Risk Assessment of UAV Cyber Range Based on Bayesian–Nash Equilibrium
Abstract
1. Introduction
- Security risk to UAVs themselves, as shown in Figure 1. Modern UAVs are gradually shifting their communication protocols to universal internet protocols, and their business systems are becoming increasingly interconnected with other information systems. There is a possibility that UAV could be attacked by hackers. On the one hand [3], the information security of UAV devices is threatened. The user information carried in the UAV is a security risk, because once the attacker obtains access to the camera or storage system, the user’s personal information will be stolen or maliciously used. On the other hand [4], if attackers take control of the UAV, ground station personnel will lose effective control over the UAV, leading to the loss of the UAV or accidents such as collisions and crashes.
- The security hazards posed by UAVs, as illustrated in Figure 2, encompass a broad spectrum of concerns. Given their agile nature and ease of operation, a UAV presents a significant risk of being weaponized by malefactors for nefarious purposes such as personal assaults, illicit surveillance, and unauthorized incursions [5]. The challenge of controlling their flight domains within shared airspace has escalated, posing unprecedented threats to public security and privacy. Recent high-profile incidents underscore the severity of this issue. The White House in the United States was subjected to unwarranted aerial surveillance by a DJI UAV [6], an intrusion that raised serious questions about national security and the protection of sensitive sites. Similarly, Kuala Lumpur International Airport in Malaysia experienced an illegal overflight by an unpermitted UAV [7], disrupting air traffic and highlighting vulnerabilities in airport security protocols. Most alarmingly, the office of the Japanese Prime Minister was breached by a UAV carrying radioactive material [8], an act that not only endangered lives but also exposed the potential for UAV to be used as tools of terror. These incidents serve as stark reminders that cyber threats extend beyond digital realms, impacting physical security and operational integrity. They pose direct challenges to national security and demand urgent attention and action from policymakers, technologists, and law enforcement agencies alike. The multifaceted security issues associated with UAVs necessitate robust regulatory frameworks, advanced detection systems, and stringent enforcement mechanisms to safeguard against misuse and ensure the responsible integration of UAVs into our airspace.
- ■
- Deception. The structure and flight controller of multi-rotor UAV models were analyzed, and many shortcomings were found, which are related to serial port connections and UAV telemetry data connections, especially due to its weak communication properties, and the fact that encryption is not used in most cases [9]. The experiments [10] show that it is easy to capture, modify or inject information by means of GPS deception interference. Hackers can intercept and deceive using this vulnerability in the data link, thereby achieving complete control over the UAV.
- ■
- A malware infection in UAV systems poses significant risks, particularly when considering the internal communication protocols that facilitate user control through wireless devices like tablets, laptops, and smartphones. Unfortunately, recent studies have highlighted vulnerabilities in these technologies [11], revealing that they can be exploited by malicious actors. Hackers have devised sophisticated methods to compromise UAV security by leveraging weaknesses in the transmission protocols. Specifically, they can create a reverse shell using a TCP payload, which they subsequently inject into the UAV’s memory. This intrusion allows for the clandestine installation of malicious software onto the system that runs the ground station, effectively giving the attacker unauthorized access and control over the UAV. The consequences of such an attack can range from data theft and privacy violations to complete loss of UAV functionality, endangering both the operator and bystanders. It is therefore imperative for manufacturers and users alike to prioritize cybersecurity measures, including regular updates, robust encryption, and rigorous testing of communication channels, to mitigate these risks and ensure the safe operation of UAV.
- ■
- Data interference and interception. The UAV uses wireless communication and transmits information through open, non-secure wireless channels [12], making it vulnerable to various threats such as data interception, malicious data injection, and altering pre-set flight paths. This allows the UAV and GCS to be maliciously installed and injected with many infected digital files, such as videos and images [13].
- ■
- Wi-Fi interference. Attackers can hijack the UAV’s communication by installing and configuring a Raspberry-pi [14] and sending an access instruction between authentication processes, such as interfering with the expected UAV frequency and luring the UAV to connect to the hacker’s Wi-Fi.
2. Related Research Work
2.1. Risk Assessment of UAV
2.2. UAV Attack and Defense Security Analysis
- WiFi cracking attack. Before turning off the UAV controller, SkyJet uses aircrack-ng to detect nearby wireless cyber and clients. This task is carried out when connecting the attacker with the UAV, allowing for full control of the victim’s UAV. This type of attack is divided into three stages [36]. In the first step, a wireless sniffing tool, such as airodump, is used to discover WEP-enabled and WPA-2-enabled cyber ranges, as well as an open cyber network. The second step is to use an injection tool, such as “airplay”, to increase and modify the communication transmission traffic. The third step, “aircrack-ng,” allows an attacker to launch a counter-authentication attack that can interrupt a Wi-Fi connection protected by WPA2 encryption.
