Thermoplastic Polyurethane/Lead Zirconate Titanate/Carbon Nanotube Composites with Very High Dielectric Permittivity and Low Dielectric Loss
Abstract
1. Introduction
2. Materials and Methods
2.1. Materials
2.2. Sample Preparation
2.3. Characterization
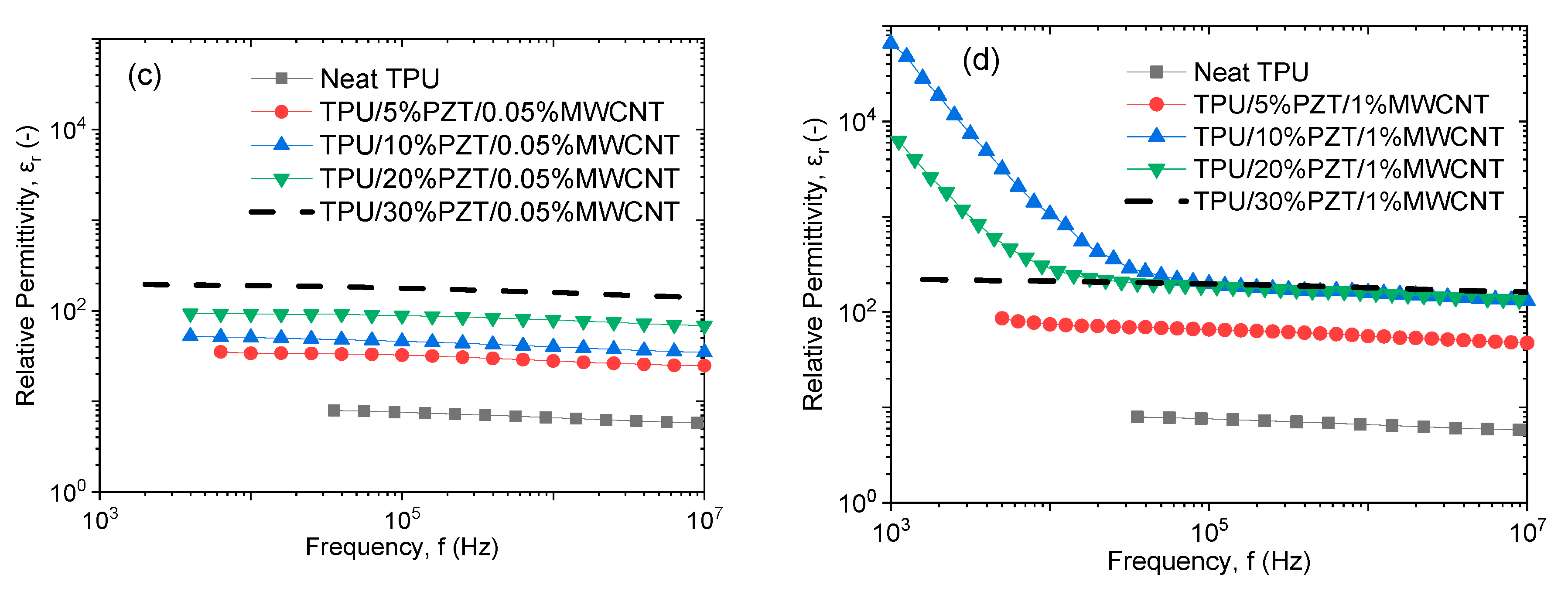
3. Results and Discussion
3.1. Microstructure
3.2. Electrical Conductivity
3.3. Dielectric Properties
4. Conclusions
Author Contributions
Funding
Conflicts of Interest
References
- Kim, J.B.; Yi, J.W.; Nam, J.E. Dielectric polymer matrix composite films of CNT coated with anatase TiO2. Thin Solid Film. 2011, 519, 5050–5055. [Google Scholar] [CrossRef]
- Yang, T.I.; Brown, R.N.C.; Kempel, L.C.; Kofinas, P. Controlled synthesis of core-shell iron-silica nanoparticles and their magneto-dielectric properties in polymer composites. Nanotechnology 2011, 22. [Google Scholar] [CrossRef] [PubMed]
- Zhang, Y.; Wang, Y.; Deng, Y.; Li, M.; Bai, J. Enhanced dielectric properties of ferroelectric polymer composites induced by metal-semiconductor Zn-ZnO core-shell structure. ACS Appl. Mater. Interfaces 2012, 4, 65–68. [Google Scholar] [CrossRef] [PubMed]
- Yousefi, N.; Sun, X.; Lin, X.; Shen, X.; Jia, J.; Zhang, B.; Tang, B.; Chan, M.; Kim, J.K. Highly aligned graphene/polymer nanocomposites with excellent dielectric properties for high-performance electromagnetic interference shielding. Adv. Mater. 2014, 26, 5480–5487. [Google Scholar] [CrossRef]
- Ameli, A.; Nofar, M.; Park, C.B.; Pötschke, P.; Rizvi, G. Polypropylene/carbon nanotube nano/microcellular structures with high dielectric permittivity, low dielectric loss, and low percolation threshold. Carbon N. Y. 2014, 71, 206–217. [Google Scholar] [CrossRef]
- Dang, Z.M.; Lin, Y.H.; Nan, C.W. Novel Ferroelectric Polymer Composites with High Dielectric Constants. Adv. Mater. 2003, 15, 1625–1629. [Google Scholar] [CrossRef]
- Toupin, M.; Brousse, T.; Bélanger, D. Charge storage mechanism of MnO2 electrode used in aqueous electrochemical capacitor. Chem. Mater. 2004, 16, 3184–3190. [Google Scholar] [CrossRef]
- Simon, P.; Gogotsi, Y. Materials for electrochemical capacitors. Nat. Mater. Nat. Publ. Gr. 2008, 7, 845–854. [Google Scholar] [CrossRef]
- Zhang, L.L.; Zhao, X.S. Carbon-based materials as supercapacitor electrodes. Chem. Soc. Rev. 2009, 38, 2520–2531. [Google Scholar] [CrossRef] [PubMed]
- Landi, B.J.; Raffaelle, R.P.; Heben, M.J.; Alleman, J.L.; VanDerveer, W.; Gennett, T. Single Wall Carbon Nanotube—Nafion Composite Actuators. Nano Lett. 2002, 2, 1329–1332. [Google Scholar] [CrossRef]
- Wu, G.; Hu, Y.; Liu, Y.; Zhao, J.; Chen, X.; Whoehling, V.; Plesse, C.; Nguyen, G.T.M.; Vidal, F.; Chen, W. Graphitic carbon nitride nanosheet electrode-based high-performance ionic actuator. Nat. Commun. 2015, 6. [Google Scholar] [CrossRef] [PubMed]
- Guo, W.; Guo, Y. Giant axial electrostrictive deformation in carbon nanotubes. Phys. Rev. Lett. 2003, 91, 3–6. [Google Scholar] [CrossRef] [PubMed]
- Smela, E. Conjugated polymer actuators for biomedical applications. Adv. Mater. 2003, 15, 481–494. [Google Scholar] [CrossRef]
- Shahinpoor, M.; Kim, K.J. Ionic polymer-metal composites: IV. Industrial and medical applications. Smart Mater. Struct. 2005, 14, 197–214. [Google Scholar] [CrossRef]
