Performance Evaluation of CF-MMIMO Wireless Systems Using Dynamic Mode Decomposition
Abstract
1. Introduction
1.1. Related Work
1.2. Contributions
- Evaluating the application of DMD for Channel Estimation in CF-MMIMO wireless systems.
- Analyzing and valuating the behavior of DMD in a system that considers the correlation of the channel in terms of delay and Doppler.
- Evaluating the enhancement in overall system capacity achieved through DMD-based Channel Estimation.
1.3. Paper Structure
2. Materials and Methods
2.1. Simulation Scenario
- symbols for uplink pilots;
- symbols for uplink data;
- symbols for downlink data.
- The channel is reciprocal due to the precise calibration of the hardware chains, which can be achieved through standard methods [21].
- The channel is not static within a specific time–frequency interval, known as the coherence interval. It varies continually and independently between these intervals [3].
- The channel, , follows a Rayleigh fading distribution, , where represents the constant large-scale fading coefficient (channel variance) between and . This coefficient is consistent across antenna elements, meaning it does not depend on the antenna element index m, [5].
- The large-scale fading coefficients are known in advance using DMD prediction at each AP. They change slowly and are influenced by UE mobility. Therefore, we assume that channel variances are estimated early in the process, and these estimates are then used to gauge the current channel response [11].
- Uplink (UL) pilot transmission, also known as UL training;
- Uplink Data Transmission; and
- Downlink (DL) data transmission.
- To evaluate the impact of using DMD on the accuracy and adaptability of CSI in CF-MMIMO systems, especially in highly dynamic scenarios.
- To evaluate the performance in terms of the accuracy and adaptability of DMD/PiDMD-based Channel Estimation compared to the most common methods used in wireless networks, such as MR, MMS, and other recently proposed methods, i.e., PZF, FZF, and PZFZF.
- To evaluate the overall system performance.
- Randomly deploy the APs across the simulation area using an independent uniform distribution, employing a square grid within the circular simulation region.
- Sequentially introduce the UEs in a random fashion and simulate their movement using Brownian motion.
- Compute the distance between the chosen UE and each AP.
- Calculate the channel gain from the selected UE to each AP using Equation (3).
- Construct spatial correlation matrices and estimation error correlation matrices .
- Generate the estimated channels , and utilize them to compute sample averages that approximate all the expectations in the SE expressions.
- Compute the CSI, uplink, and downlink capacity using the DMD algorithms.
2.2. DMD/PiDMD/mpEDMD for Channel Estimation in Wireless Systems
- Data Collection: Collect a series of snapshots of the received signals from the wireless channel over a period of time. These snapshots can be obtained through the transmission of known pilot symbols or training sequences.
- Data Matrices: Organize the received signal snapshots into two data matrices, often referred to as X and Y. These matrices represent the received signals at consecutive time steps.
- Singular Value Decomposition (SVD): Perform a singular value decomposition (SVD) on matrix X to factorize it into three matrices: U, (sigma), and . The SVD captures the dominant modes of the received signals.
- DMD/PiDMD Modes and Eigenvalues: Calculate the DMD/PiDMD modes by using the relationship between matrices X and Y. These modes represent the coherent spatial patterns or oscillations in the channel behavior. The associated eigenvalues provide information about the growth rates and frequencies of these modes.
- Channel Estimation and Prediction: The DMD/PiDMD/mpEDMD modes and eigenvalues can be utilized for Channel Estimation and prediction. The DMD/PiDMD/mpEDMD modes help in identifying the spatial characteristics of the channel, while the eigenvalues offer insights into the temporal evolution of these characteristics.
- Adaptive Strategies: DMD-based Channel Estimation can be integrated into adaptive communication strategies. For instance, in MIMO systems, the identified modes can guide the selection of appropriate beamforming vectors, precoding matrices, or transmit power allocation, based on the changing channel conditions.
- Interpolation and Extrapolation: DMD/PiDMD/mpEDMD also enables interpolation and extrapolation of the channel behavior between and beyond the observed time instances. This can lead to more accurate CSI estimates during periods without pilot transmissions.
- Performance Evaluation: Validate the effectiveness of DMD-based Channel Estimation through simulations or real-world measurements. Compare the performance of DMD-based estimation with conventional methods to assess its benefits in terms of accuracy and adaptability.
