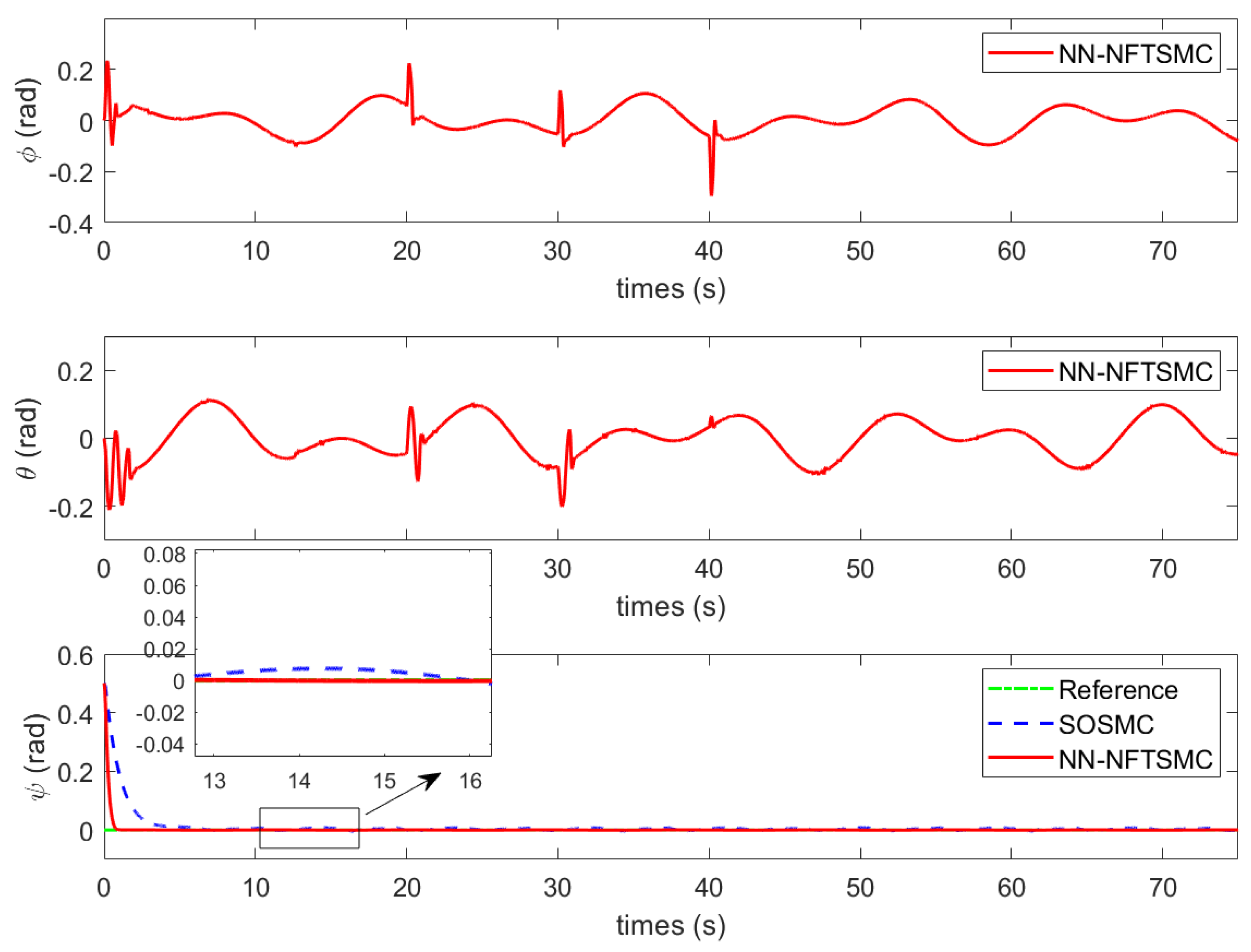
4. Simulation Results
4.1. Simulation 1
4.2. Simulation 2
4.3. Simulation 3
5. Conclusions
Author Contributions
Funding
Institutional Review Board Statement
Informed Consent Statement
Data Availability Statement
Conflicts of Interest
References
- Mohd, M.A. Trajectory tracking control of autonomous quadrotor helicopter using robust neural adaptive backstepping approach. J. Aerosp. Eng. 2018, 31, 04017091. [Google Scholar] [CrossRef]
- Hu, L.; Chen, F.; Jiang, B. Control strategy for a quadrotor helicopter with state delay via improved guaranteed cost control and quantum adaptive control. J. Aerosp. Eng. 2017, 30, 04017004. [Google Scholar] [CrossRef]
- Mo, H.; Farid, G. Nonlinear and adaptive intelligent control techniques for quadrotor UAV—A survey. Asian J. Control 2019, 21, 989–1008. [Google Scholar] [CrossRef]
- Li, Z.; Ma, X.; Li, Y. Robust tracking control strategy for a quadrotor using RPD-SMC and RISE. Neurocomputing 2019, 331, 312–322. [Google Scholar] [CrossRef]
- Tayebi, A.; McGilvray, S. Attitude stabilization of a VTOL quadrotor aircraft. IEEE Trans. Control Syst. Technol. 2006, 14, 562–571. [Google Scholar] [CrossRef]
- Atheer, L.S.; Haider, A.F. Flight PID controller design for a UAV quadrotor. Sci. Res. Essays 2010, 5, 3660–3667. [Google Scholar]
- Rinaldi, F.; Chiesa, S.; Quagliotti, F. Linear quadratic control for quadrotors UAVs dynamics and formation flight. J. Intell. Robot. Syst. 2013, 70, 203–220. [Google Scholar] [CrossRef]
- Aboudonia, A.; El-Badawy, A. Disturbance observer-based feedback linearization control of an unmanned quadrotor helicopter. Proc. Inst. Mech. Eng. Part I J. Syst. Control Eng. 2016, 230, 877–891. [Google Scholar] [CrossRef]
- Yang, Y.; Wu, J.; Zheng, W. Station-keeping control for a stratospheric airship platform via fuzzy adaptive backstepping approach. Adv. Space Res. 2013, 51, 1157–1167. [Google Scholar] [CrossRef]
- Yang, Y.; Wu, J.; Zheng, W. Trajectory tracking for an autonomous airship using fuzzy adaptive sliding mode control. J. Zhejiang Univ. Sci. C 2012, 13, 534–543. [Google Scholar] [CrossRef]
- Yang, Y.; Yan, Y. Attitude regulation for unmanned quadrotors using adaptive fuzzy gain-scheduling sliding mode control. Aerosp. Sci. Technol. 2016, 54, 208–217. [Google Scholar] [CrossRef]
- Li, P.; Lin, Z.; Shen, H. Optimized neural network based sliding mode control for quadrotors with disturbances. Math. Biosci. Eng. 2021, 18, 1774–1793. [Google Scholar] [CrossRef]
- Liu, E.; Yan, Y.; Yang, Y. Neural network approximation-based backstepping sliding mode control for spacecraft with input saturation and dynamics uncertainty. Acta Astronaut. 2022, 191, 1–10. [Google Scholar] [CrossRef]
