DELOFF: Decentralized Learning-Based Task Offloading for Multi-UAVs in U2X-Assisted Heterogeneous Networks
Abstract
:1. Introduction
- (a)
- Unstable offloading links: Differently from previous studies in which servers are fixed by default and devices are assumed to be stationary, in U2X networks, offloading links may not be always stable due to the movement of UAVs or even offloading entities. This may cause link disconnections, frequent network switching and even ping-pong effects, greatly affecting offloading performance.
- (b)
- Centralized offloading frameworks: Much of the existing work relies on centralized frameworks to address the offloading problem, which may not be suitable for UAV systems in such a scenario. Additionally, centralized approaches can introduce communication overhead, scalability issues, and a single point of failure.
- (c)
- Environmental information uncertainty: Most existing work often assumes that information about the environment is all known in advance. However, in real-world scenarios, this assumption is unrealistic due to the large-scale network environment, which makes it difficult for UAVs to obtain all of the information. The uncertainty of global state information limits the applicability of previous solutions, posing brand-new challenges to the effectiveness of UAV offloading.
- (1)
- Offloading quality enhancement: By perceiving the motion state of the UAV and the quality of wireless links approximately, a fuzzy logic-based pre-screening mechanism is devised and executed on the UAV side, so as to assess and identify the potential stable offloading nodes dynamically in U2X networks.
- (2)
- Decentralized offloading framework: The offloading problem for multi-UAVs is transformed into a multi-arm bandit (MAB) learning model in the paper, where the UAV plays the role of agent, and the arm machine is the strategy of the UAV for task offloading allocation. And, DELOFF can adaptively acquire the optimal offloading solution by relying on UAVs to make task offloading decisions locally in a decentralized manner.
- (3)
- Offloading under information uncertainty: By balancing the exploration–exploitation trade-off and utilizing bandit feedback to derive an offloading strategy that can achieve higher potential rewards, DELOFF dynamically adjusts the computation offloading optimization for multi-UAVs in a decentralized manner, and UAVs do not need to communicate with each other for certain information.
- Unlike the previous works that consider the scene with only one network or fixed offloading server, we introduce a UAV offloading model in the U2X-assisted heterogeneous networks to improve the efficiency and flexibility of offloading. Furthermore, to avoid additional centralized management that increases overhead, we propose a decentralized offloading scheme named DELOFF, which can acquire the optimal solution by leveraging the feedback of empirical reward of task offloading.
- To adaptively evaluate potential offloaded nodes in the dynamic U2X-assisted scenario, a lightweight pre-screening mechanism is designed to perform on the UAV. The mechanism can guarantee stable offloading of mobile UAVs and evaluate service nodes at the risk of disconnection or poor offloading quality such as unexpected packet loss rate (PLR), without extra demand for information interaction between UAVs and numerous nodes over heterogeneous networks.
- By considering the uncertainties associated with UAV mobility and environment, the DELOFF proposed decouples the learning process into exploration, assignment, and exploitation, further coping effectively with the dynamic offloading and enabling more robust strategy making for UAVs. Further, the UAV swarm can be scaled up at will, and the UAVs no longer need to communicate internally or be aware of the presence of each other in our model, which has great scalability.
- We implement simulations to verify the rationality and effectiveness of the DELOFF proposed. The results demonstrate that DELOFF can achieve steady convergence, and show superiority in various scenarios compared to the other four benchmarks.