- Li, N.; Huang, Y.; Du, F.; He, X.; Lin, X.; Gao, H.; Ma, Y.; Li, F.; Chen, Y.; Eklund, P.C. Electromagnetic Interference (EMI) shielding of single-walled carbon nanotube epoxy composites. Nano Lett. 2006, 6, 1141–1145. [Google Scholar] [CrossRef]
- Ameli, A.; Jung, P.U.; Park, C.B. Electrical properties and electromagnetic interference shielding effectiveness of polypropylene/carbon fiber composite foams. Carbon N. Y. 2013, 60, 379–391. [Google Scholar] [CrossRef]
- Chung, D.D.L. Carbon materials for structural self-sensing, electromagnetic shielding and thermal interfacing. Carbon N. Y. 2012, 50, 3342–3353. [Google Scholar] [CrossRef]
- Yu, A.; Hu, H.; Bekyarova, E.; Itkis, M.E.; Gao, J.; Zhao, B.; Haddon, R.C. Incorporation of highly dispersed single-walled carbon nanotubes in a polyimide matrix. Compos. Sci. Technol. 2006, 66, 1190–1197. [Google Scholar] [CrossRef]
- Kwon, J.; Kim, H. Comparison of the properties of waterborne polyurethane/multiwalled carbon nanotube and acid-treated multiwalled carbon nanotube composites prepared by in situ polymerization. J. Polym. Sci. Part A Polym. Chem. 2005, 43, 3973–3985. [Google Scholar] [CrossRef]
- Mattiat, O.E. Ultrasonic Transducer Materials; Springer Science & Business Media: Berlin, Germany, 2013. [Google Scholar]
- Zhang, S.; Xia, R.; Shrout, T.R. Lead-free piezoelectric ceramics vs. PZT? J. Electroceram. 2007, 19, 251–257. [Google Scholar] [CrossRef]
- Arbatti, M.; Shan, X.; Cheng, Z. Ceramic-polymer composites with high dielectric constant. Adv. Mater. 2007, 19, 1369–1372. [Google Scholar] [CrossRef]
- Lu, J.; Wong, C.P. Polymer nanocomposites with high dielectric strength and high frequency performance for emdedded passive applications. In Proceedings of the PORTABLE-POLYTRONIC 2008—2nd IEEE International Interdisciplinary Conference on Portable Information Devices and the 2008 7th IEEE Conference on Polymers and Adhesives in Microelectronics and Photonics, Garmish-Partenkirchen, Germany, 17–20 August 2008. [Google Scholar] [CrossRef]
- Jayasundere, N.; Smith, B.V. Dielectric constant for binary piezoelectric 0-3 composites. J. Appl. Phys. 1993, 73, 2462–2466. [Google Scholar] [CrossRef]
- Decker, R.; Heinrich, M.; Tröltzsch, J.; Rhein, S.; Gebhardt, S.; Michaelis, A.; Kroll, L. Development and characterization of piezo-active polypropylene compounds filled with PZT and CNT. In Proceedings of the 5th Scientific Symposium CRC/Transregio, Dresden, Germany, 14–16 September 2015; pp. 59–64. [Google Scholar]
- Vyas, P.; Prajapat, R.; Manmeeta, A.; Saxena, D. Study of dielectric and piezoelectric properties of CNT reinforced PZT-PVA 0-3 composite. AIP Conf. Proc. 2016, 1728, 020341. [Google Scholar] [CrossRef]
- Guan, X.; Zhang, Y.; Li, H.; Ou, J. PZT/PVDF composites doped with carbon nanotubes. Sens. Actuators A Phys. 2013, 194, 228–231. [Google Scholar] [CrossRef]
- Sakamoto, W.K.; Marin-Franch, P.; Das-Gupta, D.K. Characterization and application of PZT/PU and graphite doped PZT/PU composite. Sens. Actuators A Phys. 2002, 100, 165–174. [Google Scholar] [CrossRef]
