The Effect of Metals of the 2nd and 12th Groups on the Productivity and Selectivity of Cumene Oxidation—The First Stage of the Technological Chain for the Production of Polymer Composites
Abstract
:1. Introduction






2. Materials and Methods
2.1. Materials
2.2. Cumene Oxidation
2.3. Decomposition of Cumene Hydroperoxide
2.4. Preparation of Samples for Chromatographic Analysis
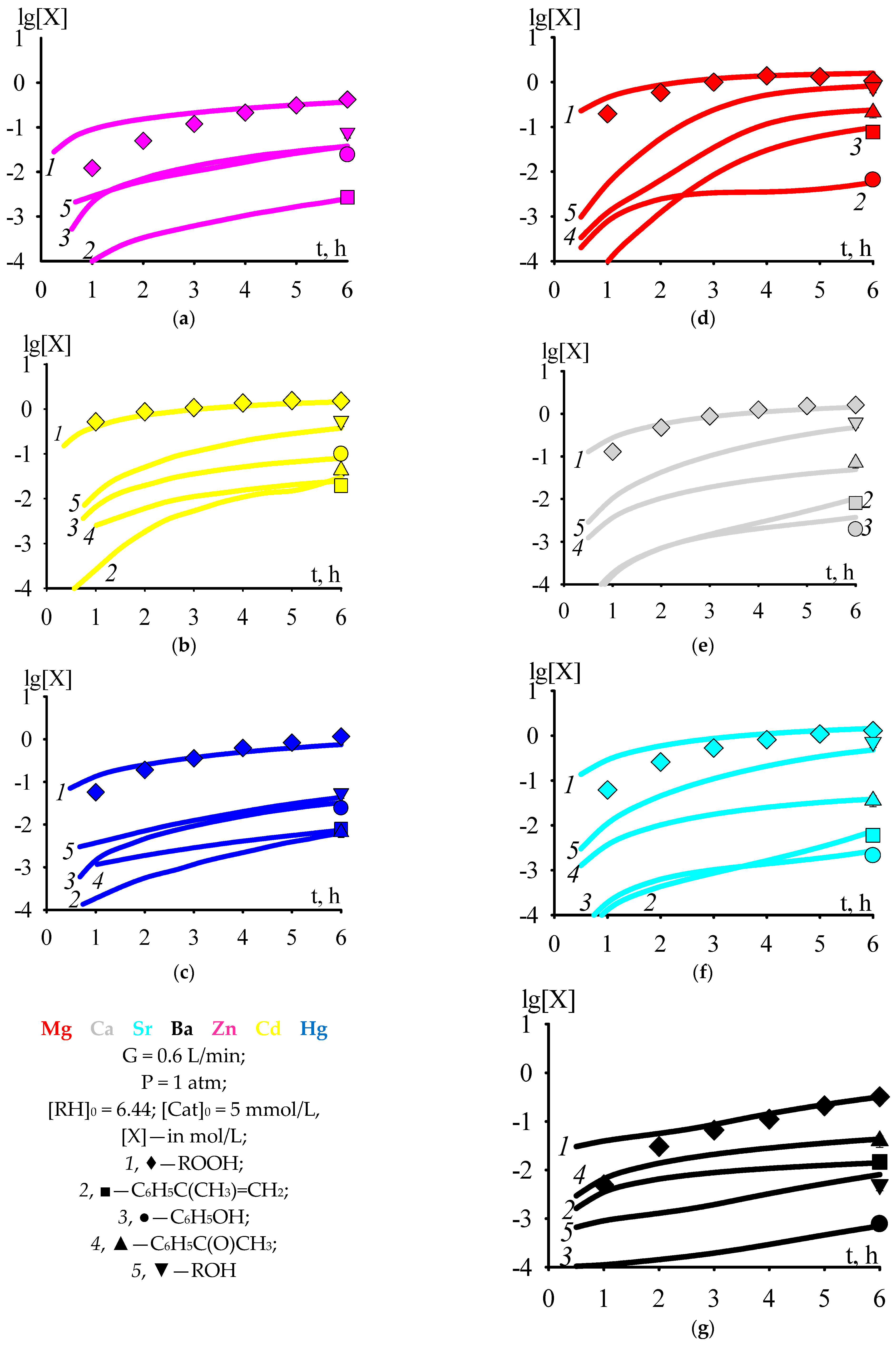
3. Results
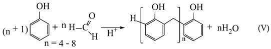
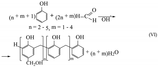
4. Discussion
5. Conclusions
Supplementary Materials
Author Contributions
Funding
Data Availability Statement
Conflicts of Interest
References
- Parameswaranpillai, J.; Pulikkalparambil, H.; Rangappa, S.M. Epoxy Composites: Fabrication, Characterization and Applications; Wiley-VCH: Weinheim, Germany, 2021. [Google Scholar]
 - Michelena, A.H.; Summerscales, J.; Graham-Jones, J.; Hall, W. Sustainable manufacture of natural fibre reinforced epoxy resin composites with coupling agent in the hardener. J. Compos. Sci. 2022, 6, 97. [Google Scholar] [CrossRef]
 - Purse, M.; Edmund, G.; Hall, S.; Howlin, B.; Hamerton, I.; Till, S. Reactive molecular dynamics study of the thermal decomposition of phenolic resins. J. Compos. Sci. 2019, 3, 32. [Google Scholar] [CrossRef]
 - Burmistr, M.V.; Boiko, V.S.; Lipko, E.O.; Gerasimenko, K.O.; Gomza, Y.P.; Vesnin, R.L.; Chernyayev, A.V.; Ananchenko, V.A.; Kovalenko, V.L. Antifriction and construction materials based on modified phenol-formaldehyde resins reinforced with mineral and synthetic fibrous fillers. Mech. Compos. Mater. 2014, 50, 213–222. [Google Scholar] [CrossRef]