- Denial-of-service DoS attack. After authentication, the airdump-ng command is used to evaluate the cyber security of the UAV. The aircrack-ng command is then used to disconnect any connected devices, or the aircrack-ng command to disconnect any secure UAV. The use of Kali-Linux as a platform for WiFi interference causes the UAV to crash [37].
- ARP cache poisoning. A malicious script called Scapy is continuously executed through the computer using the Python library until the UAV disconnects from the connected device [38].
- To solve the intrusion problem of UAV, Pleban et al. [39] proposed to use ground stations as access points and WPA/WPA2 to encrypt WiFi links. Pigatto [40] et al. built a security system model for the application scenarios of unmanned equipment such as UAV and unmanned vehicles, and designed a lightweight authentication protocol by using elliptic curve encryption algorithm. Won et al. [41] designed a certificateless signature label key encapsulation protocol to realize key negotiation between UAV and other intelligent terminal mobile terminals, taking into account the identity anonymity and data privacy of UAV. The UAV monitoring system designed by Birnbaum [42] et al. uses the regression least squares method to achieve real-time prediction of fuselage and control parameters, and determines the security state of the UAV by analyzing the abnormal state of parameters. Reyes [43] et al. proposed the design of a UAV cyber security transmission mechanism based on cognitive radio, providing a new solution for UAV cyber security protection and fault recovery. Sedjelmaci [44] used Bayesian game theory to realize UAV cyber intrusion detection, effectively balancing the calculation cost of UAV cyber nodes in the intrusion detection process and the correlation between the detection accuracy rates.
2.3. Unmanned Aircraft System Risk Assessment
- Qualitative assessment
- Quantitative evaluation
2.4. Application of Game Theory in the Field of Security
3. Application of Attack–Defense Tree Model in UAV Cyber Range
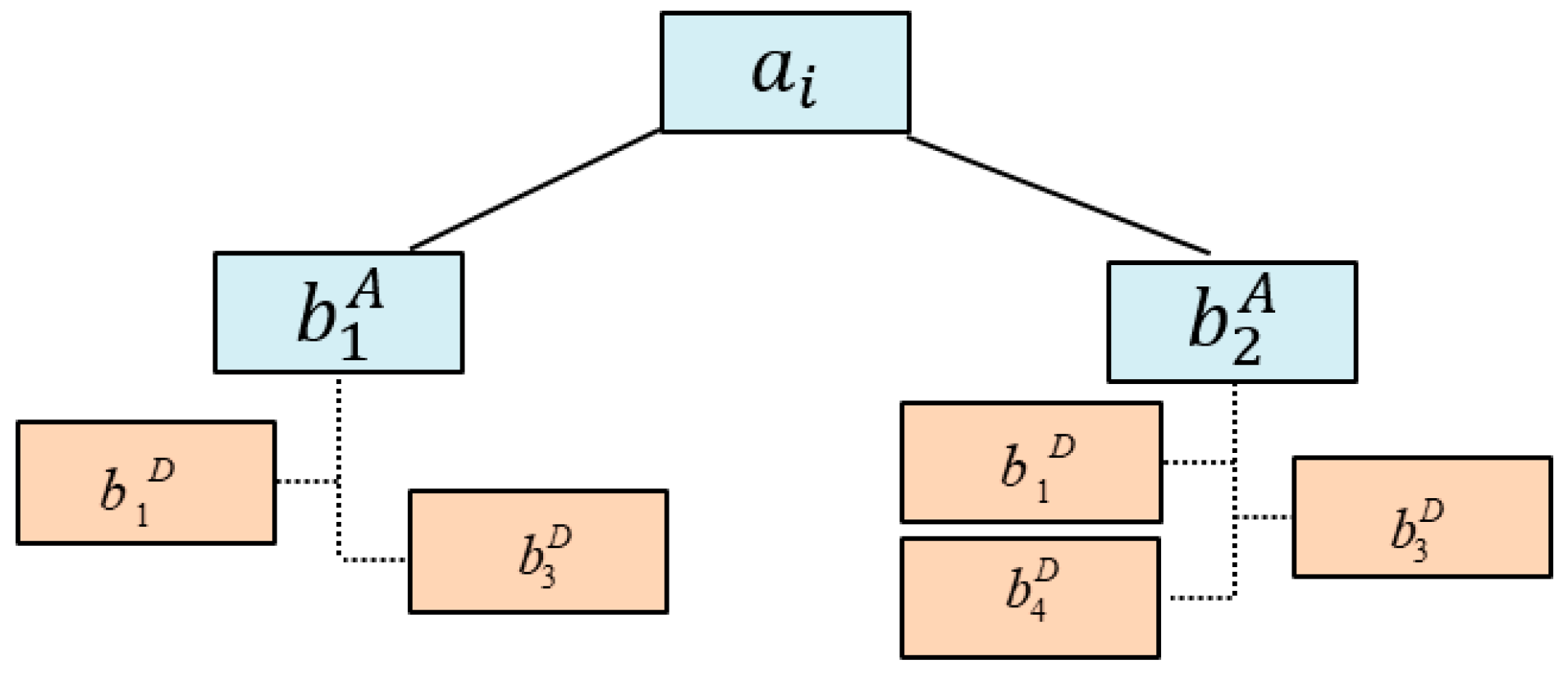
3.1. Attack–Defense Tree Model with Economic Indicators
3.2. Quantification of Strategic Benefits of Both Sides
3.2.1. Attack Payoff Function
3.2.2. Defense Payoff Function
4. Construct the Game Model of Attack and Defense of UAV Cyber Range with Incomplete Information Static
4.1. Model Assumption
4.2. Establish UAV Range Defense Model Based on Bayesian Static Game
- (1)
- represents the set of participants in the offensive and defensive game model. and represent attackers and defenders in the UAV range, respectively.
