The Situation Assessment of UAVs Based on an Improved Whale Optimization Bayesian Network Parameter-Learning Algorithm
Abstract
:1. Introduction
2. Preliminaries
2.1. BN Parameter Learning
2.2. Parameter Constraints
- Axiomatic constraint.
 
- 2.
 - Range constraint.
 
- 3.
 - Approximate equality constraint.
 
- 4.
 - Inequality constraint.
 
- Intra-distribution constraint:
 
- Cross-distribution constraint:
 
- Inter-distribution constraint:
 
- 5.
 - Synergy constraint.
 
- Additive synergy constraint:
 
- Product synergy constraint:
 
2.3. Whale Optimization Algorithm
- 1.
 - Encircling prey:
 
- 2.
 - Bubble-net attacking (exploitation phase)
 
- 3.
 - Search for prey (exploration phase)
 
3. Structure Establishment of Situation Assessment BN
4. IWOA-PPI for Parameter Learning
4.1. Parameter Prior Interval
- By performing MC sampling on the parameter space delimited by the parameter constraints, the parameters without samples are obtained using Equation (26):where denotes the parameters constraints, denotes the number of samples of MC sampling, denotes the value of for a single sample, and denotes the mean value of all for samples.is the parameter obtained via MC sampling without considering the samples. Its numerical value is close to the true parameter to some extent, and the degree of closeness is positively related to the number of constraints.
 - Using the interval transform formulas, the uncorrected PPIs are obtained. () are denoted from small to large, as shown in Equation (27):where .is defined as the lower bound interval of , is defined as the upper bound interval of , and is the uncorrected PPI of . The determination of and needs to be categorized into two cases:
 
- When , the interval transform formulas of are implemented as Equations (28) and (29):For , is calculated first, and then . For , is calculated first, and then .
 - When , the interval transform formulas of are implemented as Equation (30):where is the weight coefficient that takes a small value.
 
- 3.
 - Combining the parameter constraints, the PPIs are obtained. The uncorrected PPIs may violate some parameter constraints, so the intersection of the parameter constraints and the uncorrected PPIs is sought to obtain the PPIs. For example, in order to satisfy the axiomatic constraint, the lower bound interval, , of is and the upper bound interval, , of is .
 
4.2. Variable Encircling Factor
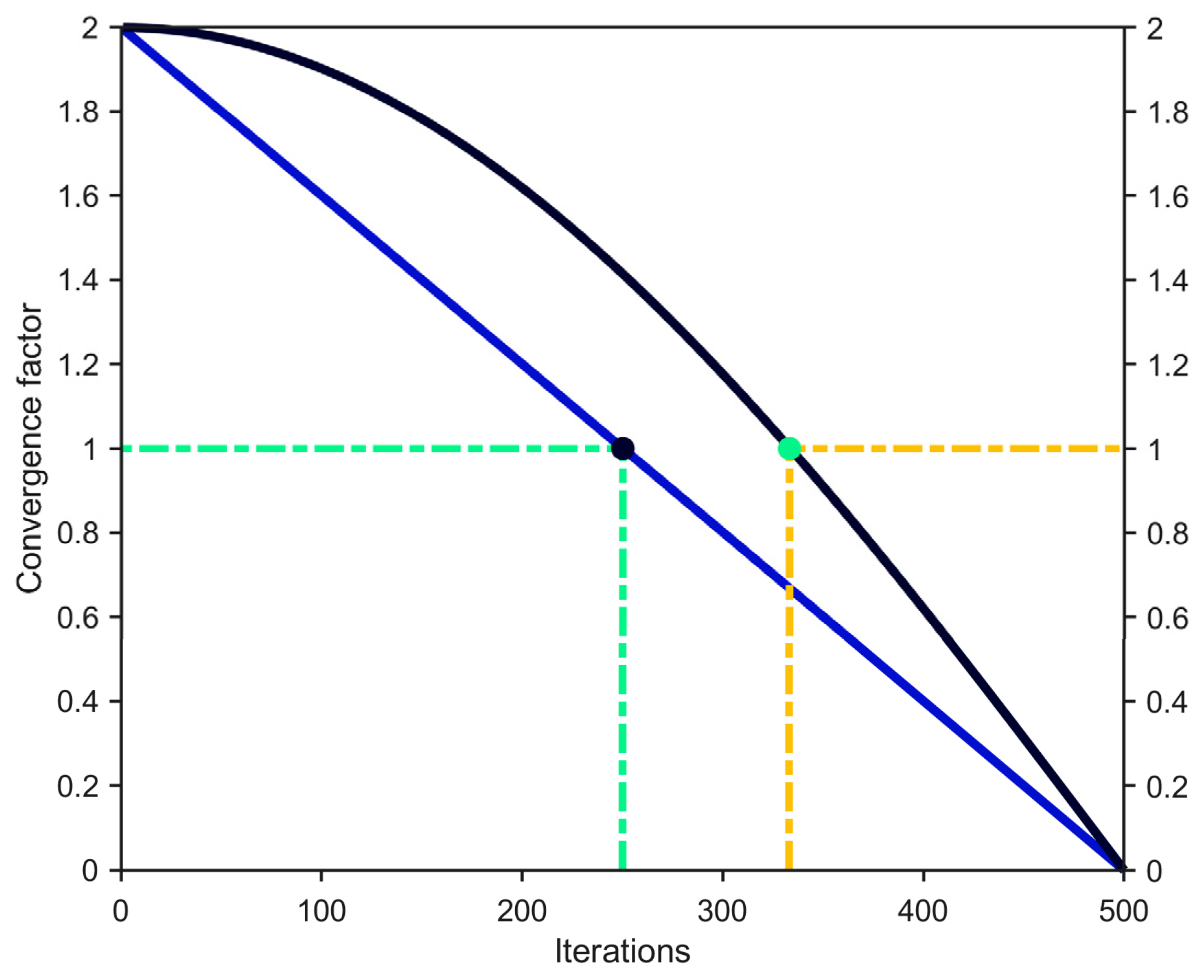
4.3. Nonlinear Convergence Factor
4.4. Simulated Annealing Strategy Incorporating Levy Flight
| Algorithms 1 Pseudo-code of the IWOA-PPI | 
5. Experiment and Discussion
5.1. Experiment for the Standard BNs
- Range constraint. For example, ;
 - Approximate equality constraint. For example,;
 - Inequality constraint. For example, .
 
