Strong and Weak Formulations of a Mixed Higher-Order Shear Deformation Theory for the Static Analysis of Functionally Graded Beams under Thermo-Mechanical Loads
Abstract
1. Introduction
2. Effective Material Properties
3. The Strong Formulation and Its Application
4. The Weak Formulation and Its Application
5. Boundary Conditions
6. Numerical Examples
6.1. Mechanical Loads
6.2. Thermal loads
7. Concluding Remarks
- In the LW HSDT, the transverse shear and normal stress components induced in the thermo-mechanically loaded FG beams can be obtained using three different approaches. In approach 1, they are obtained using constitutive equations when the displacement components are determined; in approach 2, they are obtained using stress equilibrium equations when the displacement components are determined; in approach 3, they are directly obtained using the Lagrange multipliers. Implementation of the three approaches shows that the accuracy of these approaches is in the following order: approach 2 > approach 3 > approach 1, where the symbol “>” indicates a greater degree of accuracy.
- The accuracy and convergence rates of the LW1, LW2, and LW3 theories are in the following order: LW3 > LW2 > LW1, where the symbol “>” indicates a faster convergence rate and a more accurate solution.
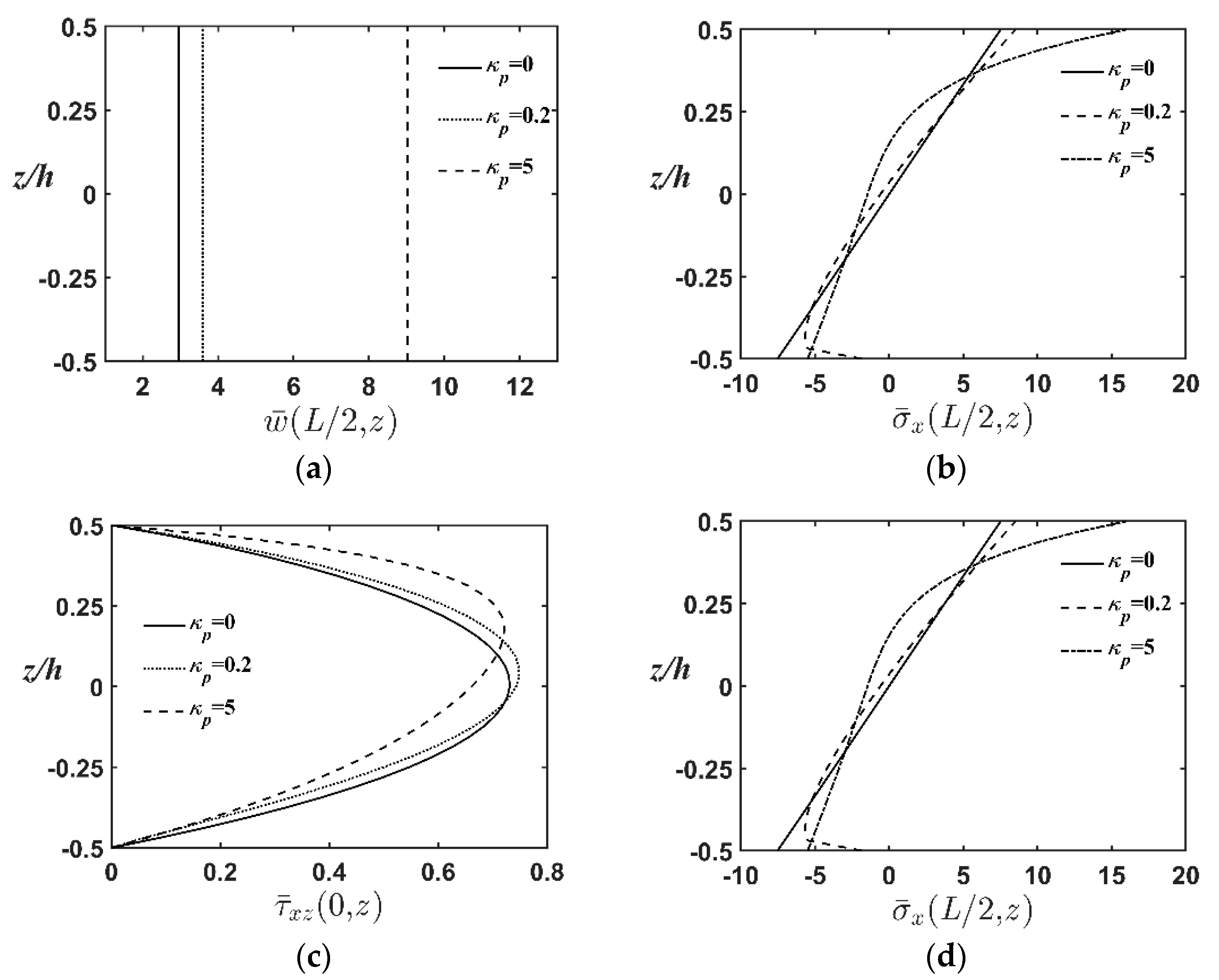
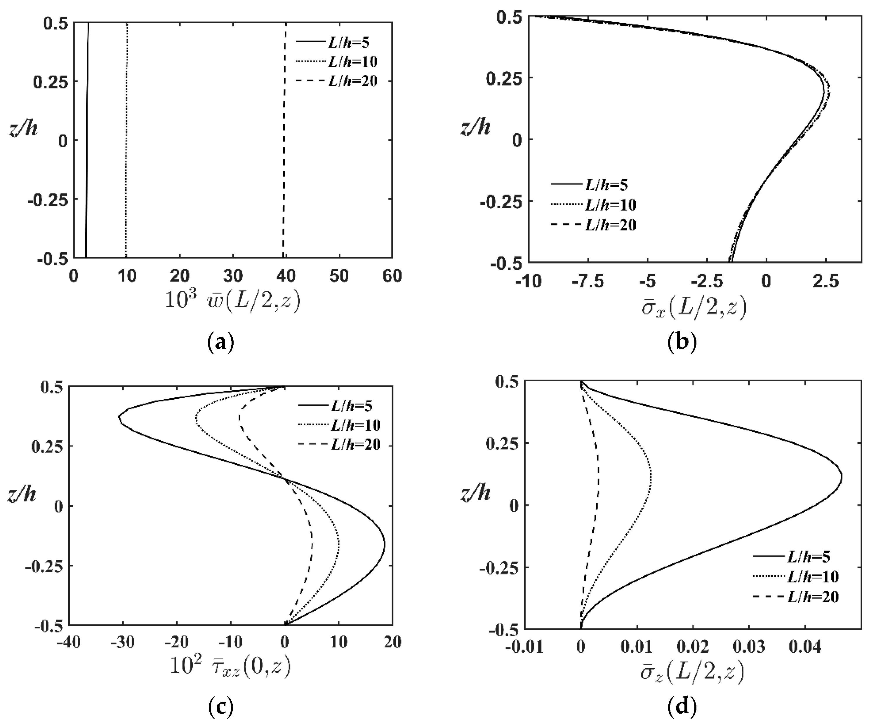
- Variations in the through-thickness distributions of the transverse shear and normal stresses with the length–thickness ratio and the material-property gradient index for the thermal load cases are more drastic than the variations for the mechanical load cases.
- Based on the convergent solutions of the LW HSDT, the accuracy of the various advanced and refined beam theories is in the following order: ESDT > SSDT > (RHSDT, TSDT) > HSDT, where the symbol “>” represents a greater degree of accuracy.
Author Contributions
Funding
Conflicts of Interest
Appendix A. Relationships between the Resultant Forces/Moments and the Displacement Components
Appendix B. The Solution Process of the Fourier Series Expansion Method
References
- Koizumi, M. FGM activities in Japan. Compos. Part B 1997, 28, 1–4. [Google Scholar] [CrossRef]
- Koizumi, M. Recent progress of functionally graded materials in Japan. Ceram. Eng. Sci. Proc. 1992, 13, 333–347. [Google Scholar]
- Shen, H.S. Functionally Graded Materials: Nonlinear Analysis of Plates and Shells; CRC Press: Boca Raton, FL, USA, 2009. [Google Scholar]
- Reddy, J.N.; Chin, C.D. Thermomechanical analysis of functionally graded cylinders and plates. J. Therm. Stresses 1998, 21, 593–626. [Google Scholar] [CrossRef]