 - Abdeen, M.A.; Ayesh, A.S.; Ibrahim, S.; Khaldi, R.H. Preparation and physical characterization of conjugated polymer-polycarbonate polymer blends. J. Compos. Sci. 2013, 48, 1947–1957. [Google Scholar] [CrossRef]
 - Brunella, V.; Rossatto, B.G.; Mastropasqua, C.; Cesano, F.; Scarano, D. Thermal/Electrical properties and texture of carbon black PC polymer composites near the electrical percolation threshold. J. Compos. Sci. 2021, 5, 212. [Google Scholar] [CrossRef]
 - Khvatov, A.V.; Brevnov, P.N.; Shilkina, N.G.; Lomakin, S.M. Thermal and physical and mechanical properties of polysulfone composites with carbon nanotubes. Russ. J. Phys. Chem. B 2019, 13, 519–524. [Google Scholar] [CrossRef]
 - Deberdeev, T.R.; Akhmetshina, A.I.; Karimova, L.K.; Ignat’eva, E.K.; Galikhmanov, N.R.; Grishin, S.V.; Berlin, A.A.; Deberdeev, R.Y. Aromatic polysulfones: Strategies of synthesis, properties, and application. Polym. Sci. Ser. D 2020, 13, 320–328. [Google Scholar] [CrossRef]
 - Vaidya, U.; Janney, M.; Graham, K.; Ghossein, H.; Theodore, M. Mechanical response and processability of wet-laid recycled Carbon Fiber PE, PA66 and PET thermoplastic composites. J. Compos. Sci. 2022, 6, 198. [Google Scholar] [CrossRef]
 - Kim, J.; Cho, D. Effects of alkali-treatment and feeding route of henequen fiber on the heat deflection temperature, mechanical, and impact properties of novel henequen Fiber/Polyamide 6 composites. J. Compos. Sci. 2022, 6, 89. [Google Scholar] [CrossRef]
 - Global Cumene Market Size Study, by Production (Zeolite, Solid Phosphoric Acid, Aluminum Chloride), By Application (Phenol, Acetone, Others), and Regional Forecasts. Available online: https://www.giiresearch.com/report/bzc1090047-global-cumene-market-size-study-by-production.html (accessed on 9 June 2022).
