Remarks on the Study of the Electronic Properties and Photoionization Process in Rotating 2D Quantum Rings
Abstract
1. Introduction
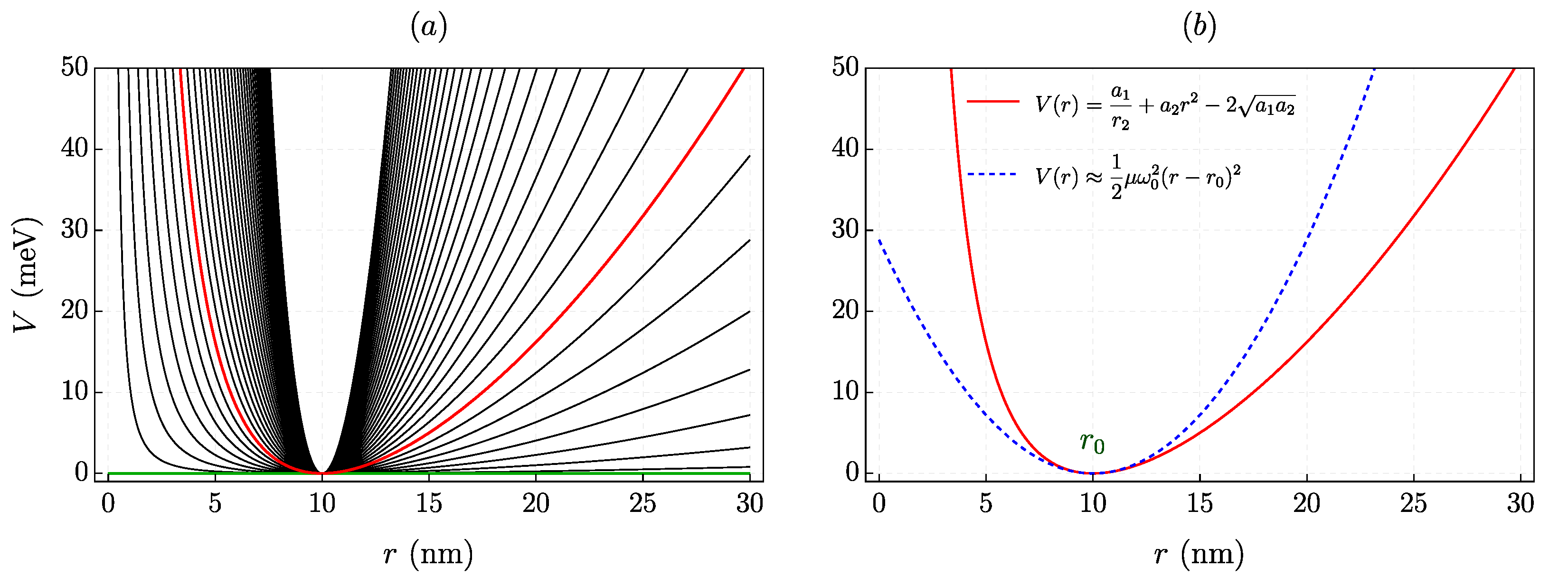
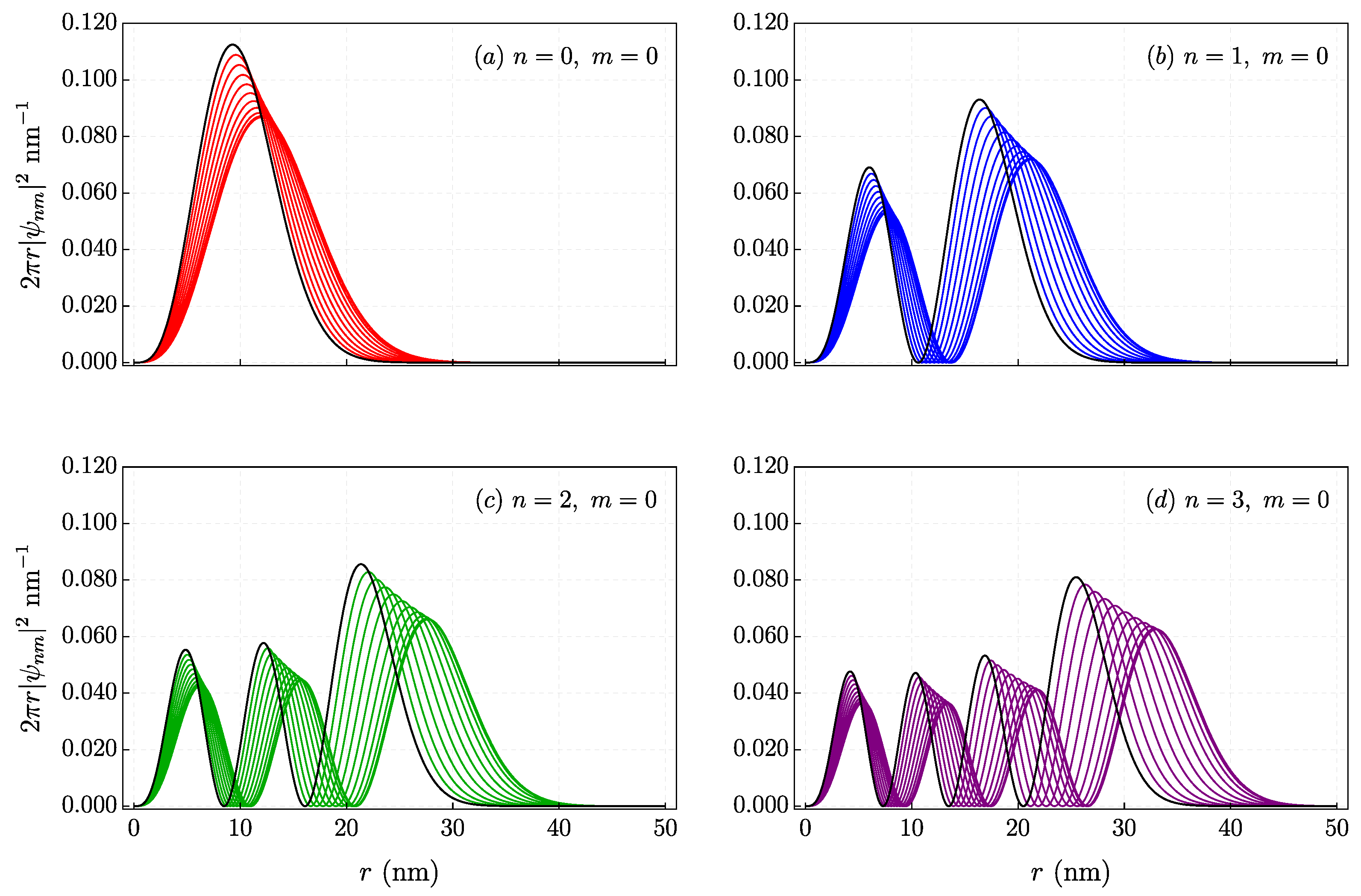
2. The Tan–Inkson Model
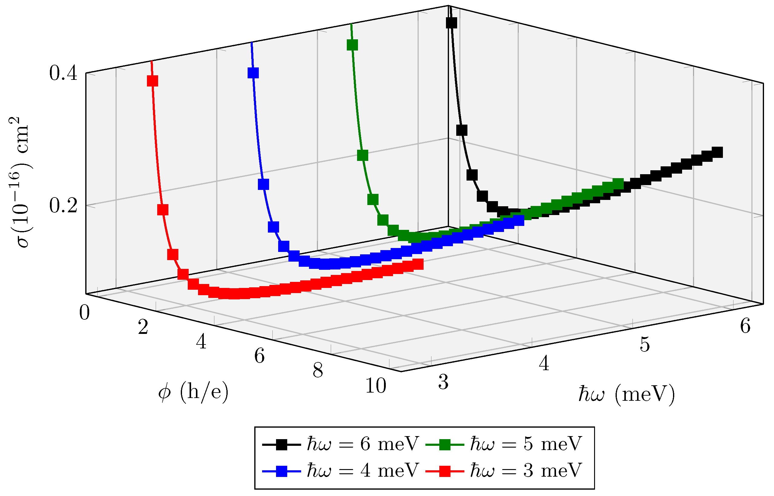
3. Photoionization Process for the 2D Quantum Ring Model
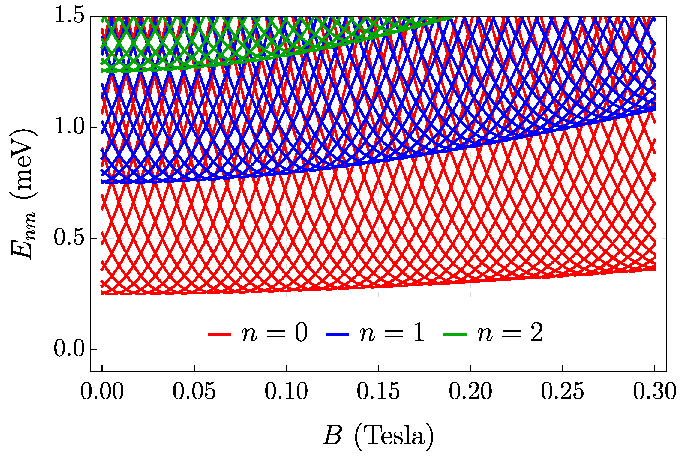
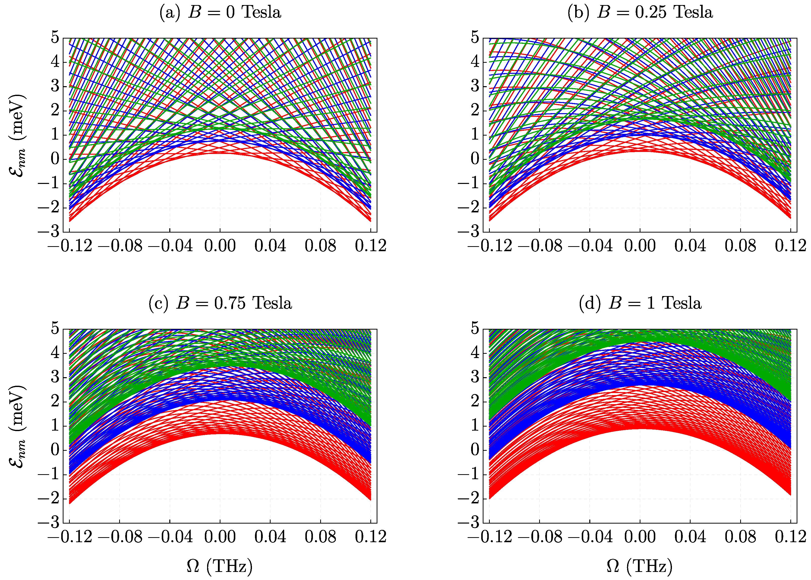
4. 2D Quantum Ring Under Effects of Rotation
5. Conclusions
Funding
Data Availability Statement
Conflicts of Interest
References
- Madelung, O. Semiconductors: Data Handbook; Springer: Berlin/Heidelberg, Germany, 2012. [Google Scholar]
- YU, P.; Cardona, M. Fundamentals of Semiconductors: Physics and Materials Properties; Graduate Texts in Physics; Springer: Berlin/Heidelberg, Germany, 2010. [Google Scholar]
- Neamen, D.A. Semiconductor Physics and Devices; McGraw-Hill: New York, NY, USA, 2012. [Google Scholar]
- Heinzel, T. Mesoscopic Electronics in Solid State Nanostructures; John Wiley & Sons: Weinheim, Germany, 2006. [Google Scholar]
- Kittel, C. Introduction to Solid State Physics; Wiley: Hoboken, NJ, USA, 2004. [Google Scholar]
- Chen, X.; Lei, Y. Electrical conductivity measurement of ferromagnetic metallic materials using pulsed eddy current method. NDT E Int. 2015, 75, 33–38. [Google Scholar] [CrossRef]
- Gönen, T. Electric Power Distribution System Engineering; Electrical Engineering Series; McGraw-Hill: New York, NY, USA, 1986. [Google Scholar]
- Ferry, D. Transport in Semiconductor Mesoscopic Devices; G—Reference, Information and Interdisciplinary Subjects Series; Institute of Physics Publishing: Bristol, UK, 2015. [Google Scholar]
- Vladimir, M.; Fomin, A. Physics of Quantum Rings; Springer: Berlin/Heidelberg, Germany, 2014. [Google Scholar] [CrossRef]
- Bahar, B.; Chakraborty, T.; Pietiläinen, P. Quantum well studies. Phys. Rev. B 1994, 50, 8460–8463. [Google Scholar] [CrossRef]
- Lorke, A.; Luyken, R.J.; Govorov, A.O.; Kotthaus, J.P.; Garcia, J.M.; Petroff, P.M. Spectroscopy of nanoscopic semiconductor rings. Phys. Rev. Lett. 2000, 84, 2223–2226. [Google Scholar] [CrossRef] [PubMed]
- Bahar, M.; Rodríguez-Magdaleno, K.; Martínez-Orozco, J.C.; Mora-Ramos, M.E.; Ungan, F. Optical properties of a triple AlGaAs/GaAs quantum well purported for quantum cascade laser active region. Mater. Today Commun. 2021, 26, 101936. [Google Scholar] [CrossRef]
- Chen, B.; Guo, K.X.; Wang, R.Z.; Zheng, Y.B.; Li, B. Nonlinear optical rectification in asymmetric double triangular quantum wells. Eur. Phys. J. B 2008, 66, 227–233. [Google Scholar] [CrossRef]
- Enders, B.; Lima, F.; Nunes, O.; Fonseca, A.; Agrello, D.; Qu, F.; Da Silva, E., Jr.; Freire, V. Electronic properties of a quasi-two-dimensional electron gas in semiconductor quantum wells under intense laser fields. Phys. Rev. B 2004, 70, 035307. [Google Scholar] [CrossRef]
- de Lira, F.A.; Silva, E.O. Theoretical approach for the description of a single quantum dot using geometry. Phys. E Low-Dimens. Syst. Nanostruct. 2023, 147, 115617. [Google Scholar] [CrossRef]
- Pereira, L.F.C.; Andrade, F.M.; Filgueiras, C.; Silva, E.O. Modifications of Electron States, Magnetization, and Persistent Current in a Quantum Dot by Controlled Curvature. Ann. Der Phys. 2019, 531, 1900254. [Google Scholar] [CrossRef]
