Next Article in Journal
Development of Mineral Fillers for Acid-Resistant Filling Composites
Previous Article in Journal
Novel Magnetite (Fe3O4)-Methylcellulose Nanocomposites Synthesized Using the Reverse Co-Precipitation Approach
 
 
Font Type:
Arial Georgia Verdana
Font Size:
Aa Aa Aa
Line Spacing:
Column Width:
Background:
Article

Composite Coatings with Liposomes of Melissa officinalis Extract for Extending Tomato Shelf Life

by
Rafael González-Cuello
1,*,
Luis Gabriel Fuentes
1,
Heliana Milena Castellanos
2,
Joaquín Hernández-Fernández
3,4,5 and
Rodrigo Ortega-Toro
1,*
1
Food Packaging and Shelf-Life Research Group (FP&SL), Food Engineering Department, University of Cartagena, Cartagena 130015, Colombia
2
Centro Internacional Náutico, Fluvial y Portuario-SENA, Cr. A Mamonal N° 15, Cartagena de Indias, Bolívar 130015, Colombia
3
Chemistry Program, Department of Natural and Exact Sciences, San Pablo Campus, University of Cartagena, Cartagena 130015, Colombia
4
Chemical Engineering Program, School of Engineering, Universidad Tecnológica de Bolívar, Parque Industrial y Tecnológico Carlos Vélez Pombo Km 1 Vía Turbaco, Cartagena 130001, Colombia
5
Department of Natural and Exact Science, Universidad de la Costa, Barranquilla 080002, Colombia
*
Authors to whom correspondence should be addressed.
J. Compos. Sci. 2024, 8(7), 283; https://doi.org/10.3390/jcs8070283
Submission received: 7 June 2024 / Revised: 18 July 2024 / Accepted: 19 July 2024 / Published: 22 July 2024
(This article belongs to the Section Composites Applications)

Abstract

In this study, active coatings based on carboxymethylcellulose (CMC) were prepared using liposomes filled with an aqueous extract of Melissa officinalis retained in high acyl gellan gum (HAG), low acyl gellan gum (LAG), and their mixture (HAG/LAG). The objective was to investigate the effect of these coatings on postharvest preservation of tomato (Solanum lycopersicum) fruits. The tomato fruits were divided into four groups: (i) coating with HAG-based liposomes (WL-HAG), (ii) coating with LAG-based liposomes (WL-LAG), (iii) coating with HAG/LAG-based liposomes (WL-HAG/LAG), and (iv) control group treated with sterile water. Over a period of 10 days, various quality attributes, such as respiration rate, soluble solids, titratable acidity, luminosity, weight loss, malondialdehyde (MDA) content, hydrogen peroxide, total phenols, and DPPH scavenging ability, were studied. The results indicated that the WL-HAG coatings significantly (p < 0.05) decreased the respiration rate, hydrogen peroxide, and MDA content compared to the control fruits and other coatings. Therefore, WL-HAG could be considered a promising option to enhance postharvest preservation of tomato fruits in the Colombian fruit and vegetable industry.

1. Introduction

Tomato fruits (Solanum lycopersicum) are highly sought after by consumers due to their sensory and nutritional properties, which are attributed to the presence of bioactive compounds with antioxidant and anticarcinogenic activities [1]. However, the high moisture content of tomatoes contributes to a reduction in their shelf life, leading to postharvest losses that affect their commercial viability. Various factors contribute to the decline in tomato quality during storage, including the production of reactive oxygen species, microbial growth, and tissue softening resulting from membrane rupture and the breakdown of hydrocolloids such as cellulose, hemicellulose, and pectin [2]. It is important to note that fungal growth poses a significant risk during postharvest, as it leads to the deterioration of fruit quality and nutritional composition. Moreover, the presence of mycotoxins due to fungal contamination poses potential health hazards to consumers. The deterioration of tomatoes not only results in physical and economic losses but also leads to a decline in nutritional value, as tomatoes are a rich source of carotenoids (such as lycopene), ascorbic acid, vitamin E, flavonoids, minerals, and essential oils [3].
Tomato cultivation in Colombia in 2019 covered an area of 17,667 hectares, resulting in a production of 822,418 tons and a yield of 46.55 tons per hectare, according to data from the Ministry of Agriculture [4]. In the department of Bolívar, 62 tons were produced during the same period, with a yield of 8.86 tons per hectare. Considering the importance of tomato commercialization and consumption, it is necessary to implement procedures that preserve fruit quality during the postharvest stage, with a focus on inhibiting fungal growth. While synthetic fungicides have traditionally been used for this purpose, modern consumers are concerned about the adverse effects of using synthetic antimicrobials and prefer food products preserved with natural antimicrobial agents. Aromatic plants serve as a valuable source of biologically active compounds [5], as approximately 80% of the world’s population relies on traditional plant-based medicine. Throughout history, herbs have been incorporated to enhance the sensory properties of various food products. Melissa officinalis, also known as lemon balm, is a plant native to the eastern Mediterranean region, southern Europe, western Asia, the Caucasus, and northern Iran. However, it is now grown globally due to its cross-pollination nature [6]. The plant typically reaches a height of 30 to 125 cm and features white or pale pink flowers and ovate leaves with a length of 6 cm and width of 3 cm. M. officinalis is recognized for its diverse biological activities, particularly as an antimicrobial agent, owing to its abundance of bioactive compounds such as volatile compounds, triterpenes, phenolic acids, and flavonoids [7].
The use of natural products is an interesting option for the production of organic tomatoes. While fruit and vegetable preservation technologies have been developed for many years, the preservation of tomatoes has been limited due to the damage caused by cold, which is a complex and economically expensive process. As a result, alternative methods such as the application of edible coatings based on hydrocolloids have been explored to preserve the quality of tomatoes. Edible coatings (ECs) form a thin layer on the surface of the food matrix, creating a barrier between the food system and the environment. They control gas permeability and reduce weight loss of the coated product [8]. By reducing weight loss and ethylene production and improving visual appearance while maintaining biochemical properties, the shelf life of plant products can be extended.
Polysaccharides commonly used in coating preparation include chitosan, starch, and cellulose derivatives, with methylcellulose (MC), hydroxypropylmethylcellulose (HPMC), and carboxymethylcellulose (CMC) being the most commonly used cellulose derivatives. Cellulose is widely available in nature, making it relatively inexpensive and easy to obtain. This is why cellulose-based coatings are cost-effective and highly recyclable [9]. Polysaccharide-based coatings, particularly those containing cellulose and its derivatives, fulfill the requirements of real industrial processes due to their low cost. CMC, a cellulose derivative composed of 1,4-β-D-glucan monomers, has some of the hydroxyl (-OH) groups partially substituted by -CH2COOH groups. In addition to being odorless, nontoxic, and water soluble, CMC is thermally stable and capable of forming flexible and strong coatings. It is commonly used as a food additive [10].
An improvement that has been made in the preparation of active coatings is the incorporation of microcapsules containing aqueous extracts with active properties [8]. Microcapsules can be produced using various methods, such as ionic gelation, extrusion, and liposomes. Liposomes are microbubbles formed to encapsulate active ingredients within lipid bilayers. They mimic artificial membranes, where the hydrophilic heads of the phospholipid molecules are oriented toward the water, while the hydrophobic tails face the air. Through a stirring process, spherical liposomes with diameters ranging from 25 to 1000 nm are formed. Liposomes have found wide applications in cosmetics, food, medicine, and other fields due to their unique molecular structure and physical and chemical properties. They are considered a promising encapsulation method due to their biocompatibility, biodegradability, and low toxicity [11]. Liposomes, including nanoliposomes, are attractive encapsulation systems for delivering functional compounds in the food industry. They can protect specific ingredients from adverse conditions, thereby enhancing the effect of additives when incorporated into a food system [12].
Liu et al. [13] employed different mixtures of gellan gum to regulate the release of active compounds contained in hydrogels. Gellan gum is a microbial exopolysaccharide produced through fermentation by Sphingomonas paucimobilis. It consists of repeating units of a tetrasaccharide, including 1,3-β-D-glucose, 1,4-β-D-glucuronic acid, 1,4-β-D-glucose, and 1,4-α-L-rhamnose. In its natural form, it is known as high acyl gellan gum (HAG) due to the presence of two acyl groups (acetate and glycerate) on its glucose residue A. When subjected to strong alkali treatment, the acyl groups are hydrolyzed, resulting in low acyl gellan gum (LAG) [8]. Therefore, the objective of this study is to evaluate the effect of active coatings based on CMC-containing liposomes loaded with gellan gum (HAG, LAG and HAG/LAG) and an aqueous extract of M. officinalis, on various parameters that determine the postharvest quality of tomatoes.

