Polymorphic Adversarial Cyberattacks Using WGAN
Abstract
:1. Introduction
1.1. Contributions
- -
- We propose a WGAN-based adversarial engine that can launch polymorphic attacks on a black-box IDS. To the best of our knowledge, our work is the first to introduce and study the concept of polymorphic network attacks.
- -
- To preserve the functional behavior of an attack, we employ Shapley Additive Explanations (SHAP) [18] that identify the functional features of the attacks.
- -
- We introduce an adversarial polymorphic training mechanism to enhance the performance of IDSs against these attacks.
- -
- We conduct comprehensive experiments and analyze the results to compare the performance of multiple IDSs against polymorphic adversarial DDoS/DoS attacks.
1.2. Outline of the Paper
2. Related Works
2.1. Taxonomy of Intrusion Detection Techniques Using ML and DL
2.1.1. Signature-Based Intrusion Detection
2.1.2. Anomaly-Based Intrusion Detection
2.1.3. Specification-Based Intrusion Detection
2.2. Attacks Using Generative Adversarial Networks
2.3. Problem Statement
3. Deep Learning-Based Techniques in Cybersecurity
3.1. Generative Adversarial Networks
- A random input noise.
- The generator, to produce synthetic data from the random data.
- The discriminator, to distinguish the synthetic data and original data.
- Loss LG that fines the generator if it is unable to produce data, which can deceive the discriminator.
- (1)
- Training of the generator runs for some epochs.
- (2)
- Training of the discriminator runs for some epochs.
- (3)
- Continue repeating steps 1 and 2 until the GAN converges.
- -
- Convergence problem: Classification performance of the discriminator decreases in the following cycles. Training the GAN from this point indicates that the generator trains with less meaningful data. This state is known as the convergence problem.
- -
- Mode collapse: In ideal conditions, a GAN can produce a good variety of data. However, if a generator learns to produce a specific set of data in order that the discriminator classifies them as the original, then the generator will only produce these sets of data and easily deceive the discriminator. This condition is called mode collapse.
3.2. Wasserstein GAN
4. Dataset and Feature Selection
4.1. Dataset Properties
4.2. Feature Selection
Feature Selection using SHAP
- -
- Global Interpretability: This technique provides essential features from a dataset and a contribution of each feature for a target result and effect of the feature. To calculate global importance, we need to find an average of SHAP values.
- -
- Local Interpretability: With this method, we can get an impact of an individual feature across the whole dataset.
5. Proposed Framework
5.1. Adversarial Attack Generation Using Wasserstein GAN
| Algorithm 1. Adversarial attack generation |
| Input: |
| Generator—noise vector N, DDoS/DoS Attack Data |
| Critic/Discriminator—Sattack, and Sbenign |
| Output: |
| Trained Critic/Discriminator and Generator |
| for epochs = 1, …, MAX EPOCHS do |
| for G-iterations do |
| Generator creates adversarial network attacks using Sattack, and updates the penalty using function once it receives the critique. |
| end |
| While generating adversarial DDoS/DoS data and feeding the data to IDS to test if it detects the attack. |
| for D-iterations do |
| Receive detected labels from the IDS and send a critique to the Generator. Update the penalty using function. |
| end |
| end |
5.2. Train the Generator to Create an Adversarial Attack
5.3. Training an IDS with the Generated Adversarial Data
5.4. Polymorphic Engine to Generate a Polymorphic Attack
| Algorithm 2. Training IDS with the adversarial attack data. |
| Input: |
| Generator—N noise + Original Attack Data |
| IDS—Benign or Normal Data, Adversarial Data, and Previously Generated Adversarial Data |
| Critic/Discriminator—Sattack and Sbenign |
| Output: |
| Trained Critic/Discriminator, Generator, and IDS |
| for epochs = 1, …, MAX EPOCHS do |
| for G-iterations do |
| Generator creates adversarial network attacks using Sattack and updates loss using function |
| end |
| for D-iterations do |
