A Non-Stationary Cluster-Based Channel Model for Low-Altitude Unmanned-Aerial-Vehicle-to-Vehicle Communications
Abstract
:1. Introduction
2. A Novel MIMO UAV-to-Vehicle Channel Model
2.1. UPA Coordinate
2.2. Channel Impulse Response
2.3. Channel Parameters
2.3.1. Initialization Parameters
2.3.2. Time-Variant Channel Parameters
3. Cluster Evolution
3.1. Time Evolution and Type Evolution
3.2. Array Evolution
4. Channel Statistical Properties
4.1. Space–Time Correlation Function
4.2. Angular Power Spectrum
4.3. Root Mean Square Delay Spread
4.4. Doppler Spread
4.5. Doppler PSD
4.6. Frequency Correlation Function
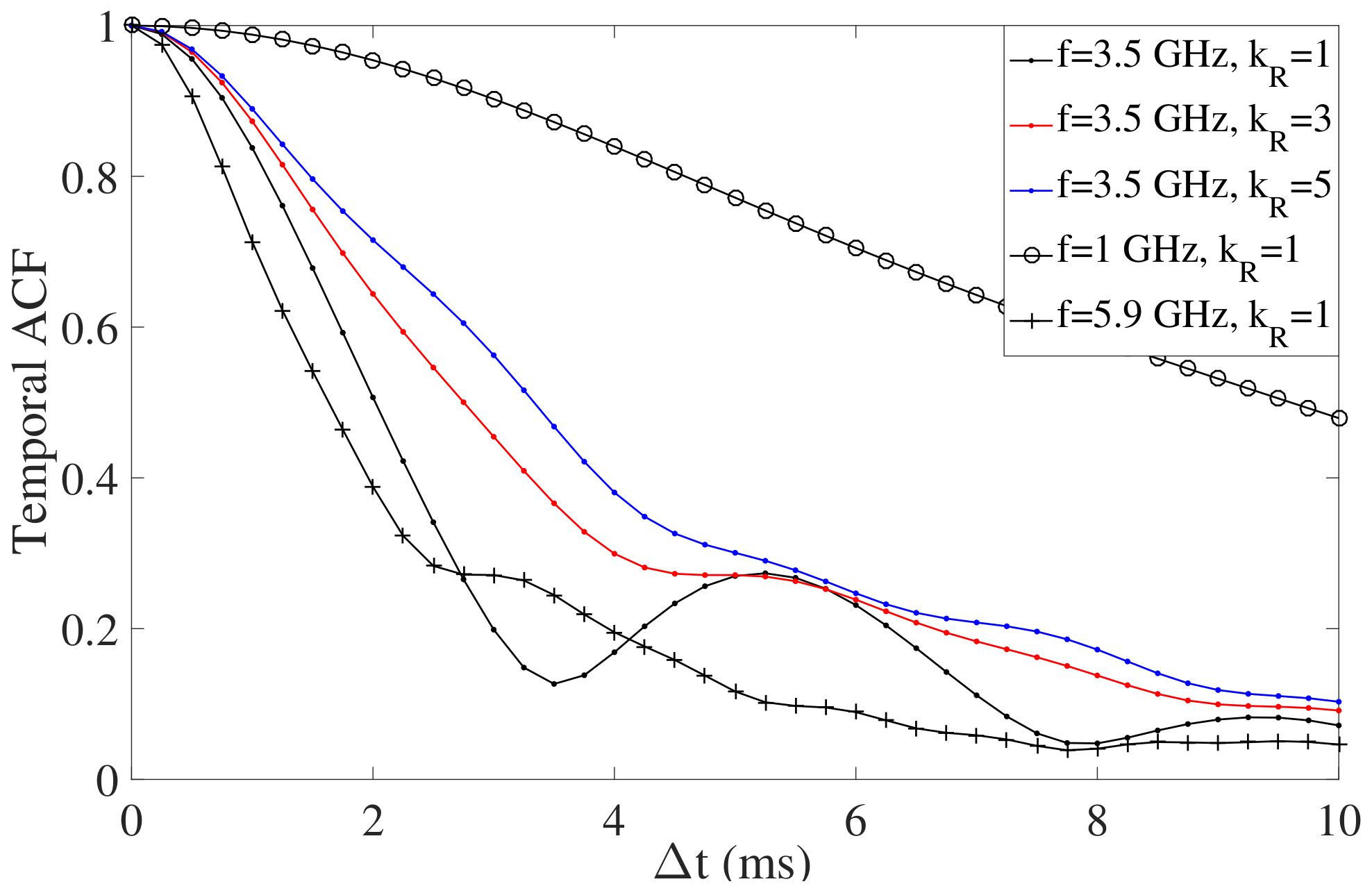
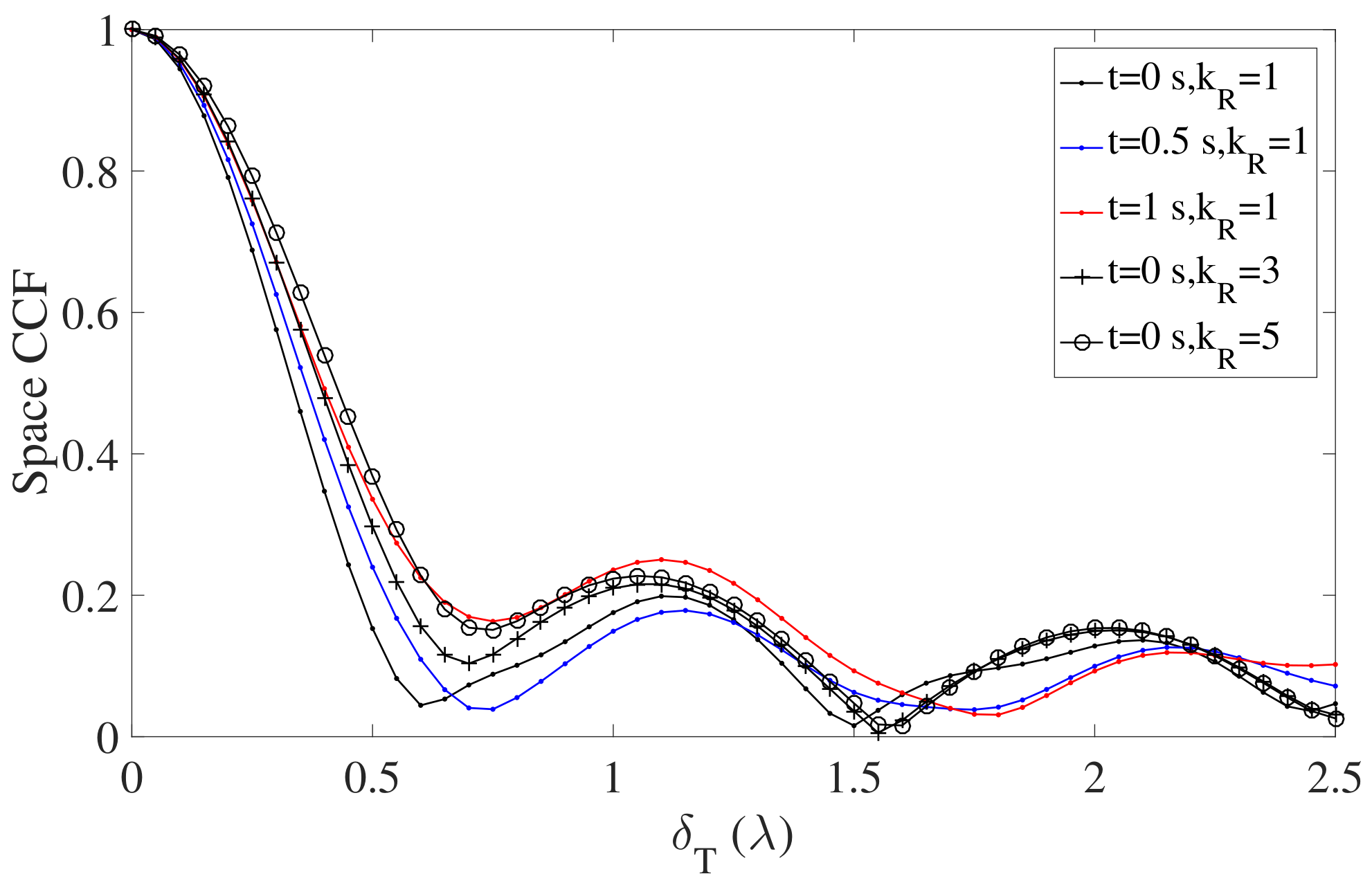
5. Result and Analysis
6. Conclusions
Author Contributions
Funding
Data Availability Statement
Conflicts of Interest
References
- Zhang, Z.; Xiao, Y.; Ma, Z.; Xiao, M.; Ding, Z.; Lei, X.; Karagiannidis, G.K.; Fan, P. 6G wireless networks: Vision, requirements, architecture, and key technologies. IEEE Veh. Technol. Mag. 2019, 14, 28–41. [Google Scholar] [CrossRef]
- Liu, J.; Shi, Y.; Fadlullah, Z.M.; Kato, N. Space-air-ground integrated network: A survey. IEEE Commun. Surv. Tutor. 2018, 20, 2714–2741. [Google Scholar] [CrossRef]
- Hayat, S.; Yanmaz, E.; Muzaffar, R. Survey on unmanned aerial vehicle networks for civil applications: A communications viewpoint. IEEE Commun. Surv. Tutor. 2016, 18, 2624–2661. [Google Scholar] [CrossRef]
- Wang, C.X.; Huang, J.; Wang, H.; Gao, X.; You, X.; Hao, Y. 6G oriented wireless communication channel characteristics analysis and modeling. arXiv 2020, arXiv:2007.13958. [Google Scholar]
- Khuwaja, A.A.; Chen, Y.; Zhao, N.; Alouini, M.S.; Dobbins, P. A survey of channel modeling for UAV communications. IEEE Commun. Surv. Tutor. 2018, 20, 2804–2821. [Google Scholar] [CrossRef]
- Cui, Z.; Briso-Rodríguez, C.; Guan, K.; Calvo-Ramírez, C.; Ai, B.; Zhong, Z. Measurement-based modeling and analysis of UAV air-ground channels at 1 and 4 GHz. IEEE Antennas Wirel. Propag. Lett. 2019, 18, 1804–1808. [Google Scholar] [CrossRef]
- Khawaja, W.; Guvenc, I.; Matolak, D.W.; Fiebig, U.C.; Schneckenburger, N. A survey of air-to-ground propagation channel modeling for unmanned aerial vehicles. IEEE Commun. Surv. Tutor. 2019, 21, 2361–2391. [Google Scholar] [CrossRef]