- (2)
- represents the type set of participants in the offensive and defensive game model. Where represents the set of types of attackers , such as internal attacks, external attacks, and spies; represents a set of types of defenders , such as security experts, security analysts, and security operations personnel. In the actual UAV range, one side of the offense and defense does not fully understand the benefits of the other side. Therefore, when analyzing the static Bayesian offensive and defensive game model, the method of “Harsanyi transformation” is used to assume a fictitious player, and the fictitious player first decides the different types of other players, and replaces the uncertainty of information with the uncertainty of type.
- (3)
- represents the action set of players in the game model. It represents a collection of actions by different types of attackers , such as DoS, backdoors, fuzzers; and a set of actions that represent different types of defenders, such as authentication, transmission encryption, and intrusion detection.
- (4)
- represents the prior probability set of players in the offensive and defensive game model. Where represents the probability that the attacker judges the type of the defender in the case of type ; indicates the probability that the defender determines the type of the attacker in the case of type .
- (5)
- represents the income function set of participants in the offensive and defensive game model. , represents the revenue function of the attacker when the attacker is of the type , the attacker takes action , and the defender takes action ; represents the revenue function of the defender when the defender is of the type , when the attacker takes action , and when the defender takes action . According to the above, in order to better analyze the attack and defense game model of the UAV cyber range, the quantitative calculation method of attack and defense benefits is given. The profit function of the attacker can be expressed as , and the profit function of the defender can be expressed as .
4.3. Solving Bayesian Equilibrium of Attack and Defense Game Model of UAV Cyber Range
4.3.1. Mixed Strategies in Bayesian Games
4.3.2. Mixed Strategy Bayesian–Nash Equilibrium
5. Design of UAV Cyber Range Risk Assessment Method
| Algorithm 1 Static game risk evaluation algorithm of incomplete information |
| Input: Output: UAV security risk value BEGIN 1. Initialize() 2. Establish a set of attack and defense types 3. Establish both offensive and defensive action sets 4. For all 5. Calculate attack income APF and defense income DPF, respectively 6. 7. 8. Get a mixed Bayesian equilibrium, 9. 10. Invoke algorithm 2 to calculate the weight of the UAV subsystem. 11. 12. Return END |
| Algorithm 2 UAV subsystem weight calculation algorithm. |
| Input: UAV subsystem fuzzy judgment matrix Output: UAV subsystem weight BEGIN 1. Initialize() 2. Use formula and to complete consistency transformation 3. 4. Return END |
6. Application and Analysis
7. Conclusions
Author Contributions
Funding
Institutional Review Board Statement
Informed Consent Statement
Data Availability Statement
Conflicts of Interest
References
- Qu, Y.; Dai, H.; Zhuang, Y.; Chen, J.; Dong, C.; Wu, F.; Guo, S. Decentralized Federated Learning for UAV Networks: Architecture, Challenges, and Opportunities. IEEE Netw. 2021, 35, 156–162. [Google Scholar] [CrossRef]
- Wazid, M.; Bera, B.; Das, A.K.; Garg, S.; Niyato, D.; Hossain, M.S. Secure Communication Framework for Blockchain-Based Internet of UAVs-Enabled Aerial Computing Deployment. IEEE Internet Things Mag. 2021, 4, 120–126. [Google Scholar] [CrossRef]