2. Materials and Methods

2.1. Fruit Material

The tomato fruits were harvested in the morning and transported to the laboratory. Any tomatoes showing physical damage, microbial alterations, or discoloration were discarded. In the laboratory, the fruits were cooled and disinfected in a 0.05% sodium hypochlorite solution for 2 min. Afterwards, the fruits were rinsed with ample sterile distilled water and dried on trays at room temperature. Finally, the fruits were classified based on shape and weight (65.00 g).

2.2. Fabrication of Liposomes

Liposomes were aseptically prepared by the thin-film hydration method [14]. Briefly, one gram of soy lecithin (Gelcaps®, softgels, Mexico city, Mexico) was dissolved in 60 mL of a chloroform/methanol mixture (2:1). Then, the solvent was thoroughly eliminated through rotary evaporation (IKA RV8, Staufen, Germany) at 45 °C. The resulting film was hydrated by adding 25 mL of different gellan solutions (Modernish Pantry, Eliot, ME, USA, EEUU), including HAG, LAG, and their mixture HAG/LAG, along with an aqueous extract of M. officinalis obtained by steam stripping. The multilamellar vesicles formed were disrupted using a sonicator (Labware-Scientific KSL5120-5, Wilmington, DE, USA, EEUU) for 20 min. The hydrated liposomes were stored in the dark at 4 °C until use.

2.3. Preparation and Application of Edible Coating

Carboxymethylcellulose (0.7% w/v) was dissolved in distilled water under constant stirring at room temperature for 3 h. The liposomes previously elaborated along with polyethylene glycol (as a plasticizer) were added to the dissolution of CMC. The tomato fruits were divided into four groups, with each group consisting of 30 fruits. Each group was immersed for 2 min in the following coating-forming solutions: (i) HAG-based liposomes (WL-HAG), (ii) LAG-based liposomes, (iii) HAG/LAG-based liposomes (WL-HAG/LAG), and (iv) sterile distilled water (control). Finally, the tomatoes were stored in a sterile air cabinet at room temperature for two hours to facilitate the drying process. All quality parameters were analyzed after 2, 4, 6, 8, and 10 days of storage at 25 °C and 75% relative humidity (RH).

2.4. Respiration Rate, Soluble Solids, and Titratable Acidity

One fruit from each treatment was placed in a completely airtight plastic jar and stored for one hour. Subsequently, a gas analyzer (F-950, Felix Instruments, QA Supplies LLC, Norfolk, UK, EEUU) was used to measure the respiration rate, expressed as mmol CO2/kg/h. The fruits were then macerated in a mortar, and the determination of soluble solids (SSs) was conducted by placing four drops of the macerate on the prism of a refractometer (Extech Model 2132, Extech Instruments, Nashua, NH, USA, EEUU). The results were expressed in °Brix. For the determination of acidity, the mash was filtered, and titration with NaOH (0.1 N) was carried out until the solution reached a pH of 8.3 [15].

2.5. Determination of Lightness and Weight Loss

The lightness values (L*) of tomato fruits were determined using a CR-20 colorimeter (Konica Minolta, Tokyo, Japan) by taking 5 measurements at equidistant points on each fruit. The lightness scale ranges from zero for black to 100 for white. To measure the weight loss, the tomatoes were initially weighed, with approximately 10 fruits used for each type of coating. The weights were recorded on days 0, 2, 4, 6, 8, and 10. The weight loss was calculated using Equation (1),
W e i g h t   l o s s   % = W 0 W t W 0 × 100
where W0 is the initial weight of the fruit and Wt represents the weight at each sampling time.

2.6. Malondialdehyde (MDA) Content

The content of malondialdehyde was determined following the method proposed by [16]. One gram of tomato pulp was homogenized in 15 mL of 10% trichloroacetic acid. Then, centrifugation was carried out at 12,000× g for 20 min at 4 °C. Subsequently, 2 mL of the supernatant was mixed with 2 mL of thiobarbituric acid and heated for 25 min. After cooling, a second centrifugation was performed, and the absorbance was measured at different wavelengths (532 nm, 600 nm, and 450 nm). The MDA concentration was determined according to Equation (2), and the results were expressed in mmol/g.
M D A = 6.45 A 532 A 600 0.56 ( A 450 )

2.7. Hydrogen Peroxide Content

One gram of tomato pulp was homogenized in 5 mL of trichloroacetic acid and centrifuged at 12,000× g for 10 min. Then, a mixture was prepared by combining the supernatant with 1 mL of phosphate buffer (10 mmol/L, pH 7.0) and 1 mL of potassium iodide (1 mol/L). Finally, the absorbance at a wavelength of 390 nm was measured, and the hydrogen peroxide concentration was expressed as μmol/g [17].

2.8. Determination of Total Phenol Content

The method used for assessing the total phenol content was based on the procedure outlined by [18]. A 0.5 g sample of tomato was homogenized in a 60% (v/v) ethanol solution and subjected to thermosonication at 40 °C for 60 min. The mixture was then centrifuged at 12,000× g for 20 min. Then, 0.1 mL of the supernatant was mixed with 0.3 mL of a Folin-phenol solution (0.5 mol/L). Subsequently, 1.2 mL of Na2CO3 (0.5 mol/L) was added, and the absorbance at 765 nm was measured. The blank sample used in the determination contained 60% ethanol. The results were expressed as milligrams of gallic acid equivalents per 100 g (mg GAE/100 g).

2.9. DPPH Scavenging Ability

A 50 μL extract was prepared using a methanolic mixture (methanol: water, 8:2) and added to 950 μL of a 2,2-diphenyl-1-picrylhydrazyl (DPPH) solution (0.025 g/100 mL in 85% methanol). The preparation was incubated in the dark for 60 min at room temperature, and the absorbance at 517 nm was measured [19]. Trolox was used as a reference compound. The DPPH scavenging ability was expressed as millimoles of Trolox equivalents per 100 g (mmol TE/100 g).

