The Influence of Water Content on the Fresh and Hardened State Properties of Lime–Pozzolan Grouts
Abstract
:1. Introduction
2. Materials and Methods
2.1. Design of the Grout Compositions
2.2. Mixing and Testing Procedure
3. Results
3.1. Fresh State Properties
3.2. Rheological Properties
3.3. Physical Properties
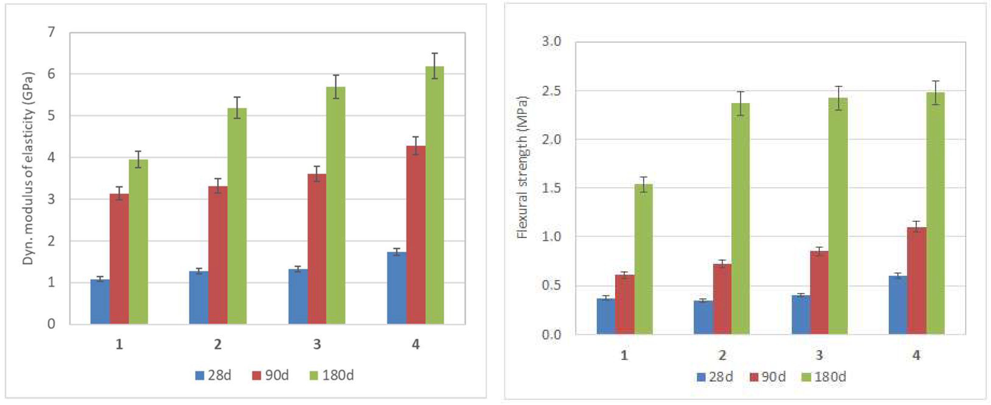
3.4. Mechanical Properties
4. Discussion
5. Conclusions
- By reducing the W/B ratio from 1 to 0.75, flow time was increased from 25 to 73% in the ASTM cone and 25 to 120% in the EN one. One hour after manufacture, the increase rate was higher, being more intense in the lower W/B ratio (0.75).
- Penetration time also had a direct correlation with the decrease in the water content, showing a gradual increase from 3 to 7.2 s. Volume reduction and bleeding were significantly decreased and minimized in the lower W/B ratio (0.75).
- The higher water content (0.9–1.0) led to the creation of Newtonian fluids, maintaining their viscosity independently of the stress imposed. At lower W/B ratios (≤0.8), mixtures could be characterized as non-Newtonian, showing a shear thinning behavior since their viscosity was decreased.
- Shrinkage deformations, especially volume reduction, were significantly improved by the W/B ratio reduction (up to 95%). On the other hand, 90 d porosity, absorption and capillary absorption index were decreased (around 4–27%), while apparent specific gravity slightly increased (4–12%).
- Mechanical properties were significantly improved throughout the testing ages of the grout specimens (28, 90, 180 d) in a proportion ranging from 200 tο 600%. The highest rise was recorded in compressive strength. The water content reduction positively influenced all values, especially at 180 days. At this age, the dynamic modulus of elasticity was enhanced by up to 55%, while flexural strength maintained at the same level for a W/B ratio ranging from 0.9 to 0.75 (70% higher values than the ones achieved for a ratio equal to 1). Compressive strength, on the other hand, was gradually increased up to 200% at the lower water rate.
