IoT Orchestration-Based Optimal Energy Cost Decision Mechanism with ESS Power Optimization for Peer-to-Peer Energy Trading in Nanogrid
Abstract
:1. Introduction
1.1. Motivation
- While IoT task orchestration technology has been widely applied across domains like healthcare, manufacturing, and mountain fire safety management, its utilization within the energy sector has been comparatively limited [16]. In this regard, the proposed study employs IoT task orchestration technology to address scalability and real-time adaptability challenges that arise from manual intervention in current energy trading optimization solutions;
- Existing IoT orchestration-based energy solutions have primarily focused exclusively on the smart-grid energy management aspect, [16,17]. However, we posit that nanogrid energy trading is a mission-critical application that should leverage IoT technology to address the limitations of conventional energy optimization solutions;
- Several existing studies centered around IoT orchestration [13,16] have concentrated on isolated facets of task orchestration, like optimizing scheduling or integrating predictive optimization for decision making in orchestration. Conversely, our proposed study offers a comprehensive approach, addressing energy trading cost optimization and ESS power optimization, seamlessly integrated into a fully IoT-orchestrated energy trading framework for achieving an optimal and orchestrated solution within nanogrid energy trading;
- Unlike contemporary studies employing conventional machine learning algorithms [21], we employ TabNet-based prediction model to reveal key hidden aspects concerning energy consumption, load patterns, and photovoltaic (PV) generation, thereby assisting energy distributors and peers in making informed decisions to optimize local distributed energy resource (DER) utilization through early anticipation of vital energy attributes;
- In contrast to most pertinent studies, our proposed research evaluates its potential through an extensive case study utilizing real data sourced from nanogrid households. This empirical case study furnishes evidence of the effectiveness of the proposed system, setting it apart from other studies.
1.2. Contribution
1.2.1. Energy Trading Cost Optimization
- Energy trading cost optimization requires predicted and actual load values as input, for which we employed TabNet architecture to predict nanogrid energy load and other parameters.
- The TabNet prediction model is employed to forecast energy load, PV generation, and energy consumption, aiding energy distributors and peers in formulating efficient decision-making strategies. The prediction outcomes are compared with BD-LSTM to assess its position within the current state-of-the-art.
1.2.2. Optimal Energy Trading Decision:
- An optimal energy storage system (ESS) power-sharing plan is developed for optimal energy trading between nanogrids through an objective function, presenting an effective energy distribution mechanism to proficiently manage the charging and discharging processes of the energy storage system (ESS), thereby optimizing surplus energy management within the ESS.
1.2.3. IoT Task Orchestration-Based Optimal Energy Trading System
- Another novelty of the proposed study is the implementation of the IoT task orchestration concept, wherein the whole energy trading process is employed in a virtualized manner using simulated replications of physical resources (i.e., photovoltaic and ESS assets) involved in the trading process.
- The case study is conducted, utilizing data from 24 nanogrid residences equipped with photovoltaic (PV) and energy storage system (ESS) installations, to assess the effectiveness of the proposed system’s optimization modules.
- To evaluate the IoT task orchestration module, we employ evaluation measures including round trip time (RTT), latency, throughput, and response time.
- A comparison with existing literature is conducted to ascertain the contribution of the proposed system with those in the existing research.
2. Related Work
2.1. Energy Optimization Solutions
Critical Analysis of Energy Optimization Solutions
- Scalability issues caused due to huge manual intervention for managing and coordinating multiple devices and systems in a distributed energy environment (e.g., nanogrids and energy communities).
- The absence of IoT technology from mission-critical energy trading system may result in limited real-time adaptability, potentially hindering the optimal use of energy resources.
- IoT orchestration technology automates and coordinates device interactions, facilitating seamless communication and data exchange. The absence of this technology could necessitate greater manual intervention for managing energy sharing and optimization tasks, reducing automation.
2.2. IoT Technology-Based Mission Critical Systems
Critical Analysis of Contemporary IoT Orchestration-Based Solutions
3. Materials and Methods
3.1. TabNet-Based Prediction Module
3.2. Optimization Module
3.2.1. Energy Trading Cost Optimization
3.2.2. Optimal Energy Trading Decision
- In situations where the trading function has a value of +1, preference will be given to energy exportation by PV, meaning that any surplus/excess energy generated by will be employed for trading. In the absence of excess energy, the energy saved in is utilized for trading.