- Zhou, W.; Kou, Y.; Yuan, M.; Li, B.; Cai, H.; Li, Z.; Chen, F.; Liu, X.; Wang, G.; Chen, Q.; et al. Polymer composites filled with core@double-shell structured fillers: Effects of multiple shells on dielectric and thermal properties. Compos. Sci. Technol. 2019, 181. [Google Scholar] [CrossRef]
- Dang, Z.M.; Wang, L.; Yin, Y.; Zhang, Q.; Lei, Q.Q. Giant dielectric permittivities in functionalized carbon-nanotube/electroactive-polymer nanocomposites. Adv. Mater. 2007, 19, 852–857. [Google Scholar] [CrossRef]
- Gao, J.; Asadi, K.; Xu, J.B.; An, J. Controlling of the surface energy of the gate dielectric in organic field-effect transistors by polymer blend. Appl. Phys. Lett. 2009, 94. [Google Scholar] [CrossRef]
- Ameli, A.; Wang, S.; Kazemi, Y.; Park, C.B.; Pötschke, P. A facile method to increase the charge storage capability of polymer nanocomposites. Nano Energy 2015, 15, 54–65. [Google Scholar] [CrossRef]
- Arjmand, M.; Mahmoodi, M.; Park, S.; Sundararaj, U. An innovative method to reduce the energy loss of conductive filler/polymer composites for charge storage applications. Compos. Sci. Technol. 2013, 78, 24–29. [Google Scholar] [CrossRef]
- Wang, B.; Liu, L.; Huang, L.; Chi, L.; Liang, G.; Yuan, L.; Gu, A. Fabrication and origin of high-k carbon nanotube/epoxy composites with low dielectric loss through layer-by-layer casting technique. Carbon N. Y. 2015, 85, 28–37. [Google Scholar] [CrossRef]
- Arjmand, M.; Sadeghi, S.; Khajehpour, M.; Sundararaj, U. Carbon nanotube/graphene nanoribbon/polyvinylidene fluoride hybrid nanocomposites: Rheological and dielectric properties. J. Phys. Chem. C 2017, 121, 169–181. [Google Scholar] [CrossRef]
- Ameli, A.; Arjmand, M.; Pötschke, P.; Krause, B.; Sundararaj, U. Effects of synthesis catalyst and temperature on broadband dielectric properties of nitrogen-doped carbon nanotube/polyvinylidene fluoride nanocomposites. Carbon N. Y. 2016, 106, 260–278. [Google Scholar] [CrossRef]
- Shen, Y.; Lin, Y.; Li, M.; Nan, C.W. High dielectric performance of polymer composite films induced by a percolating interparticle barrier layer. Adv. Mater. 2007, 19, 1418–1422. [Google Scholar] [CrossRef]
- Czerw, R.; Guo, Z.; Ajayan, P.M.; Sun, Y.P.; Carroll, D.L. Organization of Polymers onto Carbon Nanotubes: A Route to Nanoscale Assembly. Nano Lett. 2001, 1, 423–427. [Google Scholar] [CrossRef]
- Yao, S.H.; Yuan, J.K.; Dang, Z.M.; Bai, J. High dielectric performance of three-component nanocomposites induced by a synergetic effect. Mater. Lett. 2010, 64, 2682–2684. [Google Scholar] [CrossRef]
- Zhu, J.; Ji, X.; Yin, M.; Guo, S.; Shen, J. Poly (vinylidene fluoride) based percolative dielectrics with tunable coating of polydopamine on carbon nanotubes: Toward high permittivity and low dielectric loss. Compos. Sci. Technol. 2017, 144, 79–88. [Google Scholar] [CrossRef]
- Wan, Y.J.; Zhu, P.L.; Yu, S.H.; Yang, W.H.; Sun, R.; Wong, C.P.; Liao, W.H. Barium titanate coated and thermally reduced graphene oxide towards high dielectric constant and low loss of polymeric composites. Compos. Sci. Technol. 2017, 141, 48–55. [Google Scholar] [CrossRef]
- Carponcin, D.; Dantras, E.; Dandurand, J.; Aridon, G.; Levallois, F.; Cadiergues, L.; Lacabanne, C. Electrical and piezoelectric behavior of polyamide/PZT/CNT multifunctional nanocomposites. Adv. Eng. Mater. 2014, 16, 1018–1025. [Google Scholar] [CrossRef]