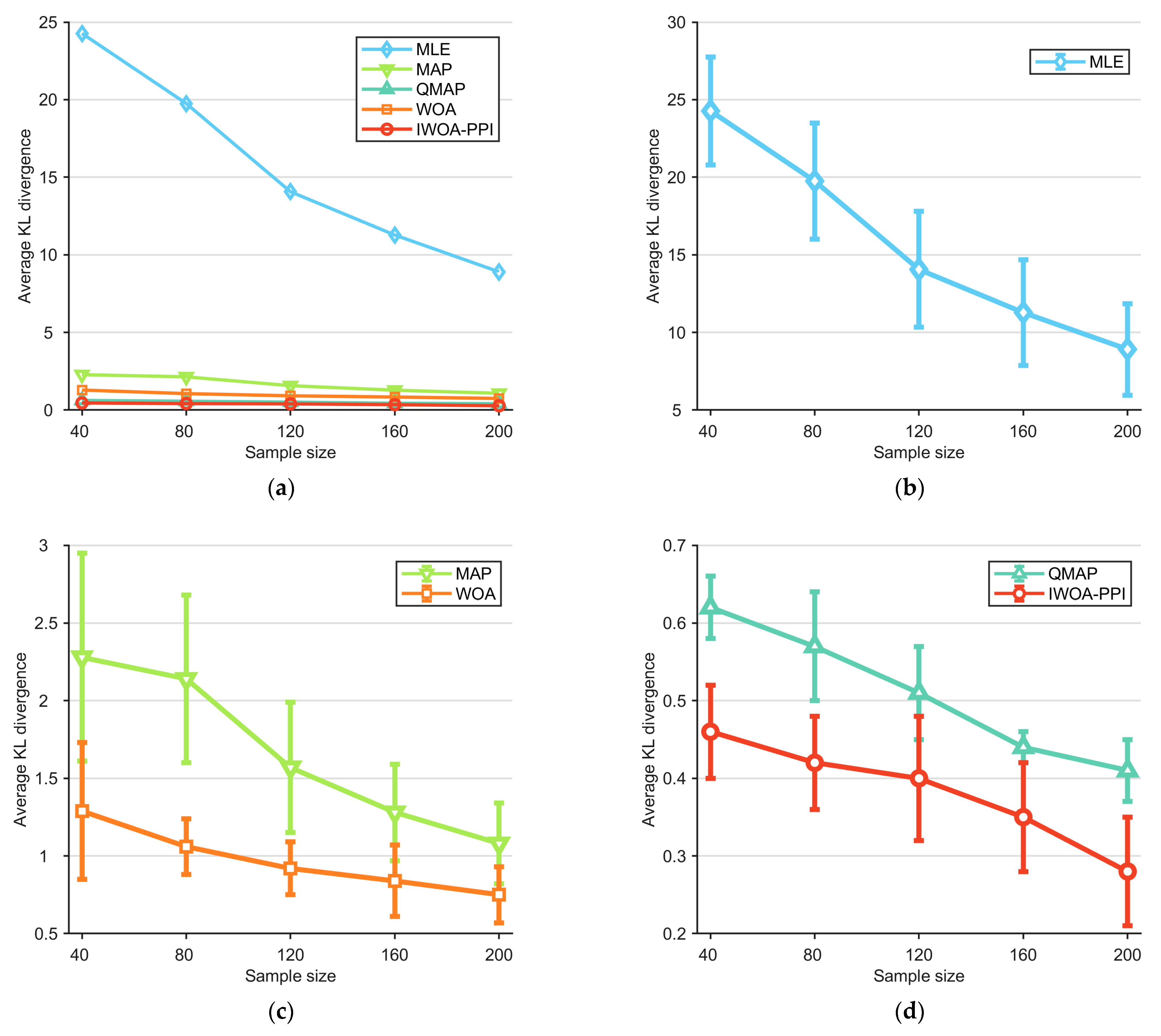
- The accuracy ranking of the five algorithms is IWOA-PPI > QMAP > WOA > MAP > MLE. There are roughly three levels of accuracy, the lowest level for MLE, the medium level for the WOA and MAP, and the highest level for the IWOA-PPI and QMAP.
 - For all networks and sample sizes, the IWOA-PPI proposed in this article has the smallest KL divergence among the five parameter-learning algorithms, which means that the learning results are the most accurate. The highest accuracy of the IWOA-PPI indicates that, in contrast to the QMAP and WOA, the IWOA-PPI absorbs the advantages of the Bayesian estimation and constrained optimization methods, and fully extracts information from both parameter constraints and sample data.
 - Comparing the WOA and the IWOA-PPI, the KL divergence of the former is about three times that of the latter. This indicates that the improvements in Section 4 significantly enhance the optimization ability of the WOA.
 