| Critic/Discriminator classifies the network data to Bbenign and Battack. Update loss using function |
| Feed Battack (Adversarial data) and Previously Generated Adversarial Data to the IDS |
| end |
| end |
| Algorithm 3. for generating the polymorphic adversarial attack. |
| Input: |
| Generator—Noise, Sattack, Xattack |
| Critic/Discriminator—Sattack, Xpoly, Sbenign |
| Output: |
| Trained Critic/Discriminator and Generator |
| F_tot = total number of features |
| Feature Set = S (1: F_tot) |
| N = total number of non-functional features in F_tot |
| nf = number of non-functional features selected for mutation in the first cycle of polymorphic attacks |
| steps = range (N/nf) |
| /* Data preparation for the Attacker and Polymorphic attack generation */ |
| for i = 1 to steps do |
| Choose a subset Si (0: i*nf-1) of non-functional features from Sattack. Randomly increase the selected feature values by a small percentage to create Xattack |
| for epochs = 1 to MAX EPOCHS do |
| for G-iterations do |
| Generator creates adversarial polymorphic attacks (Xpoly) using Xattack + Noise. Update loss |
| using function |
| end |
| /* Training the Discriminator model */ |
| for D-iterations do |
| Discriminator classifies the network data to Bbenign and Battack. Update loss using function |
| end |
| end |
| end |
| Algorithm 4. for generating the polymorphic adversarial attack. |
| Input: |
| Generator—Noise, Sattack, Xattack |
| Critic/Discriminator—Sattack, Xpoly, Sbenign |
| Output: |
| Trained Critic/Discriminator and Generator |
| F_tot = total number of features |
| Feature Set = S (1: F_tot) |
| N = total number of non-functional features in F_tot |
| nf = number of non-functional features selected for mutation in the first cycle of polymorphic attacks |
| steps = range (N/nf) |
| prev = 0 |
| /* Data preparation for the Attacker and Polymorphic attack generation */ |
| for i = 1 to steps do |
| if (prev < N) |
| Choose a subset Si (prev: prev + (i×nf) − 1) of non-functional features from Sattack. Randomly increase the selected feature values by a small percentage to create Xattack |
| Update the value of prev to {prev + (i×f)} |
| for epochs = 1 to MAX EPOCHS do |
| for G-iterations do |
| Generator creates adversarial polymorphic attacks (Xpoly) using Xattack + Noise. Update loss |
| using function |
| end |
| /* Training the Discriminator model */ |
| for D-iterations do |
| Discriminator classifies the network data to Bbenign and Battack. Update loss using function |
| end |
| end |
| end |
6. Experiment Setup
- -
- PyTorch [57] is an open-source machine learning platform that is based on the Torch library. We used PyTorch library to create neural networks for Black-box IDS, the generator, and the discriminator or critic. For example, to generate random noise, we have used a “torch.Tensor” method.
- -
- Scikit-learn [58] is a machine learning library for python that supports various classifications, regressions, and clustering techniques. Examples include sklearn.utils and sklearn.metrics.
- -
- Pandas [59] is a python library that is used to read, manipulate, and analyze the dataset. For example, to read CSV files, we use the read_csv() method from this library.
6.1. Hyperparameter Adjustment
6.2. Evaluation Metrics
- Detection Rate (DR) or Precision—a ratio between the correctly detected attack samples over all the samples classified as an attack by the IDS. It is also known as a ratio between True Positives and the sum of True Positives and False Positives.
- Recall—a ratio between the correctly detected attack samples over the total attack sample data. It is also known as a ratio between True Positives and the sum of True Positives and False Negatives.
- F1_Score—represents the harmonic mean of precision and recall.
- True Negative Rate (TNR)—a ratio between the correctly detected benign samples over the total benign sample data. It is also known as a ratio between True Negatives and the sum of True Negatives and False Positives.
- IDS Evasion Success Rate (ESR)—the rate of increase of undetected adversarial polymorphic attack samples by IDS compared to the original attack samples.