 - Hock, H.; Lang, S. Autoxydation von Kohlenwasserstoffen, IX. Mitteil.: Über Peroxyde von Benzol-Derivaten. Ber. Dtsch. Chem. Ges. 1944, 77, 257–264. [Google Scholar] [CrossRef]
 - Weber, M.; Daldrup, J.-B.G.; Weber, M. Noncatalyzed Radical Chain Oxidation: Cumene Hydroperoxide. In Liquid Phase Aerobic Oxidation Catalysis; Stahl, S.S., Alsters, P.L., Eds.; Wiley-VCH Verlag GmbH & Co. KGaA: Weinheim, Germany, 2016; pp. 15–31. [Google Scholar] [CrossRef]
 - Denisov, E.T.; Afanas’ev, I.B. Oxidation and Antioxidants in Organic Chemistry and Biology; Taylor & Francis Group: Boca Raton, FL, USA, 2005. [Google Scholar] [CrossRef]
 - Xu, S.; Zhang, J.; Chen, B.; Lei, Z. Process intensification on the selective catalytic oxidation of cumene with ionic liquids. Chem. Eng. Process. Process Intensif. 2018, 130, 88–92. [Google Scholar] [CrossRef]
 - Yang, M.; Qiu, G.; Huang, C.; Han, X.; Li, Y.; Chen, B. Selective oxidation of cumene to the equivalent amount of dimethylbenzyl alcohol and cumene hydroperoxide. Ind. Eng. Chem. Res. 2019, 58, 19785–19793. [Google Scholar] [CrossRef]
 - Kuznetsova, N.I.; Babushkin, D.E.; Zudin, V.N.; Koscheeva, O.S.; Kuznetsova, L.I. Low-temperature oxidation of isopropylbenzene mediated by the system of NHPI, Fe (acac)3 and 1,10-phenanthroline. Catal. Commun. 2021, 149, 106218. [Google Scholar] [CrossRef]
 - Kasaikina, O.T.; Potapova, N.V.; Krugovov, D.A.; Pisarenko, L.M. Catalysis of radical reactions in mixed micelles of surfactants with hydroperoxides. Kinet. Catal. 2017, 58, 556–562. [Google Scholar] [CrossRef]
 - Mu, C.; Huang, K.; Cheng, T.; Wang, H.; Yu, H.; Peng, F. Ni foams decorated with carbon nanotubes as catalytic stirrers for aerobic oxidation of cumene. Chem. Eng. J. 2016, 306, 806–815. [Google Scholar] [CrossRef]
 - Mu, C.; Cao, Y.; Wang, H.; Yu, H.; Peng, F. A kinetics study on cumene oxidation catalyzed by carbon nanotubes: Effect of N-doping. Chem. Eng. Sci. 2018, 177, 391–398. [Google Scholar] [CrossRef]
 - Matienko, L.I.; Binyukov, V.I.; Mil, E.M.; Zaikov, G.E. Supramolecular macrostructures in the mechanisms of catalysis with nickel or iron heteroligand complexes. Curr. Organocatalysis. 2019, 6, 36–43. [Google Scholar] [CrossRef]
 - Wang, F.; Jia, S.; Li, D.; Yu, B.; Zhang, L.; Liu, Y.; Han, X.; Zhang, R.; Wu, S. Self-template synthesis of CuO@Cu3(BTC)2 composite and its application in cumene oxidation. Mater. Lett. 2016, 164, 72–75. [Google Scholar] [CrossRef]
 - Turovskij, N.; Raksha, E.; Berestneva, Y.; Eresko, A. Anion effect on the cumene hydroperoxide decomposition in the presence of Cu(II) 1,10-phenanthrolinates. J. Organomet. Chem. 2020, 922, 121371. [Google Scholar] [CrossRef]
