Next Article in Journal
Diastereomeric N,S-Dialkyl Dithiocarbamates Derived from (E)-Chalcones and ʟ-Tryptophan: Microwave-Assisted Synthesis and In Vitro Studies Against Fusarium oxysporum
Next Article in Special Issue
Synthesis and Pharmacology of Clinical Drugs Containing Isoindoline Heterocycle Core
Previous Article in Journal
A New Generation of Porous Polymer Materials from Polystyrene Waste: Synthesis and Adsorption of Nitrate Anions in Aqueous Media
Previous Article in Special Issue
A Comprehensive Review on the Total Synthesis of Antibacterial Furanomycin and Its Analogs
 
 
Font Type:
Arial Georgia Verdana
Font Size:
Aa Aa Aa
Line Spacing:
Column Width:
Background:
Review

An Overview of Pyrazole-Tetrazole-Based Hybrid Compounds: Synthesis Methods, Biological Activities and Energetic Properties

Laboratory of Applied Chemistry and Environment-ECOMP, Faculty of Sciences, Mohamed 1st University, Bd Mohamed VI, BP: 717, Oujda 60000, Morocco
*
Authors to whom correspondence should be addressed.
Organics 2024, 5(4), 575-597; https://doi.org/10.3390/org5040030
Submission received: 6 October 2024 / Revised: 26 November 2024 / Accepted: 2 December 2024 / Published: 5 December 2024
(This article belongs to the Special Issue Chemistry of Heterocyclic Compounds)

Abstract

Pyrazole and tetrazole are among the most important heterocyclic members of the azole family. Over the past decade, these N-heterocycles and their derivatives have demonstrated specific properties that give them potent applications in several fields such as pharmacology, technology, and agriculture. Combining these two azoles in single hybrid architecture has given rise to highly potent molecules in terms of efficacy and specificity, with enhanced and scalable properties. In this context, the present paper deals with the literature of the last 10 years describing the synthesis protocols for pyrazole-tetrazole-based molecules. Their biological activities as well as their energetic properties are also reported.

1. Introduction

Recent advances in chemistry have offered fascinating opportunities to access the most complex molecular architectures ever achieved [1]. These include 5-membered heterocyclic compounds containing oxygen, nitrogen, and sulfur atoms. This family of molecules is considered one of the vital classes of organic compounds, particularly the azoles [2]. These are the most widespread and are omnipresent in important classes of natural compounds, such as DNA and RNA, chlorophyll, hemoglobin, vitamins, hormones, and alkaloids. They are also widely used as pharmacological agents [3], herbicides [4], dyes [5], and in many other materials for industrial applications [6].
Thus, azole chemistry is currently considered an inexhaustible source of new compounds due to the many possible combinations of these motifs. In this context, the design of hybrid organic molecular systems has recently seen remarkable growth and is an efficient strategy for developing new molecular structures of pharmacological and technological interest [7,8].
Based on this approach (molecular hybridization), several molecular systems have been developed and have shown exceptional interest in demanding applications in daily life. Some of these compounds have already been applied in research and industry, in areas such as pharmacology [9], materials science [10] and energy [11], environmental protection [12], and catalytic technologies [13].
Pyrazole and tetrazole are two families of azoles with different specific properties. Protocols for their synthesis have been developed over the years, using various mechanisms [14,15]. Their combination has given rise to molecular systems with improved, high-performance hybrid properties.
In this context, the present article will try to: (i) shed light on the properties of pyrazole and tetrazole, (ii) display the interest in the molecular hybridization approach and its techniques and advantages, and (iii) give a review on the synthesis protocols of pyrazole and tetrazole-based hybrid molecule during the last 10 years as well as their biological and technological applications.

2. General Information on Pyrazoles

2.1. Biological Activities

Pyrazole and its derivatives are excellent chelating agents for transition metals [16,17]. Their derivatives have become very important in other applications such as catalysis [18,19], electronics [20], metal extraction and transport [20,21], and recently in fuel cell membranes [22,23]. Furthermore, they are present in a large number of biologically active synthetic products such as Celecoxib, Sildenafil, Fezolamine, Crizotinib, Fipronil and Bixafen (Figure 1).
In contrast, the pyrazole motif is rarely found in products of natural origin, and only 18 molecules have been reported in the literature. These may have extremely varied biological activities, such as Withasomnine, which is a central nervous system depressant, Nostocin A, which is an antitumor agent, or Fluviols, which are antibiotics (Figure 2) [24].