2. Related Work
3. System Model and Problem Formulation
3.1. System Model
3.2. Multi-Mode Task Computation
3.3. Utility Function Design
3.4. Problem Formulation
3.5. A Preliminary Discussion on UAV Retransmission
4. Fuzzy Logic-Based Offloading Pre-Screening
| Algorithm 1 Fuzzy logic-based offloading pre-screening |
| Input: Potential offloading nodes set . |
| Output: Available offloading nodes set for UAV h. |
|
5. Decentralized Bandit Learning Solution for Task Offloading
5.1. Bandit Learning-Based Task Offloading Model
5.2. The Proposed DELOFF Algorithm
| Algorithm 2 MAB-based Decentralized Offloading Algorithm |
| Input: , , |
| Output: the optimal allocation for computation offloading |
|
5.3. Regret Analysis
6. Simulation Results
6.1. Probability Analysis of Offloading Nodes
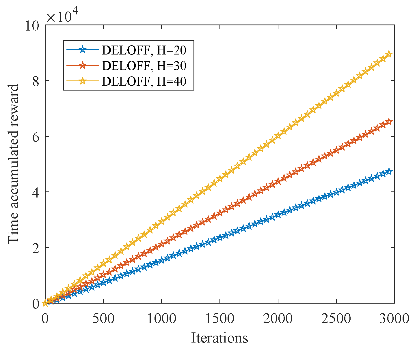
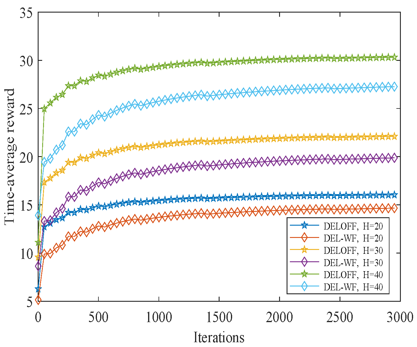
6.2. Convergence Evaluation
6.3. Performance Comparison with Varying Number of Tasks
6.4. Performance Comparison with Varying Task Computation Demands
6.5. Performance Comparison with Varying Task Data Size
6.6. Discussion on UAV Hovering
7. Conclusions
Author Contributions
Funding
Data Availability Statement
Conflicts of Interest
References
- Cui, Y.; Liu, F.; Jing, X.; Mu, J. Integrating sensing and communications for ubiquitous IoT: Applications, trends, and challenges. IEEE Netw. 2021, 35, 158–167. [Google Scholar]
- Lucic, M.C.; Bouhamed, O.; Ghazzai, H.; Khanfor, A.; Massoud, Y. Leveraging UAVs to Enable Dynamic and Smart Aerial Infrastructure for ITS and Smart Cities: An Overview. Drones 2023, 7, 79. [Google Scholar]
- Khan, M.A.; Ullah, I.; Alkhalifah, A.; Rehman, S.U.; Shah, J.A.; Uddin, M.I.; Alsharif, M.H.; Algarni, F. A Provable and Privacy-Preserving Authentication Scheme for UAV-Enabled Intelligent Transportation Systems. IEEE Trans. Ind. Inform. 2022, 18, 3416–3425. [Google Scholar] [CrossRef]
- Zhu, A.; Zeng, Z.; Guo, S.; Lu, H.; Ma, M.; Zhou, Z. Game-theoretic robotic offloading via multi-agent learning for agricultural applications in heterogeneous networks. Comput. Electron. Agric. 2023, 211, 108017. [Google Scholar]
- Zhang, Z.; Zhu, L. A Review on Unmanned Aerial Vehicle Remote Sensing: Platforms, Sensors, Data Processing Methods, and Applications. Drones 2023, 7, 398. [Google Scholar]
- Zhu, A.; Guo, S.; Liu, B.; Ma, M.; Yao, J.; Su, X. Adaptive Multiservice Heterogeneous Network Selection Scheme in Mobile Edge Computing. IEEE Internet Things J. 2019, 6, 6862–6875. [Google Scholar] [CrossRef]
- Ma, M.; Wang, Z. Distributed Offloading for Multi-UAV Swarms in MEC-Assisted 5G Heterogeneous Networks. Drones 2023, 7, 226. [Google Scholar]
- Zhu, A.; Lu, H.; Guo, S.; Zeng, Z.; Zhou, Z. CollOR: Distributed collaborative offloading and routing for tasks with QoS demands in multi-robot system. Ad Hoc Netw. 2023, 152, 103311. [Google Scholar] [CrossRef]
- McEnroe, P.; Wang, S.; Liyanage, M. A Survey on the Convergence of Edge Computing and AI for UAVs: Opportunities and Challenges. IEEE Internet Things J. 2022, 9, 15435–15459. [Google Scholar] [CrossRef]
- Ma, M.; Zhu, A.; Guo, S.; Yang, Y. Intelligent network selection algorithm for multiservice users in 5G heterogeneous network system: Nash Q-learning method. IEEE Internet Things J. 2021, 8, 11877–11890. [Google Scholar]