- In cases where the trading function is equal to −1, the purchased energy can only be utilized to supply Dk(t) and cannot be stored in .
- The energy that remains after energy trading during the time period t is referred to as:
3.3. IoT Enabled Task Orchestration-Based Energy Trading Operation
3.3.1. Energy Task Generation
3.3.2. Device Virtualization
3.3.3. Energy Task Mapping
3.3.4. Energy Task Scheduling
3.3.5. Energy Task Allocation and Deployment
4. Implementation Results and Performance Analysis
4.1. Case Study
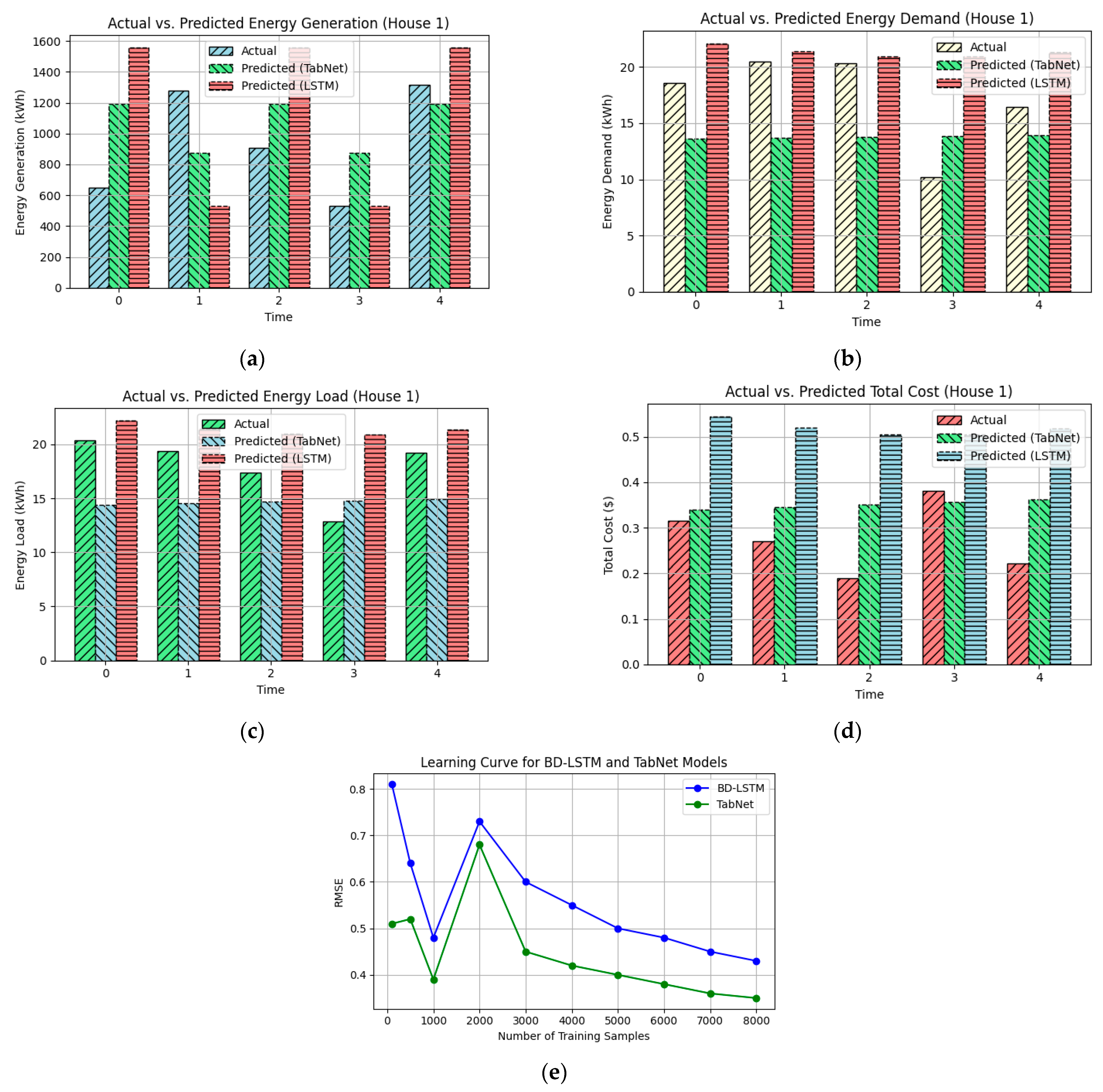
4.1.1. TabNet Prediction Performance Analysis
4.1.2. Energy Cost Optimization:
4.1.3. Optimal Energy Trading Decision
- Scenario 1-Normal Day Scenario: Simulate a typical day with moderate solar energy and demand, assessing how the IoT-orchestration system optimizes energy trading and ESS power for cost efficiency.
