Multi-Criteria Calibration of a Thermo-Mechanical Model of Steel Plate Welding in Vacuum
Abstract
1. Introduction
2. Materials and Methods
2.1. Experiments

2.2. Thermo-Mechanical Model
2.3. Finite-Element Desription
2.4. Computer Model
2.5. Optimization Model
fc(u) = [f1c(u), f2c(u), … , fvc(u), …, f4c(u)],
fe = [f1e, f2e, … , fve, …, f4e].
D = {u∈E5: G (f (u)) ≤ 0, u∈П},
2.6. Calculation Procedure
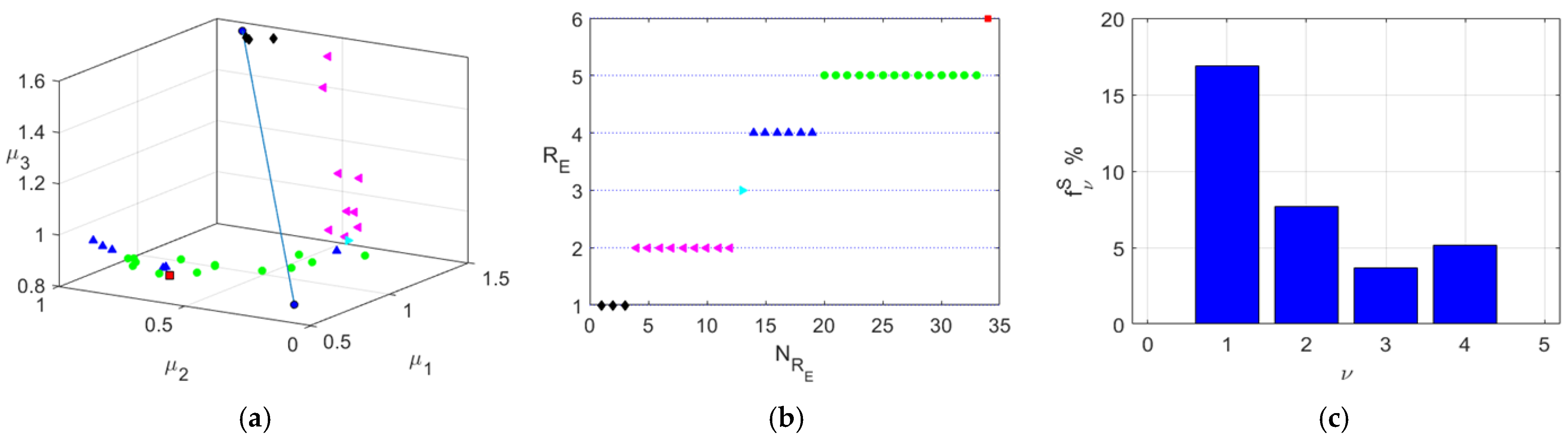
3. Results
4. Discussion
Author Contributions
Funding
Data Availability Statement
Conflicts of Interest
References
- Arata, Y.; Abe, N.; Oda, T.; Tsujii, N. Fundamental Phenomena during Vacuum Laser Welding. In Proceedings of the International Congress on Applications of Lasers & Electro-Optics, Boston, MA, USA, 12–15 November 1984; ASME: Boston, MA, USA, 1984; pp. 1–7. [Google Scholar] [CrossRef]
- Miller, H.C. A Review of Anode Phenomena in Vacuum Arcs. IEEE Trans. Plasma Sci. 1985, 13, 242–252. [Google Scholar] [CrossRef]
- Toya, H.; Hieda, K.; Saitou, T. Preliminary Study on Arc Welding in Vacuum. In Proceedings of the 2006 International Symposium on Discharges and Electrical Insulation in Vacuum, Matsue, Japan, 25–29 September 2006; pp. 762–765. [Google Scholar] [CrossRef]
- Ferdinandov, N.; Gospodinov, D.; Ilieva, M.; Dimitrov, S. Effect of the process parameters on mechanical properties of titanium alloy Ti-6Al-4V welds. In Proceedings of University of Ruse; “Angel Kanchev” University Publishing House: Ruse, Bulgaria, 2017; Volume 56, pp. 58–65. [Google Scholar]
- Hibbitt, H.; Marcal, P. A Numerical, Thermo-Mechanical Model for the Welding and Subsequent Loading of a Fabricated Structure. Comuters Struct. 1973, 3, 1145–1174. [Google Scholar] [CrossRef]
- Friedman, E. Thermomechanical Analysis of the Welding Process Using the Finite Element Method. Trans. ASME 1975, 97, 206–213. [Google Scholar] [CrossRef]
- Goldak, J.; Chakravarti, A.; Bibby, M. A New Finite Element Model for Welding Heat Sources. Metall. Trans. B 1984, 15B, 299–305. [Google Scholar] [CrossRef]
- Michaleris, P.; Debiccari, A. Prediction of Welding Distortion. Weld. J. 1996, 76, 172–181. [Google Scholar]
- Han, Y.; Lee, K.; Han, M.; Chang, H.; Choi, K.; Im, S. Finite Element Analysis of Welding Processes by Way of Hypoelasticity-Based Formulation. J. Eng. Mater. Technol. 2011, 133, 021003. [Google Scholar] [CrossRef]
- Fadaei, A.; Mokhtari, H. Finite Element Modeling and Experimental Study of Residual Stress in Repair Butt Weld of St-37 Plates. IJST Trans. Mechalical Eng. 2015, 39, 291–307. [Google Scholar]