5.2. Experiment for the Situation Assessment BN
- Use the IWOA-PPI to learn the parameters of the situation assessment BN in Figure 4;
 - For the assumed mission scenario, substitute the learned parameters into the situation assessment BN, and use this BN to evaluate the operational intentions of the opposing targets, i.e., the opposing situation.
 
5.2.1. Parameter Learning of the Situation Assessment BN
- Range constraint., .When the intention is jamming and the target type is EJA, the range of the conditional probability, , is [0.6, 1]. This indicates that if the target is performing the jamming mission, it has at least a 60% chance of being the EJA. Since the probability cannot be greater than one, the range is [0.6, 1].
 - Approximate equality constraint., ,.The conditional probability when the intention is patrol and the relative motion is approach is approximately equal to the one when the intention is patrol and the relative motion is leave. When performing the patrol mission, in order to ensure comprehensive air surveillance of the defense focus, the AEW sets the defense focus as the center of the circle and flies around it according to a certain patrol radius and patrol speed. Since the target makes a circular flight in a fixed area, the approach and leave of the target have no influence on our UAVs. Therefore, when the intention is patrol, the probabilities of approach and leave are approximately equal.
 - Inequality constraint., ,, , .The conditional probability when the target type is RP and the height is low altitude is smaller than the one when the target type is RP and the height is high altitude. So is the one when the target type is RP and the height is medium altitude. Because the RP is often at high altitude when conducting reconnaissance, the conditional probability, , is the highest.
 
5.2.2. Result of Situation Assessment
- 1.
 - The description of the assumed mission scenario.The existing entities in the environment are several UAVs perceiving the situation and a ground radar belonging to us. An AEW, an RP, an EJA, and a fighter belong to the other side.The assumed missions of the opposing targets are: in the beginning, the AEW is patrolling with a fighter, the RP is conducting reconnaissance and the EJA has no clear mission. After a while, the ground radar is discovered by the RP. Then, the EJA starts to fly towards the radar and implement electronic jamming, and the fighter stops escorting the AEW and assaults the radar after the electronic jamming takes effect.
 - 2.
 - The acquisition of the observed evidence.The observed evidences are necessary for situation assessment and are transferred from the attributes and states of the targets. Since the attributes and states are continuous variables, and the evidences in the form of probabilities are discrete variables. Then, fuzzy discretization is used to acquire the evidences. Taking the height node as an example, the process to acquire the observed evidence is as below.
 
- The construction of the membership function.The fuzzy membership function of the height node is defined as Equation (38) and shown in Figure 11.where denotes the membership of low altitude, denotes that of medium altitude, and denotes that of high altitude.Figure 11. The membership function of height.The unit of height is meters. The green area is , the red area is , and the blue area is . The brown area is the overlap between and , and the grey area is the overlap between and .
 - The transform from the fuzzy membership to the probability.The probability–possibility transformation formula [36] is defined in Equation (39):where denotes the attribute or state, denotes the membership function, and denotes the probability. is 0.5 in this article.
 
- 3.
 - The application of the situation assessment BN.
 