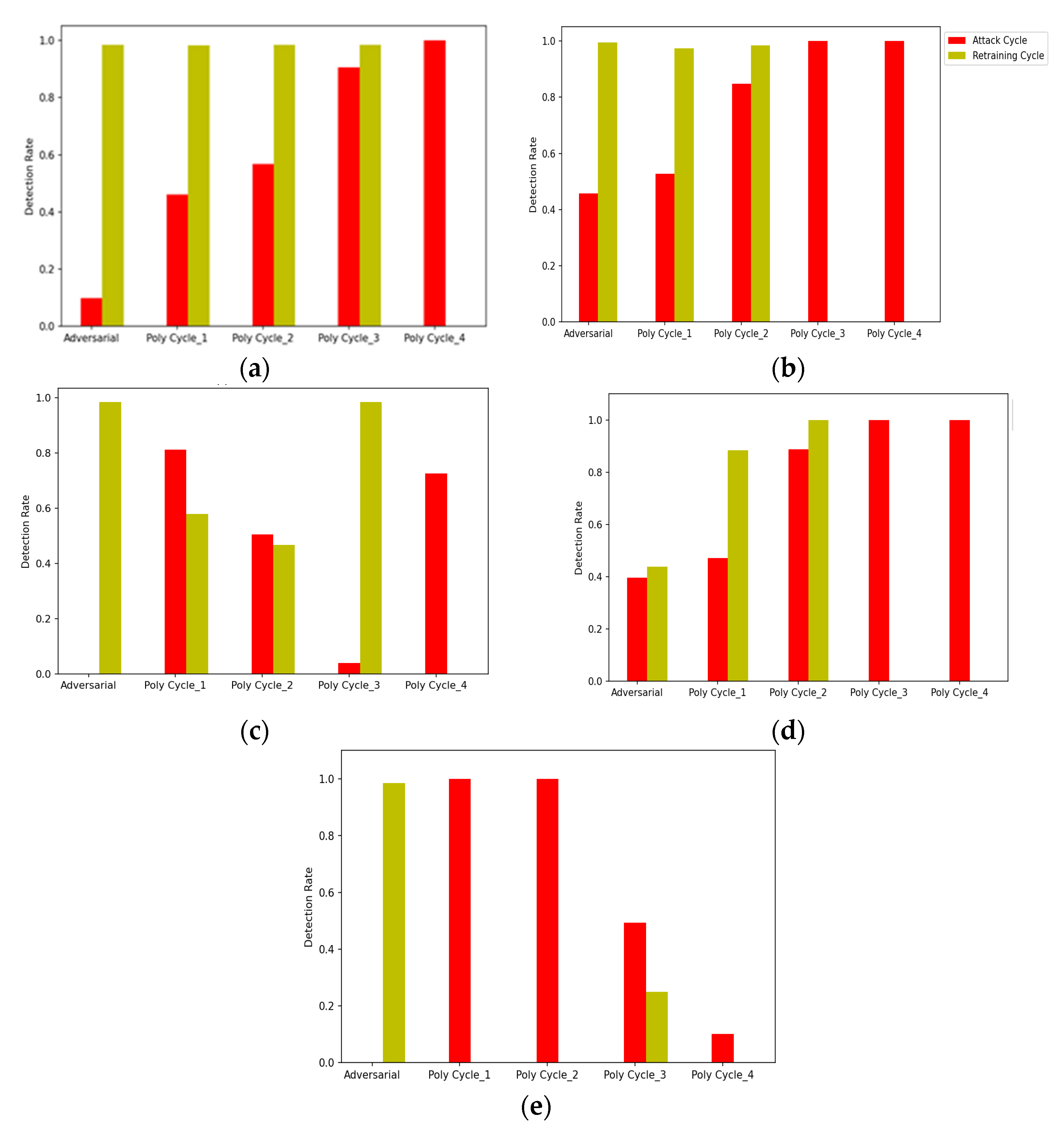
7. Results and Discussion
7.1. Polymorphic Adversarial DDoS/DoS Attack Generation
7.2. Analysis and Discussion
8. Conclusions and Future Work
Author Contributions
Funding
Institutional Review Board Statement
Informed Consent Statement
Acknowledgments
Conflicts of Interest
References
- Liao, H.-J.; Richard Lin, C.-H.; Lin, Y.-C.; Tung, K.-Y. Intrusion detection system: A comprehensive review. J. Netw. Comput. Appl. 2013, 36, 16–24. [Google Scholar] [CrossRef]
- Sabeel, U.; Heydari, S.S.; Mohanka, H.; Bendhaou, Y.; Elgazzar, K.; El-Khatib, K. Evaluation of Deep Learning in Detecting Unknown Network Attacks. In Proceedings of the 2019 International Conference on Smart Applications, Communications and Networking (SmartNets), Sharm El Sheik, Egyp, 17–19 December 2019; pp. 1–6. [Google Scholar]
- Sabeel, U.; Heydari, S.S.; Elgazzar, K.; El-Khatib, K. Building an Intrusion Detection System to Detect Atypical Cyberattack Flows. IEEE Access 2021, 9, 94352–94370. [Google Scholar] [CrossRef]
- Gadelrab, M.; Kalam, A.A.E.; Deswarte, Y. Manipulation of Network Traffic Traces for Security Evaluation. In Proceedings of the 2009 International Conference on Advanced Information Networking and Applications Workshops, Bradford, UK, 26–29 May 2009; pp. 1124–1129. [Google Scholar]
- Skopik, F.; Settanni, G.; Fiedler, R.; Friedberg, I. Semi-synthetic data set generation for security software evaluation. In Proceedings of the 2014 Twelfth Annual International Conference on Privacy, Security and Trust, Toronto, ON, Canada, 23–24 July 2014; pp. 156–163. [Google Scholar]
- Goodfellow, I.J.; Pouget-Abadie, J.; Mirza, M.; Xu, B.; Warde-Farley, D.; Ozair, S.; Courville, A.; Bengio, Y. Generative adversarial nets. In Proceedings of the 27th International Conference on Neural Information Processing Systems, Montreal, QC, Canada, 8–13 December 2014; Volume 2, pp. 2672–2680. [Google Scholar]