- Nezamdost, M.; Efahani, M.; Hashemi, S.; Mirbozorgi, S. Investigation of Temperature and Residual Stresses Field of Submerged Arc Welding by Finite Element Method and Experiments. Int. J. Adv. Manuf. Technol. 2016, 87, 615–624. [Google Scholar] [CrossRef]
- Kik, T.; Górka, J. Numerical Simulations of Laser and Hybrid S700MC T-Joint Welding. Materials 2019, 12, 516. [Google Scholar] [CrossRef]
- Murthy, K.K.R.; Akyel, F.; Reisgen, U.; Olschok, S.; Mahendran, D. Modelling the Evolution of Phases during Laser Beam Welding of Stainless Steel with Low Transformation Temperature Combining Dilatometry Study and FEM. J. Manuf. Mater. Process. 2024, 8, 50. [Google Scholar] [CrossRef]
- Akrivos, V.; Muransky, O.; Depradeux, L.; Smith, M.C.; Vasileiou, A.; Deaconu, V.; Kapadia, P. On the Accurate Prediction of Residual Stress in a Three-Pass Slot Nickel-Base Repair Weld by Numerical Simulations. J. Manuf. Mater. Process. 2022, 6, 61. [Google Scholar] [CrossRef]
- Sumanlal, M.S.; Sarin, P.; Varghese, V.J. Three-Dimensional Finite Element Optimization of Bead Shape Developed during Tig Welding of Mild Steel. Int. J. Appl. Eng. Res. 2018, 13, 104–109. [Google Scholar]
- Bag, S.; Trivedi, A.; De, A. Use of a Multivariate Optimization Algorithm to Develop a Self-Consistent Numerical Heat Transfer Model for Laser Spot Welding. Int. J. Adv. Manuf. Technol. 2008, 38, 575–585. [Google Scholar] [CrossRef]
- Fu, G.; Gu, J.; Lourenco, M.I.; Duan, M.; Estefen, S.F. Parameter Determination of Double-Ellipsoidal Heat Source Model and Its Application in the Multi-Pass Welding Process. Ships Offshore Struct. 2015, 10, 204–217. [Google Scholar] [CrossRef]
- Belitzki, A.; Marder, C.; Huissel, A.; Zaeh, M.F. Automated Heat Source Calibration for the Numerical Simulation of Laser Beam Welded Components. Prod. Eng. 2016, 10, 129–136. [Google Scholar] [CrossRef]
- Walker, T.R.; Bennett, C.J. An Automated Inverse Method to Calibrate Thermal Finite Element Models for Numerical Welding Applications. J. Manuf. Process. 2019, 47, 263–283. [Google Scholar] [CrossRef]
- Escribano-García, R.; Álvarez, P.; Marquez-Monje, D. Calibration of Finite Element Model of Titanium Laser Welding by Fractional Factorial Design. J. Manuf. Mater. Process. 2022, 6, 130. [Google Scholar] [CrossRef]
- Hartwig, P.; Bakir, N.; Scheunemann, L.; Gumenyuk, A.; Schröder, J.; Rethmeier, M.A. Physically Motivated Heat Source Model for Laser Beam Welding. Metals 2024, 14, 430. [Google Scholar] [CrossRef]
- Statnikov, R.B.; Matusov, I.B. Solved tasks of multi-criteria identification and refinement of experimental samples. Probl. Mech. Eng. Mach. Reliab. 2012, 20–29. [Google Scholar]