- Scenario 2-High Solar Generation Scenario: Evaluate the system’s handling of surplus solar energy on a sunny day through effective energy trading and ESS storage strategies.
- Scenario 3-Energy Deficit Scenario: Examine the system’s response to low solar energy levels, testing its adaptability through energy trading and ESS usage under cloudy conditions.
4.2. IoT Orchestration-Based Optimal Nanogrid Energy Trading Performance
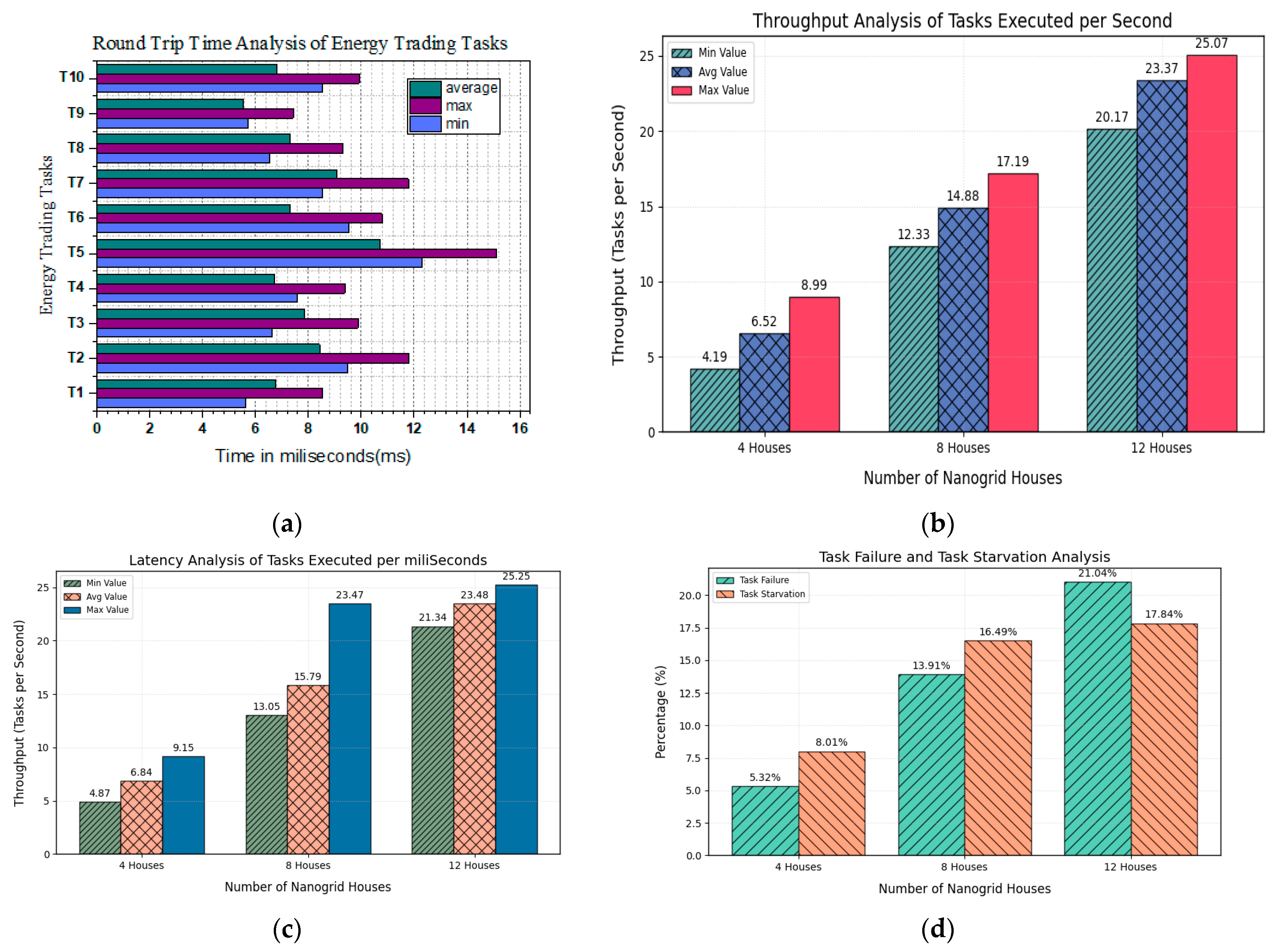
4.2.1. Round Trip Time Analysis
4.2.2. Throughput Analysis
4.2.3. Latency Analysis
4.2.4. Response Time Analysis
4.3. IoT Orchestration Comparative Analysis
5. Conclusions
Author Contributions
Funding
Data Availability Statement
Conflicts of Interest
References
- de Souza Ribeiro, L.A.; Saavedra, O.R.; De Lima, S.L.; de Matos, J. Isolated micro-grids with renewable hybrid generation: The case of Lençóis island. IEEE Trans. Sustain. Energy 2010, 2, 1–11. [Google Scholar] [CrossRef]
- Kirthiga, M.V.; Daniel, S.A.; Gurunathan, S. A Methodology for Transforming an Existing Distribution Network Into a Sustainable Autonomous Micro-Grid. IEEE Trans. Sustain. Energy 2012, 4, 31–41. [Google Scholar] [CrossRef]
- Lasseter, R.H. Microgrids. In Proceedings of the 2002 IEEE Power Engineering Society Winter Meeting (Cat. No. 02CH37309), New York, NY, USA, 27–31 January 2002; Volume 1, pp. 305–308. [Google Scholar]
- Werth, A.; Kitamura, N.; Tanaka, K. Conceptual study for open energy systems: Distributed energy network using interconnected DC nanogrids. IEEE Trans. Smart Grid 2015, 6, 1621–1630. [Google Scholar] [CrossRef]
- Tanenbaum, A.S.; Steen, M.V. Distributed Systems: Principles and Paradigms, 2nd ed.; Prentice-Hall: Upper Saddle River, NJ, USA, 2007. [Google Scholar]
- Li, Z.; Bahramirad, S.; Paaso, A.; Yan, M.; Shahidehpour, M. Blockchain for decentralized transactive energy management system in networked microgrids. Electr. J. 2019, 32, 58–72. [Google Scholar] [CrossRef]
- Ali, F.S.; Aloqaily, M.; Alfandi, O.; Ozkasap, O. Cyberphysical blockchain-enabled peer-to-peer energy trading. Computer 2020, 53, 56–65. [Google Scholar] [CrossRef]
- Küster, K.K.; Aoki, A.R.; Lambert-Torres, G. Transaction-based operation of electric distribution systems: A review. Int. Trans. Electr. Energy Syst. 2020, 30, e12194. [Google Scholar] [CrossRef]
- Pop, C.; Cioara, T.; Antal, M.; Anghel, I.; Salomie, I.; Bertoncini, M. Blockchain Based Decentralized Management of Demand Response Programs in Smart Energy Grids. Sensors 2018, 18, 162. [Google Scholar] [CrossRef]
- Sikorski, J.J.; Haughton, J.; Kraft, M. Blockchain technology in the chemical industry: Machine-to-machine electricity market. Appl. Energy 2017, 195, 234–246. [Google Scholar] [CrossRef]