6. Conclusions
Author Contributions
Funding
Data Availability Statement
Acknowledgments
Conflicts of Interest
Abbreviations
| AEW | Air-Borne Early Warning | 
| AHP | Analytic Hierarchy Process | 
| BN | Bayesian Network | 
| CPT | Conditional Probability Table | 
| EJA | Electronic Jamming Aircraft | 
| IWOA-PPI | Improved Whale Optimization Algorithm based on PPIs | 
| MAP | Maximum A Posteriori | 
| MC | Monte Carlo | 
| MLE | Maximum Likelihood Estimation | 
| PPI | Parameter Prior Interval | 
| QMAP | Qualitative Maximum A Posteriori | 
| RCS | Radar Cross-Section | 
| RFV | Radar Frequency Band Variability | 
| RP | Reconnaissance Plane | 
| TOPSIS | Technique for Order Preference by Similarity to Ideal Solution | 
| UAV | Unmanned Aerial Vehicle | 
| WOA | Whale Optimization Algorithm | 
References
- Endsley, M.R. Toward a Theory of Situation Awareness in Dynamic Systems. Hum. Factors 1995, 37, 32–64. [Google Scholar] [CrossRef]
 - Li, P.; Zhang, L.; Dai, L.; Zou, Y.; Li, X. An Assessment Method of Operator’s Situation Awareness Reliability Based on Fuzzy Logic-AHP. Saf. Sci. 2019, 119, 330–343. [Google Scholar] [CrossRef]
 - Wang, H.; Chen, Z.; Feng, X.; Di, X.; Liu, D.; Zhao, J.; Sui, X. Research on Network Security Situation Assessment and Quantification Method Based on Analytic Hierarchy Process. Wirel. Pers. Commun. 2018, 102, 1401–1420. [Google Scholar] [CrossRef]
 - Zhang, H.W.; Xie, J.W.; Ge, J.A.; Yang, C.X.; Liu, B.Z. Intuitionistic Fuzzy Set Threat Assessment Based on Improved TOPSIS and Multiple Times Fusion. Control Decis. 2019, 34, 811–815. [Google Scholar] [CrossRef]
 - Yin, Y.; Zhang, R.; Su, Q. Threat Assessment of Aerial Targets Based on Improved GRA-TOPSIS Method and Three-Way Decisions. Math. Biosci. Eng. 2023, 20, 13250–13266. [Google Scholar] [CrossRef]
 - Zhang, L.; Zhu, Y.; Shi, X.; Li, X. A Situation Assessment Method with an Improved Fuzzy Deep Neural Network for Multiple UAVs. Information 2020, 11, 194. [Google Scholar] [CrossRef]
 - Yue, L.; Yang, R.; Zuo, J.; Luo, H.; Li, Q. Air Target Threat Assessment Based on Improved Moth Flame Optimization-Gray Neural Network Model. Math. Probl. Eng. 2019, 2019, 4203538. [Google Scholar] [CrossRef]
 - D’Aniello, G. Fuzzy Logic for Situation Awareness: A Systematic Review. J. Ambient Intell. Humaniz. Comput. 2023, 14, 4419–4438. [Google Scholar] [CrossRef]
 - Chen, J.; Gao, X.; Rong, J.; Gao, X. A Situation Awareness Assessment Method Based on Fuzzy Cognitive Maps. J. Syst. Eng. Electron. 2022, 33, 1108–1122. [Google Scholar] [CrossRef]
 - Xu, X.; Yang, R.; Yu, Y. Situation Assessment for Air Combat Based on Novel Semi-Supervised Naive Bayes. J. Syst. Eng. Electron. 2018, 29, 768–779. [Google Scholar] [CrossRef]
 - Sun, Y.; Ma, P.; Dai, J.; Li, D. A Cloud Bayesian Network Approach to Situation Assessment of Scouting Underwater Targets with Fixed-Wing Patrol Aircraft. CAAI Trans. Intell. Technol. 2023, 8, 532–545. [Google Scholar] [CrossRef]
 - Pearl, J. Probabilistic Reasoning in Intelligent Systems: Networks of Plausible Inference; Morgan Kaufmann Series in Representation and Reasoning; Morgan Kaufmann Publishers: San Mateo, CA, USA, 1988; 552p. [Google Scholar]
 - Niculescu, R.S.; Mitchell, T.M.; Rao, R.B. Bayesian Network Learning with Parameter Constraints. J. Mach. Learn. Res. 2006, 7, 1357–1383. [Google Scholar] [CrossRef]
 - De Campos, C.P.; Tong, Y.; Ji, Q. Constrained Maximum Likelihood Learning of Bayesian Networks for Facial Action Recognition; Lecture Notes in Computer Science (including Subseries Lecture Notes in Artificial Intelligence and Lecture Notes in Bioinformatics); Springer: Berlin/Heidelberg, Germany, 2008; Volume 5304 LNCS, pp. 168–181. [Google Scholar]
 - Hou, Y.; Zheng, E.; Guo, W.; Xiao, Q.; Xu, Z. Learning Bayesian Network Parameters with Small Data Set: A Parameter Extension under Constraints Method. IEEE Access 2020, 8, 24979–24989. [Google Scholar] [CrossRef]