- Wang, K.; Zhang, R.; Wu, L.; Zhong, Z.; He, L.; Liu, J.; Pang, X. Path loss measurement and modeling for low-altitude UAV access channels. In Proceedings of the 2017 IEEE 86th Vehicular Technology Conference (VTC-Fall), Toronto, ON, Canada, 24–27 September 2017; pp. 1–5. [Google Scholar]
- Cai, X.; Gonzalez-Plaza, A.; Alonso, D.; Zhang, L.; Rodríguez, C.B.; Yuste, A.P.; Yin, X. Low altitude UAV propagation channel modelling. In Proceedings of the 2017 11th European Conference on Antennas and Propagation (EUCAP), Paris, France, 19–24 March 2017; pp. 1443–1447. [Google Scholar]
- Matolak, D.W.; Sun, R. Air-ground channels for UAS: Summary of measurements and models for L-and C-bands. In Proceedings of the 2016 Integrated Communications Navigation and Surveillance (ICNS), Herndon, VA, USA, 19–21 April 2016; pp. 8B2-1–8B2-11. [Google Scholar]
- Willink, T.J.; Squires, C.C.; Colman, G.W.K.; Muccio, M.T. Measurement and characterization of low-altitude air-to-ground MIMO channels. IEEE Trans. Veh. Technol. 2015, 65, 2637–2648. [Google Scholar] [CrossRef]
- Matolak, D.W.; Jamal, H.; Sun, R. Spatial and frequency correlations in two-ray air-ground SIMO channels. In Proceedings of the 2017 IEEE International Conference on Communications (ICC), Paris, France, 21–25 May 2017; pp. 1–6. [Google Scholar]
- Gao, X.; Chen, Z.; Hu, Y. Analysis of unmanned aerial vehicle MIMO channel capacity based on aircraft attitude. WSEAS Trans. Inform. Sci. Appl. 2013, 10, 58–67. [Google Scholar]
- Greenberg, E.; Levy, P. Channel characteristics of UAV to ground links over multipath urban environments. In Proceedings of the 2017 IEEE International Conference on Microwaves, Antennas, Communications and Electronic Systems (COMCAS), Tel-Aviv, Israel, 13–15 November 2017; pp. 1–4. [Google Scholar]
- Bian, J.; Wang, C.X.; Liu, Y.; Tian, J.; Qiao, J.; Zheng, X. 3D non-stationary wideband UAV-to-ground MIMO channel models based on aeronautic random mobility model. IEEE Trans. Veh. Technol. 2021, 70, 11154–11168. [Google Scholar] [CrossRef]
- Ma, Z.; Ai, B.; He, R.; Wang, G.; Niu, Y.; Yang, M.; Zhong, Z. Impact of UAV rotation on MIMO channel characterization for air-to-ground communication systems. IEEE Trans. Veh. Technol. 2020, 69, 12418–12431. [Google Scholar] [CrossRef]