2.3. Impact of Channel Correlation
2.4. Proposed Algorithm
- Uplink training phase: The received signal is mapped in the time–frequency plane; see Figure 5A. Then, the pilots are sampled. After taking k samples of pilots , R is computed as shown in (11), where each column of matrix is given by , as shown in Figure 5B. Then, each column is used as shown in (12), and then DMD is applied to reduce the system dimension while preserving the main spatial and temporal characteristics. Subsequently, PiDMD and mpeDMD are applied. PiDMD is employed to ensure that the matrix takes the form of a Toeplitz matrix taking advantage of previous knowledge of the system. The mpeDMD technique is also capable of revealing the underlying Toeplitz structure, as will be demonstrated later.The corresponding approach to estimate the correlation matrix R is to form the sample correlation matrix (11). As illustrated in Figure 5, the correlation matrix will be formed by the pilot’s samples (11):The structure of matrix is shown on (12). Each element of asymptotically converges to the corresponding element of R [11] by the law of large numbers. However, obtaining a sample correlation matrix with eigenvalues and eigenvectors that are well aligned with those of R is more challenging, as estimation errors in all elements of affect the eigenstructure. This is where PiDMD/mpeDMD comes into play. PiDMD/mpeDMD can accurately identify the eigenstructure of the data [9].
- Use PiDMD/mpeDMD: The purpose of this step is twofold; the first one is to keep only the most relevant components of the system and the second one is to achieve a better approximation of eigenvalues and eigenvectors of a reduced version of the system.