- Imran; Ghaffar, Z.; Alshahrani, A.; Fayaz, M.; Alghamdi, A.M.; Gwak, J. A Topical Review on Machine Learning, Software Defined Networking, Internet of Things Applications: Research Limitations and Challenges. Electronics 2021, 10, 880. [Google Scholar] [CrossRef]
- Sicari, S.; Rizzardi, A.; Grieco, L.A.; Coen-Porisini, A. Security, privacy and trust in Internet of Things: The road ahead. Comput. Netw. 2015, 76, 146–164. [Google Scholar] [CrossRef]
- Zanella, A.; Bui, N.; Castellani, A.; Vangelista, L.; Zorzi, M. Internet of things for smart cities. IEEE Internet Things J. 2014, 1, 22–32. [Google Scholar] [CrossRef]
- Ahmad, S.; Kim, D. A multi-device multi-tasks management and orchestration architecture for the design of enterprise IoT applications. Futur. Gener. Comput. Syst. 2019, 106, 482–500. [Google Scholar] [CrossRef]
- Zheng, J.; Simplot-Ryl, D.; Bisdikian, C.; Mouftah, H. The internet of things [Guest Editorial]. IEEE Commun. Mag. 2011, 49, 30–31. [Google Scholar] [CrossRef]
- Qayyum, F.; Jamil, H.; Jamil, F.; Ahmad, S.; Kim, D.H. IoT-Orchestration based nanogrid energy management system and optimal time-aware scheduling for efficient energy usage in nanogrid. Int. J. Electr. Power Energy Syst. 2022, 142, 108292. [Google Scholar] [CrossRef]
- Hammoudeh, M.; Ghafir, I.; Bounceur, A.; Rawlinson, T. Continuous Monitoring in Mission-Critical Applications Using the Internet of Things and Blockchain. In Proceedings of the 3rd International Conference on Future Networks and Distributed Systems, Paris, France, 1–2 July 2019; pp. 1–5. [Google Scholar]
- Öhrvik, H.; Aaseth, J.; Horn, N. Orchestration of dynamic copper navigation—New and missing pieces. Metallomics 2017, 9, 1204–1229. [Google Scholar] [CrossRef] [PubMed]
- Ding, Z.; Ota, K.; Liu, Y.; Zhang, N.; Zhao, M.; Song, H.; Liu, A.; Zhiping, C. Orchestrating Data as a Services-Based Computing and Communication Model for Information-Centric Internet of Things. IEEE Access 2018, 6, 38900–38920. [Google Scholar] [CrossRef]
- Wu, Y.; Wu, Y.; Cimen, H.; Vasquez, J.C.; Guerrero, J.M. Towards collective energy Community: Potential roles of microgrid and blockchain to go beyond P2P energy trading. Appl. Energy 2022, 314, 119003. [Google Scholar] [CrossRef]
- Zhang, L.; Wen, J.; Li, Y.; Chen, J.; Ye, Y.; Fu, Y.; Livingood, W. A review of machine learning in building load prediction. Appl. Energy 2021, 285, 116452. [Google Scholar] [CrossRef]
- Wahid, F.; Fayaz, M.; Aljarbouh, A.; Mir, M.; Aamir, M.; Imran. Energy consumption optimization and user comfort maximization in smart buildings using a hybrid of the firefly and genetic algorithms. Energies 2020, 13, 4363. [Google Scholar] [CrossRef]
- Moradzadeh, B.; Tomsovic, K. Two-Stage Residential Energy Management Considering Network Operational Constraints. IEEE Trans. Smart Grid 2013, 4, 2339–2346. [Google Scholar] [CrossRef]