- Candemir, N.; Özdemir, A. Linear and nonlinear optical properties in a GaAs quantum dot with disclination under magnetic field and Aharonov-Bohm flux field. Phys. Lett. A 2023, 492, 129226. [Google Scholar] [CrossRef]
- Chubrei, M.; Holovatsky, V.; Duque, C. Effect of magnetic field on donor impurity-related photoionisation cross-section in multilayered quantum dot. Philos. Mag. 2021, 101, 2614–2633. [Google Scholar] [CrossRef]
- Pal, S.; Ghosh, M.; Duque, C. Impurity related optical properties in tuned quantum dot/ring systems. Philos. Mag. 2019, 99, 2457–2486. [Google Scholar] [CrossRef]
- Pérez, L.M.; Aghoutane, N.; Laroze, D.; Díaz, P.; El-Yadri, M.; Feddi, E.M. Intense Laser Field Effect on the Photo-Ionization Cross-Section of the First Exciton Transition in a Core/Shell Quantum Dot Submitted to an Applied Electric Field. Coatings 2023, 13, 1098. [Google Scholar] [CrossRef]
- Baghdasaryan, D.; Hayrapetyan, D.; Kazaryan, E.; Sarkisyan, H. Thermal and magnetic properties of electron gas in toroidal quantum dot. Phys. E Low-Dimens. Syst. Nanostruct. 2018, 101, 1–4. [Google Scholar] [CrossRef]
- Pereira, L.F.C.; Andrade, F.M.; Filgueiras, C.; Silva, E.O. Effects of Curvature on the Electronic States of a Two-Dimensional Mesoscopic Ring. Few-Body Syst. 2022, 63, 64. [Google Scholar] [CrossRef]
- Pereira, L.F.C.; Silva, E.O. Modification of Landau Levels in a 2D Ring Due to Rotation Effects and Edge States. Ann. Der Phys. 2023, 535, 2200371. [Google Scholar] [CrossRef]
- de Lira, F.A.; Pereira, L.F.C.; Silva, E.O. Study on the effects of anisotropic effective mass on electronic properties, magnetization and persistent current in semiconductor quantum ring with conical geometry. Phys. E Low-Dimens. Syst. Nanostruct. 2024, 158, 115898. [Google Scholar] [CrossRef]
- Pereira, L.F.C.; Andrade, F.M.; Filgueiras, C.; Silva, E.O. Study of electronic properties, magnetization and persistent currents in a mesoscopic ring by controlled curvature. Phys. E Low-Dimens. Syst. Nanostruct. 2021, 132, 114760. [Google Scholar] [CrossRef]
- Jin, M.; Xie, W.; Chen, T. Photoionization cross section in a two-dimensional quantum ring with a donor impurity. Superlattices Microstruct. 2013, 62, 59–67. [Google Scholar] [CrossRef]
- Lima, D.F.; Azevedo, F.D.S.; Pereira, L.F.C.; Filgueiras, C.; Silva, E.O. Optical and electronic properties of a two-dimensional quantum ring under rotating effects. Ann. Phys. 2023, 459, 169547. [Google Scholar] [CrossRef]
- Pereira, L.F.C.; Cunha, M.M.; Silva, E.O. 1D Quantum ring: A Toy Model Describing Noninertial Effects on Electronic States, Persistent Current and Magnetization. Few-Body Syst. 2022, 63, 58. [Google Scholar] [CrossRef]
- Poole, C.P.; Owens, F.J. Introduction to Nanotechnology; John Wiley & Sons: Hoboken, NJ, USA, 2003. [Google Scholar]
- Xia, J.B.; Cheah, K.W. Quantum confinement effect in thin quantum wires. Phys. Rev. B 1997, 55, 15688–15693. [Google Scholar] [CrossRef]
- Bayer, M.; Walck, S.N.; Reinecke, T.L.; Forchel, A. Exciton binding energies and diamagnetic shifts in semiconductor quantum wires and quantum dots. Phys. Rev. B 1998, 57, 6584–6591. [Google Scholar] [CrossRef]