- Channel Estimation: Once the correlation matrix is known in the whole network, it is possible to compute the Channel Estimation for every link.
- Design of Downlink precoders: With a good Channel Estimation, it is possible to use well-known downlink precoder design, locally at the Access Points or centrally at the CPU.
- Spectral Efficiency: Finally, the Spectral Efficiency can be computed and analyzed.
2.5. DMD/PiDMD/mpeDMD
2.5.1. Dynamic Mode Decomposition
2.5.2. Physics-Informed Dynamic Mode Decomposition (piDMD)
2.5.3. Measure-Preserving Extended Dynamic Mode Decomposition (mpeDMD)
- Data Collection: Dynamic data of a system are collected in the form of a snapshot matrix X, where each column represents a sample of the system state at a given time.Algorithm input: Snapshot data , quadrature weights , and a dictionary of functions .
- Eigenvalue–Eigenvector Problem Formulation: The goal is to find dynamic modes and eigenvalues that satisfy the following equation:where contains the dynamic modes and is a diagonal matrix of eigenvalues.
- Measure-Preserving Optimization: mpeDMD extends the standard DMD to preserve the system measure. This is achieved by optimizing the cost function to preserve the properties of the original system measure. The optimization problem is shown in (53)The Gram matrix is defined as and the matrix . Letting † denote the pseudoinverse, a solution to (53) is