 - Altendorf, E.E.; Restificar, A.C.; Dietterich, T.G. Learning from Sparse Data by Exploiting Monotonicity Constraints. In Proceedings of the 21st Conference on Uncertainty in Artificial Intelligence, Edinburgh, UK, 26–29 July 2005; pp. 18–25. [Google Scholar]
 - Liao, W.; Ji, Q. Learning Bayesian Network Parameters under Incomplete Data with Domain Knowledge. Pattern Recognit. 2009, 42, 3046–3056. [Google Scholar] [CrossRef]
 - Ren, J.; Gao, X.G.; Bai, Y. Discrete Dynamic BN Parameter Learning under Small Sample and Incomplete Information. Systems Eng. Electron. 2012, 34, 1723–1728. [Google Scholar] [CrossRef]
 - Di, R.; Gao, X.; Guo, Z. Learning Bayesian Network Parameters under New Monotonie Constraints. J. Syst. Eng. Electron. 2017, 28, 1248–1255. [Google Scholar] [CrossRef]
 - Chai, H.; Zhao, Y.; Fang, M. Learning Bayesian Networks Parameters by Prior Knowledge of Normal Distribution. Systems Eng. Electron. 2018, 40, 2370–2375. [Google Scholar] [CrossRef]
 - Xiaoguang, G.; Yu, Y.; Zhigao, G. Learning Bayesian Networks by Constrained Bayesian Estimation. J. Syst. Eng. Electron. 2019, 30, 511–524. [Google Scholar] [CrossRef]
 - Di, R.; Wang, P.; He, C.; Guo, Z. Constrained Adjusted Maximum a Posteriori Estimation of Bayesian Network Parameters. Entropy 2021, 23, 1283. [Google Scholar] [CrossRef]
 - Chang, R.; Wang, W. Novel Algorithm for Bayesian Network Parameter Learning with Informative Prior Constraints. In Proceedings of the International Joint Conference on Neural Networks, Barcelona, Spain, 18–23 July 2010. [Google Scholar]
 - Guo, Z.G.; Gao, X.G.; Ren, H.; Yang, Y.; Di, R.H.; Chen, D.Q. Learning Bayesian Network Parameters from Small Data Sets: A Further Constrained Qualitatively Maximum a Posteriori Method. Int. J. Approx. Reason. 2017, 91, 22–35. [Google Scholar] [CrossRef]
 - Yang, Y.; Gao, X.G.; Guo, Z.G. Learning BN Parameters with Small Data Sets Based by Data Reutilization. Acta Autom. Sin. 2015, 41, 2058–2071. [Google Scholar] [CrossRef]
 - Mirjalili, S.; Lewis, A. The Whale Optimization Algorithm. Adv. Eng. Softw. 2016, 95, 51–67. [Google Scholar] [CrossRef]
 - Hasanien, H.M. Performance Improvement of Photovoltaic Power Systems Using an Optimal Control Strategy Based on Whale Optimization Algorithm. Electr. Power Syst. Res. 2018, 157, 168–176. [Google Scholar] [CrossRef]
 - Hu, B.; Zhu, Y.; Zhou, Y. Simulated Annealing Whale Radar Resource Scheduling Algorithm Based on Cauchy Mutation. J. Northwest. Polytech. Univ. 2022, 40, 796–803. [Google Scholar] [CrossRef]
 - Wu, K.; Tan, S. Path Planning of UAVs Based on Improved Whale Optimization Algorithm. Acta Aeronaut. Astronaut. Sin. 2020, 41, 724286. [Google Scholar] [CrossRef]
 - Abdel-Basset, M.; Mohamed, R.; Mirjalili, S. A Novel Whale Optimization Algorithm Integrated with Nelder–Mead Simplex for Multi-Objective Optimization Problems. Knowl. Based Syst. 2021, 212, 106619. [Google Scholar] [CrossRef]
 - Sun, Y.; Wang, X.; Chen, Y.; Liu, Z. A Modified Whale Optimization Algorithm for Large-Scale Global Optimization Problems. Expert Syst. Appl. 2018, 114, 563–577. [Google Scholar] [CrossRef]
 - Sun, W.Z.; Wang, J.S.; Wei, X. An Improved Whale Optimization Algorithm Based on Different Searching Paths and Perceptual Disturbance. Symmetry 2018, 10, 210. [Google Scholar] [CrossRef]
 - Kirkpatrick, S.; Gelatt, C.D.; Vecchi, M.P. Optimization by Simulated Annealing. Science 1983, 220, 671–680. [Google Scholar] [CrossRef]
 - Yang, X.S.; Deb, S. Cuckoo Search via Lévy Flights. In Proceedings of the 2009 World Congress on Nature and Biologically Inspired Computing, NABIC 2009—Proceedings, Coimbatore, India, 9–11 December 2009; pp. 210–214. [Google Scholar]
 - Kullback, S.; Leibler, R.A. On Information and Sufficiency. Ann. Math. Stat. 1951, 22, 79–86. [Google Scholar] [CrossRef]
 - Yamada, K. Probability-Possibility Transformation Based on Evidence Theory. In Proceedings of the Joint 9th IFSA World Congress and 20th NAFIPS International Conference, Vancouver, BC, Canada, 25–28 July 2001; Volume 1, pp. 70–75. [Google Scholar]
 