2.2. Structure and Physicochemical Properties

One of the most important structural features of pyrazoles is the existence of a tautomeric equilibrium between the A and B forms (Scheme 1). This tautomerism has mainly been observed for R1 = H (prototropy), but also for R1 = COR (acylotropy) and R1 = metal (metallotropy). In solution, the kinetic and thermodynamic aspects of this equilibrium can be strongly influenced by solvent effects and the nature of the substituents carried by the ring [25]. For example, prototropic and acylotropic equilibrium kinetics are considerably slowed down in polar aprotic solvents such as DMSO.
From a geometric point of view, the aromaticity of pyrazole gives it a flat structure, but with different bonding patterns, alternating between double bonds (N2-C3)/(C4-C5) and single bonds (C3-C4)/(C5-N1) (Figure 3) [26].
The fundamental 1H-pyrazole is a slightly π-excessive heterocycle whose resonance energy, calculated from the enthalpy of combustion, is 123 KJ.mol−1, placing it between benzene (150 KJ.mol−1) and thiophene (100–129 KJ.mol−1) [27]. It is weakly basic, with a pKa of 2.52 for its protonated form, and weakly acidic, with a pKa of 14.21.

2.3. Pyrazole Reactivity

A base easily removes the proton bound to the N1 nitrogen, and the pyrazolate anion formed can react with an electrophilic site. The N2 nitrogen has two free electrons, enabling it to coordinate with transition metals [16].
Electron densities calculated on the ring atoms (Figure 4) reveal that the two nitrogen N1 and N2 and C4 have maximum electron density and are susceptible to electrophilic substitution reactions. In contrast, positions C3 and C5 have low electron density and will be susceptible to nucleophilic attack. Generally speaking, the attack’s direction depends on the substituents’ nature and position.
The pyrazole ring is resistant to oxidation and reduction. Only electrolytic oxidation, ozonolysis, and a strong base can open the ring.

3. General Information on Tetrazoles

Tetrazoles are five-membered aromatic heterocyclic compounds containing four nitrogen atoms and one carbon atom. The nitrogen content of this unsubstituted azole represents 80% of the total weight of the molecule, the highest percentage among stable heterocyclic systems.

3.1. Biological Activities

Tetrazole derivatives have a wide range of applications. In pharmacology, drugs such as Tedizolid, Valsartan, Pemorolast, Oteseconazole, Alfentamil, and Cefmenoxime are used clinically (Figure 5).
Other derivatives have demonstrated anticancer [28], antimalarial [29], antituberculosis [30], antifungal [31], antiviral [32], and antibacterial [33] activities.
It should be noted that the high number of coordination sites gives the tetrazole a high binding capacity. This makes it a ligand of choice in coordination chemistry [34]. In addition, tetrazole has other applications in agriculture [35], separation techniques [36], electronics [37], catalysis [38], and in fuel cells, where proton transport is provided by this heterocycle [39].

3.2. Structure and Physicochemical Properties

The 5-substituted 1H-tetrazole containing a proton on the nitrogen exists in two tautomeric forms, C and D (Scheme 2). Various physicochemical methods have revealed that the more polar 1H-tautomer predominates in solution.
For 5-substituted tetrazoles, it has been shown that prototropic equilibrium is affected by the effect of the solvent, the nature and steric effect of the 5-substituent, and the inter- and intramolecular interactions of the tetrazole ring. Low-polarity solvents, the attracting effect of the substituent in position 5, and the introduction of bulky substituents favor the 2H tautomer.
Analysis of the crystal structure of the tetrazole ring by X-ray diffraction showed that the tetrazole is a planar ring. This technique was also used to calculate the dimensions and angles of this heterocycle [40] (Figure 6).
Despite the high nitrogen content, tetrazole and its derivatives exhibit good thermal and chemical stability due to the high aromaticity of the system. This aromaticity is extremely dependent on the prototropic form and the nature and position of the substituents in the ring [40].
Tetrazoles are widely used as carboxylic acid substitutes in medicinal chemistry. They have similar pKa values (4.76) and greater metabolic stability. Tetrazoles are also weak bases, with a pKb of −3 [41].
Ionization of tetrazoles occurs at pH values of around 7, which leads to the formation of the tetrazolate anion E characterized by good π-electron delocalization and very high aromaticity (Scheme 3).
The planar structure and highly conjugated system make tetrazole derivatives more effective electron acceptors than electron donors.