- Jia, R.; Li, Y.; Cheng, X.; Ai, B. 3D geometry-based UAV-MIMO channel modeling and simulation. China Commun. 2018, 15, 64–74. [Google Scholar]
- Jin, K.; Cheng, X.; Ge, X.; Yin, X. Three dimensional modeling and space-time correlation for UAV channels. In Proceedings of the 2017 IEEE 85th Vehicular Technology Conference (VTC Spring), Sydney, NSW, Australia, 4–7 June 2017; pp. 1–5. [Google Scholar]
- Cheng, X.; Li, Y.; Wang, C.X.; Yin, X.; Matolak, D.W. A 3-D geometry-based stochastic model for unmanned aerial vehicle MIMO Ricean fading channels. IEEE Internet Things J. 2020, 7, 8674–8687. [Google Scholar] [CrossRef]
- Zhang, X.; Cheng, X. Second order statistics of simulation models for UAV-MIMO Ricean fading channels. In Proceedings of the ICC 2019—2019 IEEE International Conference on Communications (ICC), Shanghai, China, 20–24 May 2019; pp. 1–6. [Google Scholar]
- Mao, J.; Wei, Z.; Liu, K.; Cheng, Z.; Cheng, B.; Li, H. A 3D air-to-ground channel model based on a street scenario. In Proceedings of the 2020 IEEE 6th International Conference on Computer and Communications (ICCC), Chengdu, China, 11–14 December 2020; pp. 1356–1362. [Google Scholar]
- Jiang, H.; Zhang, Z.; Gui, G. Three-dimensional non-stationary wideband geometry-based UAV channel model for A2G communication environments. IEEE Access 2019, 7, 26116–26122. [Google Scholar] [CrossRef]
- Chang, H.; Bian, J.; Wang, C.X.; Bai, Z.; Zhou, W. A 3D non-stationary wideband GBSM for low-altitude UAV-to-ground V2V MIMO channels. IEEE Access 2019, 7, 70719–70732. [Google Scholar] [CrossRef]
- Lian, Z.; Su, Y.; Wang, Y.; Jiang, L.; Zhang, Z.; Xie, Z.; Li, S. A nonstationary 3-D wideband channel model for low-altitude UAV-MIMO communication systems. IEEE Internet Things J. 2021, 9, 5290–5303. [Google Scholar] [CrossRef]
- Zhang, Y.; Zhou, Y.; Ji, Z.; Lin, K.; He, Z. A three-dimensional geometry-based stochastic model for air-to-air UAV channels. In Proceedings of the 2020 IEEE 92nd Vehicular Technology Conference (VTC2020-Fall), Victoria, BC, Canada, 18 November–16 December 2020; pp. 1–5. [Google Scholar]
- Zeng, L.; Cheng, X.; Wang, C.X.; Yin, X. A 3D geometry-based stochastic channel model for UAV-MIMO channels. In Proceedings of the 2017 IEEE Wireless Communications and Networking Conference (WCNC), San Francisco, CA, USA, 19–22 March 2017; pp. 1–5. [Google Scholar]