- Yakimenko, I.I.; Yakimenko, I.P. Electronic properties of semiconductor quantum wires for shallow symmetric and asymmetric confinements. J. Phys. Condens. Matter 2021, 34, 105302. [Google Scholar] [CrossRef]
- Heyn, C.; Radu, A.; Vinasco, J.; Laroze, D.; Restrepo, R.; Tulupenko, V.; Hieu, N.N.; Phuc, H.V.; Mora-Ramos, M.; Ojeda, J.; et al. Exciton states in conical quantum dots under applied electric and magnetic fields. Opt. Laser Technol. 2021, 139, 106953. [Google Scholar] [CrossRef]
- Chakraborty, T. Quantum Dots: A Survey of the Properties of Artificial Atoms; Elsevier Science: Amsterdam, The Netherlands, 1999. [Google Scholar]
- Maksym, P.A.; Chakraborty, T. Quantum dots in a magnetic field: Role of electron-electron interactions. Phys. Rev. Lett. 1990, 65, 108–111. [Google Scholar] [CrossRef]
- Bose, C.; Sarkar, C. Effect of a parabolic potential on the impurity binding energy in spherical quantum dots. Phys. B Condens. Matter 1998, 253, 238–241. [Google Scholar] [CrossRef]
- Çakır, B.; Yakar, Y.; Özmen, A. Refractive index changes and absorption coefficients in a spherical quantum dot with parabolic potential. J. Lumin. 2012, 132, 2659–2664. [Google Scholar] [CrossRef]
- Biasiol, G.; Heun, S. Compositional Mapping of Semiconductor Quantum Dots and Rings; Physics Reports; Elsevier: Amsterdam, The Netherlands, 2011. [Google Scholar]
- Cotta, M.A. Quantum Dots and Their Applications: What Lies Ahead? ACS Appl. Nano Mater. 2020, 3, 4920–4924. [Google Scholar] [CrossRef]
- Chistyakov, A.A.; Zvaigzne, M.A.; Nikitenko, V.R.; Tameev, A.R.; Martynov, I.L.; Prezhdo, O.V. Optoelectronic Properties of Semiconductor Quantum Dot Solids for Photovoltaic Applications. J. Phys. Chem. Lett. 2017, 8, 4129–4139. [Google Scholar] [CrossRef]
- Ameta, R.; Bhatt, J.; Ameta, S. Quantum Dots: Fundamentals, Synthesis and Applications; Elsevier Science: Amsterdam, The Netherlands, 2022. [Google Scholar]
- Pereira, C.M.O.; dos S Azevedo, F.; Pereira, L.F.C.; Silva, E.O. Rotating effects on the photoionization cross-section of a 2D quantum ring. Commun. Theor. Phys. 2024, 76, 105701. [Google Scholar] [CrossRef]
- Aharonov, Y.; Bohm, D. Significance of electromagnetic potentials in quantum theory. Phys. Rev. 1959, 115, 485–491. [Google Scholar] [CrossRef]
- Xie, W. Photoionization cross section in a two-dimensional quantum ring: Aharonov–Bohm effect. Superlattices Microstruct. 2013, 58, 94–100. [Google Scholar] [CrossRef]
- González-Santander, C.; Domínguez-Adame, F.; Römer, R.A. Excitonic Aharonov-Bohm effect in a two-dimensional quantum ring. Phys. Rev. B 2011, 84, 235103. [Google Scholar] [CrossRef]
- Arnold, T.; Tang, C.S.; Manolescu, A.; Gudmundsson, V. Magnetic-field-influenced nonequilibrium transport through a quantum ring with correlated electrons in a photon cavity. Phys. Rev. B 2013, 87, 035314. [Google Scholar] [CrossRef]
- Chakraborty, T.; Pietiläinen, P. Persistent currents in a quantum ring: Effects of impurities and interactions. Phys. Rev. B 1995, 52, 1932–1935. [Google Scholar] [CrossRef]
- Seo, M.; Jung, H.; Chung, Y. Electron Interference in a Quantum Ring with a Tunable Magnetic Field Shield. Appl. Sci. Converg. Technol. 2021, 30, 62–64. [Google Scholar] [CrossRef]