- Miyamoto, Y.; Kaysser, W.A.; Rabin, B.H.; Kawasaki, A.; Ford, R.G. Functionally Graded Materials: Design, Processing, and Applications; Springer: New York, NY, USA, 1999. [Google Scholar]
- Muller, E.; Drasar, C.; Schilz, J.; Kaysser, W.A. Functionally graded materials for sensor and energy applications. Mater. Sci. Eng. A 2003, 362, 17–39. [Google Scholar] [CrossRef]
- Gerk, C.; Willert-Porada, M. Development of graded composite electrodes for the SOFC. Mater. Sci. Forum. 1999, 308–311, 806–813. [Google Scholar] [CrossRef]
- Pompe, W.; Worch, H.; Epple, M.; Friess, W.; Gelinsky, M.; Greil, P.; Hempel, U.; Scharnweber, D.; Schulte, K. Functionally graded materials for biomedical applications. Mater. Sci. Eng. A 2003, 362, 40–60. [Google Scholar] [CrossRef]
- Schulz, U.; Peters, M.; Bach, F.-W.; Tegeder, G. Graded coatings for thermal, wear and corrosion barriers. Mater. Sci. Eng. A 2003, 362, 61–80. [Google Scholar] [CrossRef]
- Kumar, S.; Murthy Reddy, K.V.V.S.; Kumar, A.; Rohini Devi, G. Development and characterization of polymer-ceramic continuous fiber reinforced functionally graded composites for aerospace application. Aero. Sci. Technol. 2013, 26, 185–191. [Google Scholar] [CrossRef]
- Sharma, N.K.; Bhandari, M. Review of sandwich beams with functionally graded core. Int. J. Innov. Sci. Eng. Technol. 2014, 1, 75–83. [Google Scholar]
- Sayyad, A.S.; Ghugal, Y.M. Modeling and analysis of functionally graded sandwich beams: A review. Mech. Adv. Mater. Struct. 2019, 26, 1776–1795. [Google Scholar] [CrossRef]
- Sankar, B.V. Thermal stresses in functionally graded beams. AIAA J. 2002, 40, 1228–1232. [Google Scholar] [CrossRef]
- Trinh, L.C.; Vo, T.P.; Thai, H.T.; Nguyen, T.K. An analytical method for the vibration and buckling of functionally graded beams under mechanical and thermal loads. Compos. Part B 2016, 100, 152–163. [Google Scholar] [CrossRef]
- Simsek, M. Fundamental frequency analysis of functionally graded beams by using different higher-order beam theories. Nucl. Eng. Des. 2010, 240, 697–705. [Google Scholar] [CrossRef]
- Thai, H.T.; Vo, T.P. Bending and free vibration of functionally graded beams using various higher-order shear deformation beam theories. Int. J. Mech. Sci. 2012, 62, 57–66. [Google Scholar] [CrossRef]
- Carrera, E. Theories and finite elements for multilayered plates and shells: A unified compact formulation with numerical assessment and benchmarking. Arch. Comput. Methods Eng. 2003, 10, 215–296. [Google Scholar] [CrossRef]
- Giunta, G.; Crisafulli, D.; Belouettar, S.; Carrera, E. A thermo-mechanical analysis of functionally graded beams via hierarchical modelling. Compos. Struct. 2013, 95, 676–690. [Google Scholar] [CrossRef]
