Adaptive Nonsingular Fast Terminal Sliding Mode Control of Aerial Manipulation Based on Nonlinear Disturbance Observer
Abstract
1. Introduction
2. Modeling of the Aerial Manipulation System
2.1. Kinematic Modeling
2.2. Dynamic Modeling
3. Design of the Disturbance Observer
4. Controller Design
4.1. Nonsingular Fast Terminal Sliding Mode Controller
4.2. Adaptive Nonsingular Fast Terminal Sliding Mode Controller
5. Stability Analysis
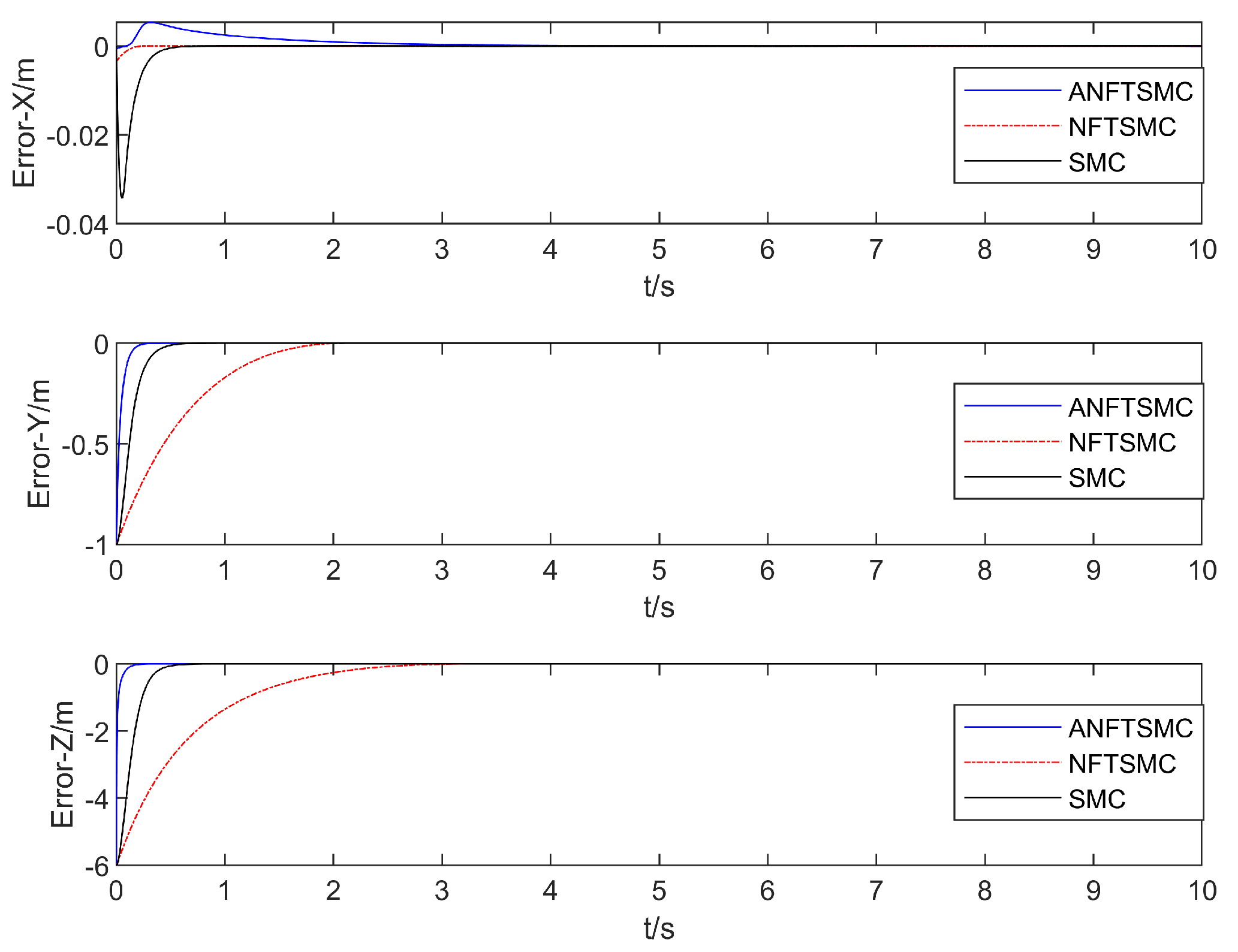
6. Simulation Verification
7. Conclusions
Author Contributions
Funding
Institutional Review Board Statement
Informed Consent Statement
Data Availability Statement
Conflicts of Interest
Nomenclature
| Inertial reference frame | Body frame attached to the center of mass of quadrotor | ||
| Manipulator end coordinate frame | Quadrotor roll angle | ||
| Quadrotor pitch angle | Quadrotor yaw angle | ||
| Position of the quadrotor with respect to the inertial frame | Orientation of the quadrotor with respect to the inertial frame | ||
| Time derivative of Euler angles | Angular velocity of quadrotor in the inertial reference frame | ||
| Angular velocity of quadrotor in the body reference frame | Transformation matrix relating angular velocities and time derivative of Euler angles | ||
| Rotation matrix of the quadrotor with respect to the inertial frame | Transpose operator | ||
| Nominal value symbol | First joint angle with respect to the quadrotor body frame | ||
| Second joint angle with respect to the first joint | Position of the manipulator’s link i with respect to the inertial frame | ||
| Position of the manipulator’s link in body frame | Manipulator Jacobian for the linear velocities up to link | ||
| Manipulator Jacobian for the angular velocities up to link | Skew–symmetric matrix operator | ||
| The moment of inertia of the quadrotor UAV in the airframe coordinate system | The moment of inertia of the robot arm joint in the airframe coordinate system | ||
| Angular velocity of link in the inertial frame | State vector of aerial manipulation system | ||
| A symmetric and positive definite inertia matrix of aerial manipulation system dynamic | Centrifugal and Coriolis matrix of aerial manipulation system dynamics | ||
| Gravitational vector of aerial manipulation system dynamics | The error of A symmetric and positive definite inertia matrix | ||
| The error of centrifugal and Coriolis matrix | The error of Gravitational vector | ||
| The kinetic energy of the quadrotor UAV | The kinetic energy of the quadrotor UAV | ||