- Zhu, A.; Ma, M.; Guo, S.; Yu, S.; Yi, L. Adaptive multi-access algorithm for multi-service edge users in 5G ultra-dense heterogeneous networks. IEEE Trans. Veh. Technol. 2021, 70, 2807–2821. [Google Scholar]
- Liu, H.; Niu, Z.; Du, J.; Lin, X. Genetic algorithm for delay efficient computation offloading in dispersed computing. Ad Hoc Netw. 2023, 142, 103109. [Google Scholar]
- Bacanin, N.; Antonijevic, M.; Bezdan, T.; Zivkovic, M.; Venkatachalam, K.; Malebary, S. Energy efficient offloading mechanism using particle swarm optimization in 5G enabled edge nodes. Clust. Comput. 2023, 26, 587–598. [Google Scholar]
- Ma, M.; Zhu, A.; Guo, S.; Wang, X.; Liu, B.; Su, X. Heterogeneous network selection algorithm for novel 5G services based on evolutionary game. IET Commun. 2020, 14, 320–330. [Google Scholar]
- Zhu, A.; Ma, M.; Guo, S.; Yang, Y. Adaptive Access Selection Algorithm for Multi-Service in 5G Heterogeneous Internet of Things. IEEE Trans. Netw. Sci. Eng. 2022, 9, 1630–1644. [Google Scholar] [CrossRef]
- Alqurashi, F.A.; Alsolami, F.; Abdel-Khalek, S.; Sayed Ali, E.; Saeed, R.A. Machine learning techniques in internet of UAVs for smart cities applications. J. Intell. Fuzzy Syst. 2022, 42, 3203–3226. [Google Scholar]
- Zhu, A.; Lu, H.; Guo, S.; Zeng, Z.; Ma, M.; Zhou, Z. SyRoC: Symbiotic robotics for QoS-aware heterogeneous applications in IoT-edge-cloud computing paradigm. Future Gener. Comput. Syst. 2023, 150, 202–219. [Google Scholar] [CrossRef]
- Li, H.; Wu, S.; Jiao, J.; Lin, X.H.; Zhang, N.; Zhang, Q. Energy-Efficient Task Offloading of Edge-Aided Maritime UAV Systems. IEEE Trans. Veh. Technol. 2023, 72, 1116–1126. [Google Scholar] [CrossRef]
- Alfakih, T.; Hassan, M.M.; Gumaei, A.; Savaglio, C.; Fortino, G. Task Offloading and Resource Allocation for Mobile Edge Computing by Deep Reinforcement Learning Based on SARSA. IEEE Access 2020, 8, 54074–54084. [Google Scholar] [CrossRef]
- Afrin, M.; Jin, J.; Rahman, A.; Gasparri, A.; Tian, Y.C.; Kulkarni, A. Robotic Edge Resource Allocation for Agricultural Cyber-Physical System. IEEE Trans. Netw. Sci. Eng. 2022, 9, 3979–3990. [Google Scholar] [CrossRef]
- You, Q.; Tang, B. Efficient task offloading using particle swarm optimization algorithm in edge computing for industrial internet of things. J. Cloud Comput. 2021, 10, 1–11. [Google Scholar]
- He, Y.; Xu, J.; Zheng, B.; Hu, J.; Xie, Y. Timing-Oriented Task Offloading Algorithms for Internet-of-Vehicles. J. Circuits Syst. Comput. 2022, 31, 2250151. [Google Scholar] [CrossRef]
- Zhang, D.; Li, X.; Zhang, J.; Zhang, T.; Gong, C. New Method of Task Offloading in Mobile Edge Computing for Vehicles Based on Simulated Annealing Mechanism. J. Electron. Inf. Technol. 2022, 44, 1–11. [Google Scholar]
- Zhu, A.; Guo, S.; Ma, M.; Feng, H.; Liu, B.; Su, X.; Guo, M.; Jiang, Q. Computation Offloading for Workflow in Mobile Edge Computing Based on Deep Q-Learning. In Proceedings of the 2019 28th Wireless and Optical Communications Conference (WOCC), Beijing, China, 9–10 May 2019; pp. 1–5. [Google Scholar] [CrossRef]