- Vahedipour-Dahraie, M.; Rashidizadeh-Kermani, H.; Shafie-Khah, M.; Siano, P. Peer-to-Peer Energy Trading Between Wind Power Producer and Demand Response Aggregators for Scheduling Joint Energy and Reserve. IEEE Syst. J. 2020, 15, 705–714. [Google Scholar] [CrossRef]
- Jin, H.; Lee, S.; Nengroo, S.H.; Ahn, G.; Chang, Y.-J.; Har, D. P2P power trading of nanogrids for power management in consideration of battery lifetime of ESS. Energy Build. 2023, 297, 113290. [Google Scholar] [CrossRef]
- Liu, N.; Yu, X.; Fan, W.; Hu, C.; Rui, T.; Chen, Q.; Zhang, J. Online Energy Sharing for Nanogrid Clusters: A Lyapunov Optimization Approach. IEEE Trans. Smart Grid 2017, 9, 4624–4636. [Google Scholar] [CrossRef]
- Imran; Iqbal, N.; Ahmad, S.; Kim, D.H. Health Monitoring System for Elderly Patients Using Intelligent Task Mapping Mechanism in Closed Loop Healthcare Environment. Symmetry 2021, 13, 357. [Google Scholar] [CrossRef]
- Imran; Ahmad, S.; Kim, D.H. A task orchestration approach for efficient mountain fire detection based on microservice and predictive analysis in IoT environment. J. Intell. Fuzzy Syst. 2021, 40, 5681–5696. [Google Scholar] [CrossRef]
- Rasmussen, R.V.; Trick, M.A. Round robin scheduling—A survey. Eur. J. Oper. Res. 2008, 188, 617–636. [Google Scholar] [CrossRef]
- Malik, S.; Kim, D. A Hybrid Scheduling Mechanism Based on Agent Cooperation Mechanism and Fair Emergency First in Smart Factory. IEEE Access 2020, 8, 227064–227075. [Google Scholar] [CrossRef]












| Approach | Domain | Objective | Prediction M | Optimization | Real-Time/ Real Dataset | Pros | Cons |
|---|---|---|---|---|---|---|---|
| [27] | Healthcare | Presents an IoT healthcare architecture with intelligent task orchestration and prediction for elderly health monitoring. | √ | √ | × | Effective for critical healthcare applications. | -Utilizes conventional machine learning techniques. -Enhances prediction outcomes. |
| [14] | Enterprise applications | Introduces MDMT-MOA architecture for efficient EIoT and traditional IoT orchestration; enhancing business processes and IoT app performance. | × | × | √ | -Applicable to real-time mission-critical enterprise applications. -Enhances usability for enterprise IoT application designers and users. | Missing performance comparisons to existing architectures. |
| [28] | Fire management | Suggests microservice-based IoT orchestration for improved mountain fire detection, safety, and damage reduction. | √ | √ | × | Employs predictive analytics for informed fire mitigation decisions by safety authorities. | -Lacks comparison with the current state-of-the-art. -Claims a perfect solution, but lacks evaluation using real dataset scenarios. |