| Node | Number | State Set | State Notation | 
|---|---|---|---|
| Intention | 1 | Patrol, Recon, Jamming, Assault | |
| Type | 2 | AEW 1, RP 2, EJA 3, Fighter | |
| Relative velocity | 3 | Low, Medium, High | |
| Relative height | 4 | Low, Medium, High | |
| Relative motion | 5 | Approach, Leave | |
| Velocity | 6 | Low, Medium, High | |
| Height | 7 | Low, Medium, High | |
| RCS | 8 | Very small, Small, Medium, Large | |
| RFV | 9 | Agility, Fixed | |
| Relative distance | 10 | Decrease, Unchanged, Increase | |
| Relative bearing | 11 | Low, Medium, High | 
| BNs | Scale | Nodes | Arcs | Parameters | 
|---|---|---|---|---|
| Asia | Small | 8 | 8 | 18 | 
| Alarm | Medium | 37 | 46 | 509 | 
| Win95pts | Large | 76 | 112 | 574 | 
| Andes | Very large | 223 | 338 | 1157 | 
| BNs | Number of Samples | MLE | MAP | QMAP | WOA | IWOA-PPI | 
|---|---|---|---|---|---|---|
| Asia | 40 | 24.27 ± 3.47 | 2.28 ± 0.67 | 0.62 ± 0.04 | 1.29 ± 0.44 | 0.46 ± 0.06 | 
| 80 | 19.75 ± 3.75 | 2.14 ± 0.54 | 0.57 ± 0.07 | 1.06 ± 0.18 | 0.42 ± 0.06 | |
| 120 | 14.06 ± 3.73 | 1.57 ± 0.42 | 0.51 ± 0.06 | 0.92 ± 0.17 | 0.40 ± 0.08 | |
| 160 | 11.27 ± 3.41 | 1.28 ± 0.31 | 0.44 ± 0.02 | 0.84 ± 0.23 | 0.35 ± 0.07 | |
| 200 | 8.90 ± 2.94 | 1.08 ± 0.26 | 0.41 ± 0.04 | 0.75 ± 0.18 | 0.28 ± 0.07 | |
| Alarm | 40 | 183.31 ± 19.57 | 116.41 ± 8.56 | 16.15 ± 0.26 | 34.44 ± 3.96 | 11.43 ± 0.54 | 
| 80 | 172.97 ± 15.24 | 105.91 ± 6.87 | 15.01 ± 0.38 | 33.21 ± 2.61 | 10.79 ± 0.46 | |
| 120 | 152.38 ± 14.35 | 93.32 ± 6.31 | 14.16 ± 0.39 | 31.55 ± 3.10 | 10.44 ± 0.30 | |
| 160 | 145.58 ± 21.35 | 89.11 ± 5.99 | 13.65 ± 0.17 | 29.38 ± 1.83 | 10.25 ± 0.32 | |
| 200 | 127.44 ± 12.06 | 81.33 ± 6.90 | 13.21 ± 0.34 | 28.87 ± 2.22 | 9.88 ± 0.27 | |
| Win95pts | 40 | 220.84 ± 12.81 | 133.36 ± 3.84 | 40.57 ± 0.23 | 100.51 ± 3.09 | 34.90 ± 0.82 | 
| 80 | 215.76 ± 20.75 | 129.42 ± 4.62 | 38.71 ± 0.25 | 98.92 ± 4.57 | 33.21 ± 1.09 | |
| 120 | 220.27 ± 15.16 | 124.19 ± 5.20 | 37.40 ± 0.29 | 95.72 ± 3.32 | 29.28 ± 0.56 | |
| 160 | 212.96 ± 15.84 | 119.66 ± 5.93 | 36.38 ± 0.31 | 93.97 ± 2.91 | 26.23 ± 0.55 | |
| 200 | 211.75 ± 13.20 | 118.32 ± 5.12 | 35.73 ± 0.36 | 89.08 ± 3.29 | 24.22 ± 0.34 | |
| Andes | 40 | 702.29 ± 36.94 | 226.33 ± 8.55 | 35.68 ± 0.28 | 113.40 ± 3.54 | 29.73 ± 0.91 | 
| 80 | 590.41 ± 29.50 | 190.57 ± 10.73 | 31.33 ± 0.25 | 109.76 ± 3.05 | 28.24 ± 0.53 | |
| 120 | 504.44 ± 24.21 | 165.79 ± 10.02 | 28.49 ± 0.31 | 105.43 ± 3.47 | 25.49 ± 0.66 | |
| 160 | 457.17 ± 16.99 | 149.56 ± 9.31 | 26.57 ± 0.27 | 101.27 ± 2.75 | 22.24 ± 0.59 | |
| 200 | 423.23 ± 31.17 | 139.03 ± 8.80 | 25.76 ± 0.22 | 98.57 ± 3.16 | 20.68 ± 0.41 | 
| Node | State | Intention | |||