- Oliveira, R.R.; Araújo Filho, A.A.; Lima, F.C.; Maluf, R.V.; Almeida, C.A. Thermodynamic properties of an Aharonov-Bohm quantum ring. Eur. Phys. J. Plus 2019, 134, 495. [Google Scholar] [CrossRef]
- Fuhrer, A.; Lüscher, S.; Ihn, T.; Heinzel, T.; Ensslin, K.; Wegscheider, W.; Bichler, M. Energy spectra of quantum rings. Nature 2001, 413, 822–825. [Google Scholar] [CrossRef]
- Földi, P.; Molnár, B.; Benedict, M.G.; Peeters, F.M. Spintronic single-qubit gate based on a quantum ring with spin-orbit interaction. Phys. Rev. B 2005, 71, 033309. [Google Scholar] [CrossRef]
- Xie, W. Aharonov-Bohm oscillation of photoionization cross section in a quantum ring with a repulsive scattering center. Phys. Lett. A 2013, 377, 903–906. [Google Scholar] [CrossRef]
- Gumber, S.; Bhattacherjee, A.B.; Jha, P.K. Spin transport in a Rashba-coupled two-dimensional quantum ring: An analytical model. Phys. Rev. B 2018, 98, 205408. [Google Scholar] [CrossRef]
- Pereira, L.F.C.; de Lira, F.A.; Silva, E.O. Quantum rings: Electronic properties. In Encyclopedia of Condensed Matter Physics, 2nd ed.; Chakraborty, T., Ed.; Academic Press: Oxford, UK, 2024; pp. 415–425. [Google Scholar] [CrossRef]
- Bakke, K.; Furtado, C. On the confinement of a Dirac particle to a two-dimensional ring. Phys. Lett. A 2012, 376, 1269–1273. [Google Scholar] [CrossRef]
- Bakke, K.; Belich, H. On the Lorentz symmetry breaking effects on a Dirac neutral particle inside a two-dimensional quantum ring. Eur. Phys. J. Plus 2014, 129, 147. [Google Scholar] [CrossRef]
- Liang, S.; Xie, W.; Shen, H. Optical properties in a two-dimensional quantum ring: Confinement potential and Aharonov–Bohm effect. Opt. Commun. 2011, 284, 5818–5828. [Google Scholar] [CrossRef]
- Aghoutane, N.; El-Yadri, M.; El Aouami, A.; Feddi, E.; Dujardin, F.; El Haouari, M.; Duque, C.A.; Nguyen, C.V.; Phuc, H.V. Refractive index changes and optical absorption involving 1s–1p excitonic transitions in quantum dot under pressure and temperature effects. Appl. Phys. A 2018, 125, 17. [Google Scholar] [CrossRef]
- Omugbe, E.; Osafile, O.E.; Njoku, I.J.; Jahanshir, A.; Edet, C.O.; Okon, I.B.; Eyube, E.S.; Onate, C.A.; Horchani, R.; William, E.S.; et al. Information-theoretic measures and thermodynamic properties under magnetic and Aharonov–Bohm flux fields. Eur. Phys. J. D 2023, 77, 143. [Google Scholar] [CrossRef]
- William, E.S.; Onye, S.C.; Ikot, A.N.; Nwachukwu, A.N.; Inyang, E.P.; Okon, I.B.; Akpan, I.O.; Ita, B.I. Magnetic susceptibility and Magnetocaloric effect of Frost-Musulin potential subjected to Magnetic and Aharonov-Bohm (Flux) fields for CO and NO diatomic molecules. J. Theor. Appl. Phys. 2023, 17. [Google Scholar] [CrossRef]
- Edet, C.; Lakaal, K.; El Hamdaoui, J.; Feddi, K.; Pérez, L.; Feddi, E.; Ikot, A.; Ali, N.; Rais, S.A.A.; Asjad, M. Investigating the magneto-transport and thermal properties of 2D electron systems under the influence of the Aharonov–Bohm field and Eckart potential interaction. Phys. B Condens. Matter 2024, 673, 415438. [Google Scholar] [CrossRef]