- Shayesteh Zeraati, A.; Mirkhani, S.A.; Sundararaj, U. Enhanced Dielectric Performance of Polymer Nanocomposites Based on CNT/MnO2 Nanowire Hybrid Nanostructure. J. Phys. Chem. C 2017, 121, 8327–8334. [Google Scholar] [CrossRef]
- Ma, M.; Wang, X. Preparation, microstructure and properties of epoxy-based composites containing carbon nanotubes and PMN-PZT piezoceramics as rigid piezo-damping materials. Mater. Chem. Phys. 2009, 116, 191–197. [Google Scholar] [CrossRef]
- McCall, W.R.; Kim, K.; Heath, C.; La Pierre, G.; Sirbuly, D.J. Piezoelectric nanoparticle-polymer composite foams. ACS Appl. Mater. Interfaces 2014, 6, 19504–19509. [Google Scholar] [CrossRef]
- Zeraati, A.S.; Arjmand, M.; Sundararaj, U. Silver Nanowire/MnO2 Nanowire Hybrid Polymer Nanocomposites: Materials with High Dielectric Permittivity and Low Dielectric Loss. ACS Appl. Mater. Interfaces 2017, 9, 14328–14336. [Google Scholar] [CrossRef]
- Zhu, X.; Yang, J.; Dastan, D.; Garmestani, H.; Fan, R.; Shi, Z. Fabrication of core-shell structured Ni@BaTiO3 scaffolds for polymer composites with ultrahigh dielectric constant and low loss. Compos. Part A Appl. Sci. Manuf. 2019, 125, 105521. [Google Scholar] [CrossRef]
- McNally, T.; Boyd, P.; McClory, C.; Bien, D.; Moore, I.; Millar, B.; Davidson, J.; Carroll, T. Recycled carbon fiber filled polyethylene composites. J. Appl. Polym. Sci. 2008, 107, 2015–2021. [Google Scholar] [CrossRef]
- Han, H.; Wang, X.; Wu, D. Mechanical properties, morphology and crystallization kinetic studies of bio-based thermoplastic composites of poly(butylene succinate) with recycled carbon fiber. J. Chem. Technol. Biotechnol. 2013, 88, 1200–1211. [Google Scholar] [CrossRef]
- Ameli, A.; Nofar, M.; Wang, S.; Park, C.B. Lightweight polypropylene/stainless-steel fiber composite foams with low percolation for efficient electromagnetic interference shielding. ACS Appl. Mater. Interfaces 2014, 6, 11091–11100. [Google Scholar] [CrossRef]
- Chen, C.S.; Chen, W.R.; Chen, S.C.; Chien, R. Der Optimum injection molding processing condition on EMI shielding effectiveness of stainless steel fiber filled polycarbonate composite. Int. Commun. Heat Mass Transf. 2008, 35, 744–749. [Google Scholar] [CrossRef]
- Amjadi, M.; Pichitpajongkit, A.; Lee, S.; Ryu, S.; Park, I. Highly stretchable and sensitive strain sensor based on silver nanowire-elastomer nanocomposite. ACS Nano 2014, 8, 5154–5163. [Google Scholar] [CrossRef]
- Pompe, G.; Pohlers, A.; Pötschke, P.; Pionteck, J. Influence of processing conditions on the multiphase structure of segmented polyurethane. Polymer 1998, 39, 5147–5153. [Google Scholar] [CrossRef]
- Jagadish, K.; Srikantaswamy, S.; Byrappa, K.; Shruthi, L.; Abhilash, M.R. Dispersion of Multiwall Carbon Nanotubes in Organic Solvents through Hydrothermal Supercritical Condition. J. Nanomater. 2015, 2015. [Google Scholar] [CrossRef]
- Pang, H.; Xu, L.; Yan, D.X.; Li, Z.M. Conductive polymer composites with segregated structures. Prog. Polym. Sci. 2014, 39, 1908–1933. [Google Scholar] [CrossRef]