| [16] | Energy | Proposed IoT-enabled orchestrated architecture for efficient nanogrid energy management. | × | √ | × | Effective for mission-critical smart grid energy applications. | Lack of case study-based evaluation for prediction and optimization modules. |
| Proposed Study | Energy | √ | √ | √ | -Overcomes scalability issues. -Integrates energy trading cost and ESS power optimization in a fully IoT-orchestrated framework to virtually implement the entire architecture. -Utilizes TabNet prediction module to enhance conventional ML model performance. -Provides a comprehensive comparison with contemporary state-of-the-art. | The potential could be further enriched by considering various scenarios in multiple case studies. |
| Acronym | Description | Acronym | Description |
|---|---|---|---|
| P | price of energy | N | nanogrid houses |
| N | time interval | E | energy storage system installed in house |
| M | no. of Homes | I | index of house |
| t | interval time | S | self-sufficient |
| real-time pricing model intercept | L | energy load | |
| real-time pricing slope | solar | solar: photovoltaic energy | |
| load interval in interval i | r | remaining power | |
| m consumer power in ith interval | N | N | |
| interval within energy flow | excess | surplus energy owned by N | |
| starting energy usage of m consumers | Dis | discharging energy | |
| L | length of interval | stored | stored energy |
| ratio | final energy ratio of m house | traded | traded energy |
| capacity of m consumers | shared | shared; energy shared by each nanogrid | |
| maximum energy power |
| Task Metadata | Message Profile | ||
|---|---|---|---|
| ID | Task ID | MsgID | Unique identifier of the message |
| Name | Name of task | Microservice ID | Microsevice ID to which task belongs |
| Type | Type of task, such as periodic, urgent, etc. | Source | Source from where the message was generated |
| Arrival Time | Time at which task arrived | Destination | Destination points of the message |
| Execution Time | Time at which execution commenced | Task ID | ID of task |
| Deadline | Deadline of the task | VO ID | Virtual object ID |
| msid | Microservice ID at which task belongs | Created_at | Time at which the mapping occurred between task and VO |
| Priority | Urgent/non-urgent type | Updated_at | Time at which mapping was updated |
| Created_at | Task generation time | ||
| Updated_at | Task update time | ||
| Technology Name | Detail |
|---|---|
| OS | indows 10 for PC server, Raspbian for Edge Raspberry Pi |
| Programming language | Python Flask, JavaScript, HTML, CSS, MATLAB |
| Libraries | Bootstrap 3, Jinja 3, JSplumb for mapping |
| Server | Flask server |
| Persistence | Mysql |
| Browser | Chrome and Firefox |