- Selection of Relevant Modes: After calculating the dynamic modes and eigenvalues, the most relevant modes for system analysis are selected.
- Prediction and Analysis: Once the relevant modes are identified, they can be used to predict the future behavior of the system and to analyze its dynamic characteristics.
- Compute an SVD of .
- Compute the eigendecomposition .
- Compute and .
3. Channel Estimation
3.1. Channel Estimation Using DMD
3.2. Channel Estimation Using PiDMD
3.3. Channel Estimation Using mpeDMD
3.4. Channel Hardening and Favorable Propagation
3.5. Channel Prediction
3.6. Channel Aging
4. Uplink Transmission
4.1. Uplink Training and Channel Estimation
4.2. Uplink Data Transmission
4.3. Uplink Spectral Efficiency
4.4. Maximum Ratio Combining
4.5. Minimum Mean Squared Error Channel Estimator
4.6. Full Zero Forcing
4.7. Partial Full Zero Forcing
4.8. Spectral Efficiency and Optimal LSFD Weights
5. Downlink Transmission
5.1. Coherent Downlink Transmission
5.2. Non-Coherent Downlink Transmission
5.3. Downlink Statistical Channel Cooperation Power Control
6. Results
6.1. Evaluation of the Applicability of DMD for Channel Estimation in CF-MMIMO Wireless Systems
6.2. Performance Evaluation of DMD in a System Considering Delay–Doppler Correlated Channel
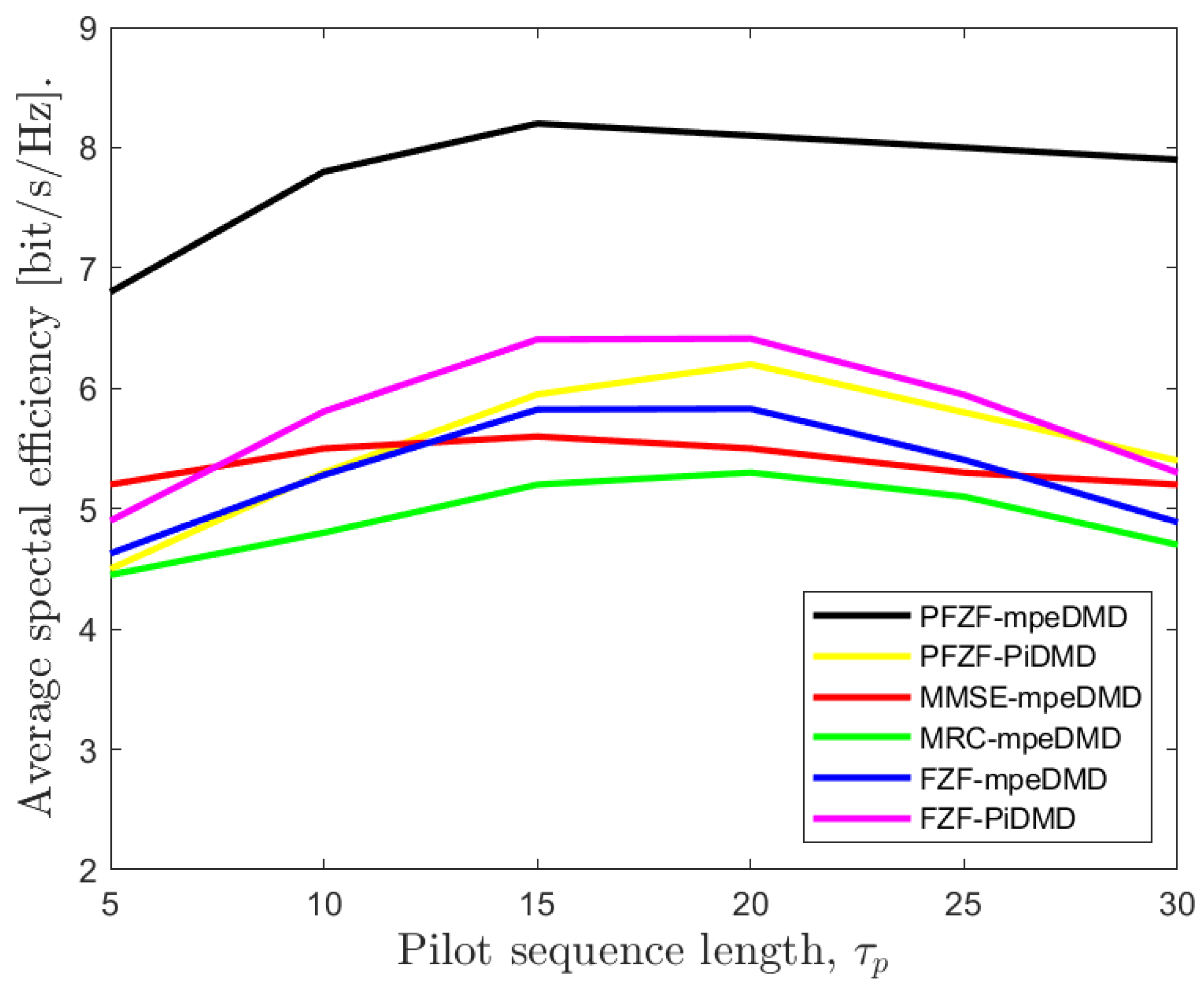
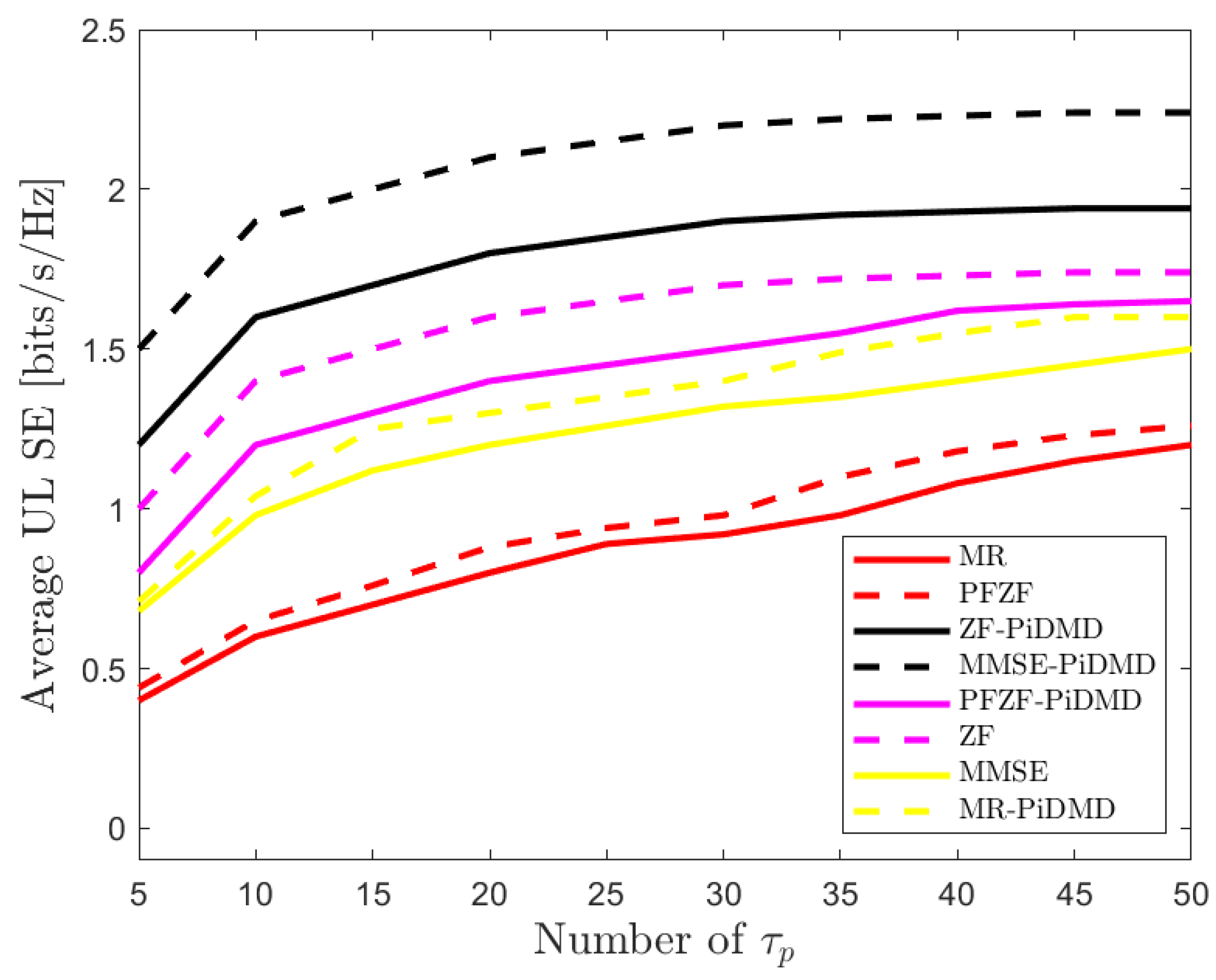
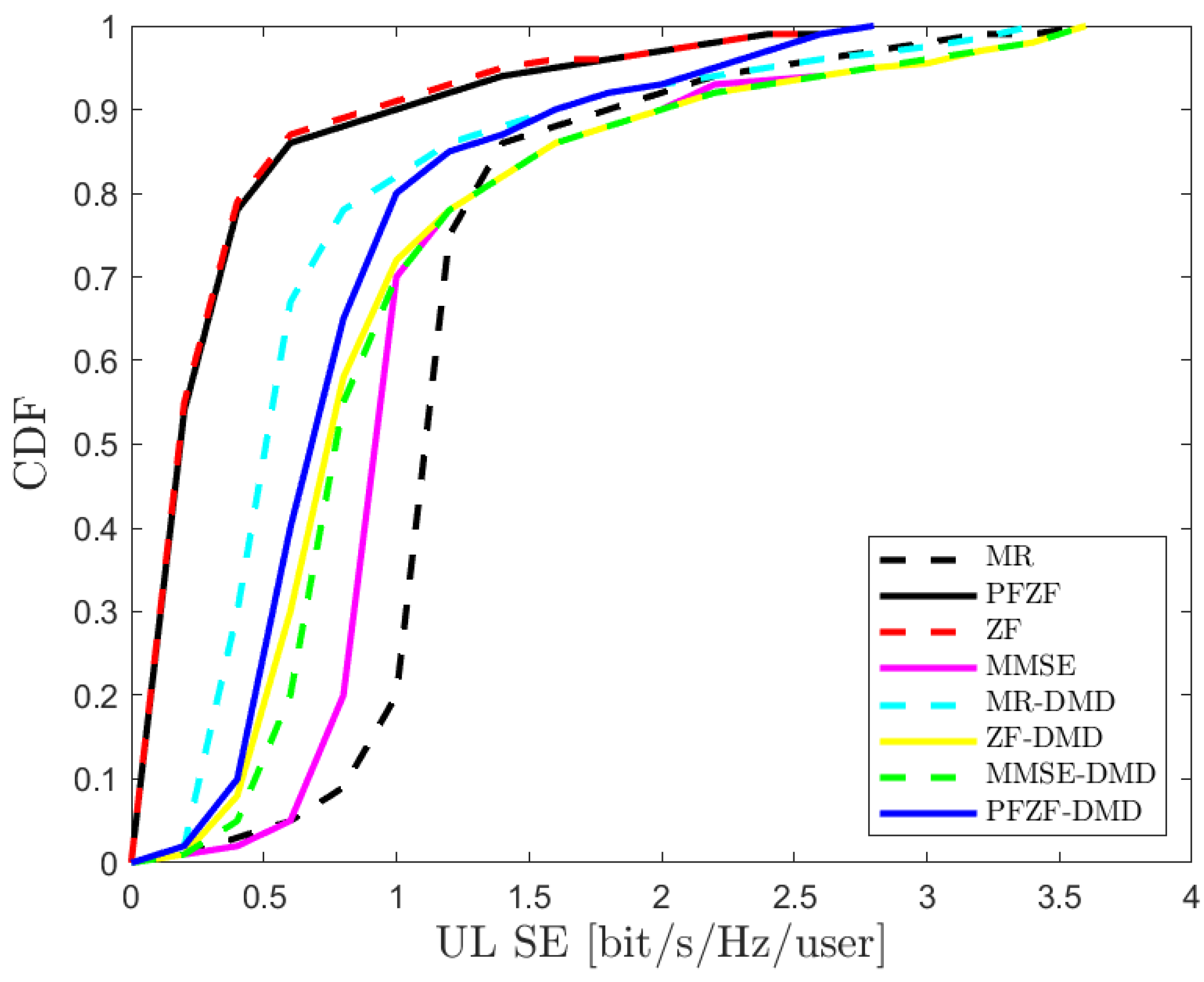
6.3. Evaluation of the Performance in Overall System Capacity Achieved through DMD-Based Channel Estimation
6.4. Computational Intensity Analysis
- Scenario 1: , , , , = 100 mW for each UE, k/h, delay = [0, 001] ms and Dopper .