- Kazemi, Y.; Ramezani Kakroodi, A.; Ameli, A.; Filleter, T.; Park, C.B. Highly stretchable conductive thermoplastic vulcanizate/carbon nanotube nanocomposites with segregated structure, low percolation threshold and improved cyclic electromechanical performance. J. Mater. Chem. C 2018, 6, 350–359. [Google Scholar] [CrossRef]
- Timsit, R.S. Electrical contact resistance_ properties of stationary interfaces. In Proceedings of the IEEE Transactions on Components and Packaging Technologies, Arlington, VA, USA, 26–28 October 1998; Volume 22, pp. 85–98. [Google Scholar] [CrossRef]
- Xiao, Y.J.; Wang, W.Y.; Lin, T.; Chen, X.J.; Zhang, Y.T.; Yang, J.H.; Wang, Y.; Zhou, Z.W. Largely Enhanced Thermal Conductivity and High Dielectric Constant of Poly(vinylidene fluoride)/Boron Nitride Composites Achieved by Adding a Few Carbon Nanotubes. J. Phys. Chem. C 2016, 120, 6344–6355. [Google Scholar] [CrossRef]
- Jiang, M.J.; Dang, Z.M.; Bozlar, M.; Miomandre, F.; Bai, J. Broad-frequency dielectric behaviors in multiwalled carbon nanotube/rubber nanocomposites. J. Appl. Phys. 2009, 106. [Google Scholar] [CrossRef]
- Yuan, J.K.; Yao, S.H.; Dang, Z.M.; Sylvestre, A.; Genestoux, M.; Bai, J. Giant dielectric permittivity nanocomposites: Realizing true potential of pristine carbon nanotubes in polyvinylidene fluoride matrix through an enhanced interfacial interaction. J. Phys. Chem. C 2011, 115, 5515–5521. [Google Scholar] [CrossRef]
- Dang, Z.M.; Yao, S.H.; Yuan, J.K.; Bai, J. Tailored dielectric properties based on microstructure change in batio 3-carbon nanotube/polyvinylidene fluoride three-phase nanocomposites. J. Phys. Chem. C 2010, 114, 13204–13209. [Google Scholar] [CrossRef]
- Gupta, S.; Runqing, O.U.; Gerhardt, R.A. Effect of the fabrication method on the electrical properties of poly(acrylonitrile-co-butadiene-co-styrene)/carbon black composites. J. Electron. Mater. 2006, 35, 224–229. [Google Scholar] [CrossRef]
- Kyrylyuk, A.V.; Hermant, M.C.; Schilling, T.; Klumperman, B.; Koning, C.E.; Van Der Schoot, P. Controlling electrical percolation in multicomponent carbon nanotube dispersions. Nat. Nanotechnol. 2011, 6, 364–369. [Google Scholar] [CrossRef]
- Jurewicz, I.; Worajittiphon, P.; King, A.A.K.; Sellin, P.J.; Keddie, J.L.; Dalton, A.B. Locking carbon nanotubes in confined lattice geometries—A route to low percolation in conducting composites. J. Phys. Chem. B 2011, 115, 6395–6400. [Google Scholar] [CrossRef]
- Linares, A.; Canalda, J.C.; Cagiao, M.E.; Ezquerra, T.A. Conducting nanocomposites based on polyamide 6,6 and carbon nanofibers prepared by cryogenic grinding. Compos. Sci. Technol. 2011, 71, 1348–1352. [Google Scholar] [CrossRef]
- Ameli, A.; Kazemi, Y.; Wang, S.; Park, C.B.; Pötschke, P. Process-microstructure-electrical conductivity relationships in injection-molded polypropylene/carbon nanotube nanocomposite foams. Compos. Part A Appl. Sci. Manuf. 2017, 96, 28–36. [Google Scholar] [CrossRef]
- Antunes, M.; Mudarra, M.; Velasco, J.I. Broad-band electrical conductivity of carbon nanofibre-reinforced polypropylene foams. Carbon N. Y. 2011, 49, 708–717. [Google Scholar] [CrossRef]
- Koerner, H.; Liu, W.; Alexander, M.; Mirau, P.; Dowty, H.; Vaia, R.A. Deformation-morphology correlations in electrically conductive carbon nanotube—Thermoplastic polyurethane nanocomposites. Polymer 2005, 46, 4405–4420. [Google Scholar] [CrossRef]