| Core programming language | Python 3 |
| Resources | current sensor, voltage sensor |
| House. | Hour | Energy Generation (kWh) | Energy Demand (kWh) | Energy Load (kWh) | ESS Charge (kWh) | ESS Discharge (kWh) | Total Cost (USD) |
|---|---|---|---|---|---|---|---|
| House 1 | 1 | 8.75 | 16.45 | 17.84 | 2.99 | 0.78 | 0.16 |
| House 1 | 2 | 5.58 | 12.78 | 13.38 | 3.54 | 0.10 | 0.49 |
| House 1 | 3 | 13.32 | 16.60 | 14.69 | 0.92 | 1.52 | 0.31 |
| House 1 | - | - | - | - | - | - | - |
| House 1 | - | - | - | - | - | - | - |
| House 1 | 24 | 10.47 | 13.58 | 16.39 | 3.88 | 4.70 | 0.46 |
| S. No | 1 | 2 | 3 | 4 | 5 |
|---|---|---|---|---|---|
| Parameters | Local coefficient | Global coefficient | Inertia weight | No. of particles | Iterations |
| Values | 1.3 | 1.3 | 0.5 | 18 | 120 |
| Task No. | Tasks | Task No. | Tasks |
|---|---|---|---|
| T1 | getPV | T6 | OptimizeCost |
| T2 | getESS | T7 | OptimizeESS |
| T3 | Compute Load | T8 | BuyEnergy |
| T4 | ComputeSurplusEnergy | T9 | SellEnergy |
| T5 | PredictLoad | T10 | EnergyDeamad |
Disclaimer/Publisher’s Note: The statements, opinions and data contained in all publications are solely those of the individual author(s) and contributor(s) and not of MDPI and/or the editor(s). MDPI and/or the editor(s) disclaim responsibility for any injury to people or property resulting from any ideas, methods, instructions or products referred to in the content. |
© 2023 by the authors. Licensee MDPI, Basel, Switzerland. This article is an open access article distributed under the terms and conditions of the Creative Commons Attribution (CC BY) license (https://creativecommons.org/licenses/by/4.0/).
Share and Cite
Qayyum, F.; Jamil, H.; Iqbal, N.; Kim, D.-H. IoT Orchestration-Based Optimal Energy Cost Decision Mechanism with ESS Power Optimization for Peer-to-Peer Energy Trading in Nanogrid. Smart Cities 2023, 6, 2196-2220. https://doi.org/10.3390/smartcities6050101
Qayyum F, Jamil H, Iqbal N, Kim D-H. IoT Orchestration-Based Optimal Energy Cost Decision Mechanism with ESS Power Optimization for Peer-to-Peer Energy Trading in Nanogrid. Smart Cities. 2023; 6(5):2196-2220. https://doi.org/10.3390/smartcities6050101
Chicago/Turabian StyleQayyum, Faiza, Harun Jamil, Naeem Iqbal, and Do-Hyeun Kim. 2023. "IoT Orchestration-Based Optimal Energy Cost Decision Mechanism with ESS Power Optimization for Peer-to-Peer Energy Trading in Nanogrid" Smart Cities 6, no. 5: 2196-2220. https://doi.org/10.3390/smartcities6050101
APA StyleQayyum, F., Jamil, H., Iqbal, N., & Kim, D.-H. (2023). IoT Orchestration-Based Optimal Energy Cost Decision Mechanism with ESS Power Optimization for Peer-to-Peer Energy Trading in Nanogrid. Smart Cities, 6(5), 2196-2220. https://doi.org/10.3390/smartcities6050101