- Yu, S.; Dong, H.; Liang, F.; Mo, Y.; Wu, C.; Guo, Y. SIMGAN: Photo-Realistic Semantic Image Manipulation Using Generative Adversarial Networks. In Proceedings of the 2019 IEEE International Conference on Image Processing (ICIP), Taipei, Taiwan, 22–25 September 2019; pp. 734–738. [Google Scholar]
- Wan, C.-H.; Chuang, S.-P.; Lee, H.-Y. Towards Audio to Scene Image Synthesis using Generative Adversarial Network. In Proceedings of the ICASSP 2019–2019 IEEE International Conference on Acoustics, Speech and Signal Processing (ICASSP), Brighton, UK, 12–17 May 2018. [Google Scholar]
- Yang, Y.; Dan, X.; Qiu, X.; Gao, Z. FGGAN: Feature-Guiding Generative Adversarial Networks for Text Generation. IEEE Access 2020, 8, 105217–105225. [Google Scholar] [CrossRef]
- Zhang, J.; Yan, Q.; Wang, M. Evasion Attacks Based on Wasserstein Generative Adversarial Network. In Proceedings of the 2019 Computing, Communications and IoT Applications (ComComAp), Shenzhen, China, 26–28 October 2019; pp. 454–459. [Google Scholar]
- Fogla, P.; Sharif, M.; Perdisci, R.; Kolesnikov, O.; Lee, W. Polymorphic Blending Attacks. In Proceedings of the USENIX Security Symposium, Berkeley, CA, USA, 11–13 August 2006. [Google Scholar]
- Best, R. How AI Is Leading to More Business Phishing Attacks. Available online: https://www.infotech.co.uk/blog/how-ai-is-leading-to-more-business-phishing-attacks (accessed on 10 December 2021).
- Mezic, A. Hacking the Hackers: Adversarial AI and How to Fight It. Available online: https://securityboulevard.com/2020/01/hacking-the-hackers-adversarial-ai-and-how-to-fight-it/ (accessed on 10 December 2021).
- Yaltirakli, G. Slowloris: Low Bandwidth DoS tool. Available online: https://github.com/gkbrk/slowloris (accessed on 10 December 2021).
- Seidl, J. GoldenEye DDoS Attack. Available online: https://github.com/jseidl/GoldenEye (accessed on 10 December 2021).
- Hulk DDoS Attack. Available online: https://github.com/Mr4FX/Hulk-ddos-attack (accessed on 10 December 2021).