Funding
Institutional Review Board Statement
Informed Consent Statement
Data Availability Statement
Conflicts of Interest
References
- Pachta, V.; Goulas, D. Fresh and hardened state properties of fiber reinforced lime-based grouts. Constr. Build. Mater. 2020, 261, 119818. [Google Scholar] [CrossRef]
- Pachta, V. The role of glass additives on the properties of lime-based grouts. Heritage 2021, 3, 906–916. [Google Scholar] [CrossRef]
- Padovnik, A.; Bokan-Bosiljkov, V. Effect of ultralight filler on the properties of hydrated lime injection grout for the consolidation of detached historic decorative plasters. Materials 2020, 13, 3360. [Google Scholar] [CrossRef]
- Vavricuk, A.; Bokan-Bosiljkov, V.; Kramar, S. The influence of metakaolin on the properties of natural hydraulic lime-based grouts for historic masonry repair. Constr. Build. Mater. 2018, 172, 706–716. [Google Scholar] [CrossRef]
- Dinç-Sengönül, B.; Oktay, D.; Yüzer, N. Effect of temperature, resting time and brick dust (Horasan) on the rheological properties of hydraulic lime-based grouts. Constr. Build. Mater. 2020, 265, 120644. [Google Scholar] [CrossRef]
- Miltiadou-Fezans, A.; Tassios, T.P. Penetrability of hydraulic grouts. Mater. Struct. 2013, 46, 1653–1671. [Google Scholar] [CrossRef]
- Miltiadou-Fezans, A.; Tassios, T.P. Fluidity of hydraulic grouts for masonry strengthening. Mater. Struct. 2012, 45, 1817–1828. [Google Scholar] [CrossRef]
- Biçer-Simşir, B.; Griffin, I.; Palazzo-Bertholon, B.; Rainer, L. Lime-based injection grouts for the conservation of architectural surfaces. Stud. Conserv. 2010, 55, 3–17. [Google Scholar] [CrossRef]
- Azeiteiro, L.C.; Velosa, A.; Paiva, H.; Mantas, P.Q.; Ferreira, V.M.; Veiga, R. Development of grouts for consolidation of old renders. Constr. Build. Mater. 2014, 50, 352–360. [Google Scholar] [CrossRef]
- Pasian, C.; Secco, M.; Piqué, F.; Artioli, G.; Rickerby, S.; Cather, S. Lime-based injection grouts with reduced water content: An assessment of the effects of the water-reducing agents ovalbumin and ethanol on the mineralogical evolution and properties of grouts. J. Cult. Herit. 2018, 30, 70–80. [Google Scholar] [CrossRef]
- Papayianni, I.; Pachta, V. Experimental study on the performance of lime-based grouts used in consolidating Historic Masonries. Mater. Struct. 2015, 48, 2111–2121. [Google Scholar] [CrossRef]
- Pachta, V.; Papadopoulos, F.; Stefanidou, M. Development and testing of grouts based on perlite by-products and lime. Constr. Build. Mater. 2019, 207, 338–344. [Google Scholar] [CrossRef]
- Jorne, F.; Henriques, F.M.A.; Baltazar, L.G. Influence of superplasticizer, temperature, resting time and injection pressure on hydraulic lime grout injectability. Correlation analysis between fresh grout parameters and grout injectability. J. Build. Eng. 2015, 4, 140–151. [Google Scholar] [CrossRef]
- Alvarez, J.I.; Veiga, R.; Martınez-Ramırez, S.; Secco, M.; Faria, P.; Maravelaki, P.N.; Ramesh, M.; Papayianni, I.; Valek, J. RILEM TC 277-LHS report: A review on the mechanisms of setting and hardening of lime-based binding systems. Mater. Struct. 2021, 54, 63. [Google Scholar] [CrossRef]
- Pachta, V.; Papayianni, I.; Spyriliotis, T. Assessment of laboratory and field testing methods in lime-based grouts for the consolidation of architectural surfaces. Int. J. Archit. Herit. 2020, 14, 1098–1105. [Google Scholar] [CrossRef]
- Roussel, N.; Lemaître, A.; Flatt, R.J.; Coussot, P. Steady state flow of cement suspensions: A micromechanical state of the art. Cem. Concr. Res. 2010, 40, 77–84. [Google Scholar] [CrossRef]
- Alexandrou, A.N.; McGilvreay, T.M.; Burgos, G. Steady Herschel–Bulkley fluid flow in three-dimensional expansions. J. Non-Newton. Fluid Mech. 2001, 100, 77–96. [Google Scholar] [CrossRef]
- Niu, J.; Wang, B.; Feng, C.; Chen, K. Experimental Research on Viscosity Characteristics of Grouting Slurry in a High Ground Temperature Environment. Materials 2020, 13, 3221. [Google Scholar] [CrossRef]
- Magnon, E.; Cayeux, E. Precise Method to Estimate the Herschel-Bulkley Parameters from Pipe Rheometer Measurements. Fluids 2021, 6, 157. [Google Scholar] [CrossRef]
- Herschel, W.H.; Bulkley, R. Konsistenzmessungen von Gummi-Benzollösungen. Kolloid 1926, 39, 291–300. [Google Scholar] [CrossRef]
- ASTM C939-02; Standard Test Method for Flow of Grout for Preplaced-Aggregate Concrete (Flow Cone Method). ASTM International: West Conshohocken, PA, USA, 2009.