- Ma, Z.; Ai, B.; He, R.; Zhong, Z.; Yang, M.; Wang, J.; Li, J. Three-dimensional modeling of millimeter-wave MIMO channels for UAV-based communications. In Proceedings of the GLOBECOM 2020–2020 IEEE Global Communications Conference, Taipei, Taiwan, 7–11 December 2020; pp. 1–6. [Google Scholar]
- Xu, J.; Cheng, X.; Bai, L. A 3-D space-time-frequency non-stationary model for low-altitude UAV mmWave and massive MIMO aerial fading channels. IEEE Trans. Antennas Propag. 2022, 70, 10936–10950. [Google Scholar] [CrossRef]
- Ji, W.; Zhang, Z.Z.; Hu, H. A Novel 3D Non-stationary Single-twin cluster Model for Mobile-mobile MIMO Channels. In Proceedings of the 2020 IEEE/CIC International Conference on Communications in China (ICCC), Chongqing, China, 9–11 August 2020; pp. 693–698. [Google Scholar]
- He, R.; Ai, B.; Stuber, G.L.; Wang, G.; Zhong, Z. A cluster based geometrical model for millimeter wave mobile-to-mobile channels. In Proceedings of the 2017 IEEE/CIC International Conference on Communications in China (ICCC), Qingdao, China, 22–24 October 2017; pp. 1–6. [Google Scholar]
- Xie, X.; Zhang, Z.; Jiang, H.; Dang, J.; Wu, L. Cluster-based geometrical dynamic stochastic model for MIMO scattering channels. In Proceedings of the 2017 9th international conference on wireless communications and signal processing (WCSP), Nanjing, China, 11–13 October 2017; pp. 1–5. [Google Scholar]
- Li, Y.; He, R.; Lin, S.; Guan, K.; He, D.; Wang, Q.; Zhong, Z. Cluster-based nonstationary channel modeling for vehicle-to-vehicle communications. IEEE Antennas Wirel. Propag. Lett. 2016, 16, 1419–1422. [Google Scholar] [CrossRef]
- Liu, Y.; Wang, C.X.; Chang, H.; He, Y.; Bian, J. A novel non-stationary 6G UAV channel model for maritime communications. IEEE J. Sel. Areas Commun. 2021, 39, 2992–3005. [Google Scholar] [CrossRef]
- Liu, Y.; Wang, C.X.; Huang, J.; Sun, J.; Zhang, W. Novel 3-D nonstationary mmWave massive MIMO channel models for 5G high-speed train wireless communications. IEEE Trans. Veh. Technol. 2018, 68, 2077–2086. [Google Scholar] [CrossRef]