- Arjovsky, M.; Chintala, S.; Bottou, L. Wasserstein GAN. arXiv 2017, arXiv:1701.07875. [Google Scholar]
- Lundberg, S.M.; Lee, S.-I. A unified approach to interpreting model predictions. In Proceedings of the 31st International Conference on Neural Information Processing Systems, Long Beach, CA, USA, 4–9 December 2017; pp. 4768–4777. [Google Scholar]
- Rokade, M.D.; Sharma, Y.K. MLIDS: A Machine Learning Approach for Intrusion Detection for Real Time Network Dataset. In Proceedings of the 2021 International Conference on Emerging Smart Computing and Informatics (ESCI), Pune, India, 5–7 March 2021; pp. 533–536. [Google Scholar]
- Singhal, A.; Maan, A.; Chaudhary, D.; Vishwakarma, D. A Hybrid Machine Learning and Data Mining Based Approach to Network Intrusion Detection. In Proceedings of the 2021 International Conference on Artificial Intelligence and Smart Systems (ICAIS), Coimbatore, India, 25–27 March 2021; pp. 312–318. [Google Scholar]
- Srivastava, A.; Agarwal, A.; Kaur, G. Novel Machine Learning Technique for Intrusion Detection in Recent Network-based Attacks. In Proceedings of the 2019 4th International Conference on Information Systems and Computer Networks (ISCON), Mathura, India, 21–22 November 2019; pp. 524–528. [Google Scholar]
- Ertam, F.; Kilincer, L.F.; Yaman, O. Intrusion detection in computer networks via machine learning algorithms. In Proceedings of the 2017 International Artificial Intelligence and Data Processing Symposium (IDAP), Malatya, Turkey, 16–17 September 2017; pp. 1–4. [Google Scholar]
- Bharathy, A.M.V.; Umapathi, N.; Prabaharan, S. An Elaborate Comprehensive Survey on Recent Developments in Behaviour Based Intrusion Detection Systems. In Proceedings of the 2019 International Conference on Computational Intelligence in Data Science (ICCIDS), Gurgaon, India, 21–23 February 2019; pp. 1–5. [Google Scholar]
- Musa, U.S.; Chhabra, M.; Ali, A.; Kaur, M. Intrusion Detection System using Machine Learning Techniques: A Review. In Proceedings of the 2020 International Conference on Smart Electronics and Communication (ICOSEC), Tamilnadu, India, 10–12 September 2020; pp. 149–155. [Google Scholar]
- Acharya, T.; Khatri, I.; Annamalai, A.; Chouikha, M.F. Efficacy of Machine Learning-Based Classifiers for Binary and Multi-Class Network Intrusion Detection. In Proceedings of the 2021 IEEE International Conference on Automatic Control & Intelligent Systems (I2CACIS), Shah Alam, Malaysia, 26–26 June 2021; pp. 402–407. [Google Scholar]
- Lei, M.; Li, X.; Cai, B.; Li, Y.; Liu, L.; Kong, W. P-DNN: An Effective Intrusion Detection Method based on Pruning Deep Neural Network. In Proceedings of the 2020 International Joint Conference on Neural Networks (IJCNN), Glasgow, UK, 19–24 July 2020; pp. 1–9. [Google Scholar]
- Li, L.H.; Ahmad, R.; Tsai, W.C.; Sharma, A.K. A Feature Selection Based DNN for Intrusion Detection System. In Proceedings of the 2021 15th International Conference on Ubiquitous Information Management and Communication (IMCOM), Seoul, Korea, 4–6 January 2021; pp. 1–8. [Google Scholar]
- Chen, L.; Kuang, X.; Xu, A.; Suo, S.; Yang, Y. A Novel Network Intrusion Detection System Based on CNN. In Proceedings of the 2020 Eighth International Conference on Advanced Cloud and Big Data (CBD), Taiyuan, China, 5–6 December 2020; pp. 243–247. [Google Scholar]
- Ho, S.; Jufout, S.A.; Dajani, K.; Mozumdar, M. A Novel Intrusion Detection Model for Detecting Known and Innovative Cyberattacks Using Convolutional Neural Network. IEEE Open J. Comput. Soc. 2021, 2, 14–25. [Google Scholar] [CrossRef]
- Park, S.H.; Park, H.J.; Choi, Y. RNN-based Prediction for Network Intrusion Detection. In Proceedings of the 2020 International Conference on Artificial Intelligence in Information and Communication (ICAIIC), Fukuoka, Japan, 19–21 February 2020; pp. 572–574. [Google Scholar]