2.10. Statistical Analysis

Each analysis was performed in triplicate, and the data obtained were reported as the mean ± standard deviation. The comparison between treatments was conducted using one-factor analysis of variance (ANOVA) with a confidence level of 95%. Post hoc multiple comparisons were performed using the least significant difference (LSD) test.

3. Results and Discussion

3.1. Respiration Rate, Soluble Solids, and Titratable Acidity

In evaluating the postharvest quality of tomato fruits, it is important to conduct kinetic studies to estimate the loss of fruit quality and ensure overall fruit quality. The quality of tomato fruits is influenced by a combination of various physical, chemical, physiological, and nutritional factors [20]. Among the kinetics to be evaluated, one of the most relevant is the respiration rate of the fruit, as tomato ripening is characterized by a climacteric increase in CO2 production. Figure 1 illustrates the increase in CO2 production during tomato storage in all analyzed samples. However, this increase is more pronounced (p < 0.05) in the control samples (without coating), while the coated samples exhibit a reduced respiration rate, thereby delaying fruit ripening. This is attributed to the formation of a semipermeable barrier by the coating, which limits the diffusion of gases such as carbon dioxide and oxygen.
The highest rate of CO2 was obtained at the end of storage (day 10) in the control tomatoes, with a value of 27.45 kg/h, while the lowest rates were observed at the beginning of storage (day 0), with values between 4.29 kg/h and 4.52 kg/h. Specifically, on day 0 of storage, there were no significant differences (p > 0.05) in the respiration rate values between the coated and control samples. When considering the average values of the respiration rate achieved during the entire storage process, the WL-HAG-coated tomato fruits exhibited the lowest rate with 8.08 kg/h, followed by the WL-HAG/LAG-coated tomatoes with a rate of 10.05 kg/h. On the other hand, the highest CO2 values were found in the control samples and the WL-LAG-coated tomatoes with rates of 15.32 kg/h and 11.56 kg/h, respectively.
In summary, the coated fruits showed lower respiration rates throughout the storage period compared to the control sample. Among the coatings, WL-HAG exhibited the most significant (p < 0.05) reduction in the respiration rate, making it a promising candidate for extending the shelf life of tomato fruits. The coatings effectively modified the internal environment of the fruits by regulating the respiration rate [21]. These results are consistent with the findings reported by Ali et al. [22], who observed delayed ripening in coated tomato fruits during storage due to a reduction in the respiration rate [23].
The soluble solids (SSs) content gradually increased during storage, as shown in Table 1. The highest SS contents were obtained at the end of storage (day 10), specifically in the control samples (6.51° Brix), followed by tomatoes coated with WL-LAG (6.07° Brix) and those coated with WL-HAG/LAG (5.88° Brix); the lowest SS concentration was found in tomatoes coated with WL-HAG, with 5.60° Brix. Regarding the beginning of storage, specifically on day 2, the lowest SS value was 3.75° Brix for tomatoes treated with WL-HAG, and the highest value was 3.92° Brix for the control sample. The observed trend is that the SS content increases as the storage time increases. Ahmed et al. [24] found that tomatoes coated with bacterial cellulose, starch, and sodium alginate had values ranging from 6.42° Brix on the initial day to 7.15° Brix at the end of the storage period at room temperature, and from 6.43° Brix on the initial day to 7.01° Brix at the end of the storage period at refrigeration temperature. Similarly, as observed with the respiration rate, the proportion of gellan gum (HAG and LAG) present inside the liposomes affects the SS content in the tomato fruits. The lowest values for the coated samples were obtained with the coatings containing HAG-loaded liposomes. This may occur due to the suppression of ethylene production, the decreased rate of respiration, and the slower production and utilization of metabolites in the coated samples [24]. This behavior can be attributed to the different gelling mechanisms of the two gums used. While LAG requires the formation of ionic bonds and cations for gel formation, HAG only forms crosslinking between the gum helices supported by hydrogen bonds, which can facilitate the controlled release process of the active principle contained in the liposomes.
The increase in SSs with the passage of storage time is a consequence of the typical transformations that occur in climacteric fruits, where carbohydrates are converted into simple sugars. A decrease in the respiratory rate of the coated fruit also reduces the conversion of carbohydrates into sugars [25]. Several studies have shown a similar pattern, where the application of edible coatings decreases the SS content in tomatoes [22]. Regarding the titratable acidity (TA) values, a gradual decrease is observed with increasing storage time (Table 1). At the beginning of storage (day zero), there were no significant differences (p > 0.05) between the control tomato fruits and the coated ones, as they had values between 0.77% and 0.73%. At the end of storage, the lowest TA values were obtained in the control samples (0.42%), followed by the samples coated with WL-LAG (0.50%). The highest values were obtained in tomatoes treated with WL-HAG (0.57%), while tomatoes coated with WL-HAG/LAG had an intermediate TA value of 0.54%. Similar levels were reported by Shakir et al. [15] who found acidity levels of 0.533% in uncoated tomatoes. For their part, Jhanani et al. [26] observed a rapid decrease in TA values in uncoated tomatoes, while a slower decrease was noted in fruits coated with pectin. It is important to clarify that these authors reported TA values (<0.1%) during the stages of tomato ripening; that is, they did not present the values of the kinetics over the days of storage. In general, the titratable acidity gradually decreases with increasing storage time. Citric acid is the main dominant organic acid in tomatoes, and only a small amount is converted into sugar due to the process of gluconeogenesis, as the majority of acid consumption during tomato ripening occurs during respiration [27]. Therefore, a rapid decline in organic acids indicates the fruit aging process [25].