- Scenario 2: , , , , = 100 mW for each UE, k/h, delay = 0 ms and Dopper .
- Scenario 3: , , , , = 100 mW for each UE, k/h, delay = [0, 001] ms and Dopper .
7. Discussion
8. Conclusions
Author Contributions
Funding
Data Availability Statement
Conflicts of Interest
Abbreviations
| 3GPP | 3rd Generation Partnership Project |
| AP | Access Point |
| BS | Base Station |
| BU | Beamforming interference |
| CDF | Cumulative Distribution Function |
| DL | Down-link |
| DMD | Dynamic Mode Decomposition |
| DS | Desired Signal |
| FZF | Full Zero Forcing |
| LS | Least Squares |
| MIMO | Massive-Multiple Input Multiple-Output |
| MMSE | Minimum Mean Square Error |
| mpeDMD | Meassure Preserving Enhanced DMD |
| MR | Maximum Ratio |
| NI | Noise Interference |
| OTFS | Orthogonal Time–Frequency Space |
| PiDMD | Physics-informed Dynamic Mode Decomposition |
| PFZF | Partial Full Zero Forcing |
| R | Correlation Matrix |
| TDD | Time Division Duplexing |
| SVD | Singular Value Decomposition |
| UE | User Equipment |
| UL | Uplink |
Appendix A
Appendix A.1. Delay Correlation
Appendix A.2. Doppler Correlation
Appendix A.3. Delay–Doppler Correlation
Appendix A.4. Scattering Function
References
- Ngo, H.Q.; Larsson, E.G. Massive MIMO in 5G Networks: Selected Applications; Springer: Switzerland, Switzerland, 2020. [Google Scholar]
- Bjornson, E.; Sanguinetti, L. Making cell-free massive MIMO competitive with MMSE processing and centralized implementation. IEEE Trans. Wirel. Commun. 2020, 19, 77–90. [Google Scholar] [CrossRef]
- Marzetta, T. Noncooperative Cellular Wireless with Unlimited Numbers of Base Station Antennas. IEEE Trans. Wirel. Commun. 2010, 9, 3590–3600. [Google Scholar] [CrossRef]
- Demir, Ö.T.; Bjornson, E.; Sanguinetti, L. Foundations of user-centric cell-free massive MIMO. Found. Trends® Signal Process. 2021, 14, 162–472. [Google Scholar] [CrossRef]
- Björnson, E.; Sanguinetti, L.; Hoydis, J.; Debbah, M. Cell-Free Massive MIMO for Distributed Multi-User Wireless Communication. IEEE Trans. Wirel. Commun. 2020, 19, 3432–3447. [Google Scholar] [CrossRef]
- Matthaiou, M.; Yurduseven, O.; Ngo, H.; Morales-Jimenez, D.; Cotton, S.; Fusco, V. The Road to 6G: Ten Physical Layer Challenges for Communications Engineers. IEEE Commun. Mag. 2020, 59, 64–69. [Google Scholar] [CrossRef]
- Bjornson, E.; Hoydis, J.; Sanguinetti, L. Massive MIMO networks: Spectral, energy, and hardware efficiency. Found. Trends Signal Process. 2017, 11, 154–655. [Google Scholar] [CrossRef]
- Kutz, J.N.; Brunton, S.L.; Schlegel, D.C.; Proctor, J.L.; Rathi, Y.; Williams, M.O.; Agarwal, R.; McDonald, C.; Murphy, A.T.; Nair, R.; et al. Dynamic Mode Decomposition for Large and Streaming Datasets. SIAM J. Appl. Dyn. Syst. 2016, 15, 1490–1523. [Google Scholar] [CrossRef]
- Baddoo, P.J.; Herrmann, B.; McKeon, B.J.; Kutz, J.N.; Brunton, S.L. Physics-informed Dynamic Mode Decomposition (piDMD). IEEE Trans. Wirel. Commun. 2021, 16, 3042–3056. [Google Scholar]
- Colbrook, M.J. The mpEDMD Algorithm for Data-Driven Computations of Measure-Preserving Dynamical Systems. SIAM J. Numer. Anal. 2023, 61, 1585–1608. [Google Scholar] [CrossRef]
- Ozdogan, O.; Bjornson, E.; Larsson, E. Massive MIMO with spatially correlated rician fading channels. IEEE Trans. Commun. 2019, 67, 3234–3250. [Google Scholar] [CrossRef]