 - Nowacka, A.; Briantais, P.; Prestipino, C.; Llabrés i Xamena, F.X. Selective aerobic oxidation of cumene to cumene hydroperoxide over mono- and bimetallic trimesate metal-organic frameworks prepared by a facile “green” aqueous synthesis. ACS Sustain. Chem. Eng. 2019, 7, 7708–7715. [Google Scholar] [CrossRef]
 - Nowacka, A.; Vismara, R.; Mercuri, G.; Moroni, M.; Palomino, M.; Domasevitch, K.V.; Di Nicola, C.; Pettinari, C.; Giambastiani, G.; Llabrés i Xamena, F.X.; et al. Cobalt (II) bipyrazolate metal-organic frameworks as heterogeneous catalysts in cumene aerobic oxidation: A tag-dependent selectivity. Inorg. Chem. 2020, 59, 8161–8172. [Google Scholar] [CrossRef]
 - Bryant, J.R.; Matsuo, T.; Mayer, J.M. Cumene oxidation by cis-[RuIV(bpy)2(py)(O)]2+, revisited. Inorg. Chem. 2004, 43, 1587–1592. [Google Scholar] [CrossRef] [PubMed]
 - Crites, C.-O.L.; Hallett-Tapley, G.L.; Frenette, M.; González-Béjar, M.; Netto-Ferreira, J.C.; Scaiano, J.C. Insights into the mechanism of cumene peroxidation using supported gold and silver nanoparticles. ACS Catal. 2013, 3, 2062–2071. [Google Scholar] [CrossRef]
 - Sapunov, V.N.; Koshel’, G.N.; Rumyantseva, Y.B.; Kurganova, E.A.; Kukushkina, N.D. The role of N-hydroxyphthalimide in the reaction mechanism of liquid-phase oxidation of p-cumene. Petr. Chem. 2013, 53, 171–176. [Google Scholar] [CrossRef]
 - Hermans, I.; Vereecken, L.; Jacobs, P.A.; Peeters, J. Mechanism of the catalytic oxidation of hydrocarbons by N-hydroxyphthalimide: A theoretical study. Chem. Comm. 2004, 9, 1140–1141. [Google Scholar] [CrossRef]
 - Liao, S.; Peng, F.; Yu, H.; Wang, H. Carbon nanotubes as catalyst for the aerobic oxidation of cumene to cumene hydroperoxide. Appl. Catal. A General. 2014, 478, 1–8. [Google Scholar] [CrossRef]
 - Zhang, M.; Wang, L.; Ji, H.; Wu, B.; Zeng, X. Cumene liquid oxidation to cumene hydroperoxide over CuO nanoparticle with molecular oxygen under mild condition. J. Nat. Gas Chem. 2007, 16, 393–398. [Google Scholar] [CrossRef]
 - Ulitin, N.V.; Kharlampidi, K.E.; Tereshchenko, K.A.; Novikov, N.A.; Shiyan, D.A.; Nurmurodov, T.S.; Nurullina, N.M.; Ziyatdinov, N.N.; Miroshkin, N.P. The cumene oxidation and cumene hydroperoxide decomposition in the presence of Zn, Cd or Hg 2-ethylhexanoate: Kinetic model and analysis of its sensitivity. Mol. Catal. 2021, 515, 111886. [Google Scholar] [CrossRef]
 - Nurullina, N.M.; Batyrshin, N.N.; Kharlampidi, K.E. Effect of zinc-subgroup metal salts on the formation of hydroperoxide during the oxidation of cumene. Petrol. Chem. 2009, 49, 405–409. [Google Scholar] [CrossRef]
 - Perkel, A.L.; Voronina, S.G.; Borkina, G.G. Liquid-phase oxidation of cyclohexane. Elementary steps in the developed process, reactivity, catalysis, and problems of conversion and selectivity. Rus. Chem. Bull. 2018, 67, 1747–1758. [Google Scholar] [CrossRef]