- Sivamohan, S.; Sridhar, S.S.; Krishnaveni, S. An Effective Recurrent Neural Network (RNN) based Intrusion Detection via Bi-directional Long Short-Term Memory. In Proceedings of the 2021 International Conference on Intelligent Technologies (CONIT), Karnataka, India, 25–27 June 2021; pp. 1–5. [Google Scholar]
- Hao, Y.; Sheng, Y.; Wang, J. Variant Gated Recurrent Units With Encoders to Preprocess Packets for Payload-Aware Intrusion Detection. IEEE Access 2019, 7, 49985–49998. [Google Scholar] [CrossRef]
- Liu, C.; Liu, Y.; Yan, Y.; Wang, J. An Intrusion Detection Model With Hierarchical Attention Mechanism. IEEE Access 2020, 8, 67542–67554. [Google Scholar] [CrossRef]
- Ali, K.; Boutaba, R. Applying kernel methods to anomaly based Intrusion Detection Systemss. In Proceedings of the 2009 Global Information Infrastructure Symposium, Hammamet, Tunisia, 23–26 June 2009; pp. 1–4. [Google Scholar]
- Chae, Y.; Katenka, N.; DiPippo, L. An Adaptive Threshold Method for Anomaly-based Intrusion Detection Systems. In Proceedings of the 2019 IEEE 18th International Symposium on Network Computing and Applications (NCA), Cambridge, MA, USA, 26–28 September 2019; pp. 1–4. [Google Scholar]
- Chun-Hui, X.; Chen, S.; Cong-Xiao, B.; Xing, L. Anomaly Detection in Network Management System Based on Isolation Forest. In Proceedings of the 2018 4th Annual International Conference on Network and Information Systems for Computers (ICNISC), Wuhan, China, 19–21 April 2018; pp. 56–60. [Google Scholar]
- Nguyen, T.Q.; Laborde, R.; Benzekri, A.; Qu’hen, B. Detecting abnormal DNS traffic using unsupervised machine learning. In Proceedings of the 2020 4th Cyber Security in Networking Conference (CSNet), Lausanne, Switzerland, 21–23 October 2020; pp. 1–8. [Google Scholar]
- Pu, G.; Wang, L.; Shen, J.; Dong, F. A hybrid unsupervised clustering-based anomaly detection method. Tsinghua Sci. Technol. 2021, 26, 146–153. [Google Scholar] [CrossRef]
- Kotani, G.; Sekiya, Y. Unsupervised Scanning Behavior Detection Based on Distribution of Network Traffic Features Using Robust Autoencoders. In Proceedings of the 2018 IEEE International Conference on Data Mining Workshops (ICDMW), Singapore, 17–20 November 2018; pp. 35–38. [Google Scholar]
- Hwang, R.; Peng, M.; Huang, C.; Lin, P.; Nguyen, V. An Unsupervised Deep Learning Model for Early Network Traffic Anomaly Detection. IEEE Access 2020, 8, 30387–30399. [Google Scholar] [CrossRef]
- Kabir, M.A.; Luo, X. Unsupervised Learning for Network Flow Based Anomaly Detection in the Era of Deep Learning. In Proceedings of the 2020 IEEE Sixth International Conference on Big Data Computing Service and Applications (BigDataService), Oxford, UK, 3–6 August 2020; pp. 165–168. [Google Scholar]
- Panos, C.; Xenakis, C.; Kotzias, P.; Stavrakakis, I. A specification-based intrusion detection engine for infrastructure-less networks. Comput. Commun. 2014, 54, 67–83. [Google Scholar] [CrossRef]
- Mitchell, R.; Chen, I. Behavior Rule Specification-Based Intrusion Detection for Safety Critical Medical Cyber Physical Systems. IEEE Trans. Dependable Secur. Comput. 2015, 12, 16–30. [Google Scholar] [CrossRef] [Green Version]
- Babu, M.J.; Reddy, A.R. SH-IDS: Specification Heuristics Based Intrusion Detection System for IoT Networks. Wirel. Pers. Commun. 2020, 112, 2023–2045. [Google Scholar] [CrossRef]
- Kawai, M.; Ota, K.; Dong, M. Improved MalGAN: Avoiding Malware Detector by Leaning Cleanware Features. In Proceedings of the 2019 International Conference on Artificial Intelligence in Information and Communication (ICAIIC), Okinawa, Japan, 11–13 February 2019; pp. 040–045. [Google Scholar]