3.2. Determination of Weight Loss and Luminosity

Weight loss in fruits is an important factor to consider, as it determines the postharvest shelf life and provides insights into important physiological mechanisms such as transpiration [28]. The control tomatoes exhibited the highest weight loss values at the end of storage (day 10), with a percentage of 12.88%. They were followed, in order, by the sample coated with WL-LAG with 12.25%, WL-HAG/LAG with 12.12%, and finally the WL-HAG sample with 12.04%. Wardak et al. [29] obtained weight loss values of 10.18% in uncoated tomatoes, while in fruits coated with starch and cellulose nanofibers at 8%, this value decreased to 7.22%, indicating a possible synergistic effect on the crosslinked starch composition leading to a reduction in the weight loss of the coated tomato. These authors conducted a study including the physicomechanical and barrier properties of the coatings, finding a relationship between water vapor permeability, cellulose nanofiber concentrations, and fruit weight loss. However, the authors only studied quality parameters of the tomato such as color, pH, soluble solids, and firmness, leaving out aspects like acidity, phenolic composition, and malondialdehyde. These results indicate a decrease in weight loss due to the application of the coatings, as they create a semipermeable barrier that limits the transfer of volatile compounds and water molecules [22] Therefore, the coatings help reduce moisture loss from the fruits, possibly through the formation of hydrogen bonds between the carboxyl groups present in the CMC and the fruit surface, acting as a barrier [2]. Similar results were observed by Zhang et al. [23] in tomatoes coated with mixtures of polysaccharides and CMC. Similarly, Jhanani et al. [26] reported a significant difference in weight loss between control tomatoes (uncoated) and tomatoes coated with pectin extracted from zucchini, attributing this to the fact that pectin serves as a barrier to the transmission of CO2 and O2, helping to retain the moisture content of the tomatoes.
Figure 2a shows that weight loss was not significantly affected (p > 0.05) by the presence of HAG and LAG contained in the liposomes. However, as the storage time increased, there were significant differences (p < 0.05) between the different analysis times (days 2, 4, 6, 8, and 10) due to the natural syneresis of the fruits during storage. The range of weight loss at the beginning of storage (day 2) was between 3.56% and 3.84% for both the control and coated samples. These values are close to those reported by Carrillo-Lomelí et al. [30], who obtained values of less than 5% in cherry tomatoes coated with multilayer films of chitosan and polysaccharides from Opuntia stenopetala mixed with alginate using the layer-by-layer (LbL) technique incorporating Flourensia microphylla. Although these authors achieved low weight loss values during storage, the coating used is quite complicated to produce and therefore difficult to apply industrially.
The results obtained in the present study suggest that the influence of storage time on the weight loss of tomato fruits is greater than the effect of HAG and LAG presence. It is important to mention that fruit weight loss is also related to transpiration processes, which in turn depend on several factors such as fruit variety, stage of ripeness, type of coating used, storage temperature, relative humidity, and time [31].
Luminosity (L*) is an important attribute that allows for better fruit selection by consumers. This attribute is measured on a scale from 0 (black) to 100 (white). In Figure 2b, a decrease in this parameter during storage can be observed. Additionally, variations in L* are observed due to the presence of HAG and LAG in the liposomes. Tomatoes coated with WL-HAG showed the least variation in L*, starting storage (day 0) with a value of 54.34 and ending (day 10) with 40.11. In contrast, the control samples presented initial L* values of 56.32 and final values of 33.65. Samples coated with WL-LAG and WL-HAG/LAG had final L* values of 35.81 and 37.18, respectively. Similar results were published by Wardak et al. [29] who found that the luminosity values of tomatoes decreased over the storage period; therefore, the application of edible coating is effective in retaining the brightness of tomatoes. Figure 3 illustrates the visual alterations in tomato fruits from the start to the end of the storage period. The alterations are particularly noticeable in the control samples (Figure 3A,B). The coated samples exhibited slight changes in comparison with control ones; their color progressively darkened as storage time increased (Figure 3C–H). This indicates that the WL-HAG coating delays the darkening of the tomatoes, possibly due to a gradual release effect of the aqueous extract of M. officinalis, which, due to its chemical composition, can affect the enzymatic processes that occur during fruit ripening. The decrease in L* can also be caused by the browning of the tomatoes, which occurs when pigment synthesis begins. Da Silva et al. [32] observed a reduction in luminosity caused by açaí oil, which imparts a greenish hue, resulting in increased opacity of the fruits following its application. Although these authors evaluated some quality attributes such as color, titratable acidity, pH, soluble solids, and ripening index in tomatoes coated with gelatin and açaí oil, they did not provide an in-depth discussion on each of the evaluated attributes. Lycopene is the main coloring pigment in ripe tomatoes. Therefore, the coatings used reduce the accumulation of lycopene by inhibiting ripening-related processes. As a result, there is a decrease in color change compared to control fruits.

3.3. Malondialdehyde (MDA) and Hydrogen Peroxide Content

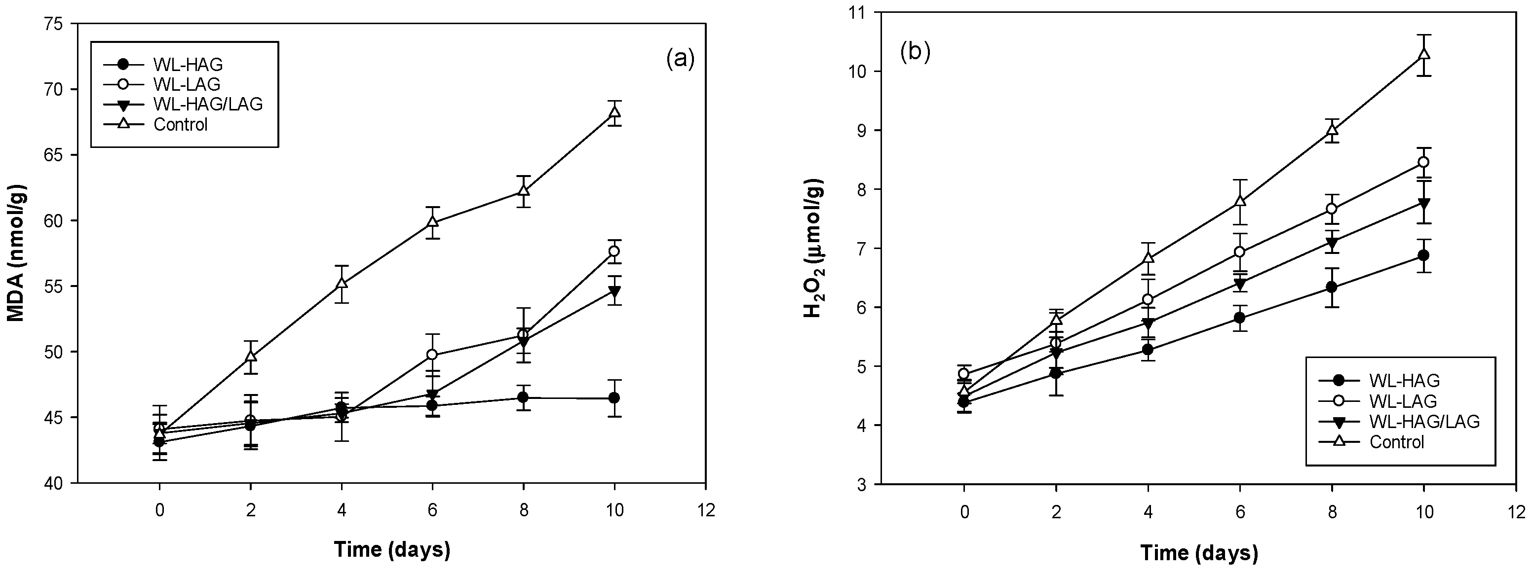
One of the relevant compounds to be determined during the postharvest of tomatoes is malondialdehyde (MDA), as it is a marker of stress in vegetable products. It is the final product of the peroxidation of unsaturated fatty acids, which destabilizes the structure and function of the cellular membrane of tomatoes. Normally, the MDA content increases during the storage of tomatoes [25]. The behavior of MDA during tomato storage can be seen in Figure 4a, where a significant increase (p < 0.05) can be observed in control tomatoes compared to the coated samples. The presence of the coating reduces the concentration of MDA during storage. Considering the average values of MDA during storage, the highest value was 56.42 nmol/g in control tomatoes, followed by the sample coated with WL-LAG with 48.74 nmol/g and WL-HAG/LAG with 47.65 nmol/g. On the other hand, the sample coated with WL-HAG had the lowest mean value of MDA at 45.32 nmol/g.
The lower content of MDA in coated tomatoes could be caused by the lower respiration rate, which in turn decreases metabolic activity, delays fruit senescence, and reduces the production of reactive oxygen species and oxidative stress [33]. It is important to note that once again, the presence of HAG and LAG inside the liposomes significantly (p < 0.05) affected the MDA content at the end of tomato storage, making them good candidates for use in the preparation of active coatings for the postharvest preservation of tomatoes.
On the other hand, H2O2 is a reactive oxygen species that causes oxidative damage during its accumulation and affects metabolic activity and cell integrity. Therefore, it is important to determine its levels during tomato storage. Figure 4b shows a pronounced effect of both storage time and the presence of HAG and LAG on the H2O2 content in tomatoes. The initial H2O2 values ranged between 4.38 and 4.86 µmol/g for the coated and control tomatoes. As the storage time elapsed, significant differences (p < 0.05) were observed between the coated and control fruits. The highest H2O2 values were observed at the end of storage, with control tomatoes having a value of 10.27 µmol/g, followed by tomatoes coated with WL-LAG with 8.45 µmol/g and WL-HAG/LAG with 7.78 µmol/g. The lowest level was 6.87 µmol/g in tomatoes coated with WL-HAG. The low level of H2O2 in the coated fruits may be attributed to the limited availability of respiratory gases, which hinder the respiration process and the production of reactive oxygen species. Additionally, edible coatings have been shown to activate the reactive oxygen species destruction system and reduce H2O2 concentrations in various plant products [34].