- Isonguyo, C.N.; Ituen, E.E.; Okon, I.B.; Udoh, M.E.; Antia, A.D.; Ikot, A.N. Effects of magnetic and Aharonov–Bohm flux fields on information entropy with modified Kratzer plus screened Coulomb potential for selected diatomic molecules. Mol. Phys. 2024, e2338400. [Google Scholar] [CrossRef]
- Okon, I.B.; Onate, C.A.; Omugbe, E.; Okorie, U.S.; Edet, C.O.; Antia, A.D.; Araujo, J.P.; Isonguyo, C.N.; Onyeaju, M.C.; William, E.S.; et al. Aharonov–Bohm (AB) flux and thermomagnetic properties of Hellmann plus screened Kratzer potential as applied to diatomic molecules using Nikiforov–Uvarov-Functional-Analysis (NUFA) method. Mol. Phys. 2022, 120, e2046295. [Google Scholar] [CrossRef]
- Edet, C.O.; Ikot, A.N.; Onyeaju, M.C.; Okorie, U.S.; Rampho, G.J.; Lekala, M.L.; Kaya, S. Thermo-magnetic properties of the screened Kratzer potential with spatially varying mass under the influence of Aharanov-Bohm(AB) and position-dependent magnetic fields. Phys. E Low-Dimens. Syst. Nanostruct. 2021, 131, 114710. [Google Scholar] [CrossRef]
- Edet, C.O.; Amadi, P.O.; Onyeaju, M.C.; Okorie, U.S.; Sever, R.; Rampho, G.J.; Abdullah, H.Y.; Salih, I.H.; Ikot, A.N. Thermal Properties and Magnetic Susceptibility of Hellmann Potential in Aharonov–Bohm (AB) Flux and Magnetic Fields at Zero and Finite Temperatures. J. Low Temp. Phys. 2021, 202, 83–105. [Google Scholar] [CrossRef]
- Kim, H.; Park, S.; Okuyama, R.; Kyhm, K.; Eto, M.; Taylor, R.A.; Nogues, G.; Dang, L.S.; Potemski, M.; Je, K.; et al. Light Controlled Optical Aharonov–Bohm Oscillations in a Single Quantum Ring. Nano Lett. 2018, 18, 6188–6194. [Google Scholar] [CrossRef] [PubMed]
- Li, L.L.; Moldovan, D.; Vasilopoulos, P.; Peeters, F.M. Aharonov-Bohm oscillations in phosphorene quantum rings. Phys. Rev. B 2017, 95, 205426. [Google Scholar] [CrossRef]
- Suárez, F.; Granados, D.; Dotor, M.L.; García, J.M. Laser devices with stacked layers of InGaAs/GaAs quantum rings. Nanotechnology 2004, 15, S126. [Google Scholar] [CrossRef]
- Solaimani, M.; Mobini, A.; Kenari, A.R. Optical absorption engineering in two-dimensional quantum rings: Design and optimization for FIR to MIR detection applications. Opt. Quantum Electron. 2022, 54, 463. [Google Scholar] [CrossRef]
- Li, B.; Peeters, F.M. Tunable optical Aharonov-Bohm effect in a semiconductor quantum ring. Phys. Rev. B 2011, 83, 115448. [Google Scholar] [CrossRef]
- Filgueiras, C.; Brandão, J.; Moraes, F. Tuning the Hall conductivity with rotation. Europhys. Lett. 2015, 110, 27003. [Google Scholar] [CrossRef]
- Oliveira, A.B.; Bakke, K. Effects on a Landau-type system for a neutral particle with no permanent electric dipole moment subject to the Kratzer potential in a rotating frame. Proc. R. Soc. A Math. Phys. Eng. Sci. 2016, 472, 20150858. [Google Scholar] [CrossRef]
- Brandão, J.E.; Moraes, F.; Cunha, M.; Lima, J.R.; Filgueiras, C. Inertial-Hall effect: The influence of rotation on the Hall conductivity. Results Phys. 2015, 5, 55–59. [Google Scholar] [CrossRef]
- Bakke, K. Effects of rotation in the spacetime with the distortion of a vertical line into a vertical spiral. Eur. Phys. J. Plus 2019, 134, 546. [Google Scholar] [CrossRef]
- Ghanbari, A. Rotating effects on the thermophysical properties of a two-dimensional GaAs quantum ring. Commun. Theor. Phys. 2024, 76, 065504. [Google Scholar] [CrossRef]