| The kinetic energy of the robot arm joint i | Potential energy of the of aerial manipulation system | ||
| The potential energy of the quadrotor UAV | The potential energy of the robot arm joint | ||
| Sliding surface in sliding mode control | Desired state values for aerial manipulation system | ||
| Estimation error | Lyapunov function | ||
| Uncertainty of aerial manipulation system | Gain matrix of the nonlinear disturbance observer | ||
| Function vector to be designed in nonlinear disturbance observer | The internal state variable of nonlinear disturbance observer | ||
| Gain matrix of the nonlinear disturbance observer | Identity matrix of order n |
References
- Liu, J.; Zhang, D.; Chen, Y.; Xia, Z.; Wu, C. Design of a class of generalized parallel mechanisms for adaptive landing and aerial manipulation. Mech. Mach. Theory 2022, 170, 104692. [Google Scholar] [CrossRef]
- Samadikhoshkho, Z.; Ghorbani, S.; Janabi-Sharifi, F. Vision-based reduced-order adaptive control of aerial continuum manipulation systems. Aerosp. Sci. Technol. 2022, 121, 107322. [Google Scholar] [CrossRef]
- Emami, S.A.; Banazadeh, A. Simultaneous trajectory tracking and aerial manipulation using a multi-stage model predictive control. Aerosp. Sci. Technol. 2021, 112, 106573. [Google Scholar] [CrossRef]
- Bodie, K.; Taylor, Z.; Kamel, M.; Siegwart, R. Towards Efficient Full Pose Omnidirectionality with Overactuated MAVs; Xiao, J., Kröger, T., Khatib, O., Eds.; Springer International Publishing: Cham, The Netherlands, 2020; pp. 85–95. [Google Scholar]
- Suseong, K.; Seungwon, C.; Jin, K.H. Aerial Manipulation Using a Quadrotor with a Two DOF Robotic Arm. In Proceedings of the 2013 IEEE/RSJ International Conference on Intelligent Robots and Systems, Tokyo, Japan, 20 July 2013; pp. 4990–4995. [Google Scholar]
- Song, D.; Meng, X.; Qi, J.; Han, J. Strategy of Dynamic Modeling and Predictive Control on 3-DoF Rotorcraft Aerial Manipulator System. Robot 2015, 37, 152–160. [Google Scholar] [CrossRef]
- Zhang, G.; He, Y.; Dai, B.; Gu, F.; Yang, L.; Han, J.; Liu, G. Towards Grasping Task: System and Control of an Aerial Manipulator. Robot 2019, 41, 19–29. [Google Scholar] [CrossRef]
- He, W.; Fang, Y.; Liang, X.; Zhang, P. Design and implementation of a 2-DOF aerial manipulation system. Acta Aeronaut. ET Astronaut. Sin. 2021, 42, 264–274. [Google Scholar]
- Ding, L.; Xia, T.; Kang, S.; Liu, K.; Wang, Y.; Liu, X. Adaptive robust control for a rotary-wing flight robot in hovering. J. Electron. Meas. Instrum. 2021, 35, 73–79. [Google Scholar] [CrossRef]