3.3. Tetrazole Reactivity

3.3.1. Reactions in the C5 Position

The proton in position 5 of substituted N-tetrazoles is easily removed by a strong base such as nBuLi (Scheme 4). The addition of electrophiles (aldehydes, ketones, ketones, amides, bromine, etc.) leads to the corresponding 1,5-disubstituted tetrazoles [42].

3.3.2. Reactions in the N1 and N2 Positions

In a basic medium, tetrazoles readily cede their proton. Alkylation of the tetrazolate anion formed generally leads to 1- and 2-alkyltetrazole regioisomers in varying ratios (Scheme 5).
The ratio of isomers formed depends primarily on the reaction temperature, the nature of the substituent in position 5, and its steric hindrance. High temperatures favor the formation of isomer F, while an attracting group in position 5 or bulky substituents, R1 or R2, favor isomer G [43,44].

4. Synthesis of Pyrazole−Tetrazole Hybrid Compounds and Their Applications

A variety of hybrid structures have been derived from the combination of pyrazole and tetrazole utilizing junctions of diverse natures. To gain insight into the synthesis of these molecules and their applications in various fields, we will examine the literature from the past decade, taking into account the nature of the bonds involved.

4.1. Carbon−Carbon Junction

A series of compounds derived from 5-(1-aryl-3-methyl-1H-pyrazol-4-yl)-1H-tetrazole (1–12) was synthesized by Faria et al. [45]. This synthesis began with the action of ethoxyethylidene-malononitrile on arylhydrazine hydrochlorides in the presence of sodium acetate in ethanol, forming a pyrazolic derivative. These were then converted to 1-aryl-3-methyl-1H-pyrazole-4-carbonitriles by aprotic deamination using tbutyl nitrite in THF. Finally, products 1–12 were obtained from carbonitrile compounds by reaction of sodium azide in the presence of ammonium chloride in DMF (Scheme 6).
The in vitro biological activity of tetrazole derivatives and their precursors was evaluated against Leishmania amazonensis and Leishmania braziliensis. The cytotoxicity of these compounds was tested on the RAW 264.7 cell line. The results showed that the activity of tetrazoles and 4-carbonitriles differed for each species tested, and that they were more effective against L. braziliensis. 3-chlorophenyl tetrazole 1 (IC50 = 15 μM) and 3,4-dichlorophenyl 4 (IC50 = 26 μM) were the most potent in inhibiting L. braziliensis promastigotes. These results are comparable with the reference product (Pentamidine: IC50 = 13 μM) with lower cytotoxicity (CC50 of 151.20 and 244.0 μM, Pentamidine of 25.5 μM). The results also showed that the transformation of the nitrile function into tetrazole significantly increased inhibitory activity against Leishmania, and that the nature and position of the substituents on this ring strongly influenced the inhibitory effect compared with the impact of those attached to the phenyl ring.
Compounds 1324 were obtained using the same protocol as above by the Michael addition mechanism followed by cycloaddition while avoiding the second step to retain the amine function on the pyrazole ring [46] (Figure 7).
The activity of these products against the promastigote and amastigote forms of Leishmania amazonensis was also evaluated in vitro, and their cytotoxicity was tested on murine cells. Of these compounds examined, 14 (R = 2-Cl: IC50 Promastigote = 75.8 μM, IC50 Amastigote = 46.5 μM), 23 (R = 4-F: IC50 Promastigote = 102.6 μM, IC50 Amastigote = 97.0 μΜ), and 24 (R = 3-Br: IC50 Promastigote = 78.5 μM, IC50 Amastigote = 106.6 μM) showed promising activity against both forms of Leishmania amazonensis and remained less active than the reference drug Pentamidine (IC50 Promastigote = 13.0 μM, IC50 Amastigote = 1.9 μM). As far as compound 21 is concerned, although it is much less active than the reference product (LC50 Pentamidine = 8.49 μΜ), its better cytotoxicity observed on murine cells (LC50 = 93.92 μM) seems to be due to the presence of 2-fluoro on the aryl group.
The action of 1,1,3,3-Tetramethoxypropane on fluroaryl-hydrazine led to the corresponding pyrazole derivative. The chemoselective and regiospecific formylation of the latter was carried out under Duff conditions (Hexamethylenetetramine: HMTA) [47]. Transformation of the aldehyde to nitrile was achieved by oxime formation in the presence of hydroxylamine, followed by in situ dehydration in the presence of sodium iodide in DMF. The 1,3-bipolar cycloaddition of the nitrile function with NaN3 in the presence of NH4Cl in DMF led to the tetrazole rings 25 and 26 [48,49] (Scheme 7).