3.4. Determination of Total Phenol Content and DPPH Scavenging Ability

At the beginning of storage (day 0), as shown in Table 2, the total phenol content showed no significant variation (p > 0.05), primarily due to the presence of the M. officinalis extract within the gums (HAG and LAG). The tomatoes coated with WL-HAG, WL-LAG, and WL-HAG/LAG had values of 92.55, 92.43, and 92.51 mg gallic acid/100 g, respectively; while the uncoated tomatoes had lower values of 90.48 mg gallic acid/100 g.
On day 4 of storage, the highest phenol values were observed for both the coated and control fruits as follows: WL-HAG-coated tomatoes (118.08 mg gallic acid/100 g), WL-HAG/LAG-coated tomatoes (110.07 mg gallic acid/100 g), and WL-LAG-coated tomatoes (107.66 mg gallic acid/100 g). The control tomatoes had a value of 106.31 mg gallic acid/100 g. This increase in phenol content may be attributed to the fruit’s metabolism associated with the regulation of various biochemical activities, including the elimination of reactive oxygen species, secondary metabolites, metals, and antioxidant activity [35].
After day 4 of tomato storage, there was a gradual reduction in the total phenol content, reaching values of 71.22 mg gallic acid/100 × g for the control tomato samples. For the coated tomatoes, the values were 86.61 mg gallic acid/100 × g for WL-HAG, 78.28 mg gallic acid/100 × g for WL-LAG, and 80.83 mg gallic acid/100 × g for WL-HAG/LAG. This decrease in phenolic compounds is typically associated with cell damage caused by oxidative stress, which initiates senescence.
In summary, a higher content of total phenols is observed in the coated fruits compared to the control sample. This is because the coatings maintain the integrity of the fruit tissues and limit the circulation of oxygen, decreasing the degradation of phenols mediated by oxygen [36]. Therefore, coated fruits exhibit a higher content of total phenols due to the slower ripening of the tomatoes. Additionally, it is relevant to mention the phenol load provided by the aqueous extract of M. officinalis used as an active ingredient. Similar results have been published in fruits such as mango [37] and blueberries [38]. It has been previously reported that coatings reduce the ripening rate of fruits and vegetables [39] by modifying the atmosphere surrounding the food system with respect to gases (O2, CO2, and water vapor). This modification in the gas composition reduces the rate of respiration, delays senescence, and minimizes the loss of tomato quality.
Regarding DPPH scavenging ability, there were no significant differences (p > 0.05) at the beginning of storage (day 0) among the coated samples, as they had values ranging between 168.12 and 167.77 mmol Trolox Equivalents (TE)/100 g. In contrast, the control sample had a value of 153.03 mmol TE/100 g. These results indicate a similar trend to total phenols, suggesting that the presence of HAG and LAG does not have an immediate effect on DPPH scavenging activity at the beginning of storage.
In the subsequent days of storage (2–10 days), significant differences (p < 0.05) were observed, influenced by the type of coating and the increased storage time, as shown in Table 2. By the end of the storage period (day 10), the lowest DPPH scavenging ability was found in the control tomato samples with 125.33 mmol TE/100 g. On the other hand, the highest activity was observed in the sample coated with WL-HAG (175.47 mmol TE/100 g), followed by the samples coated with WL-HAG/LAG (153.77 mmol TE/100 g) and WL-LAG (138.81 mmol TE/100 g). Jhanani et al. [26] studied the DPPH activity in coatings made from pectin extracted from zucchini, finding that the values increased depending on the dosage of pectin used. Although these authors did not conduct an in-depth study on the DPPH scavenging behavior, they did observe an antimicrobial effect against Gram-positive and Gram-negative bacteria as well as molds, which can be attributed to the phenolic content. The major antioxidants present in tomato fruits include ascorbic acid, phenolic compounds, and carotenoids. Additionally, lipophilic molecules such as tocopherols and carotenoids accumulate in the fruit during ripening, increasing its antioxidant potential [40]. Consequently, the higher accumulation of antioxidants and their delayed degradation in coated fruits may be attributed to slower ripening and aging processes within the fruit tissues [25]. Using gellan gum as a filler agent in microcapsules allows for controlling the release process of the active ingredient from the coating onto the coated food matrix, thus maintaining activity for a longer period. This functions as a differential agent compared to works such as that of Wardak et al. [29], who developed a coating to increase the postharvest shelf life of tomatoes using citric acid-crosslinked starch and cellulose nanofiber.

4. Conclusions

The incorporation of liposomes filled with HAG, LAG, and their mixture (HAG/LAG) in CMC-based coatings has shown significant benefits in preserving the postharvest quality of tomato fruits during a 10-day storage period. These coatings effectively reduce weight loss, respiration rate, MDA concentration, and hydrogen peroxide content. The ratio of HAG and LAG within the liposomes influences most of the quality parameters of the tomato. This behavior can be attributed to the different gelling mechanisms of the two gums used. Among the different coatings, the WL-HAG coating demonstrated the most favorable results, exhibiting the lowest respiration rate of 11.24 CO2/kg/h, MDA concentration of 46.44 nmol/g, and hydrogen peroxide content of 6.87 µmol/g. These findings highlight the effectiveness of WL-HAG as a potential alternative for extending the postharvest shelf life of tomato fruits. Overall, the incorporation of liposomes filled with aqueous extract of M. officinalis, HAG, LAG, and their mixture in CMC-based coatings shows promise for enhancing the preservation of tomato fruits, providing extended storage duration and maintaining their quality.

Author Contributions

Conceptualization, R.G.-C., R.O.-T., L.G.F., H.M.C. and J.H.-F.; Data curation, R.G.-C., L.G.F. and H.M.C.; Formal analysis, L.G.F. and H.M.C.; Funding acquisition, J.H.-F.; Investigation, L.G.F. and H.M.C.; Methodology, R.G.-C. and H.M.C.; Project administration, H.M.C.; Resources, R.G.-C., L.G.F. and H.M.C.; Software, R.G.-C. and J.H.-F.; Validation, R.G.-C., R.O.-T. and L.G.F.; Visualization, R.O.-T. and J.H.-F.; Writing—original draft, R.O.-T. and H.M.C.; Writing—review and editing, R.O.-T. and J.H.-F. All authors have read and agreed to the published version of the manuscript.