- Shahpasand, M.; Hamey, L.; Vatsalan, D.; Xue, M. Adversarial Attacks on Mobile Malware Detection. In Proceedings of the 2019 IEEE 1st International Workshop on Artificial Intelligence for Mobile (AI4Mobile), Hangzhou, China, 24–24 February 2019; pp. 17–20. [Google Scholar]
- Xie, H.; Lv, K.; Hu, C. An Effective Method to Generate Simulated Attack Data Based on Generative Adversarial Nets. In Proceedings of the 2018 17th IEEE International Conference On Trust, Security And Privacy In Computing And Communications/12th IEEE International Conference On Big Data Science And Engineering (TrustCom/BigDataSE), New York, NY, USA, 1–3 August 2018; pp. 1777–1784. [Google Scholar]
- Ring, M.; Schlör, D.; Landes, D.; Hotho, A. Flow-based Network Traffic Generation using Generative Adversarial Networks. Comput. Secur. 2018, 82, 156–172. [Google Scholar] [CrossRef] [Green Version]
- Lin, Z.; Shi, Y.; Xue, Z. IDSGAN: Generative Adversarial Networks for Attack Generation against Intrusion Detection. arXiv 2021, arXiv:1809.02077. [Google Scholar]
- Shahriar, M.H.; Haque, N.I.; Rahman, M.A.; Alonso, M. G-IDS: Generative Adversarial Networks Assisted Intrusion Detection System. In Proceedings of the 2020 IEEE 44th Annual Computers, Software, and Applications Conference (COMPSAC), Madrid, Spain, 13–17 July 2020; pp. 376–385. [Google Scholar]
- Zhang, J.; Zhao, Y. Research on Intrusion Detection Method Based on Generative Adversarial Network. In Proceedings of the 2021 International Conference on Big Data Analysis and Computer Science (BDACS), Kunming, China, 25–27 June 2021; pp. 264–268. [Google Scholar]
- Hui, J. GAN—DCGAN (Deep Convolutional Generative Adversarial Networks). Available online: https://jonathan-hui.medium.com/gan-dcgan-deep-convolutional-generative-adversarial-networks-df855c438f (accessed on 10 December 2021).
- Google. Overview of GAN Structure—Generative Adversarial Networks. Available online: https://developers.google.com/machine-learning/gan/gan_structure (accessed on 10 December 2021).
- Zhang, Z.; Li, M.; Yu, J. On the convergence and mode collapse of GAN. In Proceedings of the SIGGRAPH Asia 2018 Technical Briefs, Tokyo, Japan, 4–7 December 2018; p. 21. [Google Scholar]
- Brownlee, J. How to Implement Wasserstein Loss for Generative Adversarial Networks. Available online: https://machinelearningmastery.com/how-to-implement-wasserstein-loss-for-generative-adversarial-networks/ (accessed on 10 December 2021).
- Sharafaldin, I.; Lashkari, A.; Ghorbani, A. Toward Generating a New Intrusion Detection Dataset and Intrusion Traffic Characterization. In Proceedings of the 4th International Conference on Information Systems Security and Privacy (ICISSP), Madeira, Portugal, 22–24 January 2018. [Google Scholar]
- PyTorch 1.6.0 Documentation. Available online: https://pytorch.org/docs/stable/torch.html (accessed on 10 December 2021).
- Scikit-Learn Documentation: Machine Learning in Python. Available online: https://scikit-learn.org/stable/user_guide.html (accessed on 10 December 2021).
- Pandas 1.1.2 Documentation. Available online: https://pandas.pydata.org/docs/ (accessed on 10 December 2021).
- Chauhan, R. Polymorphic Adversarial DDoS Attack on IDS Using GAN; University of Ontario Institute of Technology: Oshawa, ON, Canada, 2020. [Google Scholar]
- Radford, A.; Metz, L.; Chintala, S. Unsupervised Representation Learning with Deep Convolutional Generative Adversarial Networks. arXiv 2015, arXiv:1511.06434. [Google Scholar]
- Mirza, M.; Osindero, S. Conditional Generative Adversarial Nets. arXiv 2014, arXiv:1411.1784. [Google Scholar]
- Mutlu, U.; Alpaydın, E. Training bidirectional Generative Adversarial Network with hints. Pattern Recognit. 2020, 103, 107320. [Google Scholar] [CrossRef]
