Nanoparticles Synthesised in the Gas-Phase and Their Applications in Sensors: A Review
Abstract
1. Introduction
2. Nanoparticle Synthesis
2.1. Gas-Phase Nanoparticle Synthesis
2.2. Alternative Methods for NP Synthesis
3. Strain Sensors and Other Devices
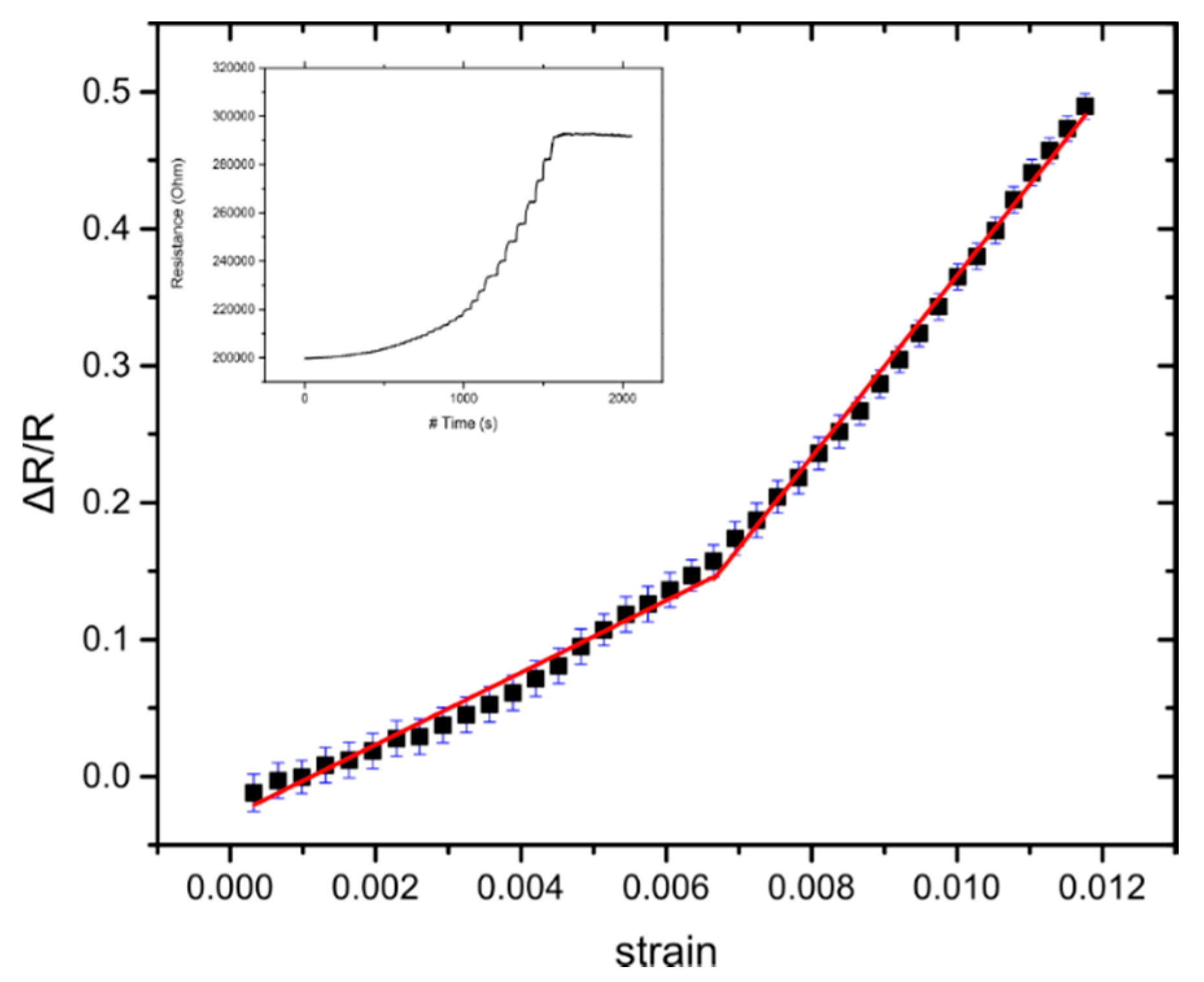
3.1. Conductivity in Metallic NP Films, Strain-Sensing Mechanism
3.2. Review of Recent Advances in NP-Based, Strain-Sensors and Other Physical Sensors
4. Chemical Sensors
5. Biosensing Devices
6. Conclusions
Author Contributions
Funding
Conflicts of Interest
References
- Majidinia, M.; Mirza-Aghazadeh-Attari, M.; Rahimi, M.; Safa, A.; Yousefi, B. Overcoming multidrug resistance in cancer: Recent progress in nanotechnology and new horizons. IUBMB Life 2020, 72, 855–871. [Google Scholar] [CrossRef]
- Niemeyer, C.M. Nanoparticles, proteins, and nucleic acids: Biotechnology meets materials science. Angew. Chem. Int. 2001, 40, 4128–4158. [Google Scholar] [CrossRef]
- Hajipour, M.J.; Fromm, K.M.; Ashkarran, A.A.; De Aberasturi, D.J.; De Larramendi, I.R.; Rojo, T. Antibacterial properties of nanoparticles. Trends Biotechnol. 2012, 30, 1–13. [Google Scholar] [CrossRef] [PubMed]
- Gangopadhyay, R.; De, A. Conducting polymer nanocomposites: A brief overview. Chem. Mater. 2000, 12, 608–622. [Google Scholar] [CrossRef]
- Wang, S.; Lin, L.; Wang, Z.L. Triboelectric nanogenerators as self-powered active sensors. Nano Energy 2015, 11, 436–462. [Google Scholar] [CrossRef]
- Ali, I. New generation adsorbents for water treatment. Chem. Rev. 2012, 112, 5073–5091. [Google Scholar] [CrossRef] [PubMed]
- Anker, J.N.; Hall, W.P.; Lyandres, O.; Shah, N.C.; Zhao, J.; Van Duyne, R.P. Biosensing with plasmonic nanosensors. Nat. Mater. 2008, 7, 442–453. [Google Scholar] [CrossRef]
- Gordon, R. Nanostructured metals for light-based technologies. Nanotechnology 2019, 30, 212001. [Google Scholar] [CrossRef]
- Rai, M.; Yadav, A.; Gade, A. Silver nanoparticles as a new generation of antimicrobials. Biotechnol. Adv. 2009, 27, 76–83. [Google Scholar] [CrossRef] [PubMed]
- Saha, K.; Agasti, S.S.; Kim, C.; Li, X.; Rotello, V.M. Gold nanoparticles in chemical and biological sensing. Chem. Rev. 2012, 112, 2739–2779. [Google Scholar] [CrossRef]
- Astruc, D.; Lu, F.; Aranzaes, J.R. Nanoparticles as recyclable catalysts: The frontier between homogeneous and heterogeneous catalysis. Angew. Chem. Int. 2005, 44, 7852–7872. [Google Scholar] [CrossRef]
- Ghosh, P.; Gang, G.; DE, M.; Kim, C.K.; Rotello, V.M. Gold nanoparticles in delivery applications. Adv. Drug Deliv. Rev. 2008, 60, 1307–1315. [Google Scholar] [CrossRef] [PubMed]
- Sun, C.; Lee, J.S.H.; Zhang, M. Magnetic nanoparticles in MR imaging and drug delivery. Adv. Drug Deliv. Rev. 2008, 60, 1252–1265. [Google Scholar] [CrossRef] [PubMed]
- Maake, P.J.; Bolokang, A.S.; Arendse, C.J.; Iwuoha, E.I.; Motaung, D.E. Metal oxides and noble metals application in organic solar cells. Sol. Energy 2020, 207, 347–366. [Google Scholar] [CrossRef]
- Patnaik, S.; Sahoo, D.P.; Parida, K. An overview on Ag modified g-C3N4 based nanostructured materials for energy and environmental applications. Renew. Sust. Energ. Rev. 2018, 82, 1297–1312. [Google Scholar] [CrossRef]
- Durán, N.; Seabra, A.B. Biogenic synthesized Ag/Au nanoparticles: Production, characterization, and applications. Curr. Nanosci. 2018, 14, 82–94. [Google Scholar] [CrossRef]
- Ibañez, F.J.; Zamborini, F.P. Chemiresistive sensing with chemically modified metal and alloy nanoparticles. Small 2012, 8, 174–202. [Google Scholar] [CrossRef] [PubMed]
- Mahmoud, M.A.; O’Neil, D.; El-Sayed, M.A. Hollow and solid metallic nanoparticles in sensing and in nanocatalysis. Chem. Mater 2014, 26, 44–58. [Google Scholar] [CrossRef]