- Hadani, R.; Rakib, S.; Tsatsanis, M.; Monk, A.; Goldsmith, A.; Molisch, A.; Calderbank, R. Orthogonal time frequency space modulation. In Proceedings of the IEEE Wireless Communications and Networking Conference (WCNC), San Francisco, CA, USA, 19–22 March 2017; pp. 1–6. [Google Scholar]
- Yuan, J.; Ngo, H.; Matthaiou, M. Machine Learning-based channel prediction in massive MIMO with channel aging. IEEE Trans. Wirel. Commun. 2020, 19, 2960–2973. [Google Scholar] [CrossRef]
- Alkhateeb, A.; Ayach, O.E.; Serpedin, E.G. Cell-free massive MIMO: Uniformly great service for everyone. IEEE Trans. Wirel. Commun. 2017, 16, 4936–4950. [Google Scholar]
- Andrews, J.G.; Buzzi, S.; Choi, W.; Hanly, S.V.; Lozano, A.; Soong, A.C.; Zhang, J.C.; Marzetta, T.L.; Müller, R.R.; Vishwanath, S. Modeling and analyzing cell-free massive MIMO systems. IEEE Trans. Wirel. Commun. 2019, 18, 2285–2301. [Google Scholar] [CrossRef]
- Alkhateeb, A.; Athanasiou, K.N.; Molisch, A.F.; Shafi, M.; Marzetta, T.L.; Heath, R.W.; Lozano, A.; Zhou, Z.; Wang, C.; Bai, T. Deep learning for cell-free massive MIMO: Design, challenges, and opportunities. IEEE J. Sel. Areas Commun. 2020, 38, 10–27. [Google Scholar] [CrossRef]
- Gao, F.; Dai, L.; Wang, C.; Han, S.; Li, X.; Liu, Y.; Yang, Z.; Shen, W.; Wang, J.; Zhu, H. Deep learning-based Channel Estimation in cell-free massive MIMO systems. IEEE Trans. Wirel. Commun. 2021, 20, 2798–2811. [Google Scholar] [CrossRef]
- Sanguinetti, L.; Banelli, P.; Conti, A. Dynamic Mode Decomposition in wireless communications: A review. Found. Trends® Commun. Inf. Theory 2021, 17, 222–358. [Google Scholar]
- Zheng, J.; Zhang, J.; Bjornson, E.; Ai, B. Impact of Channel Aging on Cell-Free Massive MIMO over Spatially Correlated Channels. IEEE Trans. Wirel. Commun. 2021, 20, 6451–6466. [Google Scholar] [CrossRef]
- Bjornson, E.; Sanguinetti, L.; Debbah, M. Massive MIMO with Imperfect Channel Covariance Information. In Proceedings of the 2016 50th Asilomar Conference on Signals, Systems and Computers, Pacific Grove, CA, USA, 6–9 November 2016. [Google Scholar]
- Vieira, J.; Rusek, F.; Edfors, O.; Malkowsky, S.; Liu, L.; Tufvesson, F. Reciprocity calibration for massive MIMO: Proposal, modeling, and validation. IEEE Trans. Wirel. Commun. 2017, 16, 3042–3056. [Google Scholar] [CrossRef]
- Özdogan, Ö.; Björnson, E. Massive MIMO with Dual-Polarized Antennas. IEEE Trans. Wirel. Commun. 2023, 22, 1448–1463. [Google Scholar] [CrossRef]
- Bjornson, E.; Sanguinetti, L. Rayleigh Fading Modeling and Channel Hardening for Reconfigurable Intelligent Surfaces. IEEE Wirel. Commun. Lett. 2021, 10, 830–834. [Google Scholar] [CrossRef]
- Heath, R.W., Jr.; Lozano, A. Foundations of MIMO Communication; Cambridge University Press: Cambridge, UK, 2019. [Google Scholar]
- Hadani, R.; Monk, A. OTFS: A New Generation of Modulation Addressing the challenge of 5G. arXiv 2018, arXiv:1802.02623. [Google Scholar]
- Björnson, E.; Demir, Ö.T. Introduction to Multiple Antenna Communications and Reconfigurable Surfaces; Now Publishers: Boston, MA, USA; Delft, The Netherlands, 2024. [Google Scholar] [CrossRef]
- Bello, P. Characterization of randomly time-variant linear channels. IEEE Trans. Commun. Syst. 1963, 11, 360–393. [Google Scholar] [CrossRef]
- Askham, T.; Kutz, J. Variable projection methods for an optimized dynamic mode decomposition. SIAM J. Appl. Dyn. Syst. 2018, 17, 380–416. [Google Scholar] [CrossRef]