- Carrera, E.; Filippi, M.; Zappino, E. Laminated beam analysis by polynomial, trigonometric, exponential and zig-zag theories. Eur. J. Mech. A/Solids 2013, 41, 58–69. [Google Scholar] [CrossRef]
- Davalos, J.F.; Kim, Y.; Barbero, E.J. Analysis of laminated beams with a layer-wise constant shear theory. Compos. Struct. 1994, 28, 241–253. [Google Scholar] [CrossRef]
- Mantari, J.L.; Oktem, A.S.; Soares, C.G. A new trigonometric layerwise shear deformation theory for the finite element analysis of laminated composite and sandwich plates. Comput. Struct. 2012, 94–95, 45–53. [Google Scholar] [CrossRef]
- Wu, C.P.; Kuo, H.C. Interlaminar stresses analysis for laminated composite plates based on a local high order lamination theory. Compos. Struct. 1992, 20, 237–247. [Google Scholar] [CrossRef]
- Wu, C.P.; Kuo, H.C. An interlaminar stress mixed finite element method for the analysis of thick laminated composite plates. Compos. Struct. 1993, 24, 29–42. [Google Scholar] [CrossRef]
- Yang, Y.; Pagani, A.; Carrera, E. Exact solutions for free vibration analysis of laminated, box and sandwich beams by refined layer-wise theory. Compos. Struct. 2017, 175, 28–45. [Google Scholar]
- Filippi, M.; Carrera, E. Bending and vibrations analyses of laminated beams by using a zig-zag-layer-wise theory. Compos. Part B 2016, 98, 269–280. [Google Scholar] [CrossRef]
- Yazdani Sarvestani, H.; Akbarzadeh, A.H.; Mirabolghasemi, A. Structural analysis of size-dependent functionally graded doubly-curved panels with engineered microarchitectures. Acta Mech. 2018, 229, 2675–2701. [Google Scholar] [CrossRef]
- Liew, K.M.; Pan, Z.Z.; Zhang, L.W. An overview of layerwise theories for composite laminates and structures: Development, numerical implementation and application. Compos. Struct. 2019, 216, 240–259. [Google Scholar] [CrossRef]
- Vo, T.P.; Thai, H.T.; Nguyen, T.K.; Inam, F.; Lee, J. Static behavior of functionally graded sandwich beams using a quasi-3D theory. Compos. Part B 2015, 68, 59–74. [Google Scholar] [CrossRef]
- Vo, T.P.; Thai, H.T.; Nguyen, T.K.; Inam, F.; Lee, J. A quasi-3D theory for vibration and buckling of functionally graded sandwich beams. Compos. Struct. 2015, 119, 1–12. [Google Scholar] [CrossRef]
- Nguyen, T.K.; Vo, T.P.; Nguyen, B.D.; Lee, J. An analytical solution for buckling and vibration analysis of functionally graded sandwich beams using a quasi-3D shear deformation theory. Compos. Struct. 2016, 156, 238–252. [Google Scholar] [CrossRef]