- Cho, I.-H.; Kim, D.H.; Park, S. Electrochemical biosensors: Perspective on functional nanomaterials for on-site analysis. Biomater. Res. 2020, 24, 1–12. [Google Scholar] [CrossRef] [PubMed]
- Alafeef, M.; Moitra, P.; Pan, D. Nano-enabled sensing approaches for pathogenic bacterial detection. Biosens. Bioelectron. 2020, 165, 112276. [Google Scholar] [CrossRef] [PubMed]
- Liu, B.; Zhuang, J.; Wei, G. Recent advances in the design of colorimetric sensors for environmental monitoring. Environ. Sci. 2020, 7, 2195–2213. [Google Scholar] [CrossRef]
- He, S.; Yuan, Y.; Nag, A.; Mukhopadhyay, S.C.; Organ, D.R. A review on the use of impedimetric sensors for the inspection of food quality. Int. J. Environ. Res. Public Health 2020, 17, 5220. [Google Scholar] [CrossRef]
- Wang, B.; Facchetti, A. Mechanically Flexible Conductors for Stretchable and Wearable E-Skin and E-Textile Devices. Adv. Mater. 2019, 31, 1901408. [Google Scholar] [CrossRef]
- Grammatikopoulos, P.; Steinhauer, S.; Vernieres, J.; Singh, V.; Sowwan, M. Nanoparticle design by gas-phase synthesis. Adv. Phys. X 2016, 1, 81–100. [Google Scholar] [CrossRef]
- Xia, Y.; Xiong, Y.; Lim, B.; Skrabalak, S.E. Shape-controlled synthesis of metal nanocrystals: Simple chemistry meets complex physics? Angew. Chem. Int. 2009, 48, 60–103. [Google Scholar] [CrossRef]
- Cozzoli, P.D.; Manna, L. Synthetic strategies to size and shape controlled nanocrystals and nanocrystal Heterostructures. In Bio-Applications of Nanoparticles, 1st ed.; Chan, W.C.W., Ed.; Springer: New York, NY, USA, 2007; Volume 62, pp. 1–14. [Google Scholar]
- Schröfel, A.; Kratošová, G.; Šafařík, I.; Raška, I.; Shor, L.M. Applications of biosynthesized metallic nanoparticles—A review. Acta Biomater. 2014, 10, 4023–4042. [Google Scholar] [CrossRef]
- Rana, A.; Yadav, K.; Jagadevan, S. A comprehensive review on green synthesis of nature-inspired metal nanoparticles: Mechanism, application and toxicity. J. Clean. Prod. 2020, 272, 122880. [Google Scholar] [CrossRef]
- Skotadis, E.; Tanner, J.L.; Stathopoulos, S.; Tsouti, V.; Tsoukalas, D. Chemical sensing based on double layer PHEMA polymer and platinum nanoparticle films. Sens. Actuators B Chem. 2012, 175, 85–91. [Google Scholar] [CrossRef]
- Herrmann, J.; Müller, K.H.; Reda, T.; Baxter, G.R.; Raguse, B.D.; De Groot, G.J.; Chai, R.; Roberts, M.; Wieczorek, L. Nanoparticle films as sensitive strain gauges. Appl. Phys. Lett. 2007, 91, 183105. [Google Scholar] [CrossRef]
- Aslanidis, E.; Skotadis, E.; Moutoulas, E.; Tsoukalas, D. Thin film protected flexible nanoparticle strain sensors: Experiments and modelling. Sensors 2020, 20, 2584. [Google Scholar] [CrossRef]
- Tanner, J.L.; Mousadakos, D.; Giannakopoulos, K.; Skotadis, E.; Tsoukalas, D. High strain sensitivity controlled by the surface density of platinum nanoparticles. Nanotechnology 2012, 23, 285501. [Google Scholar] [CrossRef]
- Zheng, M.; Li, W.; Xu, M.; Han, M.; Xie, B. Strain sensors based on chromium nanoparticle arrays. Nanoscale 2014, 6, 3930–3933. [Google Scholar] [CrossRef]
- Xie, B.; Mao, P.; Chen, M.; Liu, J.M.; Wang, G. A tunable palladium nanoparticle film-based strain sensor in a Mott variable-range hopping regime. Sens. Actuat. A Phys. 2018, 272, 161–169. [Google Scholar] [CrossRef]
- Patsiouras, L.; Skotadis, E.; Gialama, N.; Giannakopoulos, K.; Tsoukalas, D. Atomic layer deposited Al2O3 thin films as humidity barrier coatings for nanoparticle-based strain sensors. Nanotechnology 2018, 29, 465706. [Google Scholar] [CrossRef]
- Schwebke, S.; Winter, S.; Koch, M.; Schultes, G. Piezoresistive granular metal thin films of platinum-boron nitride and platinum-alumina at higher strain levels. J. Appl. Phys. 2018, 124, 235308. [Google Scholar] [CrossRef]