- Guo, W.; Zhang, Z.; Chang, L.; Song, Y.; Yin, L. A DDoS Tracking Scheme Utilizing Adaptive Beam Search with Unmanned Aerial Vehicles in Smart Grid. Drones 2024, 8, 437. [Google Scholar] [CrossRef]
- Khan, M.A.; Nasralla, M.M.; Umar, M.M.; Rehman, G.U.; Khan, S.; Choudhury, N. An Efficient Multilevel Probabilistic Model for Abnormal Traffic Detection in Wireless Sensor Networks. Sensors 2022, 22, 410. [Google Scholar] [CrossRef]
- Sharma, N.; Yadav, N.S.; Sharma, S. Classification of UNSW-NB15 Dataset Using Exploratory Data Analysis with Ensemble Learning. EAI Endorsed Trans. Ind. Netw. Intell. Syst. 2021, 8, 171319. [Google Scholar] [CrossRef]
- Wang, K.L.; Li, H.M. A Method with Multi-Channel CNN-BiGRU and Multi-Feature Fusion. Microelectron. Comput. 2022, 39, 41–49. [Google Scholar]
- Basan, E.; Basan, A.; Nekrasov, A.; Fidge, C.; Abramov, E.; Basyuk, A. A Data Normalization Technique for Detecting Cyber Attacks on UAVs. Drones 2022, 6, 245. [Google Scholar] [CrossRef]
- Lei, T.; Zhang, Y.; Wang, S.I.; Dai, H.; Artzi, Y. Simple Recurrent Units for Highly Parallelizable Recurrence. In Proceedings of the 2018 Conference on Empirical Methods in Natural Language Processing, Brussels, Belgium, 31 October–4 November 2018; ACL: New York, NY, USA, 2018; pp. 4470–4481. [Google Scholar]
- Ramachandran, P.; Zoph, B.; Le, Q.V. Searching for Activation Functions. In Workshop Track, Proceedings of the 6th International Conference on Learning Representations, Vancouver, BC, Canada, 30 April–3 May 2018; ICLR: San Diego, CA, USA, 2018. [Google Scholar]
- Zhao, P.; Fan, Z.J.; Cao, Z.W.; Li, X. Intrusion Detection Model Using Temporal Convolutional Network Blended into Attention Mechanism. Int. J. Inf. Secur. Priv. 2022, 16, 1–20. [Google Scholar] [CrossRef]
- Sihag, V.; Choudhary, G.; Choudhary, P.; Dragoni, N. Cyber4UAV: A Systematic Review of Cyber Security and Forensics in Next-Generation UAVs. Drones 2023, 7, 430. [Google Scholar] [CrossRef]
- Dong, N.; Cheng, X.R.; Zhang, M.Q. Intrusion Detection System with Dynamic Weight Loss Function Based on Internet of Things Platform. J. Comput. Appl. 2022, 42, 2118–2124. [Google Scholar]
- Shafique, A.; Mehmood, A.; Elhadef, M. Survey of Security Protocols and Vulnerabilities in Unmanned Aerial Vehicles. IEEE Access 2021, 9, 46927–46948. [Google Scholar] [CrossRef]
- Tian, G.F.; Shan, Z.L.; Liao, Z.H.; Wang, Y.L. Network Intrusion Detection Model Based on Faster R-CNN Deep Learning. J. Nanjing Univ. Sci. Technol. 2021, 45, 56–62. [Google Scholar]
- Khan, N.A.; Brohi, S.N.; Jhanjhi, N. UAV’s Applications, Architecture, Security Issues and Attack Scenarios: A Survey. In Intelligent Computing and Innovation on Data Science; Springer: Singapore, 2020; pp. 753–760. [Google Scholar]
- Fu, Y.F.; Du, Y.S.; Cao, Z.J.; Li, Q.; Xiang, W. A Deep Learning Model for Network Intrusion Detection with Imbalanced Data. Electronics 2022, 11, 898. [Google Scholar] [CrossRef]
- Li, H.; Ge, H.J.; Yang, H.Q.; Yan, J.; Sang, Y. An abnormal traffic detection model combined BiIndRNN with global attention. IEEE Access 2022, 10, 30899–30912. [Google Scholar] [CrossRef]
- Bin Mohammad Fadilah, M.S.; Balachandran, V.; Loh, P.; Chua, M. DRAT: A UAV Attack Tool for Risk Assessment. In Proceedings of the Tenth ACM Conference on Data and Application Security and Privacy, New Orleans, LA, USA, 16–18 March 2020; pp. 153–155. [Google Scholar]
- Leonardi, M.; Strohmeier, M.; Lenders, V. On Jamming Attacks in Crowdsourced Air Traffic Surveillance. IEEE Aerosp. Electron. Syst. Mag. 2021, 36, 44–54. [Google Scholar] [CrossRef]
- Li, T.; Zhang, J.; Obaidat, M.S.; Lin, C.; Lin, Y.; Shen, Y.; Ma, J. Energy-Efficient and Secure Communication towards UAVs Networks. IEEE Internet Things J. 2022, 9, 10061–10076. [Google Scholar] [CrossRef]