- ISO/TS 18166:2016; Numerical Welding Simulation—Execution and Documentation. ISO: Geneva, Switzerland, 2016.
- Strychek, Y.; Antoniak, P.; Lurie, Z.Y.; Solovyov, V.M. Determination of unknown parameters of a gear pump external gearing by solving the inverse problem of multi-criteria identification. Ind. Hydraul. Pneum. 2017, 57–69. (In Russian) [Google Scholar]
- Kovalenko, D.V.; Pavlyak, D.A.; Sudnik, V.A.; Kovalenko, I.V. Adequacy of the thermo-hydrodynamic model of through penetration in TIG and A-TIG welding of Nimonic-75 nickel alloy. Autom. Weld. 2010, pp. 5–9. Available online: https://patonpublishinghouse.com/eng/journals/tpwj/2010/10/01 (accessed on 1 August 2024).
- Yadaiah, N.; Bag, S. Effect of Heat Source Parameters in Thermal and Mechanical Analysis of Linear GTA Welding Process. ISIJ Int. 2012, 52, 2069–2075. [Google Scholar] [CrossRef]
- Bradáč, J. Calibration of Heat Source Model in Numerical Simulations of Fusion Welding. Mach. Technol. Mater. 2013, pp. 9–12. Available online: https://mech-ing.com/journal/Archive/2013/11/76_Bradac.pdf (accessed on 1 August 2024).
- Yakimenko, O.A.; Statnikov, R.B. Multicriteria Parametrical Identification of the Parafoil-Load Delivery System. In Proceedings of the 18th AIAA Aerodynamic Decelerator Systems Technology Conference and Seminar, Munich, Germany, 23–26 May 2005. AIAA 2005-1664. [Google Scholar] [CrossRef][Green Version]
- Sobol, I.M.; Statnikov, R.B. Selection of Optimal Parameters in Tasks with Many Criteria; Drofa: Moscow, Russia, 2006. (In Russian) [Google Scholar]
- Statnikov, R.B.; Statnikov, A.R. The Parameter Space Investigation Method Toolkit; Artech House: Boston, MA, USA; London, UK, 2011. [Google Scholar]
- Lu, Y.; Blal, N.; Gravouil, A. Space-Time POD Based Computational Vademecums for Parametric Studies: Application to Thermo-Mechanical Problems. Adv. Model. Simul. Eng. Sci. 2018, 5, 3. [Google Scholar] [CrossRef]
- Chinesta, F.; Leygue, A.; Bordeu, F.; Aguado, J.; Cueto, E.; Gonzalez, D.; Alfaro, I.; Ammar, A.; Huerta, A. PGD-Based Computational Vademecum for Efficient Design. Optim. Control. Arch. Comput. Methods Eng. 2013, 20, 31–59. [Google Scholar] [CrossRef]
- EN 10025-2:2005; Hot Rolled Products of Structural Steels—Part 2: Technical Delivery Conditions for Non-Alloy Structural Steels. 2005. Available online: https://www.fushunspecialsteel.com/wp-content/uploads/2015/09/EN-10025-Hot-rolled-products-of-structural-steels-Part-2-Technical-delivery-conditions-for-non-alloy-structure-steel-.pdf (accessed on 1 August 2024).