- Zhu, J.; Park, T.; Isola, P.; Efros, A.A. Unpaired Image-to-Image Translation Using Cycle-Consistent Adversarial Networks. In Proceedings of the 2017 IEEE International Conference on Computer Vision (ICCV), Venice, Italy, 22–29 October 2017; pp. 2242–2251. [Google Scholar]











| Feature | Values |
|---|---|
| Total number of flows | 2,830,540 |
| Total number of features | 83 |
| Number of classes/labels | 15 |
| Normal/Attack Labels | Number of Flows |
|---|---|
| BENIGN | 2,359,087 |
| BOT | 1966 |
| DDOS | 41,835 |
| DOS GOLDENEYE | 10,293 |
| DOS HULK | 231,072 |
| DOS SLOW HTTPTEST | 5499 |
| DOS SLOWLORIS | 5796 |
| FTP-PATATOR | 7938 |
| HEARTBLEED | 11 |
| INFILTRATION | 36 |
| PORTSCAN | 158,930 |
| SSH-PATATOR | 5897 |
| WEB ATTACK—BRUTE FORCE | 1507 |
| WEB ATTACK—SQL INJECTION | 21 |
| WEB ATTACK—XSS | 652 |
| Hyperparameter | Description |
|---|---|
| Batch_Size | Defines the number of samples to consider for one iteration |
| learning_rate | Controls the weights of a neural network |
| Critic_Iters | Critic_iters for each generator cycle |
| Optimizer | Methods used to update the attributes of the neural networks, e.g., Adam, Rmsprop, Adagrad |
| Epochs | Number of training cycles |
| Performance | Attack Type | Random Forest IDS | |
|---|---|---|---|
| (Algorithm 3) | Attack Cycle | Retrain Cycle | |
| Recall (TPR) | Adversarial | 9.91% | 98.40% |
| Polymorphic 1 | 46% | 98.20% | |
| Polymorphic 2 | 56.70% | 98.30% | |
| Polymorphic 3 | 90.60% | 98.40% | |
| Polymorphic 4 | 100% | N/A | |
| TNR | Adversarial | 98.60% | 95.60% |
| Polymorphic 1 | 98.60% | 95.60% | |
| Polymorphic 2 | 98.60% | 95.60% | |
| Polymorphic 3 | 98.60% | 95.70% | |
| Polymorphic 4 | 98.60% | N/A | |
| F1_Score | Adversarial | 12.30% | 98.60% |
| Polymorphic 1 | 56.80% | 98.50% | |
| Polymorphic 2 | 70.00% | 98.50% | |
| Polymorphic 3 | 94.30% | 98.60% | |
| Polymorphic 4 | 99.30% | N/A | |
| (Algorithm 4) | Attack cycle | Retrain Cycle | |
| Recall (TPR) | Adversarial | 22.50% | 98.40% |
| Polymorphic 1 | 34.10% | 69.70% | |
| Polymorphic 2 | 33.20% | 89.60% | |
| Polymorphic 3 | 100% | N/A | |
| Polymorphic 4 | 100% | N/A | |
| TNR | Adversarial | 98.60% | 95.50% |
| Polymorphic 1 | 98.60% | 95.70% | |
| Polymorphic 2 | 98.70% | 95.60% | |
| Polymorphic 3 | 98.70% | N/A | |
| Polymorphic 4 | 98.60% | N/A | |
| F1_Score | Adversarial | 24.70% | 98.50% |
| Polymorphic 1 | 41.30% | 81.60% | |
| Polymorphic 2 | 48.30% | 93.80% | |
| Polymorphic 3 | 99.30% | N/A | |
| Polymorphic 4 | 99.30% | N/A | |
Publisher’s Note: MDPI stays neutral with regard to jurisdictional claims in published maps and institutional affiliations. |
© 2021 by the authors. Licensee MDPI, Basel, Switzerland. This article is an open access article distributed under the terms and conditions of the Creative Commons Attribution (CC BY) license (https://creativecommons.org/licenses/by/4.0/).
Share and Cite
Chauhan, R.; Sabeel, U.; Izaddoost, A.; Shah Heydari, S. Polymorphic Adversarial Cyberattacks Using WGAN. J. Cybersecur. Priv. 2021, 1, 767-792. https://doi.org/10.3390/jcp1040037
Chauhan R, Sabeel U, Izaddoost A, Shah Heydari S. Polymorphic Adversarial Cyberattacks Using WGAN. Journal of Cybersecurity and Privacy. 2021; 1(4):767-792. https://doi.org/10.3390/jcp1040037
Chicago/Turabian StyleChauhan, Ravi, Ulya Sabeel, Alireza Izaddoost, and Shahram Shah Heydari. 2021. "Polymorphic Adversarial Cyberattacks Using WGAN" Journal of Cybersecurity and Privacy 1, no. 4: 767-792. https://doi.org/10.3390/jcp1040037
APA StyleChauhan, R., Sabeel, U., Izaddoost, A., & Shah Heydari, S. (2021). Polymorphic Adversarial Cyberattacks Using WGAN. Journal of Cybersecurity and Privacy, 1(4), 767-792. https://doi.org/10.3390/jcp1040037