The effect of compound 25-stimulated relaxation in isolated rat arteries with and without endothelium was evaluated. The results show compound 25 has a good vasorelaxant effect and that endothelium, although not essential for relaxation, enhances the vascular relaxation stimulated by this compound [48]. These products have also shown anti-inflammatory and antinociceptive effects [49,50].
Products 2733 were obtained via an aldehyde function using the same reaction protocol described above. In contrast, pyrazolyl tetrazole acetic acids 3440 were obtained by reacting tetrazoles 2733 with ethyl chloroacetate followed by saponification (Scheme 8) [51].
These compounds showed antiproliferative activity in vitro against two cell lines, HT-29 (colon) and PC-3 (prostate). The 3440 acid series demonstrated a greater anti-cancer effect than the 26 products. The best results were recorded by the two derivatives 36 (R = 4-Cl) and 39 (R = 4-OCH3) with median inhibitory concentrations (36: IC50 HT-29 = 6.43 μM, IC50 PC-3 = 9.83 μM/38: IC50 HT-29 = 7.23 μM, IC50 PC-3 = 9.15 μM) which are on the similar order to the values recorded by the reference product (Doxorubicin: IC50 HT-29 = 2.24 μM, IC50 PC-3 = 3.86 μM).
In recent decades, glycosides have been used to treat heart failure. However, their clinical use has resulted in fatal arrhythmias and a poor therapeutic profile [52,53]. A class of cardiotonic agents known as “non-glycosides” has been developed to overcome these side effects. In this context, Duan et al. synthesized a series of 2-(4-(1H-tetrazol-5-yl)-1H-pyrazol-1-yl)-4-(4-phenyl)thiazole derivatives (4054) [54] using the same approach as Daniella and Oleivera [48,49]. In four steps, 2-hydrazineyl-4-phenylthiazole was converted to the final product 2-(4-(1H-tetrazol-5-yl)-1H-pyrazol-1-yl)-4-(4-phenyl)thiazole (Scheme 9).
These products have been used as selective inhibitors of the cyclic nucleotide phosphodiesterase (PDE) enzymes responsible for vascular relaxation at various vascular sites. These inhibitors offer an improved safety profile and greater efficacy. All products showed considerable inhibition of PDE3A (IC50 = 0.24–16.42 μM) and PDE3B (IC50 = 2.34–28.02 μM). For PDE3A, 12 products showed higher activity than the reference product (IC50(Vesnarinone) = 11.21 μM). For PDE3B, 10 were better than Vesnarinone (IC50 (Vesnarinone) = 14.54 μM). Compound 6d showed the most potent inhibition of PDE3A and PDE3B with IC50 equal to 0.24 and 2.34 μM respectively. Toxicity tests on Swiss albino mice showed these products to be non-toxic up to a dose of 100 mg/kg for 28 days. It should be noted that, although the modifications made to the chemical compounds are minor, their biological impact is very positive. The study of the structure−activity relationship enabled the authors to suggest that compounds containing electron-withdrawing substituents are more potent than donors and that, among them, the para position is more favorable than the ortho and meta positions.
Kushik et al. [55] prepared a series of 1-[(5-substituted phenyl)-4,5-dihydro-1H-pyrazol-3-yl]-5-phenyl-1H-tetrazole derivatives (5564) via the reaction of 1-(5-substituted phenyl-1H-tetrazol-1-yl) prop-2-en-1-one with hydrazine hydrate in the presence of acetic acid (Scheme 10).
The compounds synthesized showed antioxidant activity in vitro. The three products 56, 61 and 64 recorded the best results, with IC50 values equal to 13.19, 15.68, and 16.14 μg/mL, respectively. However, these products are almost half as active as the reference product ascorbic acid (IC50 (ascorbic acid) = 7.19 μg/mL). In vivo, the majority of compounds showed moderate antidiabetic activity. Compound 56 showed the best effect (51.84%) compared with Rosiglitazone (58.78%).
The synthesis of the 6579 series of pyrazolotetrazole hybrid structures was carried out in four steps [56], using the same reaction protocol as described by Daniella [48] (Scheme 11).