- Min, S.H.; Lee, G.Y.; Ahn, S.H. Direct printing of highly sensitive, stretchable, and durable strain sensor based on silver nanoparticles/multi-walled carbon nanotubes composites. Compos. B. Eng. 2019, 161, 395–401. [Google Scholar] [CrossRef]
- Lee, G.Y.; Kim, M.S.; Min, S.H.; Ihn, J.B.; Ahn, S.H. Highly Sensitive Solvent-free Silver Nanoparticle Strain Sensors with Tunable Sensitivity Created Using an Aerodynamically Focused Nanoparticle Printer. ACS Appl. Mater. Interfaces 2019, 11, 26421–26432. [Google Scholar] [CrossRef] [PubMed]
- Liu, F.; Shao, W.; Xu, G.; Yuan, L. Response characteristics of strain sensors based on closely spaced nanocluster films with controlled coverage. Chin. J. Chem. Phys. 2019, 32, 213–217. [Google Scholar] [CrossRef]
- Chen, M.; Luo, W.; Xu, Z.; Wang, G.; Han, M. An ultrahigh resolution pressure sensor based on percolative metal nanoparticle arrays. Nat. Commun. 2019, 10, 4024. [Google Scholar] [CrossRef]
- Zhang, W.; Li, J.; Lei, H.; Li, B. Plasmon-Induced Selective Enhancement of Green Emission in Lanthanide-Doped Nanoparticles. ACS Appl. Mater. Interfaces 2017, 9, 42935–42942. [Google Scholar] [CrossRef]
- Lee, J.S.; Katoch, A.; Kim, J.H.; Kim, S.S. Effect of Au nanoparticle size on the gas-sensing performance of p-CuO nanowires. Sens. Actuat. B Chem. 2016, 222, 307–314. [Google Scholar] [CrossRef]
- Kim, J.H.; Abideen, Z.U.; Zheng, Y.; Kim, S.S. Improvement of toluene-sensing performance of SnO2 nanofibers by pt functionalization. Sensors 2016, 16, 1857. [Google Scholar] [CrossRef]
- Wongrat, E.; Chanlek, N.; Chueaiarrom, C.; Hongsith, N.; Choopun, S. Low temperature ethanol response enhancement of ZnO nanostructures sensor decorated with gold nanoparticles exposed to UV illumination. Sens. Actuat. A Phys. 2016, 251, 188–197. [Google Scholar] [CrossRef]
- Choi, S.W.; Kim, J.; Byun, Y.T. Highly sensitive and selective NO2 detection by Pt nanoparticles-decorated single-walled carbon nanotubes and the underlying sensing mechanism. Sens. Actuat. B Chem. 2017, 238, 1032–1042. [Google Scholar] [CrossRef]
- Yang, L.; Yin, C.; Zhang, Z.; Zhou, J.; Xu, H. The investigation of hydrogen gas sensing properties of SAW gas sensor based on palladium surface modified SnO2 thin film. Mater. Sci. Semicond. Process. 2017, 60, 16–28. [Google Scholar] [CrossRef]
- Gasparotto, G.; Da Silva, R.A.; Zaghete, M.A.; Perazolli, L.A.; Mazon, T. Novel route for fabrication of ZnO nanorods-Au nanoparticles hybrids directly supported on substrate and their application as gas sensors. Mater. Res. 2018, 21, 20170796. [Google Scholar] [CrossRef]
- Liang, J.; Zhu, K.; Yang, R.; Hu, M. Room temperature NO2 sensing properties of Au-decorated vanadium oxide nanowires sensor. Ceram. Int. 2018, 44, 2261–2268. [Google Scholar] [CrossRef]
- Drmosh, Q.A.; Yamani, Z.H.; Mohamedkhair, A.K.; Hossain, M.K.; Ibrahim, A. Gold nanoparticles incorporated SnO2 thin film: Highly responsive and selective detection of NO2 at room temperature. Mat. Lett. 2018, 214, 283–286. [Google Scholar] [CrossRef]
- Cao, P.; Yang, Z.; Navale, S.T.; Stadler, F.J.; Zhu, D. Ethanol sensing behavior of Pd-nanoparticles decorated ZnO-nanorod based chemiresistive gas sensors. Sens. Actuators B Chem. 2019, 298, 126850. [Google Scholar] [CrossRef]
- Wafaa Khalid, K.; Ali Abadi, A.; Abdulqader Dawood, F. Synthesis of SnO2 Nanowires on Quartz and Silicon Substrates for Gas Sensors. J. Inorg. Organomet. Polym. 2020, 30, 3294–3304. [Google Scholar] [CrossRef]
- Jaiswal, J.; Tiwari, P.; Singh, P.; Chandra, R. Fabrication of highly responsive room temperature H2 sensor based on vertically aligned edge-oriented MoS2 nanostructured thin film functionalized by Pd nanoparticles. Sens. Actuators B Chem. 2020, 325, 128800. [Google Scholar] [CrossRef]