- Lü, C.F.; Chen, W.Q.; Xu, R.Q.; Lim, C.W. Semi-analytical elasticity solutions for bi-directional functionally graded beams. Int. J. Solid Struct. 2008, 45, 258–275. [Google Scholar] [CrossRef]
- Reddy, J.N. Mechanics of Laminated Composite Plates and Shells: Theory and Analysis; CRC Press: Boca Raton, FL, USA, 2003. [Google Scholar]
- Li, X.F.; Wang, B.L.; Han, J.C. A higher-order theory for static and dynamic analyses of functionally graded beams. Arch. Appl. Mech. 2010, 80, 1197–1212. [Google Scholar] [CrossRef]
- Reddy, J.N. A simple higher-order theory for laminated composite plates. J. Appl. Mech. 1984, 51, 745–752. [Google Scholar] [CrossRef]
- Touratier, M. An efficient standard plate theory. Int. J. Eng. Sci. 1991, 29, 901–916. [Google Scholar] [CrossRef]
- Soldatos, K. A transverse shear deformation theory for homogeneous monoclinic plates. Acta Mech. 1992, 94, 195–220. [Google Scholar] [CrossRef]
- Karama, M.; Afaq, K.S.; Mistou, S. Mechanical behavior of laminated composite beam by the new multi-layered laminated composite structure model with transverse shear continuity. Int. J. Solids Struct. 2003, 40, 1525–1546. [Google Scholar] [CrossRef]





| L/h | Theories | (L/2, 0) | (0, −h/2) | (L/2, h/2) | |||||||
|---|---|---|---|---|---|---|---|---|---|---|---|
| Approach 1 | Approach 2 | Approach 3 | Approach 1 | Approach 2 | Approach 3 | ||||||
| 5 | 5 | Current L1 (nl = 4) | 9.8459 | 3.6559 | 8.1050 | 0.5432 | 0.6346 | 0.6392 | −0.0550 | -0.0842 | -0.0818 |
| Current L1 (nl = 8) | 9.8461 | 3.6768 | 8.1471 | 0.6070 | 0.6380 | 0.6392 | −0.0693 | −0.0824 | −0.0818 | ||
| Current L1 (nl = 16) | 9.8462 | 3.6826 | 8.1551 | 0.6273 | 0.6389 | 0.6392 | −0.0759 | −0.0819 | −0.0818 | ||
| Current L2 (nl = 2) | 9.8444 | 3.6618 | 8.1498 | 0.7386 | 0.6427 | 0.6428 | −0.0720 | −0.0915 | −0.0818 | ||
| Current L2 (nl = 4) | 9.8460 | 3.6822 | 8.1635 | 0.6885 | 0.6392 | 0.6392 | −0.0832 | −0.0844 | −0.0818 | ||
| Current L2 (nl = 8) | 9.8463 | 3.6844 | 8.1588 | 0.6546 | 0.6392 | 0.6392 | −0.0829 | −0.0824 | −0.0818 | ||
| Current L3 (nl = 2) | 9.8456 | 3.6845 | 8.1581 | 0.6710 | 0.6428 | 0.6428 | −0.0858 | −0.0818 | −0.0818 | ||
| Current L3 (nl = 4) | 9.8463 | 3.6847 | 8.1571 | 0.6436 | 0.6392 | 0.6392 | −0.0826 | −0.0818 | −0.0818 | ||
| Current L3 (nl = 8) | 9.8463 | 3.6847 | 8.1565 | 0.6395 | 0.6392 | 0.6392 | −0.0819 | −0.0818 | −0.0818 | ||
| HSDT [33] | 9.7802 | 3.7089 | 8.1030 | 0.5790 | NA | NA | NA | NA | NA | ||
| RSDT [34] | 9.8281 | 3.7100 | 8.1106 | 0.5905 | NA | NA | NA | NA | NA | ||
| SSDT [35] | 9.8367 | 3.7140 | 8.1222 | 0.6155 | NA | NA | NA | NA | NA | ||
| TSDT [36] | 9.8271 | 3.7097 | 8.1095 | 0.5883 | NA | NA | NA | NA | NA | ||