- Chang, H.; Wang, C.X.; Liu, Y.; Huang, J.; Sun, J.; Zhang, W.; Gao, X. A novel nonstationary 6G UAV-to-ground wireless channel model with 3-D arbitrary trajectory changes. IEEE Internet Things J. 2020, 8, 9865–9877. [Google Scholar] [CrossRef]
- Bai, L.; Huang, Z.; Zhang, X.; Cheng, X. A non-stationary 3D model for 6G massive MIMO mmWave UAV channels. IEEE Trans. Wirel. Commun. 2021, 21, 4325–4339. [Google Scholar] [CrossRef]
- Wu, S.; Wang, C.X.; Alwakeel, M.M.; You, X. A general 3-D non-stationary 5G wireless channel model. IEEE Trans. Commun. 2017, 66, 3065–3078. [Google Scholar] [CrossRef]
- Wu, S.; Wang, C.X.; Haas, H.; Alwakeel, M.M.; Ai, B. A non-stationary wideband channel model for massive MIMO communication systems. IEEE Trans. Wirel. Commun. 2014, 14, 1434–1446. [Google Scholar] [CrossRef]
- Wu, S.; Wang, C.X.; Alwakeel, M.M.; He, Y. A non-stationary 3-D wideband twin-cluster model for 5G massive MIMO channels. IEEE J. Sel. Areas Commun. 2014, 32, 1207–1218. [Google Scholar] [CrossRef]
- Bai, L.; Huang, Z.; Li, Y.; He, Y. A 3D cluster-based channel model for 5G and beyond vehicle-to-vehicle massive MIMO channels. IEEE Trans. Veh. Technol. 2021, 70, 8401–8414. [Google Scholar] [CrossRef]
- Bai, L.; Huang, Z.; Cui, L.; Feng, T.; Cheng, X. A mixed-bouncing based non-stationary model for 6G massive MIMO mmWave UAV channels. IEEE Trans. Commun. 2022, 70, 7055–7069. [Google Scholar] [CrossRef]
- Huang, Z.; Cheng, X. A general 3D space-time-frequency non-stationary model for 6G channels. IEEE Trans. Wirel. Commun. 2020, 20, 535–548. [Google Scholar] [CrossRef]
- Huang, Z.; Cheng, X.; Yin, X. A general 3D non-stationary 6G channel model with time-space consistency. IEEE Trans. Commun. 2022, 70, 3436–3450. [Google Scholar] [CrossRef]
- Liu, L.; Oestges, C.; Poutanen, J.; Haneda, K.; Vainikainen, P.; Quitin, F.; De Doncker, P. The COST 2100 MIMO channel model. IEEE Wirel. Commun. 2012, 19, 92–99. [Google Scholar] [CrossRef]
- Bian, J.; Wang, C.X.; Huang, J.; Liu, Y.; Sun, J.; Zhang, M.; Aggoune, E.H.M. A 3D wideband non-stationary multi-mobility model for vehicle-to-vehicle MIMO channels. IEEE Access 2019, 7, 32562–32577. [Google Scholar] [CrossRef]
- Bai, L.; Huang, Z.; Du, H.; Cheng, X. A 3-D Nonstationary Wideband V2V GBSM With UPAs for Massive MIMO Wireless Communication Systems. IEEE Internet Things J. 2021, 8, 17622–17638. [Google Scholar] [CrossRef]