- Liang, J.; Li, W.; Liu, J.; Hu, M. Room temperature CH4 sensing properties of Au decorated VO2 nanosheets. Mat. Lett. 2016, 184, 92–95. [Google Scholar] [CrossRef]
- Yuan, L.; Hu, M.; Wei, Y.; Ma, W. Enhanced NO2 sensing characteristics of Au modified porous silicon/thorn-sphere-like tungsten oxide composites. Appl. Surf. Sci. 2016, 389, 824–834. [Google Scholar] [CrossRef]
- Li, W.; Xu, H.; Zhai, T.; Wang, J.; Cao, B. Enhanced triethylamine sensing properties by designing Au@SnO2/MoS2 nanostructure directly on alumina tubes. Sens. Actuators B Chem. 2017, 253, 97–107. [Google Scholar] [CrossRef]
- Hao, L.; Liu, Y.; Du, Y.; Xu, Z.; Zhu, J. Highly Enhanced H2 Sensing Performance of Few-Layer MoS2/SiO2/Si Heterojunctions by Surface Decoration of Pd Nanoparticles. Nanoscale Res. Lett. 2017, 12, 567. [Google Scholar] [CrossRef]
- Vernieres, J.; Steinhauer, S.; Zhao, J.; Grammatikopoulos, P.; Sowwan, M. Gas Phase Synthesis of Multifunctional Fe-Based Nanocubes. Adv. Funct. Mater. 2017, 27, 1605328. [Google Scholar] [CrossRef]
- Dhall, S.; Sood, K.; Nathawat, R. Room temperature hydrogen gas sensors of functionalized carbon nanotubes based hybrid nanostructure: Role of Pt sputtered nanoparticles. Int. J. Hydrogen Energy 2017, 42, 8392–8398. [Google Scholar] [CrossRef]
- Song, X.; Xu, Q.; Xu, H.; Cao, B. Highly sensitive gold-decorated zinc oxide nanorods sensor for triethylamine working at near room temperature. J. Colloid Interf. Sci. 2017, 499, 67–75. [Google Scholar] [CrossRef] [PubMed]
- Munasinghe Arachchige, H.M.M.; Zappa, D.; Poli, N.; Gunawardhana, N.; Comini, E. Gold functionalized MoO3 nano flakes for gas sensing applications. Sens. Actuators B Chem. 2018, 269, 331–339. [Google Scholar] [CrossRef]
- Xie, B.; Mao, P.; Chen, M.; Liu, J.M.; Wang, G. Pd Nanoparticle Film on a Polymer Substrate for Transparent and Flexible Hydrogen Sensors. ACS Appl. Mater. Interfaces 2018, 10, 44603–44613. [Google Scholar] [CrossRef]
- Koo, A.; Yoo, R.; Woo, S.P.; Lee, H.S.; Lee, W. Enhanced acetone-sensing properties of pt-decorated al-doped ZnO nanoparticles. Sens. Actuators B Chem. 2019, 280, 109–119. [Google Scholar] [CrossRef]
- Chen, Z.; Xu, H.; Liu, C.; Wang, J.; Cao, B. Good triethylamine sensing properties of Au MoS2 nanostructures directly grown on ceramic tubes. Mater. Chem. Phys. 2020, 245, 122683. [Google Scholar] [CrossRef]
- Chen, M.; Mao, P.; Qin, Y.; Liu, J.M.; Wang, G. Response Characteristics of Hydrogen Sensors Based on PMMA-Membrane-Coated Palladium Nanoparticle Films. ACS Appl. Mater. Interfaces 2017, 9, 27193–27201. [Google Scholar] [CrossRef]
- Sysoev, V.V.; Schneider, T.; Goschnick, J.; Strelcov, E.; Kolmakov, A. Percolating SnO2 nanowire network as a stable gas sensor: Direct comparison of long-term performance versus SnO2 nanoparticle films. Sens. Actuators B Chem. 2009, 139, 699–703. [Google Scholar] [CrossRef]
- Shaalan, N.M.; Yamazaki, T.; Kikuta, T. Influence of morphology and structure geometry on NO2 gas-sensing characteristics of SnO2 nanostructures synthesized via a thermal evaporation method. Sens. Actuators B Chem. 2011, 153, 11–16. [Google Scholar] [CrossRef]
- Bhatnagar, M.; Dhall, S.; Kaushik, V.; Kaushal, A.; Mehta, B.R. Improved selectivity of SnO2: C alloy nanoparticles towards H2 and ethanol reducing gases; role of SnO2: C electronic interaction. Sens. Actuators B Chem. 2017, 246, 336–343. [Google Scholar] [CrossRef]
- Vasiliev, A.A.; Varfolomeev, A.E.; Volkov, I.A.; Jahatspanian, I.E.; Maeder, T. Reducing humidity response of gas sensors for medical applications: Use of spark discharge synthesis of metal oxide nanoparticles. Sensors 2018, 18, 2600. [Google Scholar] [CrossRef]