Funding

Universidad de Cartagena funded this research.

Data Availability Statement

The original contributions presented in the study are included in the article; further inquiries can be directed to the corresponding author/s.

Acknowledgments

The authors thank the Universidad de Cartagena for providing equipment and reagents to conduct this research.

Conflicts of Interest

The authors declare no conflicts of interest.

References

  1. Salehi, B.; Sharifi-Rad, R.; Sharopov, F.; Namiesnik, J.; Roointan, A.; Kamle, M.; Kumar, P.M.; Martins, N.; Sharifi-Rad, J. Beneficial effects and potential risks of tomato consumption for human health: An overview. Nutrition 2019, 62, 201–208. [Google Scholar] [CrossRef] [PubMed]
  2. Baswal, A.K.; Dhaliwal, H.S.; Singh, Z.; Mahajan, B.; Kalia, A.; Gill, K. Influence of carboxy methylcellulose, chitosan and beeswax coatings on cold storage life and quality of Kinnow mandarin fruit. Sci. Hortic. 2020, 260, 108887. [Google Scholar] [CrossRef]
  3. Ahmed, L.; Martin-Diana, A.B.; Rico, D.; Barry-Ryan, C. Effect of delactosed whey permeate treatment on physico-chemical, sensorial, nutritional and microbial properties of whole tomatoes during postharvest storage. LWT Food Sci. Technol. 2013, 51, 367–374. [Google Scholar] [CrossRef]
  4. Ministerio de Agricultura y Desarrollo Rural de Colombia. 2019. Reporte: Área, Producción y Rendimiento Nacional por Cultivo (tomate) Agronet. Available online: https://www.agronet.gov.co/estadistica/Paginas/home.aspx?cod=1# (accessed on 25 July 2023).
  5. Mabrouki, H.; Duarte, C.M.; Akretche, D.E. Estimation of total phenolic contents and in vitro antioxidant and antimicrobial activities of various solvent extracts of Melissa officinalis L. Arab. J. Sci. Eng. 2018, 43, 3349–3357. [Google Scholar] [CrossRef]
  6. Shakeri, A.; Khakdan, F.; Soheili, V.; Sahebkar, A.; Rassam, G.; Asili, J. Chemical composition, antibacterial activity, and cytotoxicity of essential oil from Nepeta ucrainica L. spp. kopetdaghensis. Ind. Crops Prod. 2014, 58, 315–321. [Google Scholar] [CrossRef]
  7. Mencherini, T.; Picerno, P.; Scesa, C.; Aquino, R. Triterpene, antioxidant, and antimicrobial compounds from Melissa officinalis. J. Nat. Prod. 2007, 70, 1889–1894. [Google Scholar] [CrossRef] [PubMed]
  8. González, R.E.; Restrepo, S.; Anaya, Y.; Zapateiro, L. Efecto de los recubrimientos binarios conteniendo extracto acuoso de laurel sobre la calidad pos cosecha de la fresa (Fragaria × ananassa). Inf. Tecnológica 2022, 33, 213–222. [Google Scholar] [CrossRef]
  9. Cazón, P.; Velázquez, G.; Ramírez, J.A.; Vázquez, M. Polysaccharide-based films and coatings for food packaging: A review. Food Hydrocoll. 2017, 68, 136–148. [Google Scholar] [CrossRef]
  10. Michelin, M.; Marqués, M.; Pastrana, L.M.; Teixeira, J.A.; Cerqueira, M.A. Carboxymethyl cellulose-based films: Effect of organosolv lignin incorporation on physicochemical and antioxidant properties. J. Food Eng. 2020, 285, 110107. [Google Scholar] [CrossRef]
  11. Singh, A.P.; Biswas, A.; Shukla, A.; Maiti, P. Targeted therapy in chronic diseases using nanomaterial-based drug delivery vehicles. Signal Transduct. Target. Ther. 2019, 4, 33. [Google Scholar] [CrossRef] [PubMed]
  12. Eduardo, P.; Villanueva, F. Encapsulation of food active ingredients in liposomes. J. Nutr. Health Food Eng. 2018, 8, 238–239. [Google Scholar] [CrossRef]
  13. Liu, X.; Bourvellec, C.L.; Renard, C.M. Interactions between cell wall polysaccharides and polyphenols: Effect of molecular internal structure. Compr. Rev. Food Sci. Food Saf. 2020, 19, 3574–3617. [Google Scholar] [CrossRef] [PubMed]
  14. Guo, D.; Liu, J.; Fan, Y.; Cheng, J.; Shi, Y.; Zou, J.; Zhang, X. Optimization, characterization and evaluation of liposomes from Malus hupehensis (Pamp.) Rehd. Extracts. J. Liposome Res. 2020, 30, 366–376. [Google Scholar] [CrossRef] [PubMed]
  15. Shakir, M.; Ejaz, S.; Hussain, S.; Ali, S.; Sardar, H.; Azam, M.; Ullah, S.; Khaliq, G.; Saleem, M.; Nawaz, A.; et al. Synergistic effect of gum Arabic and carboxymethyl cellulose as biocomposite coating delays senescence in stored tomatoes by regulating antioxidants and cell wall degradation. Int. J. Biol. Macromol. 2022, 201, 641–652. [Google Scholar] [CrossRef] [PubMed]
  16. Li, P.; Yin, F.; Song, L.; Zheng, X. Alleviation of chilling injury in tomato fruit by exogenous application of oxalic acid. Food Chem. 2016, 202, 125–132. [Google Scholar] [CrossRef] [PubMed]
  17. Velikova, V.; Loreto, F. On the relationship between isoprene emission and thermotolerance in Phragmites australis leaves exposed to high temperatures and during the recovery from a heat stress. Plant Cell Environ. 2005, 28, 318–327. [Google Scholar] [CrossRef]
  18. Karina, R.L.; Olga, M.B.; Robert, S.F. Effect of pulsed light treatments on quality and antioxidant properties of fresh-cut strawberries. Food Chem. 2018, 264, 393–400. [Google Scholar] [CrossRef]
  19. Brand-Williams, W.; Cuvelier, M.E.; Berset, C. Use of a free radical method to evaluate antioxidant activity. LWT Food Sci. Technol. 1995, 28, 25–30. [Google Scholar] [CrossRef]
  20. Iñiguez-Moreno, M.C.; Ragazzo-Sánchez, J.A.; Barros-Castillo, J.C.; Sandoval-Contreras, T.; Calderón-Santoyo, M. Sodium alginate coatings added with Meyerozyma caribbica: Postharvest biocontrol of Colletotrichum gloeosporioides in avocado (Persea americana Mill. cv. Hass). Postharvest Biol. Technol. 2020, 163, 111123. [Google Scholar] [CrossRef]
  21. Gurjar, P.S.; Killadi, B.; Lenka, J.; Shukla, D.K. Effect of gum arabic coatings on physico-chemical and sensory qualities of guava (Psidium guajava L) cv. Shweta. Int. J. Curr. Microbiol. Appl. Sci. 2018, 7, 3769–3775. [Google Scholar] [CrossRef]
  22. Ali, A.; Maqbool, M.; Ramachandran, S.; Alderson, P. Gum arabic as a novel edible coating for enhancing shelf-life and improving postharvest quality of tomato (Solanum lycopersicum L.) fruit. Postharvest Biol. Technol. 2010, 58, 42–47. [Google Scholar] [CrossRef]
  23. Zhang, X.; Liu, X.; Du, M.; Tian, Y. Effect of polysaccharide derived from Osmunda japonica Thunb-incorporated carboxymethyl cellulose coatings on preservation of tomatoes. J. Food Process. Preserv. 2019, 43, 18. [Google Scholar] [CrossRef]
  24. Ahmed, M.; Saini, P.; Iqbal, U. Bio cellulose-based edible composite coating for shelf-life extension of tomatoes. Food Humanit. 2023, 1, 973–984. [Google Scholar] [CrossRef]
  25. Etemadipoor, R.; Dastjerdi, M.; Ramezanian, A.; Ehteshami, S. Ameliorative effect of gum arabic, oleic acid and/or cinnamon essential oil on chilling injury and quality loss of guava fruit. Sci. Hortic. 2020, 266, 109255. [Google Scholar] [CrossRef]
  26. Jhanani, G.K.; AlSalhi, M.; Naveena, T.; Shanmuganathan, R. As assessment of shelf life increasing competence of pectin (Zucchini) based edible coating on tomatoes. Environ. Res. 2024, 119368. [Google Scholar] [CrossRef]
  27. Anthon, G.E.; Lestrange, M.; Barrett, D.M. Changes in pH, acids, sugars and other quality parameters during extended vine holding of ripe processing tomatoes. J. Sci. Food Agric. 2011, 91, 1175–1181. [Google Scholar] [CrossRef] [PubMed]
  28. Kumar, N.; Pratibha, N.; Neeraj, N.; Ojha, A.; Upadhyay, A.; Singh, R.; Kumar, S. Effect of active chitosan-pullulan composite edible coating enrich with pomegranate peel extract on the storage quality of green bell pepper. LWT Food Sci. Technol. 2021, 138, 110435. [Google Scholar] [CrossRef]