- Dai, M.; Su, Z.; Xu, Q.; Zhang, N. Vehicle assisted computing offloading for unmanned aerial vehicles in smart city. IEEE Trans. Intell. Transp. Syst. 2021, 22, 1932–1944. [Google Scholar] [CrossRef]
- Xu, F.; Yang, W.; Li, H. Computation offloading algorithm for cloud robot based on improved game theory. Comput. Electr. Eng. 2020, 87, 106764. [Google Scholar] [CrossRef]
- Nguyen, A.C.; Pamuklu, T.; Syed, A.; Kennedy, W.S.; Erol-Kantarci, M. Reinforcement Learning-Based Deadline and Battery-Aware Offloading in Smart Farm IoT-UAV Networks. In Proceedings of the ICC 2022—IEEE International Conference on Communications, Seoul, Republic of Korea, 16–20 May 2022; pp. 189–194. [Google Scholar] [CrossRef]
- Chen, X.; Zhang, J.; Lin, B.; Chen, Z.; Wolter, K.; Min, G. Energy-Efficient Offloading for DNN-Based Smart IoT Systems in Cloud-Edge Environments. IEEE Trans. Parallel Distrib. Syst. 2022, 33, 683–697. [Google Scholar] [CrossRef]
- Chen, M.; Wang, T.; Zhang, S.; Liu, A. Deep reinforcement learning for computation offloading in mobile edge computing environment. Comput. Commun. 2021, 175, 1–12. [Google Scholar] [CrossRef]
- Zhang, X.; Cao, Y. Mobile Data Offloading Efficiency: A Stochastic Analytical View. In Proceedings of the 2018 IEEE International Conference on Communications Workshops (ICC Workshops), Kansas City, MO, USA, 20–24 May 2018; pp. 1–6. [Google Scholar] [CrossRef]
- Zhang, X.; Wang, J. Joint heterogeneous statistical-QoS/QoE provisionings for edge-computing based WiFi offloading over 5G mobile wireless networks. In Proceedings of the 2018 52nd Annual Conference on Information Sciences and Systems (CISS), Princeton, NJ, USA, 21–23 March 2018; pp. 1–6. [Google Scholar] [CrossRef]
- Yang, G.; Hou, L.; He, X.; He, D.; Chan, S.; Guizani, M. Offloading Time Optimization via Markov Decision Process in Mobile-Edge Computing. IEEE Internet Things J. 2021, 8, 2483–2493. [Google Scholar] [CrossRef]
- Wang, K.; Wang, X.; Liu, X. A high reliable computing offloading strategy using deep reinforcement learning for iovs in edge computing. J. Grid Comput. 2021, 19, 1–15. [Google Scholar]
- Nguyen, T.; Katila, R.; Gia, T.N. An advanced internet-of-drones system with blockchain for improving quality of service of search and rescue: A feasibility study. Future Gener. Comput. Syst. 2023, 140, 36–52. [Google Scholar] [CrossRef]
- Pliatsios, D.; Sarigiannidis, P.; Lagkas, T.D.; Argyriou, V.; Boulogeorgos, A.A.A.; Baziana, P. Joint Wireless Resource and Computation Offloading Optimization for Energy Efficient Internet of Vehicles. IEEE Trans. Green Commun. Netw. 2022, 6, 1468–1480. [Google Scholar] [CrossRef]
- Sacco, A.; Esposito, F.; Marchetto, G.; Montuschi, P. Sustainable Task Offloading in UAV Networks via Multi-Agent Reinforcement Learning. IEEE Trans. Veh. Technol. 2021, 70, 5003–5015. [Google Scholar] [CrossRef]
- Guo, S.; Xiao, B.; Yang, Y.; Yang, Y. Energy-efficient dynamic offloading and resource scheduling in mobile cloud computing. In Proceedings of the IEEE INFOCOM 2016-The 35th Annual IEEE International Conference on Computer Communications, San Francisco, CA, USA, 10–14 April 2016; pp. 1–9. [Google Scholar]