- Gojny, F.H.; Wichmann, M.H.G.; Fiedler, B.; Kinloch, I.A.; Bauhofer, W.; Windle, A.H.; Schulte, K. Evaluation and identification of electrical and thermal conduction mechanisms in carbon nanotube/epoxy composites. Polymer 2006, 47, 2036–2045. [Google Scholar] [CrossRef]
- Dang, Z.M.; Yuan, J.K.; Zha, J.W.; Zhou, T.; Li, S.T.; Hu, G.H. Fundamentals, processes and applications of high-permittivity polymer-matrix composites. Prog. Mater. Sci. 2012, 57, 660–723. [Google Scholar] [CrossRef]
- Chekanov, Y.; Ohnogi, R.; Asai, S.; Sumita, M. Electrical properties of epoxy resin filled with carbon fibers. J. Mater. Sci. 1999, 34, 5589–5592. [Google Scholar] [CrossRef]
- Sichel, E.K.; Gittleman, J.I.; Sheng, P. Transport properties of the composite material carbon-poly(vinyl chloride). Phys. Rev. B 1978, 18, 5712–5716. [Google Scholar] [CrossRef]
- Arjmand, M.; Ameli, A.; Sundararaj, U. Employing Nitrogen Doping as Innovative Technique to Improve Broadband Dielectric Properties of Carbon Nanotube/Polymer Nanocomposites. Macromol. Mater. Eng. 2016, 301, 555–565. [Google Scholar] [CrossRef]
- Gong, S.; Zhu, Z.H.; Meguid, S.A. Carbon nanotube agglomeration effect on piezoresistivity of polymer nanocomposites. Polymer 2014, 55, 5488–5499. [Google Scholar] [CrossRef]
- Gbaguidi, A.; Namilae, S.; Kim, D. Stochastic percolation model for the effect of nanotube agglomeration on the conductivity and piezoresistivity of hybrid nanocomposites. Comput. Mater. Sci. 2019, 166, 9–19. [Google Scholar] [CrossRef]
- Li, J.; Ma, P.C.; Chow, W.S.; To, C.K.; Tang, B.Z.; Kim, J.K. Correlations between percolation threshold, dispersion state, and aspect ratio of carbon nanotubes. Adv. Funct. Mater. 2007, 17, 3207–3215. [Google Scholar] [CrossRef]
- Alger, M. Polymer Science Dictionary; Springer Science & Business Media: Berlin, Germany, 1996. [Google Scholar]
- Tamura, R.; Lim, E.; Manaka, T.; Iwamoto, M. Analysis of pentacene field effect transistor as a Maxwell-Wagner effect element. J. Appl. Phys. 2006, 100. [Google Scholar] [CrossRef]
- Mahmoodi, M.; Arjmand, M.; Sundararaj, U.; Park, S. The electrical conductivity and electromagnetic interference shielding of injection molded multi-walled carbon nanotube/polystyrene composites. Carbon N. Y. 2012, 50, 1455–1464. [Google Scholar] [CrossRef]
- Panwar, V.; Park, J.O.; Park, S.H.; Kumar, S.; Mehra, R.M. Electrical, dielectric, and electromagnetic shielding properties of polypropylene-graphite composites. J. Appl. Polym. Sci. 2010, 115, 1306–1314. [Google Scholar]
- Chen, J.; Wang, X.; Yu, X.; Yao, L.; Duan, Z.; Fan, Y.; Jiang, Y.; Zhou, Y.; Pan, Z. High dielectric constant and low dielectric loss poly(vinylidene fluoride) nanocomposites: Via a small loading of two-dimensional Bi2Te3@Al2O3 hexagonal nanoplates. J. Mater. Chem. C 2018, 6, 271–279. [Google Scholar] [CrossRef]
- Wang, L.; Dang, Z.M. Carbon nanotube composites with high dielectric constant at low percolation threshold. Appl. Phys. Lett. 2005, 87, 2003–2006. [Google Scholar] [CrossRef]