- Tulino, A.M.; Verdú, V.S. Random Matrix Theory and Wireless Communications. Found. Trends® Commun. Inf. Theory 2004, 1, 1–182. [Google Scholar] [CrossRef]
- Hopf, E. The partial differential equation ut + uux = µuxx. Commun. Pure Appl. Math. 1950, 3, 201–230. [Google Scholar] [CrossRef]
- Herrmann, B.; Baddoo, P.J.; Semaan, R.; Brunton, S.L.; McKeon, B.J. Data-driven resolvent analysis. IEEE Trans. Wirel. Commun. 2021, 918, 3042–3056. [Google Scholar]
- Chopra, R.; Murthy, C.; Suraweera, H.; Larsson, E. Performance analysis of FDD massive MIMO systems under channel aging. IEEE Trans. Wirel. Commun. 2018, 17, 1094–1108. [Google Scholar] [CrossRef]
- Truong, K.; Heath, R. Effects of channel aging in massive MIMO systems. J. Commun. Netw. 2013, 15, 338–351. [Google Scholar] [CrossRef]
- Jungnickel, V.; Manolakis, K.; Zirwas, W.; Panzner, B.; Braun, V.; Lossow, M.; Sternad, M.; Apelfrjd, R.; Svensson, T. The role of small cells, coordinated multipoint, and massive MIMO in 5G. IEEE Commun. Mag. 2014, 52, 44–51. [Google Scholar] [CrossRef]
- Shikur, B.; Weber, T. Channel prediction using an adaptive Kalman filter. In Proceedings of the WSA 2015; 19th International ITG Workshop on Smart Antennas, Ilmenau, Germany, 3–5 March 2015; pp. 1–7. [Google Scholar]
- Kashyap, S.; Molln, C.; Björnson, E.; Larsson, E.G. Performance analysis of TDD massive MIMO with Kalman channel prediction. In Proceedings of the 2017 IEEE International Conference on Acoustics, Speech and Signal Processing, New Orleans, LA, USA, 5–9 March 2017. [Google Scholar]
- Kim, H.; Kim, S.; Lee, H.; Jang, C.; Choi, Y.; Choi, J. Massive MIMO Channel Prediction: Kalman Filtering vs. Machine Learning. IEEE Trans. Commun. 2021, 69, 518–528. [Google Scholar] [CrossRef]
- Mohammadi, M.; Ngo, H.; Matthaiou, M. Cell-Free Massive MIMO Meets OTFS Modulation. IEEE Trans. Commun. 2022, 70, 7728–7747. [Google Scholar] [CrossRef]
- Zhang, Q.; Jin, S.; Wong, K.K.; Zhu, H.; Matthaiou, M. Power scaling of uplink massive MIMO systems with arbitrary-rank channel means. IEEE J. Sel. Top. Signal Process. 2014, 8, 966–981. [Google Scholar] [CrossRef]
- Maryopi, D.; Bashar, M.; Burr, A. On the uplink throughput of Zero Forcing in cell-free massive MIMO with coarse quantization. IEEE Trans. Veh. Technol. 2019, 68, 7220–7224. [Google Scholar] [CrossRef]
- Nguyen, H.; Nguyen, V.; Dobre, O.; Sharma, S.; Chatzinotas, S.; Ottersten, B.; Shin, O. On the spectral and energy efficiencies of full-duplex cell-free massive MIMO. IEEE J. Sel. Areas Commun. 2020, 38, 1698–1718. [Google Scholar] [CrossRef]
- Rezaei, F.; Tellambura, C.; Tadaion, A.A.; Heidarpour, A.R. Rate analysis of cell-free massive MIMO-NOMA with three linear precoders. IEEE Trans. Commun. 2020, 68, 3480–3494. [Google Scholar] [CrossRef]
- Interdonato, G.; Karlsson, M.; Bjornson, E.; Larsson, E.G. Local Partial Zero Forcing Precoding for Cell-Free Massive MIMO. IEEE Trans. Wirel. Commun. 2020, 19, 4758–4774. [Google Scholar] [CrossRef]
- Björnson, E.; Sanguinetti, L. Scalable cell-free massive MIMO systems. IEEE Trans. Commun. 2020, 68, 4247–4261. [Google Scholar] [CrossRef]
- 3rd Generation Partnership Project. Study on 3D Channel Model for LTE; Technical Report 3GPP TR 36.873; 3GPP: Sophia Antipolis, France, 2015. [Google Scholar]