- Skotadis, E.; Tang, J.; Tsouti, V.; Tsoukalas, D. Chemiresistive sensor fabricated by the sequential ink-jet printing deposition of a gold nanoparticle and polymer layer. Microelectron. Eng. 2010, 87, 2258–2263. [Google Scholar] [CrossRef]
- Tang, J.; Skotadis, E.; Stathopoulos, S.; Roussi, V.; Tsouti, V.; Tsoukalas, D. PHEMA functionalization of gold nanoparticles for vapor sensing: Chemi-resistance, chemi-capacitance and chemi-impedance. Sens. Actuators B Chem. 2012, 2170, 129–136. [Google Scholar] [CrossRef]
- Skotadis, E.; Mousadakos, D.; Katsabrokou, K.; Stathopoulos, S.; Tsoukalas, D. Flexible polyimide chemical sensors using platinum nanoparticles. Sens. Actuators B Chem. 2013, 189, 106–112. [Google Scholar] [CrossRef]
- Madianos, L.; Skotadis, E.; Patsiouras, L.; Filippidou, M.K.; Chatzandroulis, S.; Tsoukalas, D. Nanoparticle based gas-sensing array for pesticide detection. J. Environ. Chem. Eng. 2018, 6, 6641–6646. [Google Scholar] [CrossRef]
- Skotadis, E.; Kanaris, A.; Aslanidis, E.; Michalis, P.; Kalatzis, N.; Chatzipapadopoulos, F.; Marianos, N.; Tsoukalas, D. A sensing approach for automated and real-time pesticide detection in the scope of smart-farming. Comput. Electron. Agric. 2020, 78, 105759. [Google Scholar] [CrossRef]
- Afify, A.S.; Hassan, M.; Piumetti, M.; Peter, I.; Bonelli, B.; Tulliani, J.M. Elaboration and characterization of modified sepiolites and their humidity sensing features for environmental monitoring. Appl. Clay Sci. 2015, 115, 165–173. [Google Scholar] [CrossRef]
- Hassan, M.; Afify, A.S.; Tulliani, J.M. Synthesis of ZnO Nanoparticles onto Sepiolite Needles and Determination of Their Sensitivity toward Humidity. NO2 and H2. J. Mater. Sci. Technol. 2016, 32, 573–582. [Google Scholar] [CrossRef]
- Hou, C.; Liu, H.; Zhang, D.; Yang, C.; Zhang, M. Synthesis of ZnO nanorods-Au nanoparticles hybrids via in-situ plasma sputtering-assisted method for simultaneous electrochemical sensing of ascorbic acid and uric acid. J. Alloy. Compd. 2016, 666, 178–184. [Google Scholar] [CrossRef]
- Li, H.; Wang, W.; Lv, Q.; Bai, H.; Zhang, Q. Disposable paper-based electrochemical sensor based on stacked gold nanoparticles supported carbon nanotubes for the determination of bisphenol. Electrochem. Commun. 2016, 68, 104–107. [Google Scholar] [CrossRef]
- Skotadis, E.; Voutyras, K.; Chatzipetrou, M.; Tsekenis, G.; Patsiouras, L.; Madianos, L.; Chatzandroulis, S.; Zergioti, I.; Tsoukalas, D. Label-free DNA biosensor based on resistance change of platinum nanoparticles assemblies. Biosens. Bioelectron. 2016, 81, 388–394. [Google Scholar] [CrossRef]
- Yuan, Y.; Zhang, F.; Wang, H.; Zheng, Y.; Hou, S. Chemical vapor deposition graphene combined with Pt nanoparticles applied in non-enzymatic sensing of ultralow concentrations of hydrogen peroxide. RSC Adv. 2017, 7, 30542–30547. [Google Scholar] [CrossRef]
- Galdino, N.M.; Brehm, G.S.; Bussamara, R.; Abarca, G.; Scholten, J.D. Sputtering deposition of gold nanoparticles onto graphene oxide functionalized with ionic liquids: Biosensor materials for cholesterol detection. J. Mater. Chem. B 2017, 5, 9482–9486. [Google Scholar] [CrossRef]
- Gasparotto, G.; Costa, J.P.C.; Costa, P.I.; Zaghete, M.A.; Mazon, T. Electrochemical immunosensor based on ZnO nanorods-Au nanoparticles nanohybrids for ovarian cancer antigen CA-125 detection. Mater. Sci. Eng. C 2017, 76, 1240–1247. [Google Scholar] [CrossRef] [PubMed]
- Yuan, Y.; Zheng, Y.; Liu, J.; Wang, H.; Hou, S. Non-enzymatic amperometric hydrogen peroxide sensor using a glassy carbon electrode modified with gold nanoparticles deposited on CVD-grown graphene. Microchim. Acta 2017, 184, 4723–4729. [Google Scholar] [CrossRef]