- Lu, W.; Zhang, X. Computation Offloading for Partitionable Applications in Dense Networks: An Evolutionary Game Approach. IEEE Internet Things J. 2022, 9, 20985–20996. [Google Scholar] [CrossRef]
- Hu, M.; Xie, Z.; Wu, D.; Zhou, Y.; Chen, X.; Xiao, L. Heterogeneous edge offloading with incomplete information: A minority game approach. IEEE Trans. Parallel Distrib. Syst. 2020, 31, 2139–2154. [Google Scholar] [CrossRef]
- Liao, H.; Mu, Y.; Zhou, Z.; Sun, M.; Wang, Z.; Pan, C. Blockchain and Learning-Based Secure and Intelligent Task Offloading for Vehicular Fog Computing. IEEE Trans. Intell. Transp. Syst. 2021, 22, 4051–4063. [Google Scholar] [CrossRef]
- Hamdi, M.; Ben Hamed, A.; Yuan, D.; Zaied, M. Energy-Efficient Joint Task Assignment and Power Control in Energy-Harvesting D2D Offloading Communications. IEEE Internet Things J. 2022, 9, 6018–6031. [Google Scholar] [CrossRef]
- Dai, X.; Xiao, Z.; Jiang, H.; Alazab, M.; Lui, J.C.S.; Dustdar, S.; Liu, J. Task Co-Offloading for D2D-Assisted Mobile Edge Computing in Industrial Internet of Things. IEEE Trans. Ind. Inform. 2023, 19, 480–490. [Google Scholar] [CrossRef]
- Zeng, Y.; Xu, J.; Zhang, R. Energy Minimization for Wireless Communication With Rotary-Wing UAV. IEEE Trans. Wirel. Commun. 2019, 18, 2329–2345. [Google Scholar] [CrossRef]
- Reddy, S.; Panwar, L.K.; Panigrahi, B.K.; Kumar, R. Computational intelligence for demand response exchange considering temporal characteristics of load profile via adaptive fuzzy inference system. IEEE Trans. Emerg. Top. Comput. Intell. 2017, 2, 235–245. [Google Scholar] [CrossRef]
- Pekaslan, D.; Wagner, C.; Garibaldi, J.M. ADONiS-Adaptive Online Nonsingleton Fuzzy Logic Systems. IEEE Trans. Fuzzy Syst. 2020, 28, 2302–2312. [Google Scholar] [CrossRef]
- Fu, S.; Zhang, Y.; Ceriotti, M.; Jiang, Y.; Packeiser. Modeling packet loss rate of IEEE 802.15.4 links in diverse environmental conditions. In Proceedings of the 2018 IEEE Wireless Communications and Networking Conference (WCNC), Barcelona, Spain, 15–18 April 2018; pp. 1–6. [Google Scholar] [CrossRef]
- Sadjadi, E. On the Monotonicity of Smooth Fuzzy Systems. IEEE Trans. Fuzzy Syst. 2020, 29, 3947–3952. [Google Scholar] [CrossRef]
- Athanasiadou, G.E.; Fytampanis, P.; Zarbouti, D.A.; Tsoulos, G.V.; Gkonis, P.K.; Kaklamani, D.I. Radio network planning towards 5G mmWave standalone small-cell architectures. Electronics 2020, 9, 339. [Google Scholar] [CrossRef]
- Garroppo, R.G.; Volpi, M.; Nencioni, G.; Wadatkar, P.V. Experimental Evaluation of Handover Strategies in 5G-MEC Scenario by using AdvantEDGE. In Proceedings of the 2022 IEEE International Mediterranean Conference on Communications and Networking (MeditCom), Athens, Greece, 5–8 September 2022; pp. 286–291. [Google Scholar]
- Pandey, K.; Arya, R. Lyapunov optimization machine learning resource allocation approach for uplink underlaid D2D communication in 5G networks. IET Commun. 2022, 16, 476–484. [Google Scholar] [CrossRef]
- Liu, J.; Zhou, A.; Liu, C.; Zhang, T.; Qi, L.; Wang, S.; Buyya, R. Reliability-Enhanced Task Offloading in Mobile Edge Computing Environments. IEEE Internet Things J. 2022, 9, 10382–10396. [Google Scholar] [CrossRef]
- Ali, M.A.; Zeng, Y.; Jamalipour, A. Software-defined coexisting UAV and WiFi: Delay-oriented traffic offloading and UAV placement. IEEE J. Sel. Areas Commun. 2020, 38, 988–998. [Google Scholar] [CrossRef]