- Terven, J.; Córdova-Esparza, D.M.; Romero-González, J.A. A Comprehensive Review of YOLO Architectures in Computer Vision: From YOLOv1 to YOLOv8 and YOLO-NAS. Mach. Learn. Knowl. Extr. 2023, 5, 1680–1716. [Google Scholar] [CrossRef]
- Wang, C.Y.; Bochkovskiy, A.; Liao, H.Y. YOLOv7: Trainable Bag-of-Freebies Sets New State-of-the-Art for Real-Time Object Detectors. In Proceedings of the IEEE/CVF Conference on Computer Vision and Pattern Recognition, Vancouver, BC, Canada, 17–24 June 2023; pp. 7464–7475. [Google Scholar]
- Liu, Z.; Gao, X.; Wan, Y.; Wang, J.; Lyu, H. An Improved YOLOv5 Method for Small Object Detection in UAV Capture Scenes. IEEE Access 2023, 11, 14365–14374. [Google Scholar] [CrossRef]
- Koubaa, A.; Ammar, A.; Abdelkader, M.; Alhabashi, Y.; Ghouti, L. AERO: AI-Enabled Remote Sensing Observation with Onboard Edge Computing in UAVs. Remote Sens. 2023, 15, 1873. [Google Scholar] [CrossRef]
- Huang, H.; Zhao, G.; Bo, Y.; Yu, J.; Liang, L.; Yang, Y.; Ou, K. Railway Intrusion Detection Based on Refined Spatial and Temporal Features for UAV Surveillance Scene. Measurement 2023, 211, 112602. [Google Scholar] [CrossRef]
- Hu, X.; Li, T.; Wu, Z.; Gao, X.; Wang, Z. Research and Application of Intelligent Intrusion Detection System with Accuracy Analysis Methodology. Infrared Phys. Technol. 2018, 88, 245–253. [Google Scholar] [CrossRef]
- Fu, C.H.; Tsao, M.W.; Chi, L.P.; Zhuang, Z.Y. On the Dominant Factors of Civilian-Use UAVs: A Thorough Study and Analysis of Cross-Group Opinions Using a Triple Helix Model (THM) with the Analytic Hierarchy Process (AHP). Drones 2021, 5, 46. [Google Scholar] [CrossRef]
- Bouafif, H.; Kamoun, F.; Iqbal, F.; Marrington, A. UAV Forensics: Challenges and New Insights. In Proceedings of the 2018 9th IFIP International Conference on New Technologies, Mobility and Security (NTMS), Paris, France, 26–28 February 2018; IEEE: New York, NY, USA, 2018; pp. 1–6. [Google Scholar]
- Salamh, F.E.; Karabiyik, U.; Rogers, M. A constructive DIREST security threat modeling for UAV as a service. J. Digit. Forensics Secur. Law 2021, 16, 121–137. [Google Scholar] [CrossRef]
- Citroni, R.; Di Paolo, F.; Livreri, P. A novel energy harvester for powering small UAVs: Performance analysis, model validation and flight results. Sensors 2019, 19, 1771. [Google Scholar] [CrossRef]
- Hartmann, K.; Steup, C. The vulnerability of UAVs to cyber attacks—An approach to the risk assessment. In Proceedings of the 2013 5th International Conference on Cyber Conflict (CYCON 2013), Tallinn, Estonia, 4–7 June 2013; pp. 1–23. [Google Scholar]
- Lin, Z.; Lin, M.; Wang, J.-B. Supporting IoT with rate-splitting multiple access in satellite and aerial-integrated networks. IEEE Internet Things J. 2021, 8, 11123–11134. [Google Scholar] [CrossRef]
- Lin, Z.; Lin, M.; Champagne, B.; Zhu, W.; Al-Dhahir, N. Secrecy-energy efficient hybrid beamforming for satellite-terrestrial integrated networks. IEEE Trans. Commun. 2021, 69, 6345–6360. [Google Scholar] [CrossRef]
- Liang, Z.; Xing, G. Self-powered absorptive reconfigurable intelligent surfaces for securing satellite-terrestrial integrated networks. China Commun. 2024, 21, 276–291. [Google Scholar]
- Ma, R.Q.; Yang, W.W.; Guan, X.R. Covert mmWave communications with finite blocklength against spatially random wardens. IEEE Internet Things J. 2024, 11, 3402–3416. [Google Scholar] [CrossRef]
- Gülataş, İ.; Baktır, S. Unmanned aerial vehicle digital forensic investigation framework. J. Navig. Mar. Sci. 2018, 14, 32–53. [Google Scholar]
- Salamh, F.E.; Mirza, M.M.; Karabiyik, U. UAV forensic analysis and software tools assessment: DJI Phantom 4 and Matrice 210 as case studies. Electronics 2021, 10, 733. [Google Scholar] [CrossRef]