- Skotadis, E.; Tsekenis, G.; Chatzipetrou, M.; Patsiouras, L.; Madianos, L.; Bousoulas, P.; Zergioti, I.; Tsoukalas, D. Heavy metal ion detection using DNAzyme-modified platinum nanoparticle networks. Sens. Actuators B Chem. 2017, 239, 962–969. [Google Scholar] [CrossRef]
- Madianos, L.; Tsekenis, G.; Skotadis, E.; Patsiouras, L.; Tsoukalas, D. A highly sensitive impedimetric aptasensor for the selective detection of acetamiprid and atrazine based on microwires formed by platinum nanoparticles. Biosens. Bioelectron. 2018, 101, 268–274. [Google Scholar] [CrossRef]
- Madianos, L.; Skotadis, E.; Tsekenis, G.; Patsiouras, L.; Tsigkourakos, M.; Tsoukalas, D. Ιmpedimetric nanoparticle aptasensor for selective and label free pesticide detection. Microelectron. Eng. 2018, 189, 39–45. [Google Scholar] [CrossRef]
- Biasotto, G.; Costa, J.P.C.; Costa, P.I.; Zaghete, M.A. ZnO nanorods-gold nanoparticle-based biosensor for detecting hepatitis C. Appl. Phys. A 2019, 125, 821. [Google Scholar] [CrossRef]
- Danielson, E.; Dhamodharan, V.; Porkovich, A.; Yokobayashi, Y.; Sowwan, M. Gas-Phase Synthesis for Label-Free Biosensors: Zinc-Oxide Nanowires Functionalized with Gold Nanoparticles. Sci. Rep. 2019, 9, 17370. [Google Scholar] [CrossRef]
- Danielson, E.; Sontakke, V.A.; Porkovich, A.J.; Yokobayashi, Y.; Sowwan, M. Graphene based field-effect transistor biosensors functionalized using gas-phase synthesized gold nanoparticles. Sens. Actuators B Chem. 2020, 320, 128432. [Google Scholar] [CrossRef]
- Della Ventura, B.; Funari, R.; Anoop, K.K.; Amoruso, S.; Ausanio, G.; Gesuele, F.; Velotta, R.; Altucci, C. Nano-machining of biosensor electrodes through gold nanoparticles deposition produced by femtosecond laser ablation. Appl. Phys. B 2015, 119, 497–501. [Google Scholar] [CrossRef]
- Said, K.; Ayesh, A.I.; Qamhieh, N.N.; Mahmoud, S.T.; Hisaindee, S. Fabrication and characterization of graphite oxide—nanoparticle composite based field effect transistors for non-enzymatic glucose sensor applications. J. Alloy. Compd. 2017, 694, 1061–1066. [Google Scholar] [CrossRef]
- Jung, D.U.J.; Ahmad, R.; Hahn, Y.B. Nonenzymatic flexible field-effect transistor based glucose sensor fabricated using NiO quantum dots modified ZnO nanorods. J. Colloid. Interf. Sci. 2018, 512, 21–28. [Google Scholar] [CrossRef]
- Soganci, T.; Ayranci, R.; Harputlu, E.; Unlu, C.G.; Ak, M. An effective non-enzymatic biosensor platform based on copper nanoparticles decorated by sputtering on CVD graphene. Sens. Actuators B Chem. 2018, 273, 1501–1507. [Google Scholar] [CrossRef]
- Olejnik, A.; Siuzdak, K.; Karczewski, J.; Grochowska, K. A Flexible Nafion Coated Enzyme-free Glucose Sensor Based on Au-dimpled Ti Structures. Electroanalysis 2020, 32, 323–332. [Google Scholar] [CrossRef]
- Zhang, T.; Ran, J.; Ma, C.; Yang, B. A Universal Approach to Enhance Glucose Biosensor Performance by Building Blocks of Au Nanoparticles. Adv. Mater. Interfaces 2020, 7, 2000227. [Google Scholar] [CrossRef]
- Soganci, T.; Ayranci, R.; Unlu, G.; Acet, M.; Ak, M. Designing sandwich-type single-layer graphene decorated by copper nanoparticles for enhanced sensing properties. J. Phys. D Appl. Phys 2020, 53, 255105. [Google Scholar] [CrossRef]





| Authors/Year [Ref] | Active Material | Sensor Type | Sensitivity | Notes |
|---|---|---|---|---|
| Tanner et al./2012 [32] | Pt NPs | Strain-sensor | 75 G.F. | Gas-phase NPs, Si substrate |
| Zheng et al./2014 [33] | Cr NPs | Strain-sensor | 100 G.F. | Gas-phase NPs, PET substrate |
| Xie et al./2018 [34] | Pd NPs | Strain-sensor | 1000 G.F. | Gas-phase NPs, PET substrate |