- Ma, N.; Chen, J.; Zhang, P.; Yang, X. Novel 3-D irregular-shaped model for massive MIMO V2V channels in street scattering environments. IEEE Wirel. Commun. Lett. 2020, 9, 1437–1441. [Google Scholar] [CrossRef]
- Jiang, H.; Ying, W.; Zhou, J.; Shao, G. A 3D wideband two-cluster channel model for massive MIMO vehicle-to-vehicle communications in semi-ellipsoid environments. IEEE Access 2020, 8, 23594–23600. [Google Scholar] [CrossRef]
- Chang, H.; Wang, C.X.; Liu, Y.; Huang, J.; Sun, J.; Zhang, W.; Aggoune, E.H.M. A General 3-D Nonstationary GBSM for Underground Vehicular Channels. IEEE Trans. Antennas Propag. 2022, 71, 1804–1819. [Google Scholar] [CrossRef]
- Zhu, Q.; Jiang, K.; Chen, X.; Zhong, W.; Yang, Y. A novel 3D non-stationary UAV-MIMO channel model and its statistical properties. China Commun. 2018, 15, 147–158. [Google Scholar]
- Bian, J.; Sun, J.; Wang, C.X.; Feng, R.; Huang, J.; Yang, Y.; Zhang, M. A WINNER+ based 3-D non-stationary wideband MIMO channel model. IEEE Trans. Wirel. Commun. 2017, 17, 1755–1767. [Google Scholar] [CrossRef]
- Ge, C.; Zhang, R.; Jiang, Y.; Li, B.; He, Y. A 3-D dynamic non-WSS cluster geometrical-based stochastic model for UAV MIMO channels. IEEE Trans. Veh. Technol. 2022, 71, 6884–6899. [Google Scholar] [CrossRef]
- Ma, Z.; Ai, B.; He, R.; Zhong, Z.; Yang, M. A non-stationary geometry-based MIMO channel model for millimeter-wave UAV networks. IEEE J. Sel. Areas Commun. 2021, 39, 2960–2974. [Google Scholar] [CrossRef]















| Models | Channels | Methods for Describing Channel Models | Methods for Capturing Non-Stationarity | Antenna Type |
|---|---|---|---|---|
| Model in [17,18,19,20,25,26] | UAV communications | Regular geometry | / | uniform linear arrays (ULAs) |
| Model in [15,21,22] | UAV communications | Regular geometry | Time-variant channel parameters | ULAs |
| Model in [23,24,27] | UAV communications | Regular geometry | Time-variant channel parameters and time evolution | ULAs |
| Model in [48] | Vehicle communications | Regular geometry | Time-variant channel parameters and array evolution | ULAs |
| Model in [32] | Vehicle communications | Single clusters and twin clusters | Time-variant channel parameters and time evolution | ULAs |