- Yahuza, M.; Idris, M.Y.I.; Ahmedy, I.B.; Wahab, A.W.A.; Nandy, T.; Noor, N.M.; Bala, A. Internet of UAVs security and privacy issues: Taxonomy and open challenges. IEEE Access 2021, 9, 57243–57270. [Google Scholar] [CrossRef]
- Salamh, F.E.; Karabiyik, U.; Rogers, M.K. RPAS forensic validation analysis towards a technical investigation process: A case study of Yuneec Typhoon H. Sensors 2019, 19, 3246. [Google Scholar] [CrossRef] [PubMed]
- Rana, T.; Shankar, A.; Sultan, M.K.; Patan, R.; Balusamy, B. An intelligent approach for UAV and UAV privacy security using blockchain methodology. In Proceedings of the 2019 9th International Conference on Cloud Computing, Data Science Engineering (Confluence), Noida, India, 10–11 January 2019; pp. 162–167. [Google Scholar] [CrossRef]
- Yaacoub, J.P.; Noura, H.; Salman, O.; Chehab, A. Security analysis of UAVs systems: Attacks, limitations, and recommendations. Internet Things 2020, 11, 100262. [Google Scholar] [CrossRef] [PubMed]
- Al-Room, K.; Iqbal, F.; Baker, T.; Shah, B.; Yankson, B.; MacDermott, A.; Hung, P.C. UAV Forensics: A Case Study of Digital Forensic Investigations Conducted on Common UAV Models. Int. J. Digit. Crime Forensics 2021, 13, 1–25. [Google Scholar] [CrossRef]
- Nassi, B.; Bitton, R.; Masuoka, R.; Shabtai, A.; Elovici, Y. SoK: Security and privacy in the age of commercial UAVs. In Proceedings of the 2021 IEEE Symposium on Security and Privacy (SP), San Francisco, CA, USA, 24–27 May 2021; pp. 73–90. [Google Scholar]
- Bouafif, H.; Kamoun, F.; Iqbal, F. Towards a better understanding of UAV forensics: A case study of Parrot AR UAV 2.0. Int. J. Digit. Crime Forensics 2020, 12, 35–57. [Google Scholar] [CrossRef]
- Altawy, R.; Youssef, A.M. Security, privacy, and safety aspects of civilian UAVs: A survey. ACM Trans. Cyber-Phys. Syst. 2016, 1, 1–25. [Google Scholar] [CrossRef]
- Ghosh, T.; Rasheed, I.; Toorchi, N.; Hu, F. UA V Security Threats, Requirements and Solutions. In UAV Swarm Networks; CRC Press: Boca Raton, FL, USA, 2020; pp. 193–206. [Google Scholar]
- Zhang, X.M.; Han, Q.L.; Ge, X.; Ding, D.; Ding, L.; Yue, D.; Peng, C. Networked control systems: A survey of trends and techniques. IEEE/CAA J. Autom. Sin. 2020, 7, 1–17. [Google Scholar] [CrossRef]
- Hassija, V.; Chamola, V.; Agrawal, A.; Goyal, A.; Luong, N.C.; Niyato, D.; Yu, F.R.; Guizani, M. Fast, reliable, and secure UAV communication: A comprehensive survey. IEEE Commun. Surv. Tutor. 2021, 23, 2802–2832. [Google Scholar] [CrossRef]
- Chiper, F.L.; Martian, A.; Vladeanu, C.; Marghescu, I.; Craciunescu, R.; Fratu, O. UAV detection and defense systems: Survey and a software-defined radio-based solution. Sensors 2022, 22, 1453. [Google Scholar] [CrossRef]
- Pojsomphong, N.; Visoottiviseth, V.; Sawangphol, W.; Khurat, A.; Kashihara, S.; Fall, D. Investigation of UAV Vulnerability and its Countermeasure. In Proceedings of the 2020 IEEE 10th Symposium on Computer Applications & Industrial Electronics (ISCAIE), Penang, Malaysia, 18–19 April 2020; IEEE: New York, NY, USA, 2020; pp. 251–255. [Google Scholar]
- Park, S.; Kim, H.T.; Lee, S.; Joo, H.; Kim, H. Survey on Anti-UAV Systems: Components, Designs, and Challenges. IEEE Access 2021, 9, 42635–42659. [Google Scholar] [CrossRef]
- Hosseinzadeh, M.; Sinopoli, B. Active Attack Detection and Control in Constrained Cyber-Physical Systems Under Prevented Actuation Attack. In Proceedings of the 2021 American Control Conference (ACC), New Orleans, LA, USA, 25–28 May 2021; IEEE: New York, NY, USA, 2021; pp. 3242–3247. [Google Scholar]
- Nisa, C.; Sudarsono, A.; Yuliana, M. Zero Knowledge Authentication Modification for UAV and Server Communication Security. J. Mantik. 2021, 5, 1019–1029. [Google Scholar]