- Zhao, S.; Feng, Y.; Yu, G. D2D communication channel allocation and resource optimization in 5G network based on game theory. Comput. Commun. 2021, 169, 26–32. [Google Scholar] [CrossRef]
- Ghaseminajm, F.; Alsmadi, M.; Tubail, D.; Ikki, S.S. RIS-Aided Mobile Localization Error Bounds Under Hardware Impairments. IEEE Trans. Commun. 2022, 70, 8331–8341. [Google Scholar] [CrossRef]
- Wu, B.; Chen, T.; Yang, K.; Wang, X. Edge-Centric Bandit Learning for Task-Offloading Allocations in Multi-RAT Heterogeneous Networks. IEEE Trans. Veh. Technol. 2021, 70, 3702–3714. [Google Scholar] [CrossRef]
- Deng, X.; Sun, Z.; Li, D.; Luo, J.; Wan, S. User-centric computation offloading for edge computing. IEEE Internet Things J. 2021, 8, 12559–12568. [Google Scholar] [CrossRef]
- Zhu, A.; Wen, Y. Computing Offloading Strategy Using Improved Genetic Algorithm in Mobile Edge Computing System. J. Grid Comput. 2021, 19, 1–12. [Google Scholar] [CrossRef]
- Zhang, K.; Gui, X.; Ren, D.; Li, D. Energy-Latency Tradeoff for Computation Offloading in UAV-Assisted Multiaccess Edge Computing System. IEEE Internet Things J. 2021, 8, 6709–6719. [Google Scholar] [CrossRef]
- Malik, A.W.; Rahman, A.U.; Ali, M.; Santos, M.M. Symbiotic robotics network for efficient task offloading in smart industry. IEEE Trans. Ind. Inform. 2020, 17, 4594–4601. [Google Scholar] [CrossRef]
- Trihinas, D.; Agathocleous, M.; Avogian, K. Composable energy modeling for ml-driven drone applications. In Proceedings of the 2021 IEEE International Conference on Cloud Engineering (IC2E), San Francisco, CA, USA, 4–8 October 2021; pp. 231–237. [Google Scholar]
- Marins, J.L.; Cabreira, T.M.; Kappel, K.S.; Ferreira, P.R. A closed-form energy model for multi-rotors based on the dynamic of the movement. In Proceedings of the 2018 VIII Brazilian Symposium on Computing Systems Engineering (SBESC), Salvador, Brazil, 5–8 November 2018; pp. 256–261. [Google Scholar]
- Trihinas, D.; Agathocleous, M.; Avogian, K.; Katakis, I. FlockAI: A Testing Suite for ML-Driven Drone Applications. Future Internet 2021, 13, 317. [Google Scholar] [CrossRef]
- Trihinas, D.; Agathocleous, M.; Avogian, K. Demo: FlockAI—A Framework for Rapidly Testing ML-Driven Drone Applications. In Proceedings of the 2022 IEEE 42nd International Conference on Distributed Computing Systems (ICDCS), Bologna, Italy, 10–13 July 2022; pp. 1318–1321. [Google Scholar] [CrossRef]















| Symbols | Definition |
|---|---|
| The set of UAVs | |
| The set of servers | |
| The set of helper terminals | |
| The set of edge offloading nodes | |
| The computation task of each UAV | |
| The size of task data | |
| The required computation amount to accomplish task | |
| The time slot | |
| The set of offloading strategies | |
| The computation capability of UAV h | |
| The computation capability of server n | |
| The computation capability of terminal m | |
| The local computing time of UAV h | |
| The energy consumption of UAV h in local computing | |
| The transmission time from UAV h to terminal m | |
| The task execution time on server n | |