 - Masters, C. Homogeneous Transition-Metal Catalysis; Chapman and Hall: London, UK, 1981. [Google Scholar]
 - Ferenc, W.; Bocian, B.; Walkow-Dziewulska, A. Spectroscopic, magnetic and thermal behaviour of the 2, 3, 4-trimethoxybenzoates of heavy lanthanides(III) and yttrium(III). J. Serb. Chem. Soc. 2004, 69, 195–204. [Google Scholar] [CrossRef]
 - Ferenc, W.; Walkow-Dziewulska, A.; Sadowsky, P.; Chrusciel, J. Spectral, thermal and magnetic characterization of 2, 3-dimethoxybenzoates of Co(II), Ni(II) and Cu(II). J. Serb. Chem. Soc. 2005, 70, 833–842. [Google Scholar] [CrossRef]
 - Kharlampidi, K.E.; Tereshchenko, K.A.; Nurmurodov, T.S.; Shiyan, D.A.; Miroshkin, N.P.; Ziyatdinov, N.N.; Ziganshina, A.S.; Nurullina, N.M.; Khursan, S.L.; Ulitin, N.V. The kinetic modeling of cumene oxidation taking into account oxygen mass transfer. Chem. Eng. J. 2020, 392, 123811. [Google Scholar] [CrossRef]
 - Dumbre, D.K.; Choudhary, V.R.; Patil, N.S.; Uphade, B.S.; Bhargava, S.K. Calcium oxide supported gold nanoparticles as catalysts for the selective epoxidation of styrene by t-butyl hydroperoxide. J. Colloid Interface Sci. 2014, 415, 111–116. [Google Scholar] [CrossRef]
 - Maudez, W.; Häussinger, D.; Fromm, K.M. Substitution reactions on CaI2: Synthesis of mixed metal lithium-calcium-phenolates, and cluster transformation as a function of solvent. Z. Anorg. Allg. Chem. 2006, 632, 2295–2298. [Google Scholar] [CrossRef]
 - Rodríguez-Díaz, J.M.; Santos-Martín, M.T. Study of the best designs for modifications of the Arrhenius equation. Chemom. Intell. Lab. Syst. 2009, 95, 199–208. [Google Scholar] [CrossRef]
 - Dolan, E.D.; Lewis, R.M.; Torczon, V. On the local convergence of pattern search. SIAM J. Optim. 2003, 14, 567–583. [Google Scholar] [CrossRef]
 - Kharlampidi, K.E.; Nurmurodov, T.S.; Ulitin, N.V.; Tereshchenko, K.A.; Miroshkin, N.P.; Shiyan, D.A.; Novikov, N.A.; Stoyanov, O.V.; Ziyatdinov, N.N.; Lapteva, T.V.; et al. Design of cumene oxidation process. Chem. Eng. Process. 2021, 161, 108314. [Google Scholar] [CrossRef]
 







| Oscillation Assignment | ν(C=O) (For Acids)  | νas(COO−) | νS(COO−) | ν(MO) | 
|---|---|---|---|---|
| Characteristic frequency, cm−1 | 1670–1690 | 1530–1630 | 1380–1450 | 400–500 | 
| k | A | ||||||
|---|---|---|---|---|---|---|---|
| Mg | Ca | Sr | Ba | Zn | Cd | Hg | |
| k1 | 6.8∙1014 | 2.5∙103 | 1.7∙107 | 1.7∙103 | 2.2∙1012 | 1.0∙1011 | 4.0∙1012 | 
| k1’ | 6.0∙108 | 6.9∙104 | 1.8∙107 | 9.8∙103 | 1.9∙1013 | 2.8∙1011 | 1.5∙1010 | 
| k2 | 5.6∙104 | 2.4∙103 | 2.7∙103 | 2.9∙103 | 1.0∙107 | 3.3∙105 | 9.3∙107 | 