- Wang, Y.; Liu, L.; Ju, F.; Chen, B.; Wu, H. Sliding mode control of bionic manipulator developed for rotorcraft. J. Cent. South Univ. (Sci. Technol.) 2022, 53, 471–481. [Google Scholar]
- Liu, Y.; Zhou, Y.; Zhang, Y.; Huang, X.; Yang, J. Research on stability control of flight manipulator based on sliding mode PID. J. Nanjing Univ. Sci. Technol. 2018, 42, 525–532. [Google Scholar] [CrossRef]
- Samadikhoshkho, Z.; Ghorbani, S.; Janabi-Sharifi, F.; Zareinia, K. Nonlinear control of aerial manipulation systems. Aerosp. Sci. Technol. 2020, 104, 105945. [Google Scholar] [CrossRef]
- Pedro, S. Robotics: Modeling, Planning, and Control (Siciliano, B. et al.; 2009) [On the Shelf]. IEEE Robot. Autom. Mag. 2009, 16, 101. [Google Scholar] [CrossRef]
- Lippiello, V.; Ruggiero, F. Cartesian Impedance Control of a UAV with a Robotic Arm. IFAC Proc. Vol. 2012, 45, 704–709. [Google Scholar] [CrossRef]
- Chen, W.; Ballance, D.J.; Gawthrop, P.J.; O’Reilly, J. A nonlinear disturbance observer for robotic manipulators. IEEE T Ind. Electron. 2000, 47, 932–938. [Google Scholar] [CrossRef]
- Ming, P.; Qingxian, W.; Changsheng, J.; Lu, C. New Fast Terminal Sliding Mode and Its Application to Near Space Vehicles. Acta Aeronaut. Astronaut. Sin. 2011, 32, 1283–1291. [Google Scholar]
- Liu, H.; Zhang, T. Neural network-based robust finite-time control for robotic manipulators considering actuator dynamics. Robot. Comput. Integr. Manuf. 2013, 29, 301–308. [Google Scholar] [CrossRef]
- Xu, B.; Song, G.; Wang, C.; Cao, G. Adaptive Non-singular Fast Terminal Sliding Mode Control of Manipulator. Electron. Opt. Control. 2021, 28, 46–50. [Google Scholar]
- Qiao, L.; Zhang, W. Adaptive Second-Order Fast Nonsingular Terminal Sliding Mode Tracking Control for Fully Actuated Autonomous Underwater Vehicles. IEEE J. Ocean. Eng. 2019, 44, 363–385. [Google Scholar] [CrossRef]
- Hua, Y.; Sun, W.; Chi, B.; Guo, X.; Liu, G. Study on nonsingular fast terminal sliding mode control. Syst. Eng. Electron. 2017, 39, 1119–1125. [Google Scholar]
- Liu, J. Sliding Mode Control Design and Matlab Simulink; Tsinghua University Press: Beijing, China, 2012. [Google Scholar]


















| Character | Definition | Value/Unit |
|---|---|---|
| UAV mass | 2 m | |
| Mass of mechanical arm joint 1 | 0.049 m | |
| Mass of mechanical arm joint 2 | 0.05 m | |
| Rotational inertia of UAV around x-axis | 1.24 kg × m2 | |
| Rotational inertia of UAV around y-axis | 1.24 kg × m2 | |
| Rotational inertia of UAV around z-axis | 2.48 kg | |