- Bakke, K. On the Rotating Effects and the Landau-Aharonov-Casher System Subject to a Hard-Wall Confining Potential in the Cosmic String Spacetime. Int. J. Theor. Phys. 2015, 54, 2119–2126. [Google Scholar] [CrossRef]
- Berthel, M.; Mollet, O.; Dantelle, G.; Gacoin, T.; Huant, S.; Drezet, A. Influence of rotation on quantum rings. Phys. Rev. B 2015, 91, 035308. [Google Scholar] [CrossRef]
- Araki, Y.; Nomura, K. Photoionization in rotating quantum rings. Phys. Rev. B 2017, 96, 165303. [Google Scholar] [CrossRef]
- Alicea, J. Non-Abelian statistics and topological quantum computation. Nat. Phys. 2011, 7, 412–417. [Google Scholar] [CrossRef]
- Li, G.; Yang, N.; Chu, W.; Song, H.; Zhu, J.L. Magnetic quantum ring in two-dimensional topological insulators. Phys. Lett. A 2019, 383, 125865. [Google Scholar] [CrossRef]
- Wagner, G.; de Juan, F.; Nguyen, D.X. Landau levels in curved space realized in strained graphene. SciPost Phys. Core 2022, 5, 029. [Google Scholar] [CrossRef]
- Perfetto, E.; González, J.; Guinea, F.; Bellucci, S.; Onorato, P. Quantum Hall effect in carbon nanotubes and curved graphene strips. Phys. Rev. B 2007, 76, 125430. [Google Scholar] [CrossRef]
- Can, T.; Laskin, M.; Wiegmann, P.B. Geometry of quantum Hall states: Gravitational anomaly and transport coefficients. Ann. Phys. 2015, 362, 752–794. [Google Scholar] [CrossRef]
- Sarkar, S. Exotic States in Quantum Nanostructures; Springer: Amsterdam, The Netherlands, 2013. [Google Scholar]
- Tan, W.C.; Inkson, J.C. Electron states in a two-dimensional ring—An exactly soluble model. Semicond. Sci. Technol. 1996, 11, 1635. [Google Scholar] [CrossRef]
- Tan, W.C.; Inkson, J.C. Magnetization, persistent currents, and their relation in quantum rings and dots. Phys. Rev. B 1999, 60, 5626–5635. [Google Scholar] [CrossRef]
- Olendski, O. One-dimensional pseudoharmonic oscillator: Classical remarks and quantum-information theory. J. Phys. Commun. 2023, 7, 045002. [Google Scholar] [CrossRef]
- Ghanbari, A.; Khordad, R.; Taghizadeh, F.; Nasirizadeh, I.; Edet, C.; Ali, N. Impurity effect on thermal properties of tuned quantum dot/ring systems. Chem. Phys. Lett. 2022, 806, 140000. [Google Scholar] [CrossRef]
- Oliveira, R.R.S. Topological and noninertial effects in an Aharonov–Bohm ring. Gen. Relativ. Gravit. 2019, 51, 120. [Google Scholar] [CrossRef]
- Olendski, O. Quantum information measures of the Aharonov–Bohm ring in uniform magnetic fields. Phys. Lett. A 2019, 383, 1110–1122. [Google Scholar] [CrossRef]
- Filgueiras, C.; Rojas, M.; Aciole, G.; Silva, E.O. Landau quantization, Aharonov–Bohm effect and two-dimensional pseudoharmonic quantum dot around a screw dislocation. Phys. Lett. A 2016, 380, 3847–3853. [Google Scholar] [CrossRef]
- Khajeh Salehani, H.; Shakouri, K.; Esmaeilzadeh, M. Effect of donor impurity dislocation in elliptical quantum rings. Phys. B Condens. Matter 2015, 459, 36–40. [Google Scholar] [CrossRef]
- Bakke, K. A geometric approach to confining a Dirac neutral particle in analogous way to a quantum dot. Eur. Phys. J. B 2012, 85, 354. [Google Scholar] [CrossRef]