| ESDT [37] | 9.8414 | 3.7177 | 8.1329 | 0.6404 | NA | NA | NA | NA | NA | ||
| CBT [16] | 8.7508 | 3.6496 | 7.9428 | NA | NA | NA | NA | NA | NA | ||
| 20 | 5 | Current L1 (nl = 4) | 8.8197 | 0.9126 | 31.8104 | 0.5725 | 0.6704 | 0.6715 | −0.0137 | −0.0210 | −0.0204 |
| Current L1 (nl = 8) | 8.8197 | 0.9130 | 31.8209 | 0.6383 | 0.6712 | 0.6715 | −0.0173 | −0.0205 | −0.0204 | ||
| Current L1 (nl = 16) | 8.8197 | 0.9131 | 31.8233 | 0.6592 | 0.6714 | 0.6715 | −0.0189 | −0.0204 | −0.0204 | ||
| Current L2 (nl = 2) | 8.8197 | 0.9127 | 31.8219 | 0.7500 | 0.6715 | 0.6715 | −0.0179 | −0.0228 | −0.0203 | ||
| Current L2 (nl = 4) | 8.8197 | 0.9131 | 31.8250 | 0.7228 | 0.6715 | 0.6715 | −0.0207 | −0.0210 | −0.0204 | ||
| Current L2 (nl = 8) | 8.8197 | 0.9131 | 31.8242 | 0.6878 | 0.6715 | 0.6715 | −0.0206 | −0.0205 | −0.0204 | ||
| Current L3 (nl = 2) | 8.8197 | 0.9131 | 31.8240 | 0.7172 | 0.6715 | 0.6715 | −0.0214 | −0.0203 | −0.0203 | ||
| Current L3 (nl = 4) | 8.8197 | 0.9131 | 31.8241 | 0.6766 | 0.6715 | 0.6715 | −0.0206 | −0.0204 | −0.0204 | ||
| Current L3 (nl = 8) | 8.8197 | 0.9131 | 31.8241 | 0.6718 | 0.6715 | 0.6715 | −0.0204 | −0.0204 | −0.0204 | ||
| HSDT [33] | 8.8151 | 0.9133 | 31.8112 | 0.5790 | NA | NA | NA | NA | NA | ||
| RSDT [34] | 8.8182 | 0.9134 | 31.8130 | 0.6023 | NA | NA | NA | NA | NA | ||
| SSDT [35] | 8.8188 | 0.9134 | 31.8159 | 0.6292 | NA | NA | NA | NA | NA | ||
| TSDT [36] | 8.8181 | 0.9134 | 31.8127 | 0.5998 | NA | NA | NA | NA | NA | ||
| ESDT [37] | 8.8191 | 0.9135 | 31.8185 | 0.6562 | NA | NA | NA | NA | NA | ||
| CBT [16] | 8.7508 | 0.9124 | 31.7711 | NA | NA | NA | NA | NA | NA | ||
| L/h | Boundary Conditions | Current LW3 FEM (ne × nl) and Analytical Solutions | (L/2, 0) | (L/4, −h/2) | (L/2, h/2) | (L/4, 0) | (L/4, 0) | |
|---|---|---|---|---|---|---|---|---|
| 5 | 5 | S–S | Current LW3 FEM (2 × 16) | 9.3110 | 2.3283 | 8.0867 | 0.1956 | −0.1040 |
| Current LW3 FEM (4 × 16) | 9.8064 | 2.5412 | 8.3122 | 0.4350 | −0.0762 | |||
| Current LW3 FEM (8 × 16) | 9.8435 | 2.5341 | 8.2195 | 0.3667 | −0.0822 | |||
| Current LW3 FEM (16 × 16) | 9.8461 | 2.5329 | 8.1780 | 0.3479 | −0.0825 | |||
| Current LW3 FEM (32 × 16) | 9.8463 | 2.5327 | 8.1650 | 0.3434 | −0.0825 | |||
| Current LW3 analytical solutions | 9.8463 | 2.5326 | 8.1565 | 0.3419 | −0.0825 | |||
| 10 | 5 | C–C | Current LW3 FEM (2 × 16) | 0.8045 | 0.1171 | 2.7839 | 0.1436 | −0.0322 |
| Current LW3 FEM (4 × 16) | 1.8644 | 0.3471 | 5.3558 | 0.5644 | −0.0459 | |||
| Current LW3 FEM (8 × 16) | 2.0049 | 0.3460 | 5.4767 | 0.4296 | −0.0379 | |||
| Current LW3 FEM (16 × 16) | 2.0190 | 0.3453 | 5.4335 | 0.3657 | −0.0409 | |||