- Yang, Y.; Wu, J.; Zheng, W. Adaptive fuzzy sliding mode control for robotic airship with model uncertainty and external disturbance. J. Syst. Eng. Electron. 2012, 23, 250–255. [Google Scholar] [CrossRef]
- Vu, Q.V.; Dinh, T.A.; Nguyen, T.V. An Adaptive Hierarchical Sliding Mode Controller for Autonomous Underwater Vehicles. Electronics 2021, 10, 2316. [Google Scholar] [CrossRef]
- Jiang, T.; Lin, D.; Song, T. Finite-time backstepping control for quadrotors with disturbances and input constraints. IEEE Access 2018, 6, 62037–62049. [Google Scholar] [CrossRef]
- Nekoukar, V.; Dehkordi, N.M. Robust path tracking of a quadrotor using adaptive fuzzy terminal sliding mode control. Control Eng. Pract. 2021, 110, 104763. [Google Scholar] [CrossRef]
- Tripathi, V.K.; Kamath, A.K.; Verma, N.K. Fast Terminal Sliding Mode Super Twisting Controller for Position and Altitude Tracking of the Quadrotor. In Proceedings of the 2019 International Conference on Robotics and Automation, Montreal, QC, Canada, 20–24 May 2019. [Google Scholar]
- Wu, G.Q.; Song, S.M. Anti-saturation attitude and orbit-coupled control for spacecraft final safe approach based on fast nonsingular terminal sliding mode. J. Aerosp. Eng. 2019, 32, 04019002. [Google Scholar] [CrossRef]
- Nguyen, V.T.; Su, S.F.; Wang, N. Adaptive finite-time neural network control for redundant parallel manipulators. Asian J. Control 2020, 22, 2534–2542. [Google Scholar] [CrossRef]
- Ghorbani, H.; Vatankhah, R.; Farid, M. Adaptive nonsingular fast terminal sliding mode controller design for a smart flexible satellite in general planar motion. Aerosp. Sci. Technol. 2021, 119, 107100. [Google Scholar] [CrossRef]
- Yang, Y. Positioning control for stratospheric satellites subject to dynamics uncertainty and input constraints. Aerosp. Sci. Technol. 2019, 86, 534–541. [Google Scholar] [CrossRef]
- Labbadi, M.; Cherkaoui, M. Robust adaptive backstepping fast terminal sliding mode controller for uncertain quadrotor UAV. Aerosp. Sci. Technol. 2019, 93, 105306. [Google Scholar] [CrossRef]
- Eliker, K.; Grouni, S.; Tadjine, M. Quadcopter nonsingular finite-time adaptive robust saturated command-filtered control system under the presence of uncertainties and input saturation. Nonlinear Dyn. 2021, 104, 1363–1387. [Google Scholar] [CrossRef]
- Labbadi, M.; Cherkaoui, M. Adaptive fractional-order nonsingular fast terminal sliding mode based robust tracking control of quadrotor UAV with Gaussian random disturbances and uncertainties. IEEE Trans. Aerosp. Electron. Syst. 2021, 57, 2265–2277. [Google Scholar] [CrossRef]
- Yu, S.; Yu, X.; Shirinzadeh, B. Continuous finite-time control for robotic manipulators with terminal sliding mode. Automatica 2005, 41, 1957–1964. [Google Scholar] [CrossRef]