|---|---|---|---|---|---|
| Patrol | Recon | Jamming | Assault | ||
| Target type | AEW | 0.6 | 0.1 | 0.1 | 0.05 | 
| RP | 0.2 | 0.65 | 0.1 | 0.1 | |
| EJA | 0.1 | 0.15 | 0.7 | 0.1 | |
| Fighter | 0.1 | 0.1 | 0.1 | 0.75 | |
| Relative velocity  | Low | 0.7 | 0.5 | 0.3 | 0.1 | 
| Medium | 0.2 | 0.4 | 0.6 | 0.5 | |
| High | 0.1 | 0.1 | 0.1 | 0.4 | |
| Relative height | Low | 0.3 | 0.1 | 0.5 | 0.2 | 
| Medium | 0.6 | 0.2 | 0.4 | 0.5 | |
| High | 0.1 | 0.7 | 0.1 | 0.3 | |
| Relative motion  | Approach | 0.5 | 0.7 | 0.8 | 0.9 | 
| Leave | 0.5 | 0.3 | 0.2 | 0.1 | |
| Target type | |||||
| AEW | RP | EJA | Fighter | ||
| Velocity | Low | 0.6 | 0.7 | 0.2 | 0.2 | 
| Medium | 0.3 | 0.2 | 0.7 | 0.3 | |
| High | 0.1 | 0.1 | 0.1 | 0.5 | |
| Height | Low | 0.2 | 0.1 | 0.3 | 0.1 | 
| Medium | 0.7 | 0.1 | 0.6 | 0.5 | |
| High | 0.1 | 0.8 | 0.1 | 0.4 | |
| RCS | Very small | 0.1 | 0.3 | 0.1 | 0.6 | 
| Small | 0.1 | 0.5 | 0.1 | 0.2 | |
| Medium | 0.2 | 0.1 | 0.7 | 0.1 | |
| Large | 0.6 | 0.1 | 0.1 | 0.1 | |
| RFV | Agility | 0.8 | 0.3 | 0.9 | 0.2 | 
| Fixed | 0.2 | 0.7 | 0.1 | 0.8 | |
| Relative motion | |||||
| Approach | Leave | ||||
| Relative distance  | Decrease | 0.8 | 0.1 | ||
| Unchanged | 0.1 | 0.1 | |||
| Increase | 0.1 | 0.8 | |||
| Relative bearing  | Low | 0.7 | 0.1 | ||
| Medium | 0.2 | 0.2 | |||
| High | 0.1 | 0.7 | |||
| Node | State | Intention | |||
|---|---|---|---|---|---|
| Patrol | Recon | Jamming | Assault | ||
| Target type | AEW | 0.6323 | 0.1007 | 0.1017 | 0.0678 | 
| RP | 0.1912 | 0.6291 | 0.0995 | 0.0798 | |
| EJA | 0.0886 | 0.1705 | 0.6889 | 0.1040 | |
| Fighter | 0.0879 | 0.0997 | 0.1099 | 0.7484 | |
| Relative velocity  | Low | 0.6722 | 0.5060 | 0.2679 | 0.1135 | 
| Medium | 0.2360 | 0.3833 | 0.6354 | 0.5083 | |
| High | 0.0918 | 0.1107 | 0.0967 | 0.3782 | |
| Relative height | Low | 0.2358 | 0.1269 | 0.5133 | 0.2142 | 
| Medium | 0.6394 | 0.1921 | 0.3613 | 0.5112 | |
| High | 0.1248 | 0.6810 | 0.1254 | 0.2746 | |
| Relative motion  | Approach | 0.5121 | 0.6813 | 0.7946 | 0.8582 | 
| Leave | 0.4879 | 0.3187 | 0.2054 | 0.1418 | |
| Target type | |||||
| AEW | RP | EJA | Fighter | ||
| Velocity | Low | 0.6385 | 0.6790 | 0.2347 | 0.1398 | 
| Medium | 0.2667 | 0.2309 | 0.6765 | 0.3525 | |
| High | 0.0948 | 0.0901 | 0.0888 | 0.5077 | |
| Height | Low | 0.2365 | 0.1002 | 0.2825 | 0.1122 | 
| Medium | 0.6727 | 0.1258 | 0.6187 | 0.5118 | |
| High | 0.0908 | 0.7740 | 0.0988 | 0.3760 | |
| RCS | Very small | 0.0901 | 0.2958 | 0.1001 | 0.6428 | 
| Small | 0.0880 | 0.5143 | 0.1003 | 0.1815 | |
| Medium | 0.1873 | 0.0952 | 0.6790 | 0.0877 | |
| Large | 0.6346 | 0.0947 | 0.1206 | 0.0880 | |
| RFV | Agility | 0.7684 | 0.3120 | 0.9351 | 0.2230 | 