| Current LW3 FEM (32 × 16) | 2.0206 | 0.3451 | 5.4128 | 0.3478 | −0.0409 | |||
| 10 | 5 | S–S | Current LW3 FEM (2 × 16) | 7.9337 | 1.0465 | 13.4887 | 0.0036 | −0.0663 |
| Current LW3 FEM (4 × 16) | 8.9089 | 1.2609 | 15.9385 | 0.6858 | −0.0119 | |||
| Current LW3 FEM (8 × 16) | 9.0168 | 1.2585 | 16.0672 | 0.4423 | −0.0386 | |||
| Current LW3 FEM (16 × 16) | 9.0255 | 1.2577 | 16.0239 | 0.3662 | −0.0409 | |||
| Current LW3 FEM (32 × 16) | 9.0261 | 1.2575 | 16.0032 | 0.3478 | −0.0409 | |||
| Current LW3 analytical solutions | 9.0261 | 1.2575 | 15.9921 | 0.3417 | −0.0409 | |||
| 10 | 5 | C–S | Current LW3 FEM (2 × 16) | 2.4077 | 0.3325 | 7.9771 | 0.1791 | −0.0262 |
| Current LW3 FEM (4 × 16) | 3.6503 | 0.6304 | 8.8481 | 0.8795 | −0.0550 | |||
| Current LW3 FEM (8 × 16) | 3.8062 | 0.6224 | 8.4294 | 0.6455 | −0.0377 | |||
| Current LW3 FEM (16 × 16) | 3.8211 | 0.6206 | 8.2202 | 0.5470 | −0.0409 | |||
| Current LW3 FEM (32 × 16) | 3.8226 | 0.6203 | 8.1529 | 0.5200 | −0.0409 | |||
| 10 | 5 | C–F | Current LW3 FEM (2 × 16) | 27.1018 | 3.5694 | 7.7092 | 0.2246 | 0.0102 |
| Current LW3 FEM (4 × 16) | 30.1461 | 4.2363 | 12.5271 | 1.8370 | −0.0830 | |||
| Current LW3 FEM (8 × 16) | 30.5292 | 4.2316 | 14.7599 | 1.3013 | −0.0371 | |||
| Current LW3 FEM (16 × 16) | 30.5660 | 4.2293 | 15.4893 | 1.0976 | −0.0409 | |||
| Current LW3 FEM (32 × 16) | 30.5698 | 4.2288 | 15.7002 | 1.0433 | −0.0409 |
| h/L | Theories | 103 (L/2, −h/2) | (L/2, −h/2) | |||||||
|---|---|---|---|---|---|---|---|---|---|---|
| Approach 1 | Approach 2 | Approach 3 | Approach 1 | Approach 2 | Approach 3 | |||||
| 0.1 | 230 | Current LW1 (nl = 16) | 9.7662 | −1.5544 | 1.6977 | 6.5887 | 6.5590 | 0.5622 | 0.0114 | 0.0113 |
| Current LW1 (nl = 32) | 9.7662 | −1.5564 | 4.1835 | 6.5664 | 6.5590 | 0.2802 | 0.0113 | 0.0113 | ||
| Current LW1 (nl = 64) | 9.7662 | −1.5573 | 5.3849 | 6.5609 | 6.5590 | 0.1441 | 0.0113 | 0.0113 | ||
| Current LW2 (nl = 8) | 9.7662 | −1.5610 | 6.9982 | 6.6113 | 6.5590 | −0.1047 | 0.0116 | 0.0113 | ||
| Current LW2 (nl = 16) | 9.7662 | −1.5588 | 6.6732 | 6.5721 | 6.5590 | −0.0159 | 0.0113 | 0.0113 | ||
| Current LW2 (nl = 32) | 9.7662 | −1.5593 | 6.5882 | 6.5623 | 6.5590 | 0.0047 | 0.0113 | 0.0113 | ||
| Current LW3 (nl = 4) | 9.7662 | −1.5576 | 6.6304 | 6.5590 | 6.5590 | 0.0344 | 0.0113 | 0.0113 | ||
| Current LW3 (nl = 8) | 9.7662 | −1.5580 | 6.5693 | 6.5590 | 6.5590 | 0.0137 | 0.0113 | 0.0113 | ||
| Current LW3 (nl = 16) | 9.7662 | −1.5581 | 6.5604 | 6.5590 | 6.5590 | 0.0115 | 0.0113 | 0.0113 | ||
| SSDQM [31] | 9.9772 | −1.5648 | 6.6004 | NA | NA | NA | NA | NA | ||
| FEM [31] | 9.7944 | −1.5573 | 6.0427 | NA | NA | NA | NA | NA | ||
