Complex Transitions of the Bounded Confidence Model from an Odd Number of Clusters to the Next
Abstract
1. Introduction
2. The Models and Their Approximation with Distributions
2.1. The Two Variants of the BC Model
| Algorithm 1: runHK( (initial opinions), (confidence bound)) | 
|  | 
| Algorithm 2: runDW( (initial opinions), (confidence bound)) | 
|  | 
2.2. Distribution Version
| Algorithm 3: distributionRunDW( (confidence bound), ( discretisation size)) | 
|  | 
| Algorithm 4: distributionHK( (confidence bound), ( discretisation size)) | 
|  | 
2.3. Dealing with Computational Instabilities: Forcing Symmetry and Adding Noise
3. Simulation Results
3.1. DW Model
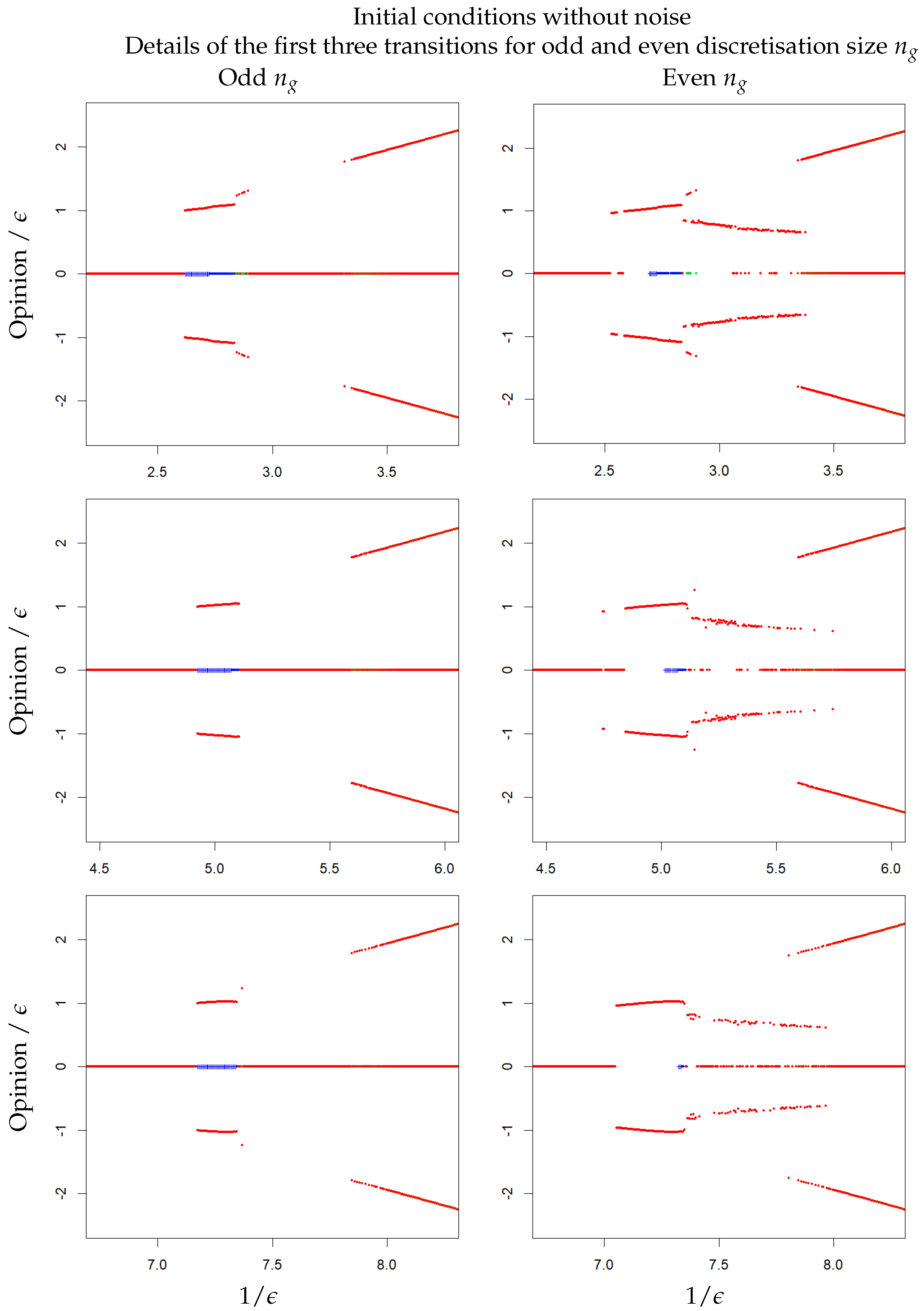
3.2. HK Model with Odd or Even Discretisation Size
3.3. HK Model with Noise on the Initial Conditions
- From to , for an odd , one central cluster is reached after a few hundred iterations, and for an even , two clusters, at distance roughly from the centre (slowly increasing with ), are reached after about 10 iterations.