- Samland, F.; Fruth, J.; Hildebrandt, M.; Hoppe, T.; Dittmann, J.A.R. UAV: Security threat analysis and exemplary attack to track persons. Intell. Robot. Comput. Vis. XXIX Algorithms Tech. 2012, 8301, 158–172. [Google Scholar]
- Sciancalepore, S.; Ibrahim, O.A.; Oligeri, G.; Di Pietro, R. Detecting UAVs Status via Encrypted Traffic Analysis. In Proceedings of the ACM Workshop on Wireless Security and Machine Learning, Miami, FL, USA, 15–17 May 2019; pp. 67–72. [Google Scholar]
- Bisio, I.; Garibotto, C.; Lavagetto, F.; Sciarrone, A.; Zappatore, S. Unauthorized Amateur UAV Detection Based on WiFi Statistical Fingerprint Analysis. IEEE Commun. Mag. 2018, 56, 106–111. [Google Scholar] [CrossRef]
- Munari, S.; Palazzi, C.E.; Quadrio, G.; Ronzani, D. Network Traffic Analysis of a Small Quadcopter. In Proceedings of the 3rd Workshop on Micro Aerial Vehicle Networks, Systems, and Applications, Niagara Falls, NY, USA, 23 June 2017; pp. 31–36. [Google Scholar]
- Hoang, T.M.; Nguyen, N.M.; Duong, T.Q. Detection of Eavesdropping Attack in UAV-Aided Wireless Systems: Unsupervised Learning with One-Class SVM and k-Means Clustering. IEEE Wirel. Commun. Lett. 2019, 9, 139–142. [Google Scholar] [CrossRef]
- Iqbal, F.; Yankson, B.; AlYammahi, M.A.; AlMansoori, N.; Qayed, S.M.; Shah, B.; Baker, T. UAV forensics: Examination and analysis. Int. J. Electron. Secur. Digit. Forensics 2019, 11, 245–264. [Google Scholar] [CrossRef]
- Alladi, T.; Bansal, G.; Chamola, V.; Guizani, M. SecAuthUAV: A Novel Authentication Scheme for UAV-Ground Station and UAV-UAV Communication. IEEE Trans. Veh. Technol. 2020, 69, 15068–15077. [Google Scholar] [CrossRef]







| Symbol | Content |
|---|---|
| APF | Attack payoff function |
| G | The gain an attacker expects from a successful attack |
| The cost to the attacker to carry out the attack | |
| The rate at which the risk of an attack on a drone system is reduced due to the deployment of a defensive measure at the drone range | |
| After defenders deploy targeted defenses, attackers have to incur additional attack costs in order to continue to breach those defenses | |
| DPF | Defense payoff function |
| The potential information security risk of UAV cyber range may lead to economic losses | |
| The cost of deploying a defensive measure |
| Symbol | Content |
|---|---|
| Attacker atomic attack set | |
| Defense behavior set | |
| Attackers at the UAV range | |
| Defenders at the UAV range | |
| A collection of attack types, such as internal attacks, external attacks, and espionage | |
| A collection of defense types, such as security experts, security analysts, and security operations personnel | |
| Aggressive behavior of game players, such as DoS, backdoors, fuzzers | |
| Defensive behavior of game participants, such as identity authentication, transmission encryption, intrusion detection | |
| In the case of type , the attacker determines the probability of the defender’s type | |
| In the case of type , the defender determines the probability of the attacker’s type | |
| The attacker’s payoff function | |
| The defender’s revenue function | |
| The attacker’s pure policy set under the type | |
| Defender mixed strategy probability distribution | |
| Probability distribution of attacker mixed strategy | |
| The attacker’s pure strategy | |
| The threat value of unmanned aerial systems inside the UAV range | |
| The overall security risk value of drones | |
| Weight vector |
| Classification | Base Attack | Description | Adventurous Attacker | Conservative Attacker | ||
|---|---|---|---|---|---|---|
| Root | Information collection | UAV model, operating system, communication protocol and other basic information | █ | |||