| k2’ | 6.3∙1014 | 6.8∙1019 | 7.3∙1019 | 1.2∙107 | 2.2∙1012 | 6.6∙1012 | 3.8∙1011 | 
| k3 | 7.2∙105 | 3.4∙105 | 8.6∙104 | 1.2∙104 | 8.6∙1010 | 1.2∙108 | 6.9∙106 | 
| k3’ | 1.1∙1013 | 6.3∙1014 | 1.3∙1016 | 1.0∙1018 | 1.3∙1010 | 3.1∙109 | 3.0∙109 | 
| k4 | 2.9∙107 | 5.7∙107 | 5.7∙107 | 4.6∙1012 | 1.6∙108 | 5.6∙106 | 1.3∙105 | 
| k5 | 6.1∙106 | ||||||
| k6 | 1.5∙106 | 1.2∙103 | 1.2∙103 | 4.2∙1018 | 8.6∙109 | 1.7∙109 | 2.6∙1012 | 
| k7 | 9.3∙106 | ||||||
| k8 | 3.9∙107 | 3.1∙104 | 7.9∙104 | 4.7∙104 | 3.2∙105 | 2.3∙105 | 3.9∙105 | 
| k9 | 1.3∙106 | ||||||
| k10 | 4.0∙1016 | 5.9∙105 | 5.9∙105 | 1.9∙1010 | 5.5∙1013 | 7.5∙1010 | 4.6∙1010 | 
| k11 | 9.60∙1011 | ||||||
| k12 | 1.4∙1014 | ||||||
| k13 | 2.4∙1010 | 4.2∙1013 | 4.2∙1013 | 2.6∙1015 | 9.0∙107 | 2.4∙1011 | 5.5∙109 | 
| k14 | 6.3∙1010 | ||||||
| k15 | 1.6∙1010 | 1.3∙107 | 1.3∙107 | 1.8∙1017 | 2.7∙1013 | 3.4∙1012 | 1.0∙1013 | 
| k16 | 6.0∙1012 | ||||||
| k17 | 1.8∙1010 | 1.2∙109 | 1.2∙109 | 1.2∙1017 | 1.8∙106 | 7.4∙1012 | 8.2∙1011 | 
| k18 | 1.2∙107 | ||||||
| k19 | 1.1∙1012 | 1.4∙1010 | 1.4∙1010 | 5.4∙109 | 6.8∙1012 | 5.5∙1011 | 2.4∙1011 | 
| k20 | 5.8∙1013 | ||||||
| k21 | 5.0∙107 | ||||||
| k22 | 8.8∙109 | ||||||
| k23 | 4.5∙106 | ||||||
| k24 | 8.4∙1017 | 2.6∙1014 | 5.0∙1012 | 5.4∙1011 | 4.3∙107 | 4.3∙1011 | 9.8∙108 | 
| k25 | 3.6∙1012 | ||||||
| k26 | 2.3∙1011 | ||||||
| k27 | 5.0∙1010 | ||||||
| k28 | 7.6∙1012 | ||||||
| k29 | 2.3∙1013 | ||||||
| k30 | 7.4∙1011 | ||||||
| k31 | 1.7∙1011 | ||||||
| k32 | 4.9∙1012 | ||||||
| k33 | 4.4∙108 | ||||||
| k34 | 1.12∙107 | ||||||
| k35 | 3.3∙1017 | 1.1∙105 | 1.1∙105 | 1.05∙1012 | 5.1∙108 | 1.9∙109 | 7.8∙105 | 
| k36 | 3.7∙107 | 1.8∙1012 | 3.8∙1015 | 3.1∙1017 | 2.6∙1012 | 4.2∙1010 | 7.6∙1011 | 
| k37 | 1.21∙105 | ||||||
| k38 | 1.3∙105 | 4.2∙103 | 4.2∙103 | 5.80∙103 | 3.9∙109 | 1.1∙109 | 8.5∙106 | 
| k39 | 6.38∙108 | ||||||
| k40 | 5.6∙1011 | 9.8∙108 | 9.8∙108 | 4.65∙1019 | 5.2∙107 | 1.2∙1012 | 6.6∙105 | 
| k41 | 5.99∙106 | ||||||
| k41’ | 2.34∙1012 | ||||||
| k42 | 7.10∙107 | ||||||
| k43 | 2.94∙106 | ||||||
| k44 | 7.2∙1012 | 5.1∙103 | 2.1∙104 | 2.3∙1015 | 6.3∙1013 | 2.0∙1014 | 1.7∙1013 | 
| k45 | 0.75 | 2.8∙1019 | 1.2∙1019 | 1.03∙103 | 1.9∙104 | 1.3∙103 | 1.8∙105 | 
| k46 | 1.1∙1021 | 2.5∙1010 | 5.0∙1010 | 1.72∙109 | 5.7∙104 | 4.8∙104 | 8.1∙106 | 
| k47 | 680 | 3.8∙1011 | 6.9∙1010 | 3.53∙1014 | 3.2∙106 | 5.2∙103 | 1.8∙106 | 
| k | E | ||||||
|---|---|---|---|---|---|---|---|
| Mg | Ca | Sr | Ba | Zn | Cd | Hg | |
| k1 | 121,700 | 48,100 | 76,300 | 50,100 | 115,700 | 97,800 | 115,600 | 
| k1’ | 102,700 | 68,500 | 86,200 | 63,000 | 133,100 | 121,100 | 109,300 | 
| k2 | 42,400 | 33,400 | 33,400 | 31,800 | 68,100 | 50,200 | 73,800 | 
| k2’ | 85,200 | 122,700 | 122,700 | 33,100 | 70,100 | 71,900 | 62,600 | 