- Kazemi, Y.; Kakroodi, A.R.; Wang, S.; Ameli, A.; Filleter, T.; Pötschke, P.; Park, C.B. Conductive network formation and destruction in polypropylene/carbon nanotube composites via crystal control using supercritical carbon dioxide. Polymer 2017, 129, 179–188. [Google Scholar] [CrossRef]
- Hu, T.; Juuti, J.; Jantunen, H.; Vilkman, T. Dielectric properties of BST/polymer composite. J. Eur. Ceram. Soc. 2007, 27, 3997–4001. [Google Scholar] [CrossRef]
- Wu, Y.; Lin, X.; Shen, X.; Sun, X.; Liu, X.; Wang, Z.; Kim, J.K. Exceptional dielectric properties of chlorine-doped graphene oxide/poly (vinylidene fluoride) nanocomposites. Carbon N. Y. 2015, 89, 102–112. [Google Scholar] [CrossRef]
- Xie, L.; Huang, X.; Yang, K.; Li, S.; Jiang, P. “Grafting to” route to PVDF-HFP-GMA/BaTiO3 nanocomposites with high dielectric constant and high thermal conductivity for energy storage and thermal management applications. J. Mater. Chem. A 2014, 2, 5244–5251. [Google Scholar] [CrossRef]
- Yang, T.I.; Kofinas, P. Dielectric properties of polymer nanoparticle composites. Polymer (Guildf.) 2007, 48, 791–798. [Google Scholar] [CrossRef]
- Luo, S.; Shen, Y.; Yu, S.; Wan, Y.; Liao, W.H.; Sun, R.; Wong, C.P. Construction of a 3D-BaTiO3 network leading to significantly enhanced dielectric permittivity and energy storage density of polymer composites. Energy Environ. Sci. 2017, 10, 137–144. [Google Scholar] [CrossRef]
- Akhina, H.; Mohammed Arif, P.; Gopinathan Nair, M.R.; Nandakumar, K.; Thomas, S. Development of plasticized poly (vinyl chloride)/reduced graphene oxide nanocomposites for energy storage applications. Polym. Test. 2019, 73, 250–257. [Google Scholar] [CrossRef]
- Ji, W.; Deng, H.; Sun, C.; Fu, Q. Nickel hydroxide as novel filler for high energy density dielectric polymer composites. Compos. Sci. Technol. 2019, 172, 117–124. [Google Scholar] [CrossRef]
- Zhang, Y.; Zhang, C.; Feng, Y.; Zhang, T.; Chen, Q.; Chi, Q.; Liu, L.; Li, G.; Cui, Y.; Wang, X.; et al. Excellent energy storage performance and thermal property of polymer-based composite induced by multifunctional one-dimensional nanofibers oriented in-plane direction. Nano Energy 2019, 56, 138–150. [Google Scholar] [CrossRef]
- Yang, J.; Zhu, X.; Wang, H.; Wang, X.; Hao, C.; Fan, R.; Dastan, D.; Shi, Z. Achieving excellent dielectric performance in polymer composites with ultralow filler loadings via constructing hollow-structured filler frameworks. Compos. Part A Appl. Sci. Manuf. 2020, 131, 105814. [Google Scholar] [CrossRef]









| Work | Matrix | Filler | Frequency (Hz) | Relative Permittivity (-) | Dielectric Loss (-) | ɛ/tan δ |
|---|---|---|---|---|---|---|
| This work | TPU | 30 vol% PZT + 1.0 vol% MWCNT | 105 | 200.9 | 0.072 | 2790.3 |
| This work | TPU | 30 vol% PZT + 0.05 vol% MWCNT | 105 | 162.5 | 0.066 | 2462.2 |
| Kim [1] | Bisphenol A diglycidyl ether (DGEBA) | CNT (coated with TiO2):5 wt% | 109 | 10 | 0.06 | 166.6 |
| Ameli [5] | PP | MWCNT:0.34 vol% | 102 | 30 | 0.06 | 500.0 |
| Dang [30] | Polyvinylidene fluoride (PVDF) | MWCNT (modified with TFP): 0.08 vol% | 103 | 550 | 2.2 | 250.0 |
| Wang [34] | Epoxy | MWCNT: 0.5 wt% | 1 | 465 | 0.7 | 664.2 |
| Arjmand [35] | PVDF | MWCNT-graphene nanoribbon: 1.5 wt% | 103 | 41.4 | 0.91 | 45.4 |
| Ameli [36] | PVDF | Nitrogen-doped CNT: 3.5 wt% | 103 | 23.12 | 0.05 | 462.4 |