Communication link interference | Using radio-jamming equipment to block the UAV’s communication with the ground station | █ | ||||
Software exploit | Exploit known vulnerabilities in UAV software to gain initial access | █ | ||||
| User | Privilege promotion | By exploiting the risk, the user’s permission is upgraded from the common user to the root user | █ | |||
Data tampering | Tampering with a UAV’s mission data to influence its flight behavior | █ | ||||
Implant malware | Building back doors into UAV systems to maintain long-term control | █ | ||||
| Data | Theft of sensitive data | Stealing flight logs and mission data from unmanned aerial systems | █ | |||
Control system hijacking | Access control systems through malware to hijack flight control of UAV | █ | ||||
| DoS | Launch a DoS attack | A UDP flood attack disables the UAV’s communication system | █ | |||
Physical failure | If the attacker is able to gain sufficient access, it may send a self-destruct command or directly operate the UAV to perform physical damage | █ | ||||
| Defensive Strategy | High Defender | Junior Defender | ||
|---|---|---|---|---|
| Information protection | █ | █ | ||
| Communication encryption | █ | █ | ||
| Update regularly | █ | █ | █ | |
| Authority management | █ | █ | ||
| Data integrity check | █ | |||
| Malware protection | █ | |||
| Data encryption | █ | █ | ||
| Control system hardening | █ | |||
| Cyber monitoring | █ | █ | ||
| Attack | Defense | RM | C | DPF | |
|---|---|---|---|---|---|
| 1000 | 0.12 | 400 | −0.7 | ||
| 0.25 | 700 | −0.64 | |||
| 800 | 0.25 | 600 | −0.67 | ||
| 0.3 | 600 | −0.6 |
| Attack | G | Defense | APF | ||
|---|---|---|---|---|---|
| 1000 | 123 | 30 | 4.2 | ||
| 120 | 1.59 | ||||
| 800 | 200 | 30 | 3.9 | ||
| 205 | 1.57 |
| Attack | Defense | RM | C | DPF | |
|---|---|---|---|---|---|
| 1000 | 0.11 | 400 | −0.725 | ||
| 0.15 | 700 | −0.79 | |||
| 800 | 0.18 | 600 | −0.76 | ||
| 0.20 | 600 | −0.74 |
| Attack | G | Defense | APF | ||
|---|---|---|---|---|---|
| 1000 | 123 | 30 | 4.16 | ||
| 120 | 2.1 | ||||
| 1600 | 200 | 30 | 4.5 | ||
| 205 | 2.02 |
| −0.7, 4.2 | −0.67, 3.9 | |
| −0.64, 1.59 | −0.6, 1.57 |
| −0.725, 4.16 | −0.76, 4.5 | |
| −0.79, 2.1 | −0.74, 2.02 |
| Mixed Strategy Equalization | Type of Attacker/Defender | Mixed Strategy Bayesian–Nash Equilibrium Probability Distribution |
|---|---|---|
| Adventurous attacker | ||
| Conservative attacker | ||
| High-level defender | ||
| Primary defender |
Disclaimer/Publisher’s Note: The statements, opinions and data contained in all publications are solely those of the individual author(s) and contributor(s) and not of MDPI and/or the editor(s). MDPI and/or the editor(s) disclaim responsibility for any injury to people or property resulting from any ideas, methods, instructions or products referred to in the content. |
© 2024 by the authors. Licensee MDPI, Basel, Switzerland. This article is an open access article distributed under the terms and conditions of the Creative Commons Attribution (CC BY) license (https://creativecommons.org/licenses/by/4.0/).
Share and Cite
Miao, S.; Pan, Q. Risk Assessment of UAV Cyber Range Based on Bayesian–Nash Equilibrium. Drones 2024, 8, 556. https://doi.org/10.3390/drones8100556
Miao S, Pan Q. Risk Assessment of UAV Cyber Range Based on Bayesian–Nash Equilibrium. Drones. 2024; 8(10):556. https://doi.org/10.3390/drones8100556
Chicago/Turabian StyleMiao, Shangting, and Quan Pan. 2024. "Risk Assessment of UAV Cyber Range Based on Bayesian–Nash Equilibrium" Drones 8, no. 10: 556. https://doi.org/10.3390/drones8100556
APA StyleMiao, S., & Pan, Q. (2024). Risk Assessment of UAV Cyber Range Based on Bayesian–Nash Equilibrium. Drones, 8(10), 556. https://doi.org/10.3390/drones8100556