| k3 | 48,700 | 63,800 | 63,800 | 5000 | 69,200 | 83,200 | 42,300 | 
| k3’ | 109,100 | 105,000 | 77,800 | 139,300 | 56,300 | 84,700 | 58,000 | 
| k4 | 39,900 | 56,100 | 56,100 | 125,200 | 69,700 | 35,000 | 49,000 | 
| k5 | 106,500 | ||||||
| k6 | 21,000 | 7700 | 7700 | 88,500 | 62,100 | 41,200 | 36,400 | 
| k7 | 95,700 | ||||||
| k8 | 39,300 | 17,600 | 20,600 | 22,700 | 33,500 | 24,600 | 28,100 | 
| k9 | 94,700 | ||||||
| k10 | 68,000 | 20,800 | 20,800 | 53,100 | 92,900 | 64,100 | 63,100 | 
| k11 | 21,700 | ||||||
| k12 | 95,900 | ||||||
| k13 | 49,100 | 71,600 | 71,600 | 86,500 | 65,200 | 56,100 | 41,300 | 
| k14 | 42,000 | ||||||
| k15 | 23,200 | 5600 | 5600 | 71,100 | 38,100 | 38,200 | 40,100 | 
| k16 | 24,400 | ||||||
| k17 | 22,200 | 17,700 | 17,700 | 78,100 | 83,000 | 50,300 | 87,400 | 
| k18 | 3700 | ||||||
| k19 | 9800 | 2000 | 2000 | 9600 | 76,100 | 8200 | 58,400 | 
| k20 | 60,200 | ||||||
| k21 | 6700 | ||||||
| k22 | 8700 | ||||||
| k23 | 62,100 | ||||||
| k24 | 110,400 | 71,800 | 59,300 | 57,800 | 66,900 | 59,900 | 40,200 | 
| k25 | 81,900 | ||||||
| k26 | 7700 | ||||||
| k27 | 420 | ||||||
| k28 | 21,100 | ||||||
| k29 | 59,300 | ||||||
| k30 | 36,200 | ||||||
| k31 | 63,400 | ||||||
| k32 | 99,100 | ||||||
| k33 | 2020 | ||||||
| k34 | 89,100 | ||||||
| k35 | 149,900 | 55,900 | 55,900 | 116,400 | 76,000 | 87,300 | 58,500 | 
| k36 | 62,900 | 94,300 | 118,700 | 89,500 | 50,600 | 85,600 | 46,500 | 
| k37 | 83,600 | ||||||
| k38 | 25,900 | 56,800 | 56,800 | 4700 | 49,300 | 53,100 | 34,700 | 
| k39 | 102,200 | ||||||
| k40 | 52,600 | 46,200 | 46,100 | 80,100 | 24,500 | 68,600 | 23,800 | 
| k41 | 75,100 | ||||||
| k41’ | 113,600 | ||||||
| k42 | 88,900 | ||||||
| k43 | 58,500 | ||||||
| k44 | 124,600 | 63,700 | 68,200 | 141,500 | 135,000 | 134,900 | 131,800 | 
| k45 | 11,400 | 83,000 | 131,600 | 47,000 | 49,700 | 94,600 | 75,200 | 
| k46 | 122,800 | 47,200 | 47,200 | 106,900 | 53,200 | 106,200 | 94,600 | 
| k47 | 11,000 | 78,500 | 69,400 | 86,100 | 84,400 | 99,100 | 119,100 | 
| Catalyst | Mg | Ca | Sr | Ba | Zn | Cd | Hg | ||||||||
|---|---|---|---|---|---|---|---|---|---|---|---|---|---|---|---|
| Experimental conditions | G = 0 L/min, T = 403 K, P = 1 atm, [RH]0 = 0 mol/L, [Cat]0 = 5 mmol/L | ||||||||||||||
| t = 6 h, [ROOH]0 = 1 mol/L | t = 4 h, [ROOH]0 = 1.5 mol/L | ||||||||||||||
| Data | exp. | calc. | exp. | calc. | exp. | calc. | exp. | exp. | calc. | exp. | calc. | exp. | calc. | exp. | |
| Species | ROOH | 0.09 | 0.22 | 0.52 | 0.44 | 0.52 | 0.43 | 0.64 | 0.57 | 0.99 | 1.00 | 0.87 | 0.87 | 0.96 | 0.89 | 
| ROH | 0.23 | 0.23 | 0.29 | 0.24 | 0.27 | 0.23 | 0.28 | 0.11 | 0.28 | 0.28 | 0.38 | 0.31 | 0.15 | 0.21 | |