| Moment of inertia about x-axis of mechanical arm joint 1 | 0.0011 kg × m2 | |
| Moment of inertia about y-axis of mechanical arm joint 1 | 0.0011 kg × m2 | |
| Moment of inertia about z-axis of mechanical arm joint 1 | 0 | |
| Moment of inertia about x-axis of mechanical arm joint 2 | 0.0000125 kg × m2 | |
| Moment of inertia about y-axis of mechanical arm joint 2 | 0.0000125 kg × m2 | |
| Moment of inertia about z-axis of mechanical arm joint 2 | 0 | |
| Length of mechanical arm joint 2 | 0.015 m | |
| Length of mechanical arm joint 2 | 0.015 m |
| Control Algorithm | ANFTSMC | NFTSMC | SMC |
|---|---|---|---|
| 7.1487 × 10−4 | 0.0017 | 0.0035 | |
| 0.9259 | 0.9579 | 0.9570 | |
| 4.6492 | 5.7504 | 5.7423 | |
| 3.0654 × 10−5 | 2.2060 × 10−5 | 5.9133 × 10−5 | |
| 0.0935 | 0.0956 | 0.0957 | |
| 0.9259 | 0.9580 | 0.9570 | |
| 0.4667 | 0.4788 | 0.4787 | |
| 0.4662 | 0.8306 | 1.6344 |
Disclaimer/Publisher’s Note: The statements, opinions and data contained in all publications are solely those of the individual author(s) and contributor(s) and not of MDPI and/or the editor(s). MDPI and/or the editor(s) disclaim responsibility for any injury to people or property resulting from any ideas, methods, instructions or products referred to in the content. |
© 2023 by the authors. Licensee MDPI, Basel, Switzerland. This article is an open access article distributed under the terms and conditions of the Creative Commons Attribution (CC BY) license (https://creativecommons.org/licenses/by/4.0/).
Share and Cite
Xu, W.; Cao, L.; Peng, B.; Wang, L.; Gen, C.; Liu, Y. Adaptive Nonsingular Fast Terminal Sliding Mode Control of Aerial Manipulation Based on Nonlinear Disturbance Observer. Drones 2023, 7, 88. https://doi.org/10.3390/drones7020088
Xu W, Cao L, Peng B, Wang L, Gen C, Liu Y. Adaptive Nonsingular Fast Terminal Sliding Mode Control of Aerial Manipulation Based on Nonlinear Disturbance Observer. Drones. 2023; 7(2):88. https://doi.org/10.3390/drones7020088
Chicago/Turabian StyleXu, Weihong, Lijia Cao, Baoyu Peng, Lin Wang, Chuang Gen, and Yanju Liu. 2023. "Adaptive Nonsingular Fast Terminal Sliding Mode Control of Aerial Manipulation Based on Nonlinear Disturbance Observer" Drones 7, no. 2: 88. https://doi.org/10.3390/drones7020088
APA StyleXu, W., Cao, L., Peng, B., Wang, L., Gen, C., & Liu, Y. (2023). Adaptive Nonsingular Fast Terminal Sliding Mode Control of Aerial Manipulation Based on Nonlinear Disturbance Observer. Drones, 7(2), 88. https://doi.org/10.3390/drones7020088