- Hernandez, F.G.G.; Gusev, G.M.; Kvon, Z.D.; Portal, J.C. Linear and nonlinear transport in a small charge-tunable open quantum ring. Phys. Rev. B 2011, 84, 075332. [Google Scholar] [CrossRef]
- Dantas, L.; Furtado, C.; Silva Netto, A. Quantum ring in a rotating frame in the presence of a topological defect. Phys. Lett. A 2015, 379, 11–15. [Google Scholar] [CrossRef]
- Fang, H.; Mahalingam, H.; Li, X.; Han, X.; Qiu, Z.; Han, Y.; Noori, K.; Dulal, D.; Chen, H.; Lyu, P.; et al. Atomically precise vacancy-assembled quantum antidots. Nat. Nanotechnol. 2023, 18, 1401–1408. [Google Scholar] [CrossRef] [PubMed]
- Haug, H.; Koch, S.W. Quantum Theory of the Optical and Electronic Properties of Semiconductors; World Scientific Publishing Company: Hackensack, NJ, USA, 2009. [Google Scholar]
- Kalt, H.; Klingshirn, C. Semicond. Optics; Springer: Boston, MA, USA, 2019. [Google Scholar]
- Tan, W.C.; Inkson, J.C. Landau quantization and the Aharonov-Bohm effect in a two-dimensional ring. Phys. Rev. B 1996, 53, 6947–6950. [Google Scholar] [CrossRef]
- Liu, J.; Gao, W.X.; Ismail, K.; Lee, K.Y.; Hong, J.M.; Washburn, S. Correlations between Aharonov-Bohm effects and one-dimensional subband populations in GaAs/AlxGa1−xAs rings. Phys. Rev. B 1993, 48, 15148–15157. [Google Scholar] [CrossRef]
- Tshipa, M. Photoionization cross section in a spherical quantum dot: Effects of some parabolic confining electric potentials. Condens. Matter Phys. 2017, 20, 23703. [Google Scholar] [CrossRef]
- Tshipa, M.; Sharma, L.K.; Pratap, S. Photoionization cross-section in a GaAs spherical quantum shell: The effect of parabolic confining electric potentials. Eur. Phys. J. B 2021, 94, 129. [Google Scholar] [CrossRef]
- Mantashian, G.A.; Hayrapetyan, D.B. Impurity effects on binding energy, diamagnetic susceptibility and photoionization cross-section of chalcopyrite AgInSe2 nanotadpole. J. Phys. Condens. Matter 2022, 34, 245302. [Google Scholar] [CrossRef]
- Lax, M. Proceedings of the 1954 Atlantic City Conference on Photoconductivity, Atlantic, NJ, USA,4–6 November 1954; Breckenridge, R.G., Russell, B.R., Hahn, E.E., Eds.; Wiley: New York, NY, USA, 1956. [Google Scholar]
- Lax, M. The Franck-Condon Principle and Its Application to Crystals. J. Chem. Phys. 2004, 20, 1752–1760. [Google Scholar] [CrossRef]
- Şahin, M. Photoionization cross section and intersublevel transitions in a one- and two-electron spherical quantum dot with a hydrogenic impurity. Phys. Rev. B 2008, 77, 045317. [Google Scholar] [CrossRef]
- Ridley, B.K. Quantum Processes in Semiconductors; Oxford University Press: Oxford, UK, 2013. [Google Scholar] [CrossRef]
- Rizzi, G.; Ruggiero, M.L. Relativity in Rotating Frames: Relativistic Physics in Rotating Reference Frames; Springer: Dordrecht, The Netherlands, 2004. [Google Scholar]
- Maia, A.; Bakke, K. Effects of rotation on the Landau levels in an elastic medium with a spiral dislocation. Ann. Phys. 2020, 419, 168229. [Google Scholar] [CrossRef]
- Brito, E.; Brandão, J.E.; Cunha, M.M. Spinning Systems in Quantum Mechanics: An Overview and New Trends. Universe 2024, 10, 389. [Google Scholar] [CrossRef]
- Vieira, S.L.R.; Bakke, K. Effects of rotation on a magnetic quadrupole moment system around a cylindrical cavity. Phys. Rev. A 2022, 106, 022211. [Google Scholar] [CrossRef]