- EN 445:2007; Grout for Prestressing Tendons—Test Methods. European Committee for Standardization: Brussels, Belgium, 2007.
- EN 1771:2004; Products and Systems for the Protection and Repair of Concrete Structures. Test Methods—Determination of Injectability and Splitting Test. European Committee for Standardization: Brussels, Belgium, 2004.
- ASTM C940-98a; Standard Test Method for Expansion and Bleeding of Freshly Mixed Grouts for Preplaced-Aggregate Concrete in the Laboratory. ASTM International: West Conshohocken, PA, USA, 2003.
- Rilem, C.P.C. 11.3 Absorption of water with immersion under vacuum. Mater. Constr. 1984, 17, 391–394. [Google Scholar]
- BS EN1015-18:2002; Methods of Test for Mortar for Masonry, Part 18: Determination of Water Absorption Coefficient due to Capillary Action of Hardened Mortar. European Committee for Standardization: Brussels, Belgium, 2002.
- BS 1881-203:1986; Testing Concrete. Part 203: Recommendations for Measurement of Velocity of Ultrasonic Pulses in Concrete. European Committee for Standardization: Brussels, Belgium, 1986.
- BS EN1015-11:1999; Methods of Test for Mortar for Masonry, Part 11: Determination of Flexural and Compressive Strength of Hardened Mortar. European Committee for Standardization: Brussels, Belgium, 1999.
- Larson, R.G. The Structure and Rheology of Complex Fluids. Oxford University Press: New York, NY, USA, 1999. [Google Scholar]
- Kelessidis, V.C.; Maglione, R.; Tsamantaki, C.; Aspirtakis, Y. Optimal determination of rheological parameters for Herschel–Bulkley drilling fluids and impact on pressure drop, velocity profiles and penetration rates during drilling. J. Pet. Sci. Eng. 2006, 53, 203–224. [Google Scholar] [CrossRef]
- Ohen, H.A.; Blick, E.F. Golden search method for determination of parameters in Robertson–Stiff non-Newtonian fluid model. J. Pet. Sci. Eng. 1990, 4, 309–316. [Google Scholar] [CrossRef]
- Papayianni, I.; Stefanidou, M. Strength–porosity relationships in lime–pozzolan mortars. Constr. Build. Mater. 2006, 20, 700–705. [Google Scholar] [CrossRef]
- Abrams, D.A. Design of Concrete Mixtures. Structural Materials Research Laboratory, Lewis Institute: Chicago, IL, USA, 1919; Volume 1. [Google Scholar]
- Rao, G.A. Generalization of Abrams’ law for cement mortars. Cem. Concr. Res. 2001, 31, 495–502. [Google Scholar] [CrossRef]
- ElNemr, A. Generating water/binder ratio–to–strength curves for cement mortar used in Masonry walls. Constr. Build. Mater. 2020, 233, 117249. [Google Scholar] [CrossRef]












| Binders | Relative Density (g/cm3) | Pozzolanicity Index ASTM C311:77 (MPa) | Grain Diameter (μm) of Volume Fractions (%) | Chemical Composition (% w/w) | |
|---|---|---|---|---|---|
| d50 | d90 | ||||
| Hydrated lime (powder, CL90) | 2.471 | - | 3.09 | 10.80 | CaO: 72.44, SiO2: 0.06, Al2O3: 0.05 Fe2O3: 0.02, MgO: 2.72, Na2O: 0.2 K2O: 0.04 LOI: 23.97 |
| Natural pozzolan (Milos island) | 2.403 | 10.50 | 4.30 | 11.60 | CaO: 1.32, SiO2: 77.6, Al2O3: 7.42 Fe2O3: 0.85, MgO: 0.64, Na2O: 2.73 K2O: 2.85, LOI: 6.02 |
| Grout Composition | Binders (Parts of Weight) | Superplasticizer (1% w/w of Binders) | W/B Ratio | |