| Patsiouras et al./2018 [35] | Pt NPs | Strain-sensor | 45 G.F. | Gas-phase NPs, Si substrate |
| Schwebke et al./2018 [36] | Pt NPs | Strain-sensor | 23 (BN), 9–9500 (Al2O3) G.Fs | Gas-phase NPs, BN & Al2O3 substrate |
| Min et al./2019 [37] | Ag NPs/MWCNTs composites | Strain/stretch-sensor | 58.7 G.F. | Gas-phase NPs, PDMS substrate |
| Lee et al./2019 [38] | Ag NPs | Strain-sensor | 290.62, 1056 (cracks) | Gas-phase NPs, PI substrate |
| Liu et al./2019 [39] | Pd NPs | Strain-sensor | 55 (0.3% strain)–3500 (8% strain) | Gas-phase NPs, PET substrate |
| Aslanidis et al. [31] | Pt NPs | Strain-sensor | 60 G.F. (strain < 0.64%), 85 G.F. (strain > 0.64%) | Gas-phase NPs, PI substrate |
| Chen et al./2019 [40] | Pd NPs | Pressure-sensor/Barometer | 0.13 kPa−1 | Gas-phase NPs, PET substrate |
| Zhang et al./2017 [41] | Au NPs/UCNPs structure | Temperature-sensor | 1.35% K−1 (325 K) | Gas-phase NPs, PI substrate |
| Authors/Year [Ref] | Active Material | Gas Target | LoD (Concentration) | Notes |
|---|---|---|---|---|
| Lee et al./2016 [42] | Au decorated CuO NWs | CO, NO2 | 1 ppm | Heat-treated NPs |
| Kim et al. [43] | Pt decorated SnO2 NFs | Toluene | 10 ppm | Heat-treated NPs |
| Wongrat et al./2016 [44] | Au decorated ZnO | EtOH | 100 ppm | Heat-treated NPs |
| Choi et al./2017 [45] | Pt decorated SWCNTs | NO2 | 2 ppm | Heat-treated NPs |
| Yang et al./2017 [46] | Pd decorated SnO2 on LiNbO3 | H2 | 100 ppm | Heat-treated NPs |
| Gasparotto et al./2018 [47] | Au decorated ZnO NRs | H2, O2 | 1996 ppm | Heat-treated NPs |
| Liang et al./2018 [48] | Au decorated VO2 NWs | NO2 | 5 ppm | Heat-treated NPs |
| Drmosh et al./2018 [49] | Au decorated SnO2 | NO2 | 50 ppm | Heat-treated NPs |
| Cao et al./2019 [50] | Pd decorated ZnO NRs | EtOH | 100 ppm | Heat-treated NPs |
| Khalid et al./2019 [51] | Au decorated SnO2 NWs | EtOH | 125 ppm | Heat-treated NPs |
| Jaiswal et al./2020 [52] | Pd decorated MoS2 | H2 | 10 ppm | Heat-treated NPs |
| Liang et al./2016 [53] | Au decorated VO2 nanosheets | CH4 | 100 ppm | Gas-phase NPs |
| Yuan et al./2016 [54] | Au decorated PS/WO3 composites | NO2 | 50 ppb | Gas-phase NPs |
| Li et al./2017 [55] | Au & SnO2 decorated MoS2 | TEA | 2 ppm | Gas-phase NPs |
| Hao et al./2017 [56] | Pd decorated MoS2/SiO2/Si heterojunction | H2 | 0.5% | Gas-phase NPs |
| Vernieres et al./2017 [57] | Fe nanocubes | NO2 | 3 ppb | Gas-phase NPs |
| Dhall et al./2017 [58] | Pt decorated MWCNTs/TiO2 | H2 | 0.05% | Gas-phase NPs |
| Song et al./2017 [59] | Au decorated ZnO NRs | TEA | 1 ppm | Gas-phase NPs |
| Chen et al./2017 [60] | Pd coated PMMA membranes | H2 | 50 ppm | Gas-phase NPs |
| Arachchige/2018 [61] | Au decorated MoO3 NFs | H2S, acetone, EtOH, H2 | ppb level, 5, 0.2, 20 ppm (respectively) | Gas-phase NPs |
| Xie et al./2018 [62] | Pd NPs on PET | H2 | 15 ppm | Gas-phase NPs |
| Koo et al./2019 [63] | Pt decorated Al-doped ZnO | Acetone | 0.1 ppm | Gas-phase NPs |
| Chen et al./2020 [64] | Au decorated, 3D MoS2 | TEA | 2 ppm | Gas-phase NPs |
| Sysoev et al./2009 [65] | SnO2 NPs/NWs | 2-Propanol | 1 ppm | Gas-phase NPs |
| Shaalan et al./2011 [66] | SnO2 NPs/ NWs/MWs | NO2 | 2 ppm | Gas-phase NPs |
| Bhatnagar et al./2017 [67] | SnO2/ SnO2:C NPs | H2, EtOH | 2% | Gas-phase NPs |
| Vasiliev et al./2018 [68] | SnO2 NPs | H2 | 20 ppm | Gas-phase NPs |
| Skotadis et al. /2012 [29] | Pt NPs with single polymer coating | EtOH, R.H. | 500 ppm | Gas-phase NPs |
| Skotadis et al. /2013 [71] | Pt NPs with single polymer coating | EtOH, RH | 500 ppm | Gas-phase NPs |
| Madianos et al./2018 [72] | Pt NPs with four polymer coatings | Chlorpyrifos, RH. | 100 ppb (chlorpyrifos) | Gas-phase NPs |