- da Silva, W.C.F.; Bakke, K. On the effects of rotation and spiral dislocation topology on the persistent currents and quantum revivals in a cylindrical wire. Eur. Phys. J. Plus 2021, 136, 920. [Google Scholar] [CrossRef]
- Merlin, R. Rotational anomalies of mesoscopic rings. Phys. Lett. A 1993, 181, 421–423. [Google Scholar] [CrossRef]
- Peter, A.J.; Kasapoglu, E.; Ungan, F. Magneto-optical properties of impurity associated photoionization cross-section in laser-driven delta-doped quantum wires. Phys. B Condens. Matter 2021, 620, 413285. [Google Scholar] [CrossRef]
- Chowdhury, D.; Basu, B. Effect of spin rotation coupling on spin transport. Ann. Phys. 2013, 339, 358–370. [Google Scholar] [CrossRef][Green Version]
- Smolkina, M.O.; Popov, I.Y.; Chatterjee, A. The effect of Rashba spin-orbit interaction on persistent current in a chain of two Holstein-Hubbard rings. J. Phys. Conf. Ser. 2019, 1400, 077011. [Google Scholar] [CrossRef]
- Mailly, D.; Chapelier, C.; Benoit, A. Experimental observation of persistent currents in GaAs-AlGaAs single loop. Phys. Rev. Lett. 1993, 70, 2020–2023. [Google Scholar] [CrossRef]
- Keyser, U.F.; Schumacher, H.W.; Zeitler, U.; Haug, R.J.; Eberl, K. Fabrication of freely suspended semiconductor quantum rings. Semicond. Sci. Technol. 2003, 18, 1467–1470. [Google Scholar]





















| Quantum Dot | In the limit , we obtain the potential | 
| Quantum Antidot | In this case, for , we obtain | 
| 2D Infinite Wire | This structure is obtained by making . | 
| 1D Quantum Ring | Taking , we have , by definition. | 
| Disclaimer/Publisher’s Note: The statements, opinions and data contained in all publications are solely those of the individual author(s) and contributor(s) and not of MDPI and/or the editor(s). MDPI and/or the editor(s) disclaim responsibility for any injury to people or property resulting from any ideas, methods, instructions or products referred to in the content. | 
© 2024 by the authors. Licensee MDPI, Basel, Switzerland. This article is an open access article distributed under the terms and conditions of the Creative Commons Attribution (CC BY) license (https://creativecommons.org/licenses/by/4.0/).
Share and Cite
Pereira, C.M.O.; Azevedo, F.d.S.; Silva, E.O. Remarks on the Study of the Electronic Properties and Photoionization Process in Rotating 2D Quantum Rings. Quantum Rep. 2024, 6, 677-705. https://doi.org/10.3390/quantum6040041
Pereira CMO, Azevedo FdS, Silva EO. Remarks on the Study of the Electronic Properties and Photoionization Process in Rotating 2D Quantum Rings. Quantum Reports. 2024; 6(4):677-705. https://doi.org/10.3390/quantum6040041
Chicago/Turabian StylePereira, Carlos Magno O., Frankbelson dos S. Azevedo, and Edilberto O. Silva. 2024. "Remarks on the Study of the Electronic Properties and Photoionization Process in Rotating 2D Quantum Rings" Quantum Reports 6, no. 4: 677-705. https://doi.org/10.3390/quantum6040041
APA StylePereira, C. M. O., Azevedo, F. d. S., & Silva, E. O. (2024). Remarks on the Study of the Electronic Properties and Photoionization Process in Rotating 2D Quantum Rings. Quantum Reports, 6(4), 677-705. https://doi.org/10.3390/quantum6040041
 
        


 
       