|---|---|---|---|---|
| Lime | Pozzolan | |||
| 1 | 1 | 1 | √ | 1.00 |
| 2 | 1 | 1 | √ | 0.90 |
| 3 | 1 | 1 | √ | 0.80 |
| 4 | 1 | 1 | √ | 0.75 |
| Composition | Flow Time (s) | Penetrability (s) | Volume Change (%) | Bleeding (%) | |||
|---|---|---|---|---|---|---|---|
| ASTM (0 h) | ASTM (1 h) | EN (0 h) | EN (1 h) | ||||
| 1 | 9.8 | 10.2 | 8.1 | 8.5 | 3.07 | 2.20 | 1.00 |
| STDEV | 0.03 | 0.04 | 0.03 | 0.04 | 0.05 | 0.06 | 0.04 |
| 2 | 12.2 | 12.8 | 9.7 | 10.1 | 3.89 | 0.80 | 0.40 |
| STDEV | 0.02 | 0.03 | 0.03 | 0.03 | 0.02 | 0.03 | 0.03 |
| 3 | 14.5 | 17.2 | 12.1 | 14.1 | 4.33 | 1.00 | 0.00 |
| STDEV | 0.03 | 0.04 | 0.03 | 0.04 | 0.04 | 0.04 | 0.02 |
| 4 | 16.9 | 22.5 | 15.0 | 19.3 | 7.16 | 0.40 | 0.00 |
| STDEV | 0.03 | 0.03 | 0.03 | 0.04 | 0.03 | 0.03 | 0.02 |
| Composition | Porosity (%) | Absorption (%) | Cap. Abs. Index (g/cm2 min1/2) | Ap. Specific Gravity | |||||||
|---|---|---|---|---|---|---|---|---|---|---|---|
| 28 d | 90 d | 180 d | 28 d | 90 d | 180 d | 28 d | 90 d | 28 d | 90 d | 180 d | |
| 1 | 43.3 | 47.4 | 45.0 | 48.5 | 55.5 | 40.7 | 4.65 | 3.68 | 0.86 | 0.85 | 0.91 |
| 2 | 41.4 | 45.4 | 37.7 | 48.4 | 50.6 | 36.9 | 4.58 | 3.30 | 0.89 | 0.90 | 0.98 |
| 3 | 36.4 | 39.5 | 36.1 | 39.0 | 44.9 | 36.9 | 4.44 | 2.30 | 0.93 | 0.92 | 1.02 |
| 4 | 37.7 | 38.7 | 37.7 | 39.7 | 41.3 | 38.3 | 3.39 | 1.48 | 0.95 | 0.94 | 1.02 |
| Rheological Properties | Equations | R2 | |
|---|---|---|---|
| Flow time | ASTM (0 h) | F ASTM-o = 2.376 (W/B) + 7.44 | 0.9998 |
| ASTM (1 h) | F ASTM-1 = 0.6675 (W/B)2 + 0.7775 (W/B) + 8.7325 | 0.9994 | |
| EN (0 h) | F EN-o = 2.296 (W/B) + 5.48 | 0.9822 | |
| EN (1 h) | F EN-1 = 0.905 (W/B)2 – 0.877 (W/B) + 8.4 | 0.9985 | |
| Penetrability | P = 0.5025 (W/B)2 – 1.2415 (W/B) + 3.9425 | 0.9595 | |
| Composition | Yield Shear Stress (Pa) | |
|---|---|---|
| Bingham Model | Casson Model | |
| 1 | −0.0548 | 0.0000 |
| 2 | 0.0155 | 0.0000 |
| 3 | 0.1095 | 0.0001 |
| 4 | 2.5180 | 0.0488 |
Publisher’s Note: MDPI stays neutral with regard to jurisdictional claims in published maps and institutional affiliations. |
© 2022 by the author. Licensee MDPI, Basel, Switzerland. This article is an open access article distributed under the terms and conditions of the Creative Commons Attribution (CC BY) license (https://creativecommons.org/licenses/by/4.0/).
Share and Cite
Pachta, V. The Influence of Water Content on the Fresh and Hardened State Properties of Lime–Pozzolan Grouts. Heritage 2022, 5, 2394-2407. https://doi.org/10.3390/heritage5030124
Pachta V. The Influence of Water Content on the Fresh and Hardened State Properties of Lime–Pozzolan Grouts. Heritage. 2022; 5(3):2394-2407. https://doi.org/10.3390/heritage5030124
Chicago/Turabian StylePachta, Vasiliki. 2022. "The Influence of Water Content on the Fresh and Hardened State Properties of Lime–Pozzolan Grouts" Heritage 5, no. 3: 2394-2407. https://doi.org/10.3390/heritage5030124
APA StylePachta, V. (2022). The Influence of Water Content on the Fresh and Hardened State Properties of Lime–Pozzolan Grouts. Heritage, 5(3), 2394-2407. https://doi.org/10.3390/heritage5030124