- Draganov, I.; Ferdinandov, N.; Gospodinov, D.; Radev, R.; Mileva, S.; Angelov, Y. Numerical modeling and calibration of steel plate welding in vacuum. Proceedings of University of Ruse 2019, Volume 58, 65–73. [Google Scholar]
- Bergheau, J.-M.; Fortunier, R. Finite Element Simulation of Heat Transfer; John Wiley & Sons, Inc.: Hoboken, NJ, USA, 2008. [Google Scholar]
- ABAQUS. Analysis User’s Manual, Version 6.14; Dassault Systemes Simulia, Inc.: Providence, RI, USA, 2014. [Google Scholar]
- Milkowska-Piszczek, K.; Korolczuk-Hejnak, M. An Analysis of The Influence of Viscosity on The Numerical Simulations of Temperature Distribution as Demonstrated The CC Process. Arch. Metall. Mater. 2011, 58, 1267–1274. [Google Scholar] [CrossRef][Green Version]
- Muhtarov, I. Residual Stresses in Thin Stainless Steel Plates Subject to TIG Welding. In Proceedings of the BulTrans, Sozopol, Bulgaria, 27–30 September 2011; pp. 246–2011. Available online: http://bultrans.org/files/proceedings/bultrans-2011.pdf (accessed on 1 August 2024).
- Miettinen, K. Nonlinear Multiobjective Optimization, 2nd ed.; Springer: New York, NY, USA, 2012. [Google Scholar]
- Yordanov, Y.T.; Vitliemov, V.G. Optimization with MATLAB. A Pragmatic Approach; “Angel Kanchev” University Publishing House: Ruse, Bulgaria, 2013. (In Bulgarian) [Google Scholar]
- Cheshankov, B.I.; Ivanov, I.V.; Vitliemov, V.G.; Koev, P.A. PSI-Method Multi-Criteria Optimization Contracting the Set of Trade-Off Solutions. In Proceedings of the 15th International Conference on Systems Science, Wrozlaw, Poland, 7–10 September 2004; Volume 1, pp. 281–288. [Google Scholar]
- Salukvadze, M.E. Vector-Valued Optimization Problems in Optimal Control Theory, 2nd ed.; Academic Press: New York, NY, USA, 2012. [Google Scholar]
- Huang, H.; Murakawa, H.A. Selective Integration-Based Adaptive Mesh Refinement Approach for Accurate and Efficient Welding Process Simulation. J. Manuf. Mater. Process. 2023, 7, 206. [Google Scholar] [CrossRef]









| Dimensions | Designation | Value, mm |
|---|---|---|
| Width of the WP | f1e | 4.30 |
| Depth of WP | f2e | 1.65 |
| Width of HAZ | f3e | 8.40 |
| Depth of HAZ | f4e | 2.80 |
| Material Properties | Temperature, °C | Value |
|---|---|---|
| Thermal conductivity, W/mK | 20 | 40 |
| 1300 | 30 | |
| 1600 | 120 | |
| Specific heat capacity, J/kgK | 20 | 400 |
| 1540 | 600 | |
| Modulus of elasticity, GPa | 20 | 210 |
| 1500 | 5 | |
| Poisson’s ratio, | 20 … 1600 | 0.27 |
| Coefficient of temperature expansion, K−1 | 20 | 1.25 × 10–6 |
| 1500 | 1.65 × 10–6 | |
| Yield strength, MPa | 20 | 235 |
| 500 | 100 | |
| 1000 | 50 |
| Phase Transformations | Latent Heat, kJ | Lower Limit, °C | Upper Limit, °C |
|---|---|---|---|
| (α–γ) transition | 55 | 700 | 800 |