| Model in [31,45] | Vehicle communications | Single clusters | Time-variant channel parameters | ULAs |
| Model in [35,36] | UAV communications | Twin clusters | Time-variant channel parameters, time and array evolution | ULAs |
| Model in [46] | Vehicle communications | Regular geometry | Time-variant channel parameters, time and array evolution | uniform planar arrays (UPAs) |
| Model in [41] | UAV communications | Single clusters and twin clusters | Time-variant channel parameters, time and array evolution | ULAs |
| The proposed model | UAV communications | Single clusters and twin clusters | Time-variant channel parameters, time and array evolution | UPAs |
| Parameter | Distribution | Mean | Derivation |
|---|---|---|---|
| , | wrapped Gaussian | ||
| , | wrapped Gaussian | ||
| exponential | , | , |
Disclaimer/Publisher’s Note: The statements, opinions and data contained in all publications are solely those of the individual author(s) and contributor(s) and not of MDPI and/or the editor(s). MDPI and/or the editor(s) disclaim responsibility for any injury to people or property resulting from any ideas, methods, instructions or products referred to in the content. |
© 2023 by the authors. Licensee MDPI, Basel, Switzerland. This article is an open access article distributed under the terms and conditions of the Creative Commons Attribution (CC BY) license (https://creativecommons.org/licenses/by/4.0/).
Share and Cite
Su, Z.; Li, C.; Chen, W. A Non-Stationary Cluster-Based Channel Model for Low-Altitude Unmanned-Aerial-Vehicle-to-Vehicle Communications. Drones 2023, 7, 640. https://doi.org/10.3390/drones7100640
Su Z, Li C, Chen W. A Non-Stationary Cluster-Based Channel Model for Low-Altitude Unmanned-Aerial-Vehicle-to-Vehicle Communications. Drones. 2023; 7(10):640. https://doi.org/10.3390/drones7100640
Chicago/Turabian StyleSu, Zixv, Changzhen Li, and Wei Chen. 2023. "A Non-Stationary Cluster-Based Channel Model for Low-Altitude Unmanned-Aerial-Vehicle-to-Vehicle Communications" Drones 7, no. 10: 640. https://doi.org/10.3390/drones7100640
APA StyleSu, Z., Li, C., & Chen, W. (2023). A Non-Stationary Cluster-Based Channel Model for Low-Altitude Unmanned-Aerial-Vehicle-to-Vehicle Communications. Drones, 7(10), 640. https://doi.org/10.3390/drones7100640