| Skotadis et al. /2020 [73] | Pt NPs with four polymer coatings | Chloract 48 EC, RH | 73.95 ppb (chlorpyrifos) | Gas-phase NPs |
| Afify et al./2015 [74] | W4+ NPs/sepiolite grains | RH | 40% | Precipitated NPs |
| Hassan et al./2016 [75] | ZnO NPs/sepiolite needles | RH, NO2 and H2 | 28%, ppm levels, 20 ppm | Precipitated NPs |
| Authors/Year [Ref] | Active Material | Target Type | LoD (Concentration) | Notes |
|---|---|---|---|---|
| Hou et al./2016 [76] | Au decorated ZnO NRs | ascorbic acid, uric acid | 0.1 mM, 0.01 mM (respectively) | Gas-phase NPs |
| Li et al./2016 [77] | Au decorated MWCNTs | bisphenol A | 0.03 mg/L | Gas-phase NPs & paper substrate |
| Skotadis et al./2016 [78] | Pt NPs-2D films | DNA hybridization | 1 nM | Gas-phase NPs |
| Yuan et al./2017 [79] | Pt decorated graphene | H2O2 | 0.18 nM | Gas-phase NPs |
| Yuan et al./2017 [80] | Au decorated graphene | H2O2 | 10 nM | Gas-phase NPs |
| Skotadis et al./2017 [81] | Pt NPs-2D films | Pb2+ ions | 10 nM | Gas-phase NPs |
| Galdino et al./2017 [82] | Au decorated Graphene Oxide | Total Cholesterol | 25 μmol/L | Gas-phase NPs |
| Gasparotto et al./2017 [83] | Au decorated ZnO NRs | antigen CA-125/MUC126 | 2.5 ng/μL | Gas-phase NPs |
| Madianos et al./2018 [84] | Pt NP microwires | Acetamiprid, atrazine | 1 pM, 10 pM (respectively) | Gas-phase NPs |
| Madianos et al./2018 [85] | Pt NPs-2D films | Acetamiprid, atrazine | 6 pM, 40 pM (respectively) | Gas-phase NPs |
| Biasotto et al./2019 [86] | Au decorated ZnO NRs | Hep. C Virus | 0.25 μg/μL | Gas-phase NPs |
| Danielson et al./2019 [87] | Au decorated ZnO NWs | DNA hybridization, streptavidin | 100 pM, 10 nM (respectively) | Gas-phase NPs |
| Danielson et al./2020 [88] | Au decorated graphene | DNA hybridization, streptavidin | 15 aM | Gas-phase NPs |
| Della Ventura et al. [89] | Au NPs | IgG antigen | 25 µg/mL | Laser-ablated NPs |
| Said et al./2017 [90] | Ag/Cu decorated graphene FETs | Glucose | 1 μΜ | Gas-phase NPs |
| Jung et al./2018 [91] | NiO decorated ZnO NRs FETs | Glucose | 0.001 mΜ | Gas-phase NPs |
| Soganci et.al./2018 [92] | Cu decorated graphene | Glucose | 0.01 mM | Gas-phase NPs |
| Olejnik et al./2020 [93] | Au decorated Ti | Glucose | 30 μM | Heat-treated NPs |
| Zhang et al. 2020 [94] | Au decorated electrodes | Glucose | 1 μM | Gas-phase NPs |
| Soganci et.al./2020 [95] | Cu NPs/graphene, sandwiched structure | Glucose | 0.025 μΜ | Gas-phase NPs |
Publisher’s Note: MDPI stays neutral with regard to jurisdictional claims in published maps and institutional affiliations. |
© 2020 by the authors. Licensee MDPI, Basel, Switzerland. This article is an open access article distributed under the terms and conditions of the Creative Commons Attribution (CC BY) license (http://creativecommons.org/licenses/by/4.0/).
Share and Cite
Skotadis, E.; Aslanidis, E.; Kainourgiaki, M.; Tsoukalas, D. Nanoparticles Synthesised in the Gas-Phase and Their Applications in Sensors: A Review. Appl. Nano 2020, 1, 70-86. https://doi.org/10.3390/applnano1010006
Skotadis E, Aslanidis E, Kainourgiaki M, Tsoukalas D. Nanoparticles Synthesised in the Gas-Phase and Their Applications in Sensors: A Review. Applied Nano. 2020; 1(1):70-86. https://doi.org/10.3390/applnano1010006
Chicago/Turabian StyleSkotadis, Evangelos, Evangelos Aslanidis, Maria Kainourgiaki, and Dimitris Tsoukalas. 2020. "Nanoparticles Synthesised in the Gas-Phase and Their Applications in Sensors: A Review" Applied Nano 1, no. 1: 70-86. https://doi.org/10.3390/applnano1010006
APA StyleSkotadis, E., Aslanidis, E., Kainourgiaki, M., & Tsoukalas, D. (2020). Nanoparticles Synthesised in the Gas-Phase and Their Applications in Sensors: A Review. Applied Nano, 1(1), 70-86. https://doi.org/10.3390/applnano1010006