- From to , two clusters at a distance of roughly from the centre (slowly increasing with ) with one minor cluster at the centre are reached after a dozen iterations,
- From to , there are two clusters in asymmetric positions and of different masses. The cluster of smaller mass is located at and the one of bigger mass is closer to the centre on the other side, and moves slowly closer to the centre when increases. The convergence is reached after a large number of iterations (several thousands), except at the beginning and in the second half the phase where some cases of fast convergence also appear.
4. Discussion
Funding
Data Availability Statement
Acknowledgments
Conflicts of Interest
References
- Sakoda, J.M. The checkerboard model of social interaction. J. Math. Sociol. 1971, 1, 119–132. [Google Scholar] [CrossRef]
- Schelling, T.C. Dynamic models of segregation. J. Math. Sociol. 1971, 1, 143–186. [Google Scholar] [CrossRef]
- Hegselmann, R. Thomas C. Schelling and James M. Sakoda: The intellectual, technical, and social history of a model. J. Artif. Soc. Soc. Simul. (JASSS) 2017, 20, 15. [Google Scholar] [CrossRef]
- Galam, S. Sociophysics: A review of Galam models. Int. J. Mod. Phys. C 2008, 19, 409–440. [Google Scholar] [CrossRef]
- Cox, B. What is Hopi gossip about? Information management and Hopi factions. Man 1970, 5, 88–98. [Google Scholar] [CrossRef]
- Schweitzer, F.; Beberra, L. Nonlinear voter models: The transition from invasion to coexistence. Eur. Phys. J. B 2009, 67, 301–318. [Google Scholar] [CrossRef][Green Version]
- Axelrod, R. The dissemination of culture: A model with local convergence and global polarization. J. Confl. Resolut. 1997, 41, 203–226. [Google Scholar] [CrossRef]
- Klemm, K.; Eguíluz, V.M.; Toral, R.; San Miguel, M. Global culture: A noise-induced transition in finite systems. Phys. Rev. E 2003, 67, 045101(R). [Google Scholar] [CrossRef] [PubMed]
- Martins, A.C.R. Continuous opinions and discrete actions in opinion dynamics problems. Int. J. Mod. Phys. C 2008, 19, 617–624. [Google Scholar] [CrossRef]
- Hegselmann, R.; Krause, U. Opinion dynamics and bounded confidence: Models, analysis and simulation. J. Artif. Soc. Soc. Simul. (JASSS) 2002, 5, 2. Available online: https://www.jasss.org/5/3/2.html (accessed on 1 March 2024).
- Deffuant, G.; Neau, D.; Amblard, F.; Weisbuch, G. Mixing beliefs among interacting agents. Adv. Complex Syst. 2000, 3, 87–98. [Google Scholar] [CrossRef]
- Weisbuch, G. Bounded confidence and social networks. Eur. Phys. J. B 2004, 38, 339–343. [Google Scholar] [CrossRef]
- Lorenz, J. Continuous opinion dynamics under bounded confidence: A survey. Int. J. Mod. Phys. C 2007, 18, 1819–1838. [Google Scholar] [CrossRef]
- Deffuant, G.; Weisbuch, F.A.G.; Faure, T. How can extremism prevail? A study based on the relative agreement interaction model. J. Artif. Soc. Soc. Simul. (JASSS) 2002, 5, 1. Available online: https://www.jasss.org/5/4/1.html (accessed on 1 March 2024).
- Deffuant, G. Comparing extremism propagation patterns in continuous opinion models. J. Artif. Soc. Soc. Simul. (JASSS) 2006, 9, 8. Available online: https://www.jasss.org/9/3/8.html (accessed on 1 March 2024).