| C6H5C(O)CH3 | 0.67 | 0.27 | 0.22 | 0.2 | 0.20 | 0.19 | 0.13 | 0.20 | 0.10 | 0.14 | 0.11 | 0.15 | 0.21 | 0.13 | |
| C6H5OH | 0.05 | 0.03 | 0.05 | 0.02 | 0.01 | 0.02 | 0.009 | 0.004 | 0.13 | 0.14 | 0.09 | 0.09 | 0.11 | 0.11 | |
| C6H5C(CH3)=CH2 | 0.11 | 0.09 | 0.02 | 0.02 | 0.01 | 0.01 | 0.007 | 0.02 | 0.01 | 0.01 | 0.02 | 0.02 | 0.01 | 0.01 | |
Disclaimer/Publisher’s Note: The statements, opinions and data contained in all publications are solely those of the individual author(s) and contributor(s) and not of MDPI and/or the editor(s). MDPI and/or the editor(s) disclaim responsibility for any injury to people or property resulting from any ideas, methods, instructions or products referred to in the content.  | 
© 2023 by the authors. Licensee MDPI, Basel, Switzerland. This article is an open access article distributed under the terms and conditions of the Creative Commons Attribution (CC BY) license (https://creativecommons.org/licenses/by/4.0/).
Share and Cite
Ulitin, N.V.; Shiyan, D.A.; Lyulinskaya, Y.L.; Novikov, N.A.; Tereshchenko, K.A.; Nurullina, N.M.; Denisova, M.N.; Kharlampidi, K.E.; Mezhuev, Y.O. The Effect of Metals of the 2nd and 12th Groups on the Productivity and Selectivity of Cumene Oxidation—The First Stage of the Technological Chain for the Production of Polymer Composites. J. Compos. Sci. 2023, 7, 70. https://doi.org/10.3390/jcs7020070
Ulitin NV, Shiyan DA, Lyulinskaya YL, Novikov NA, Tereshchenko KA, Nurullina NM, Denisova MN, Kharlampidi KE, Mezhuev YO. The Effect of Metals of the 2nd and 12th Groups on the Productivity and Selectivity of Cumene Oxidation—The First Stage of the Technological Chain for the Production of Polymer Composites. Journal of Composites Science. 2023; 7(2):70. https://doi.org/10.3390/jcs7020070
Chicago/Turabian StyleUlitin, Nikolai V., Daria A. Shiyan, Yana L. Lyulinskaya, Nikolay A. Novikov, Konstantin A. Tereshchenko, Natalia M. Nurullina, Marina N. Denisova, Kharlampii E. Kharlampidi, and Yaroslav O. Mezhuev. 2023. "The Effect of Metals of the 2nd and 12th Groups on the Productivity and Selectivity of Cumene Oxidation—The First Stage of the Technological Chain for the Production of Polymer Composites" Journal of Composites Science 7, no. 2: 70. https://doi.org/10.3390/jcs7020070
APA StyleUlitin, N. V., Shiyan, D. A., Lyulinskaya, Y. L., Novikov, N. A., Tereshchenko, K. A., Nurullina, N. M., Denisova, M. N., Kharlampidi, K. E., & Mezhuev, Y. O. (2023). The Effect of Metals of the 2nd and 12th Groups on the Productivity and Selectivity of Cumene Oxidation—The First Stage of the Technological Chain for the Production of Polymer Composites. Journal of Composites Science, 7(2), 70. https://doi.org/10.3390/jcs7020070
        