| Solid phase—liquid phase | 150 | 1450 | 1650 |
| uj | Designation | Values | ||
|---|---|---|---|---|
| uj– | uj | uj+ | ||
| u1 | Depthrelated calibration parameter—k | 3.00 | 5.00 | 8.00 |
| u2 | Calibration parameter related to the width—l | 1.00 | 2.00 | 3.00 |
| u3 | Calibration parameter related to length—m | 3.00 | 5.00 | 8.00 |
| u4 | Arc density factor in front of the center of the HF | 1.00 | 1.20 | 1.60 |
| u5 | Arc efficiency | 0.40 | 0.46 | 0.52 |
| Variant | δfv+, % |
|---|---|
| V1 | 20 |
| V2 | 15 |
| V3 | 13 |
| RE | f1* R | f2* R | f3* R | f4* R |
|---|---|---|---|---|
| 6 | 12.471 | 10.487 | 4.746 | 11.017 |
| 4 | 9.738 | 12.169 | 5.203 | 11.827 |
| 2 | 11.601 | 12.988 | 4.758 | 10.537 |
| RE | u1* R | u2* R | u3* R | u4* R | u5* R |
|---|---|---|---|---|---|
| 6 | 3.469 | 1.938 | 7.219 | 1.244 | 0.434 |
| 4 | 5.734 | 2.531 | 3.547 | 1.047 | 0.424 |
| 2 | 5.383 | 2.391 | 7.961 | 1.098 | 0.438 |
Disclaimer/Publisher’s Note: The statements, opinions and data contained in all publications are solely those of the individual author(s) and contributor(s) and not of MDPI and/or the editor(s). MDPI and/or the editor(s) disclaim responsibility for any injury to people or property resulting from any ideas, methods, instructions or products referred to in the content. |
© 2024 by the authors. Licensee MDPI, Basel, Switzerland. This article is an open access article distributed under the terms and conditions of the Creative Commons Attribution (CC BY) license (https://creativecommons.org/licenses/by/4.0/).
Share and Cite
Draganov, I.; Vitliemov, V.; Angelov, Y.; Mileva, S.; Ferdinandov, N.; Gospodinov, D.; Radev, R. Multi-Criteria Calibration of a Thermo-Mechanical Model of Steel Plate Welding in Vacuum. J. Manuf. Mater. Process. 2024, 8, 225. https://doi.org/10.3390/jmmp8050225
Draganov I, Vitliemov V, Angelov Y, Mileva S, Ferdinandov N, Gospodinov D, Radev R. Multi-Criteria Calibration of a Thermo-Mechanical Model of Steel Plate Welding in Vacuum. Journal of Manufacturing and Materials Processing. 2024; 8(5):225. https://doi.org/10.3390/jmmp8050225
Chicago/Turabian StyleDraganov, Ivo, Venko Vitliemov, Yuliyan Angelov, Stiliyana Mileva, Nikolay Ferdinandov, Danail Gospodinov, and Rossen Radev. 2024. "Multi-Criteria Calibration of a Thermo-Mechanical Model of Steel Plate Welding in Vacuum" Journal of Manufacturing and Materials Processing 8, no. 5: 225. https://doi.org/10.3390/jmmp8050225
APA StyleDraganov, I., Vitliemov, V., Angelov, Y., Mileva, S., Ferdinandov, N., Gospodinov, D., & Radev, R. (2024). Multi-Criteria Calibration of a Thermo-Mechanical Model of Steel Plate Welding in Vacuum. Journal of Manufacturing and Materials Processing, 8(5), 225. https://doi.org/10.3390/jmmp8050225