- 3rd Generation Partnership Project. Spatial Channel Model for Multiple Input Multiple Output (MIMO) Simulations; Technical Report 3GPP TR 25.996 V14.0.0, Technical Specification Group Radio Access Network; 3GPP: Sophia Antipolis, France, 2017. [Google Scholar]
- Haghshenas, M.; Ramezani, P.; Björnson, E. Efficient LOS Channel Estimation for RIS-Aided Communications Under Non-Stationary Mobility. arXiv 2023, arXiv:2303.16544v1. [Google Scholar]
- Haghshenas, M.; Ramezani, P.; Magarini, M.; Björnson, E. Parametric Channel Estimation with Short Pilots in RIS-Assisted Near- and Far-Field Communications. arXiv 2023, arXiv:2308.10668v2. [Google Scholar] [CrossRef]
- Larsson, E.G. Massive Synchrony in Distributed Antenna Systems. arXiv 2024, arXiv:2401.11730. [Google Scholar] [CrossRef]
- Tse, D.; Viswanath, P. Fundamentals of Wireless Communications; Cambridge University Press: Cambridge, UK, 2005. [Google Scholar]



























| Modulation Scheme | Number of Operations | Processing Time * |
|---|---|---|
| MR | 3N − 1 | ≈20.0 ms |
| ≈18.0 ms | ||
| ≈28.0 ms | ||
| FZF | ** | ≈26.5 ms |
| ≈31.6 ms | ||
| ≈41.2 ms | ||
| PFZF | ≈22.3 ms | |
| ≈19.0 ms | ||
| ≈26.2 ms | ||
| MMSE | *** | ≈31.4 ms |
| ≈31.2 ms | ||
| ≈43.1 ms |
| Modulation Scheme | Number of Operations | Processing Time * |
|---|---|---|
| MR-PiDMD | ≈31.2 ms | |
| ≈31.4 ms | ||
| ≈42.3 ms | ||
| FZF-PiDMD | ** | ≈28.9 ms |
| ≈27.8 ms | ||
| ≈38.2 ms | ||
| PFZF-PiDMD | ≈35.2 ms | |
| ≈36.2 ms | ||
| ≈45.2 ms | ||
| MMSE-PiDMD | ≈31.2 ms | |
| ≈35.9 ms | ||
| ≈46.7 ms |
| Modulation Scheme | Number of Operations | Processing Time * |
|---|---|---|
| MR-mpeDMD | ≈48.2 ms | |
| ≈49.1 ms | ||
| ≈51.3 ms | ||
| FZF-mpeDMD | ≈46.3 ms | |
| ≈48.1 ms | ||
| ≈45.2 ms | ||
| PZFZ-mpeDMD | ≈58.1 ms | |
| ≈62.8 ms | ||
| ≈67.1ms | ||
| MMSE-mpeDMD | ≈65.1 ms | |
| ≈67.3 ms | ||
| ≈71.2 ms |
Disclaimer/Publisher’s Note: The statements, opinions and data contained in all publications are solely those of the individual author(s) and contributor(s) and not of MDPI and/or the editor(s). MDPI and/or the editor(s) disclaim responsibility for any injury to people or property resulting from any ideas, methods, instructions or products referred to in the content. |
© 2024 by the authors. Licensee MDPI, Basel, Switzerland. This article is an open access article distributed under the terms and conditions of the Creative Commons Attribution (CC BY) license (https://creativecommons.org/licenses/by/4.0/).
Share and Cite
Pesantez Diaz, F.; Estevez, C. Performance Evaluation of CF-MMIMO Wireless Systems Using Dynamic Mode Decomposition. Telecom 2024, 5, 846-891. https://doi.org/10.3390/telecom5030043
Pesantez Diaz F, Estevez C. Performance Evaluation of CF-MMIMO Wireless Systems Using Dynamic Mode Decomposition. Telecom. 2024; 5(3):846-891. https://doi.org/10.3390/telecom5030043
Chicago/Turabian StylePesantez Diaz, Freddy, and Claudio Estevez. 2024. "Performance Evaluation of CF-MMIMO Wireless Systems Using Dynamic Mode Decomposition" Telecom 5, no. 3: 846-891. https://doi.org/10.3390/telecom5030043
APA StylePesantez Diaz, F., & Estevez, C. (2024). Performance Evaluation of CF-MMIMO Wireless Systems Using Dynamic Mode Decomposition. Telecom, 5(3), 846-891. https://doi.org/10.3390/telecom5030043