| Fixed | 0.2316 | 0.6880 | 0.0649 | 0.7770 | |
| Relative motion | |||||
| Approach | Leave | ||||
| Relative distance  | Decrease | 0.8184 | 0.0997 | ||
| Unchanged | 0.0819 | 0.0976 | |||
| Increase | 0.0997 | 0.8027 | |||
| Relative bearing  | Low | 0.6843 | 0.0934 | ||
| Medium | 0.2209 | 0.2084 | |||
| High | 0.0948 | 0.6982 | |||
| Velocity | Height | RCS | RFV | Relative Velocity  | Relative Height  | Relative Distance  | Relative Bearing  | |
|---|---|---|---|---|---|---|---|---|
| AEW | 0.9, 0.1, 0.0 | 0.2, 0.8, 0.0 | 0.0, 0.0, 0.3, 0.7 | 1.0, 0.0 | 0.9, 0.1, 0.0 | 0.1, 0.9, 0.0 | 0.0, 0.8, 0.2 | 0.0, 0.2, 0.8 | 
| RP | 0.9, 0.1, 0.0 | 0.0, 0.1, 0.9 | 0.1, 0.9, 0.0, 0.0 | 0.0, 1.0 | 0.9, 0.1, 0.0 | 0.0, 0.1, 0.9 | 0.9, 0.1, 0.0 | 0.9, 0.1, 0.0 | 
| EJA | 0.2, 0.8, 0.0 | 0.9, 0.1, 0.0 | 0.0, 0.0, 0.9, 0.1 | 1.0, 0.0 | 0.3, 0.7, 0.0 | 0.8, 0.2, 0.0 | 0.8, 0.2, 0.0 | 0.8, 0.2, 0.0 | 
| Fighter | 0.0, 0.2, 0.8 | 0.2, 0.8, 0.0 | 0.9, 0.1, 0.0, 0.0 | 0.0, 1.0 | 0.0, 0.2, 0.8 | 0.2, 0.8, 0.0 | 0.8, 0.2, 0.0 | 0.8, 0.2, 0.0 | 
Disclaimer/Publisher’s Note: The statements, opinions and data contained in all publications are solely those of the individual author(s) and contributor(s) and not of MDPI and/or the editor(s). MDPI and/or the editor(s) disclaim responsibility for any injury to people or property resulting from any ideas, methods, instructions or products referred to in the content.  | 
© 2023 by the authors. Licensee MDPI, Basel, Switzerland. This article is an open access article distributed under the terms and conditions of the Creative Commons Attribution (CC BY) license (https://creativecommons.org/licenses/by/4.0/).
Share and Cite
Li, W.; Zhang, W.; Liu, B.; Guo, Y. The Situation Assessment of UAVs Based on an Improved Whale Optimization Bayesian Network Parameter-Learning Algorithm. Drones 2023, 7, 655. https://doi.org/10.3390/drones7110655
Li W, Zhang W, Liu B, Guo Y. The Situation Assessment of UAVs Based on an Improved Whale Optimization Bayesian Network Parameter-Learning Algorithm. Drones. 2023; 7(11):655. https://doi.org/10.3390/drones7110655
Chicago/Turabian StyleLi, Weinan, Weiguo Zhang, Baoning Liu, and Yicong Guo. 2023. "The Situation Assessment of UAVs Based on an Improved Whale Optimization Bayesian Network Parameter-Learning Algorithm" Drones 7, no. 11: 655. https://doi.org/10.3390/drones7110655
APA StyleLi, W., Zhang, W., Liu, B., & Guo, Y. (2023). The Situation Assessment of UAVs Based on an Improved Whale Optimization Bayesian Network Parameter-Learning Algorithm. Drones, 7(11), 655. https://doi.org/10.3390/drones7110655
        
                                                