  29. Wardak, M.; Nkede, F.; Van, T.; Meng, F.; Tanaka, F.; Tanaka, F. Development of edible films and partial coating, a novel coating technique for tomato fruits, using citric acid-crosslinked starch and cellulose nanofiber. Prog. Org. Coat. 2024, 187, 108127. [Google Scholar] [CrossRef]
  30. Carrillo-Lomelí, D.A.; Cerqueira, M.A.; Moo-Huchin, V.; Bourbon, A.; Souza, V.; Lestido-Cardama, A.; Pastrana, L.; Ochoa-Fuentes, Y.; Hernández-Castillo, D.; Villarreal-Quintanilla, J.; et al. Influence of edible multilayer coatings with Opuntia stenopetala polysaccharides and Flourensia microphylla extract on the shelf-life of cherry tomato (Solanum lycopersicum L.). Sci. Hortic. 2024, 332, 113224. [Google Scholar] [CrossRef]
  31. Rives-Castillo, S.; Ventura-Aguilar, R.; Hernández-López, M.; Bautista-Baños, S. Evaluación de recubrimientos biodegradables para la conservación en fresco de jitomate Kenton. Acta Agrícola Pecu. 2018, 4, 80–91. [Google Scholar]
  32. da Silva, A.C.; Rodrigues Barbosa, J.; da Silva Araújo, C.; Sousa Batista, J.; Xavier Neves, E.; Pereira Cardoso, D.; Peixoto Joele, M.; Henriques Lourenço, L. A new edible coating of fish gelatin incorporated into açaí oil to increase the post-harvest shelf life of tomatoes. Food Chem. 2024, 438, 138047. [Google Scholar] [CrossRef] [PubMed]
  33. Pasquariello, M.; Di Patre, D.; Mastrobuoni, F.; Zampella, L.; Scortichini, M.; Petriccione, M. Influence of postharvest chitosan treatment on enzymatic browning and antioxidant enzyme activity in sweet cherry fruit. Postharvest Biol. Technol. 2015, 109, 45–56. [Google Scholar] [CrossRef]
  34. Ali, S.; Anjum, M.A.; Nawaz, A.; Naz, S.; Ejaz, S.; Sardar, H.; Saddiq, B. Tragacanth gum coating modulates oxidative stress and maintains quality of harvested apricot fruits. Int. J. Biol. Macromol. 2020, 163, 2439–2447. [Google Scholar] [CrossRef] [PubMed]
  35. Chaple, S.; Vishwasrao, C.; Ananthanarayan, L. Edible composite coating of methyl cellulose for postharvest extension of shelf-life of finger hot indian pepper (Pusa jwala). J. Food Process. Preserv. 2017, 41, e12807. [Google Scholar] [CrossRef]
  36. Ali, S.; Anjum, M.A.; Ejaz, S.; Hussain, S.; Ercisli, S.; Saleem, M.; Sardar, H. Carboxymethyl cellulose coating delays chilling injury development and maintains eating quality of ‘Kinnow’ mandarin fruits during low temperature storage. Int. J. Biol. Macromol. 2021, 168, 77–85. [Google Scholar] [CrossRef] [PubMed]
  37. Khaliq, G.; Mohamed, M.T.; Ghazali, H.M.; Ding, P.; Ali, A. Influence of gum arabic coating enriched with calcium chloride on physiological, biochemical and quality responses of mango (Mangifera indica L.) fruit stored under low temperature stress. Postharvest Biol. Technol. 2016, 111, 362–369. [Google Scholar] [CrossRef]
  38. Tahir, H.E.; Zhihua, L.; Mahunu, G.; Xiaobo, Z.; Arslan, M.; Xiaowei, H.; Yang, Z.; Mariod, A. Effect of gum arabic edible coating incorporated with African baobab pulp extract on postharvest quality of cold stored blueberries. Food Sci. Biotechnol. 2020, 29, 217–226. [Google Scholar] [CrossRef]
  39. Liu, L.; Zhang, D.; Song, X.; Guo, M.; Wang, Z.; Geng, F.; Zhou, X.; Nie, S. Compound hydrogels derived from gelatin and gellan gum regulates the release of anthocyanins in simulated digestion. Food Hydrocoll. 2022, 127, 107487. [Google Scholar] [CrossRef]
  40. Ávila-Juárez, L.; Miranda-Rodríguez, H. Variations in bioactive content in different tomato trusses due to elicitor effects. J. Chem. 2018, 2736070. [Google Scholar] [CrossRef]
Figure 1. Respiration rate of tomato samples coated with CMC and stored for 10 days.
Figure 1. Respiration rate of tomato samples coated with CMC and stored for 10 days.
Jcs 08 00283 g001
Figure 2. Weight loss (a) and lightness values (b) of tomato samples coated with CMC and stored for 10 days.
Figure 2. Weight loss (a) and lightness values (b) of tomato samples coated with CMC and stored for 10 days.
Jcs 08 00283 g002
Figure 3. Changes in the appearance of uncoated (control) and coated tomato fruit during storage. (A) control, day: zero; (B) control, day: 15; (C) WL-HAG, day: zero; (D) WL-HAG, day: 15; (E) WL-LAG, day: zero; (F) WL-LAG, day: 15; (G) WL-HAG/LAG, day: zero; (H) WL-HAG/LAG, day: 15.
Figure 3. Changes in the appearance of uncoated (control) and coated tomato fruit during storage. (A) control, day: zero; (B) control, day: 15; (C) WL-HAG, day: zero; (D) WL-HAG, day: 15; (E) WL-LAG, day: zero; (F) WL-LAG, day: 15; (G) WL-HAG/LAG, day: zero; (H) WL-HAG/LAG, day: 15.
Jcs 08 00283 g003
Figure 4. Behavior of MDA (a) and H2O2 (b) during storage of tomato stored for 10 days at 25 °C.
Figure 4. Behavior of MDA (a) and H2O2 (b) during storage of tomato stored for 10 days at 25 °C.
Jcs 08 00283 g004
Table 1. Content of soluble solids and titratable acidity in tomato samples coated with CMC.
Table 1. Content of soluble solids and titratable acidity in tomato samples coated with CMC.
Storage Time (Days)Edible CoatingSoluble Solids Titratable Acidity (%)
0WL-HAG3.70 ± 0.12 a0.77 ± 0.03 a
WL-LAG3.67 ± 0.05 a0.76 ± 0.00 a
WL-HAG/LAG3.72 ± 0.00 a0.76 ± 0.04 a
Control3.71 ± 0.10 a0.75 ± 0.02 a
2WL-HAG3.75 ± 0.05 a0.75 ± 0.02 a
WL-LAG3.80 ± 0.00 a0.68 ± 0.04 b
WL-HAG/LAG3.77 ± 0.08 a0.71 ± 0.12 a
Control3.92 ± 0.19 b0.66 ± 0.04 b
4WL-HAG4.13 ± 0.08 b0.70 ± 0.12 a
WL-LAG4.21 ± 0.02 b0.63 ± 0.05 b
WL-HAG/LAG4.18 ± 0.05 b0.67 ± 0.00 b
Control4.57 ± 0.08 c0.60 ± 0.02 b
6WL-HAG4.82 ± 0.16 c0.64 ± 0.01 b
WL-LAG5.27 ± 0.15 d0.59 ± 0.02 b
WL-HAG/LAG5.01 ± 0.05 c0.61 ± 0.04 b
Control5.48 ± 0.12 e0.57 ± 0.10 b
8WL-HAG5.26 ± 0.05 d0.59 ± 0.04 b
WL-LAG5.41 ± 0.08 e0.52 ± 0.08 c
WL-HAG/LAG5.32 ± 0.12 d0.56 ± 0.00 c
Control5.82 ± 0.11 e0.49 ± 0.10 c
10WL-HAG5.60 ± 0.08 e0.57 ± 0.08 c
WL-LAG6.07 ± 0.04 f0.50 ± 0.02 c
WL-HAG/LAG5.88 ± 0.15 e0.54 ± 0.00 c
Control6.51 ± 0.05 g0.42 ± 0.08 d
Rows with no common letter showed statistically significant difference (significance level < 0.05).
Table 2. Effect of the coatings on the content of total phenols and antioxidant activity of tomatoes.
Table 2. Effect of the coatings on the content of total phenols and antioxidant activity of tomatoes.
Storage Time (Days)Edible CoatingTotal Phenol Content (mg Ac Gallic/100 g)The DPPH Scavenging Ability (mmol Equivalent Trolox/100 g)
0WL-HAG92.55 ± 1.70 a168.03 ± 3.15 a
WL-LAG92.43 ± 1.08 a167.77 ± 2.18 a
WL-HAG/LAG92.51 ± 1.00 a168.12 ± 3.05 a
Control90.48 ± 0.86 b153.03 ± 2.78 b
2WL-HAG100.04 ± 1.30 c186.11 ± 2.76 c
WL-LAG93.37 ± 1.20 a172.18 ± 2.55 d
WL-HAG/LAG98.55 ± 1.10 d179.41 ± 1.40 e
Control95.77 ± 1.15 e170.32 ± 2.35 d
4WL-HAG118.08 ± 2.10 f184.55 ± 3.00 c
WL-LAG107.66 ± 2.05 g170.33 ± 2.00 d
WL-HAG/LAG110.07 ± 1.50 h176.71 ± 2.10 e
Control106.31 ± 1.70 i171.06 ± 2.05 d
6WL-HAG110.15 ± 1.85 h184.12 ± 2.15 c
WL-LAG104.22 ± 2.05 j165.23 ± 2.06 f
WL-HAG/LAG108.46 ± 2.15 g175.61 ± 1.88 e
Control99.12 ± 1.80 d172.08 ± 2.70 d
8WL-HAG96.72 ± 1.12 e182.14 ± 1.70 g
WL-LAG93.23 ± 1.20 a156.73 ± 3.05 h
WL-HAG/LAG97.41 ± 1.10 e161.55 ± 2.05 i
Control80.44 ± 1.10 k146.83 ± 3.01 j
10WL-HAG86.61 ± 1.80 l175.47 ± 2.08 e
WL-LAG78.28 ± 1.55 m138.81 ± 0.00 k
WL-HAG/LAG80.83 ± 1.40 n153.77 ± 2.40 l
Control71.22 ± 1.24 o125.33 ± 1.80 m
Rows with no common letter showed statistically significant difference (significance level < 0.05).
Disclaimer/Publisher’s Note: The statements, opinions and data contained in all publications are solely those of the individual author(s) and contributor(s) and not of MDPI and/or the editor(s). MDPI and/or the editor(s) disclaim responsibility for any injury to people or property resulting from any ideas, methods, instructions or products referred to in the content.