| Zhu [40] | PVDF | Polydopamine coated CNT: 0.2 wt% | 103 | 315 | 0.35 | 900.0 |
| Wan [41] | PVDF | Barium titanate coated graphene oxide: 8 wt% | 103 | 56.3 | 0.058 | 970.6 |
| Decker [25] | PP | 70 wt% PZT + 1.4 wt%CNT | 103 | 80 | 2.3 | 34.8 |
| Vyas [26] | PVA | 50 vol% PZT + 1 vol% CNT | 103 | 65 | 0.1 | 650 |
| Ma [44] | Epoxy | 1.5 g CNT per 100 g epoxy + 100 g PZT-PMN per 100 g epoxy | 106 | 30 | 0.3 | 100 |
| Guan [27] | PVDF | 50 vol% PZT + 0.8 vol% CNT | 103 | 95 | 70 | 1.36 |
| Sakamoto [28] | PU | 49 vol% PZT + 1% graphite | 105 | 30 | 0.8 | 37.5 |
| Zeraati [46] | PMMA | Silver/manganese dioxide nanowire: 2–1 vol% | 8.2 × 109 | 64 | 0.31 | 206.4 |
| Arjmand [73] | PVDF | Nitrogen-doped CNT: 1 wt% | 103 | 22 | 0.03 | 733.3 |
| Zeraati [43] | PVDF | CNT-MnO2NW: 3–4.5 wt% | 8.2 × 109 | 50.6 | 0.7 | 72.2 |
| Wu [85] | PVDF | Chlorinated graphene oxide: 0.2 vol% | 103 | 364 | 0.077 | 4727.2 |
| Xie [86] | PVDF-HFP-GMA | Barium titanate: 30 vol% | 106 | 20 | 0.16 | 125.0 |
| Hu [84] | Cyclic olefin copolymer (COC) | Barium strontium titanate: 25 vol% | 109 | 7.3 | 0.0023 | 3173.9 |
| Yang [87] | S-SEBS | Titanium dioxide: 6.4% | 104 | 3 | 0.01 | 300.0 |
| Luo [88] | Epoxy | 3D Barium titanate: 30 vol% | 103 | 200 | 0.14 | 1428.5 |
| Chen [81] | PVDF | Core-shell Bi2Te3@Al2O3: 10 vol% | 103 | 140 | 0.05 | 2800.0 |
| Zhu [47] | Epoxy | Core-shell Ni@BaTiO3 scaffolds (4 vol%) | 104 | 6397 | 0.04 | 159,925 |
| Akhina [89] | PVC | Graphene oxide: 2.66 vol% | 103 | 10.83 | 1.15 | 9.4 |
| Ji [90] | PVDF | Ni(OH)2: 10 wt% | 102 | 19.6 | 0.066 | 297 |
| Zhou [29] | PVDF | Core@double-shell Al: 50 wt% | 103 | 37 | 0.05 | 740 |
| Zhang [91] | PVDF | Aligned BZCT@SiO2: 3 vol% | 101 | 16 | 0.03 | 533.3 |
| Yang [92] | Epoxy | hollow structured BaTiO3: 5 vol% | 104 | 22 | 0.032 | 687.5 |
© 2020 by the authors. Licensee MDPI, Basel, Switzerland. This article is an open access article distributed under the terms and conditions of the Creative Commons Attribution (CC BY) license (http://creativecommons.org/licenses/by/4.0/).
Share and Cite
Petrossian, G.; Aliheidari, N.; Ameli, A. Thermoplastic Polyurethane/Lead Zirconate Titanate/Carbon Nanotube Composites with Very High Dielectric Permittivity and Low Dielectric Loss. J. Compos. Sci. 2020, 4, 137. https://doi.org/10.3390/jcs4030137
Petrossian G, Aliheidari N, Ameli A. Thermoplastic Polyurethane/Lead Zirconate Titanate/Carbon Nanotube Composites with Very High Dielectric Permittivity and Low Dielectric Loss. Journal of Composites Science. 2020; 4(3):137. https://doi.org/10.3390/jcs4030137
Chicago/Turabian StylePetrossian, Gayaneh, Nahal Aliheidari, and Amir Ameli. 2020. "Thermoplastic Polyurethane/Lead Zirconate Titanate/Carbon Nanotube Composites with Very High Dielectric Permittivity and Low Dielectric Loss" Journal of Composites Science 4, no. 3: 137. https://doi.org/10.3390/jcs4030137
APA StylePetrossian, G., Aliheidari, N., & Ameli, A. (2020). Thermoplastic Polyurethane/Lead Zirconate Titanate/Carbon Nanotube Composites with Very High Dielectric Permittivity and Low Dielectric Loss. Journal of Composites Science, 4(3), 137. https://doi.org/10.3390/jcs4030137