- Chen, S.; Liu, W.; Huang, H. Nonsingular fast terminal sliding mode tracking control for a class of uncertain nonlinear systems. J. Control Sci. Eng. 2019, 2019, 8146901. [Google Scholar] [CrossRef]
- Lu, L.; Wang, J. Design and application of tracking differentiator based on inverse hyperbolic tangent function. Syst. Eng. Electron. 2020, 42, 9. [Google Scholar]
- Chen, T.; Chen, H. Approximation capability to functions of several variables, nonlinear functionals, and operators by radial basis function neural networks. IEEE Trans. Neural Netw. 1995, 6, 904–910. [Google Scholar] [CrossRef]
- Labbadi, M.; Cherkaoui, M. Robust adaptive nonsingular fast terminal sliding-mode tracking control for an uncertain quadrotor UAV subjected to disturbances. ISA Trans. 2020, 99, 290–304. [Google Scholar] [CrossRef]
- Xiong, J.J.; Zhang, G.B. Global fast dynamic terminal sliding mode control for a quadrotor UAV. ISA Trans. 2017, 66, 233–240. [Google Scholar] [CrossRef]
- Zheng, E.H.; Xiong, J.J.; Luo, J.L. Second order sliding mode control for a quadrotor UAV. ISA Trans. 2014, 53, 1350–1356. [Google Scholar] [CrossRef] [PubMed]













| Parameter | Value |
|---|---|
| α | diag (6, 6, 6, 0.5, 0.5, 0.5) |
| β | diag (0.3, 0.3, 0.3, 0.8, 0.8, 0.8) |
| γ1 | 1.3 |
| γ2 | 1.1 |
| K1 | diag(20, 20, 20, 10, 10, 10) |
| Γ | diag(15, 15, 15, 35, 35, 35) |
| λ | 20 |
| Variable | Value | Times |
|---|---|---|
| [xd(m), yd(m), zd(m)] | [0.6, 0.6, 0.6] | 0 |
| [0.3, 0.6, 0.6] | 10 | |
| [0.3, 0.3, 0.6] | 20 | |
| [0.6, 0.3, 0.6] | 30 | |
| [0.6, 0.6, 0.6] | 40 | |
| [0.6, 0.6, 0.0] | 50 | |
| ψ[(rad)] | [0.5] | 0 |
| λ | [0.0] | 50 |
Publisher’s Note: MDPI stays neutral with regard to jurisdictional claims in published maps and institutional affiliations. |
© 2022 by the authors. Licensee MDPI, Basel, Switzerland. This article is an open access article distributed under the terms and conditions of the Creative Commons Attribution (CC BY) license (https://creativecommons.org/licenses/by/4.0/).
Share and Cite
Huang, S.; Yang, Y. Adaptive Neural-Network-Based Nonsingular Fast Terminal Sliding Mode Control for a Quadrotor with Dynamic Uncertainty. Drones 2022, 6, 206. https://doi.org/10.3390/drones6080206
Huang S, Yang Y. Adaptive Neural-Network-Based Nonsingular Fast Terminal Sliding Mode Control for a Quadrotor with Dynamic Uncertainty. Drones. 2022; 6(8):206. https://doi.org/10.3390/drones6080206
Chicago/Turabian StyleHuang, Shurui, and Yueneng Yang. 2022. "Adaptive Neural-Network-Based Nonsingular Fast Terminal Sliding Mode Control for a Quadrotor with Dynamic Uncertainty" Drones 6, no. 8: 206. https://doi.org/10.3390/drones6080206
APA StyleHuang, S., & Yang, Y. (2022). Adaptive Neural-Network-Based Nonsingular Fast Terminal Sliding Mode Control for a Quadrotor with Dynamic Uncertainty. Drones, 6(8), 206. https://doi.org/10.3390/drones6080206