Share and Cite

MDPI and ACS Style

González-Cuello, R.; Fuentes, L.G.; Castellanos, H.M.; Hernández-Fernández, J.; Ortega-Toro, R. Composite Coatings with Liposomes of Melissa officinalis Extract for Extending Tomato Shelf Life. J. Compos. Sci. 2024, 8, 283. https://doi.org/10.3390/jcs8070283

AMA Style

González-Cuello R, Fuentes LG, Castellanos HM, Hernández-Fernández J, Ortega-Toro R. Composite Coatings with Liposomes of Melissa officinalis Extract for Extending Tomato Shelf Life. Journal of Composites Science. 2024; 8(7):283. https://doi.org/10.3390/jcs8070283

Chicago/Turabian Style

González-Cuello, Rafael, Luis Gabriel Fuentes, Heliana Milena Castellanos, Joaquín Hernández-Fernández, and Rodrigo Ortega-Toro. 2024. "Composite Coatings with Liposomes of Melissa officinalis Extract for Extending Tomato Shelf Life" Journal of Composites Science 8, no. 7: 283. https://doi.org/10.3390/jcs8070283

APA Style

González-Cuello, R., Fuentes, L. G., Castellanos, H. M., Hernández-Fernández, J., & Ortega-Toro, R. (2024). Composite Coatings with Liposomes of Melissa officinalis Extract for Extending Tomato Shelf Life. Journal of Composites Science, 8(7), 283. https://doi.org/10.3390/jcs8070283

Article Metrics

Back to TopTop