| 0.2 | 230 | Current LW1 (nl = 16) | 33.316 | −41.037 | 1.1403 × 103 | 1.4261 × 103 | 1.4255 × 103 | 9.5825 | 2.4869 | 2.4720 |
| Current LW1 (nl = 32) | 33.315 | −40.968 | 1.2850 × 103 | 1.4256 × 103 | 1.4255 × 103 | 5.7645 | 2.4757 | 2.4720 | ||
| Current LW1 (nl = 64) | 33.315 | −40.930 | 1.3558 × 103 | 1.4255 × 103 | 1.4255 × 103 | 4.0550 | 2.4729 | 2.4720 | ||
| Current LW2 (nl = 8) | 33.315 | −40.901 | 1.4451 × 103 | 1.4277 × 103 | 1.4255 × 103 | −2.7201 | 2.5045 | 2.4720 | ||
| Current LW2 (nl = 16) | 33.315 | −40.893 | 1.4308 × 103 | 1.4260 × 103 | 1.4255 × 103 | 1.3386 | 2.4800 | 2.4720 | ||
| Current LW2 (nl = 32) | 33.315 | −40.890 | 1.4269 × 103 | 1.4256 × 103 | 1.4255 × 103 | 2.2068 | 2.4740 | 2.4720 | ||
| Current LW3 (nl = 4) | 33.315 | −40.887 | 1.4312 × 103 | 1.4255 × 103 | 1.4255 × 103 | 5.2356 | 2.4720 | 2.4720 | ||
| Current LW3 (nl = 8) | 33.315 | −40.889 | 1.4265 × 103 | 1.4255 × 103 | 1.4255 × 103 | 2.7039 | 2.4720 | 2.4720 | ||
| Current LW3 (nl = 16) | 33.315 | −40.889 | 1.4256 × 103 | 1.4255 × 103 | 1.4255 × 103 | 2.4959 | 2.4720 | 2.4720 | ||
| 0.1 | 100 | Current LW1 (nl = 16) | 1.6955 | −0.1008 | −0.7732 | 0.1256 | 0.1226 | 0.0688 | 0.0005 | 0.0005 |
| Current LW1 (nl = 32) | 1.6956 | −0.1035 | −0.3189 | 0.1233 | 0.1226 | 0.0343 | 0.0005 | 0.0005 | ||
| Current LW1 (nl = 64) | 1.6956 | −0.1048 | −0.0966 | 0.1228 | 0.1226 | 0.0173 | 0.0005 | 0.0005 | ||
| Current LW2 (nl = 8) | 1.6956 | −0.1066 | 0.1724 | 0.1269 | 0.1226 | −0.0050 | 0.0005 | 0.0005 | ||
| Current LW2 (nl = 16) | 1.6956 | −0.1062 | 0.1352 | 0.1236 | 0.1226 | −0.0008 | 0.0005 | 0.0005 | ||
| Current LW2 (nl = 32) | 1.6956 | −0.1062 | 0.1257 | 0.1228 | 0.1226 | 0.0002 | 0.0005 | 0.0005 | ||
| Current LW3 (nl = 4) | 1.6956 | −0.1061 | 0.1257 | 0.1226 | 0.1226 | 0.0009 | 0.0005 | 0.0005 | ||
| Current LW3 (nl = 8) | 1.6956 | −0.1061 | 0.1230 | 0.1226 | 0.1226 | 0.0005 | 0.0005 | 0.0005 | ||
| Current LW3 (nl = 16) | 1.6956 | −0.1061 | 0.1226 | 0.1226 | 0.1226 | 0.0005 | 0.0005 | 0.0005 | ||
| Boundary Conditions | Current LW3 FEM (nx × nz) and Analytical Solutions | 103 (L/2, −h/2) | |||
|---|---|---|---|---|---|
| 230 | S–S | Current LW3 FEM (16 × 4) | 9.7651 | −1.5573 | 11.1888 |
| Current LW3 FEM (32 × 8) | 9.7661 | −1.5584 | 6.2978 | ||
| Current LW3 FEM (64 × 8) | 9.7662 | −1.5582 | 5.0544 | ||
| Current LW3 FEM (128 × 8) | 9.7662 | −1.5581 | 4.7425 | ||
| Current LW3 FEM (256 × 8) | 9.7662 | −1.5581 | 4.6729 | ||
| Current LW3 analytical solutions | 9.7662 | −1.5581 | 4.6379 | ||
| 100 | C−C | Current LW3 FEM (16 × 4) | 0.2911 | −0.5075 | 0.7075 |
| Current LW3 FEM (32 × 8) | 0.2920 | −0.5096 | 0.2412 | ||