- Mathias, J.-D.; Huet, S.; Deffuant, G. Bounded confidence model with fixed uncertainties and extremists: The opinions can keep fluctuating indefinitely. J. Artif. Soc. Soc. Simul. (JASSS) 2016, 19, 6. [Google Scholar] [CrossRef]
- Schawe, H.; Fontaine, S.; Hernández, L. When network bridges foster consensus. Bounded confidence models in networked societies. Phys. Rev. Res. 2021, 3, 023208. [Google Scholar] [CrossRef]
- Lorenz, J.; Urbig, D. About the power to enforce or prevent consensus by manipulating communication rules. Adv. Complex Syst. 2007, 10, 251–269. [Google Scholar] [CrossRef]
- Stauffer, D.; Meyer-Ortmanns, H. Simulation of consensus model of Deffuant et al. on a Barabási–Albert network. Int. J. Mod. Phys. C 2004, 15, 241–246. [Google Scholar] [CrossRef]
- Gargiulo, F.; Gandica, Y. The role of homophily in the emergence of opinion controversies. J. Artif. Soc. Soc. Simul. (JASSS) 2017, 20, 8. [Google Scholar] [CrossRef]
- Carletti, T.; Righi, S.; Fanelli, D. Emerging structures in social networks guided by opinions’ exchange. Adv. Complex Syst. 2011, 14, 13–30. [Google Scholar] [CrossRef]
- Kan, U.; Feng, M.; Porter, M.A. An adaptive bounded-confidence model of opinion dynamics on networks. J. Complex Netw. 2022, 11, cnac055. [Google Scholar] [CrossRef]
- Pineda, M.; Toral, R.; Hernández-García, E. Noisy continuous-opinion dynamics. J. Stat. Mech. Theory Exp. 2009, 2009, P08001. [Google Scholar] [CrossRef]
- Pineda, M.; Toral, R.; Hernádez-Garciía, E. Diffusing opinions in bounded confidence processes. Eur. Phys. J. D 2011, 62, 109–117. [Google Scholar] [CrossRef]
- Flache, A.; Macy, M.W. Small worlds and cultural polarization. J. Math. Sociol. 2011, 35, 146–176. [Google Scholar] [CrossRef]
- Castellano, C.; Fortunato, S.; Loreto, V. Statistical physics of social dynamics. Rev. Mod. Phys. 2007, 81, 591–646. [Google Scholar] [CrossRef]
- Flache, A.; Mäs, M.; Feliciani, T.; Chattoe-Brown, E.; Deffuant, G.; Huet, S.; Lorenz, J. Models of social influence: Towards the next frontiers. J. Artif. Soc. Soc. Simul. (JASSS) 2017, 20, 4. [Google Scholar] [CrossRef]
- Ben-Naim, E.; Krapivsky, P.L.; Redner, S. Bifurcations and patterns in compromise processes. Phys. D Nonlin. Phenom. 2003, 183, 190–204. [Google Scholar] [CrossRef]
- Lorenz, J. Consensus strikes back in the Hegselmann-Krause model of continuous opinion dynamics under bounded confidence. J. Artif. Soc. Soc. Simul. (JASSS) 2006, 9, 8. Available online: https://www.jasss.org/9/1/8.html (accessed on 1 March 2024).
- Hegarty, P.; Wedin, E. The Hegselmann-Krause dynamics for equally spaced agents. J. Differ. Equat. Appl. 2016, 22, 1621–1645. [Google Scholar] [CrossRef]
- Hegselmann, R. Bounded confidence revisited: What we overlooked, underestimated, and got wrong. J. Artif. Soc. Soc. Simul. (JASSS) 2023, 26, 11. [Google Scholar] [CrossRef]










| Disclaimer/Publisher’s Note: The statements, opinions and data contained in all publications are solely those of the individual author(s) and contributor(s) and not of MDPI and/or the editor(s). MDPI and/or the editor(s) disclaim responsibility for any injury to people or property resulting from any ideas, methods, instructions or products referred to in the content. | 
© 2024 by the author. Licensee MDPI, Basel, Switzerland. This article is an open access article distributed under the terms and conditions of the Creative Commons Attribution (CC BY) license (https://creativecommons.org/licenses/by/4.0/).
Share and Cite
Deffuant, G. Complex Transitions of the Bounded Confidence Model from an Odd Number of Clusters to the Next. Physics 2024, 6, 742-759. https://doi.org/10.3390/physics6020046
Deffuant G. Complex Transitions of the Bounded Confidence Model from an Odd Number of Clusters to the Next. Physics. 2024; 6(2):742-759. https://doi.org/10.3390/physics6020046
Chicago/Turabian StyleDeffuant, Guillaume. 2024. "Complex Transitions of the Bounded Confidence Model from an Odd Number of Clusters to the Next" Physics 6, no. 2: 742-759. https://doi.org/10.3390/physics6020046
APA StyleDeffuant, G. (2024). Complex Transitions of the Bounded Confidence Model from an Odd Number of Clusters to the Next. Physics, 6(2), 742-759. https://doi.org/10.3390/physics6020046
 
        