| The energy consumption of UAV h for transmitting data to server n | |
| The energy coefficient of UAV h | |
| The task transmission time from UAV h to terminal m | |
| The energy consumption of UAV h for transmitting task data to terminal m | |
| The task execution time on terminal n | |
| The channel bandwidth for cellular network | |
| The transmission power of UAV via cellular link | |
| The data transmission rate from UAV h to server n via cellular link | |
| The channel gain from UAV h to the BS | |
| The position coordinates of UAV h | |
| The position coordinates of server n | |
| The variance associated with the additive white Gaussian noise | |
| The channel bandwidth for WiFi link | |
| The data transmission rate from UAV h to server n via WiFi link | |
| The transmission power of UAV via WiFi link | |
| The channel gain from UAV h to the WiFi AP | |
| The hovering energy consumption of UAV h | |
| The hovering power of UAV h | |
| The time of UAV for computation offloading under different strategies | |
| The energy consumption of UAV under different offloading strategies | |
| The data transmission rate of the wireless link from UAV h to terminal m | |
| The bandwidth of the wireless link between UAV h and terminal m | |
| The transmission power for offloading task from UAV h to terminal m | |
| The channel gain of the wireless link between UAV h and terminal m | |
| The utility of UAV for processing computation task | |
| , | The delay and energy weight factors |
| Symbol | Value | Symbol | Value |
|---|---|---|---|
| (MHz) | 10 | (MHz) | 20 |
| (MHz) | 5 | (dBm) | |
| , , (W) | 15 | (G cycles/s) | |
| (G cycles/s) | (G cycles/s) | ||
| (G cycles) | (G cycles) |
Disclaimer/Publisher’s Note: The statements, opinions and data contained in all publications are solely those of the individual author(s) and contributor(s) and not of MDPI and/or the editor(s). MDPI and/or the editor(s) disclaim responsibility for any injury to people or property resulting from any ideas, methods, instructions or products referred to in the content. |
© 2023 by the authors. Licensee MDPI, Basel, Switzerland. This article is an open access article distributed under the terms and conditions of the Creative Commons Attribution (CC BY) license (https://creativecommons.org/licenses/by/4.0/).
Share and Cite
Zhu, A.; Lu, H.; Ma, M.; Zhou, Z.; Zeng, Z. DELOFF: Decentralized Learning-Based Task Offloading for Multi-UAVs in U2X-Assisted Heterogeneous Networks. Drones 2023, 7, 656. https://doi.org/10.3390/drones7110656
Zhu A, Lu H, Ma M, Zhou Z, Zeng Z. DELOFF: Decentralized Learning-Based Task Offloading for Multi-UAVs in U2X-Assisted Heterogeneous Networks. Drones. 2023; 7(11):656. https://doi.org/10.3390/drones7110656
Chicago/Turabian StyleZhu, Anqi, Huimin Lu, Mingfang Ma, Zongtan Zhou, and Zhiwen Zeng. 2023. "DELOFF: Decentralized Learning-Based Task Offloading for Multi-UAVs in U2X-Assisted Heterogeneous Networks" Drones 7, no. 11: 656. https://doi.org/10.3390/drones7110656
APA StyleZhu, A., Lu, H., Ma, M., Zhou, Z., & Zeng, Z. (2023). DELOFF: Decentralized Learning-Based Task Offloading for Multi-UAVs in U2X-Assisted Heterogeneous Networks. Drones, 7(11), 656. https://doi.org/10.3390/drones7110656