| Current LW3 FEM (64 × 8) | 0.2923 | −0.5100 | 0.1254 | ||
| Current LW3 FEM (128 × 8) | 0.2924 | −0.5101 | 0.0963 | ||
| Current LW3 FEM (256 × 8) | 0.2924 | −0.5101 | 0.0890 | ||
| 100 | S−S | Current LW3 FEM (16 × 4) | 1.6954 | −0.1036 | 0.6970 |
| Current LW3 FEM (32 × 8) | 1.6956 | −0.1055 | 0.2413 | ||
| Current LW3 FEM (64 × 8) | 1.6956 | −0.1060 | 0.1255 | ||
| Current LW3 FEM (128 × 8) | 1.6956 | −0.1061 | 0.0964 | ||
| Current LW3 FEM (256 × 8) | 1.6956 | −0.1061 | 0.0884 | ||
| Current LW3 analytical solutions | 1.6956 | −0.1061 | 0.0867 | ||
| 100 | C−S | Current LW3 FEM (16 × 4) | 0.6607 | 0.2565 | 3.4814 |
| Current LW3 FEM (32 × 8) | 0.6614 | 0.2559 | 2.8198 | ||
| Current LW3 FEM (64 × 8) | 0.6616 | 0.2558 | 2.6534 | ||
| Current LW3 FEM (128 × 8) | 0.6617 | 0.2558 | 2.6117 | ||
| Current LW3 FEM (256 × 8) | 0.6617 | 0.2558 | 2.6009 | ||
| 100 | C−F | Current LW3 FEM (16 × 4) | −1.0853 | −0.1036 | 0.6973 |
| Current LW3 FEM (32 × 8) | −1.0850 | −0.1055 | 0.2413 | ||
| Current LW3 FEM (64 × 8) | −1.0850 | −0.1060 | 0.1255 | ||
| Current LW3 FEM (128 × 8) | −1.0850 | −0.1061 | 0.0964 | ||
| Current LW3 FEM (256 × 8) | −1.0850 | −0.1061 | 0.0892 |
Publisher’s Note: MDPI stays neutral with regard to jurisdictional claims in published maps and institutional affiliations. |
© 2020 by the authors. Licensee MDPI, Basel, Switzerland. This article is an open access article distributed under the terms and conditions of the Creative Commons Attribution (CC BY) license (http://creativecommons.org/licenses/by/4.0/).
Share and Cite
Wu, C.-P.; Xu, Z.-R. Strong and Weak Formulations of a Mixed Higher-Order Shear Deformation Theory for the Static Analysis of Functionally Graded Beams under Thermo-Mechanical Loads. J. Compos. Sci. 2020, 4, 158. https://doi.org/10.3390/jcs4040158
Wu C-P, Xu Z-R. Strong and Weak Formulations of a Mixed Higher-Order Shear Deformation Theory for the Static Analysis of Functionally Graded Beams under Thermo-Mechanical Loads. Journal of Composites Science. 2020; 4(4):158. https://doi.org/10.3390/jcs4040158
Chicago/Turabian StyleWu, Chih-Ping, and Zhan-Rong Xu. 2020. "Strong and Weak Formulations of a Mixed Higher-Order Shear Deformation Theory for the Static Analysis of Functionally Graded Beams under Thermo-Mechanical Loads" Journal of Composites Science 4, no. 4: 158. https://doi.org/10.3390/jcs4040158
APA StyleWu, C.-P., & Xu, Z.-R. (2020). Strong and Weak Formulations of a Mixed Higher-Order Shear Deformation Theory for the Static Analysis of Functionally Graded Beams under Thermo-Mechanical Loads. Journal of Composites Science, 4(4), 158. https://doi.org/10.3390/jcs4040158