The molecules in this series were identified as PDE3 inhibitors. The highest inhibitory potency was revealed by compounds containing nitro- and fluero-attracting groups, particularly those in the para position. Indeed, compound 71 showed a more potent inhibitory effect on both PDE3A and PDE3B enzymes than Vesnarinone (IC50 (PDE3A) = 10.22 μM, IC50 (PDE3B) = 15.45 μM) with IC50s equal to 0.33 and 5.20 μM, respectively.
N. Kumbar et al. described the synthetic pathway of the modified coumarins 8083 [57]. Condensation of arylhydrazones and 3-acetylcoumarin, followed by the Vilsmeier−Haack reaction, led to the aldehydes 3-(2-oxo-2H-chromen-3-yl)-1-phenyl-1H-pyrazole-4-carbaldehydes. The aldehyde functions were converted to oximes by the action of hydroxylamine hydrochloride in the presence of anhydrous sodium acetate (NaOAc). Oximes were converted to nitriles by treatment with thionyl chloride SOCl2 and Na2CO3 in dichloromethane (CH2Cl2), leading to pyrazol-coumarin nitriles. Finally, 1,3-dipolar cyclization of the nitrile group with sodium azide in the presence of TEA and HCl gave the desired products 3-(1-aryl-4-(1H-tetrazol-5-yl)-1H-pyrazol-3-yl)-2H-chromen-2-ones 8083 (Scheme 12).
The photo-physical and computational properties of these compounds were investigated. The results obtained revealed that modified coumarins could be the basis for future optoelectronic applications.
The 3-arylsydnone was converted into 1-aryl-1H-pyrazole-3-carbonitrile via a [3 + 2] dipolar cycloaddition with acrylonitrile in the presence of chloranil. The nitrile group was then subjected to a [3 + 2] cycloaddition with sodium azide in the presence of triethylamine hydrochloride to obtain the corresponding bi-heterocyclic hybrid compound, 5-(1-aryl-1H-pyrazol-3-yl)-1H-tetrazole. N-alkylation of the latter, performed with aryl, heteroaryl, and alkyl halides in the presence of potassium carbonate, gave two regioisomers, namely, 2,5-disubstituted tetrazoles (84–95a) and 1,5-disubstituted tetrazoles (84–95b) (Scheme 13) [58].
These compounds’ in vivo anti-hyperglycemic activity was examined in diabetic Wistar albino rats of both sexes. Compounds 84ab, 85b, 89b and 93ab significantly reduced blood glucose levels in these rats after 7 days of administration (from ~400 to ~120 mg.dL−1), a result comparable to that obtained with the reference product (Glibenclamide: from 400 to 131 mg/dL). These products also helped prevent vascular complications in diabetic rats. The in silico study on the enzyme glycogen phosphorylase confirmed these results.
Products 96104 were obtained by combining two reaction protocols: the multi-component Ugi-nitrogen reaction and the molecular hybridization approach [59]. The o-acylation reaction of 2-hydroxyacetophenone with chloroacetone in the presence of K2CO3 led via an intramolecular cyclo-condensation reaction to form 2-acetylbenzofuran. This product was reacted with various phenylhydrazines to give the corresponding hydrazine intermediates, which were then subjected to the Vilsmeier−Haack reaction to provide an aldehyde-functionalized pyrazole. The latter was, finally, transformed into a tetrazole ring using Ugi azide to form the desired hybrids 96104 (Scheme 14).
The anti-Alzheimer activity of these hybrid structures was investigated. Of these, six (96, 97, 99, 102, 103, and 104) showed significant reductions in the aggregation of “human” β-amyloid (Aβ) peptide expressed on the CL4176 transgenic strain of Caenorhabditis elegans (C. elegans), equal to 67.1%, 46.7%, 56.5%, 42.1%, 45.39%, and 63.81%, respectively. Note that abnormal accumulation of β-amyloid (Aβ) protein outside nerve cells leads to the formation of “amyloid plaques”, which cause Alzheimer’s disease.
The action of arylhydrazine on 2-acetyl-5-substituted-thiophene led to Schiff’s base. The Vilsmeier−Haack reaction gave 1-aryl-3-(5-substituted-thiophen-2-yl)-1H-pyrazole-4-carbaldehyde. Under the action of hydroxylamine hydrochloride and in the presence of sodium acetate, the aldehyde was converted to oxime, which was then converted to the corresponding nitrile with the aid of thionyl chloride (SOCl2) in a basic medium. 1,3-dipolar cyclization of this nitrile with sodium azide (NaN3) in the presence of TEA/HCl gave the hybrid compounds 5-(1-aryl-3-(5-substituted-thiophen-2-yl)-1H-pyrazol-4-yl)-1H-tetrazoles (105116) [60] (Scheme 15).
The anti-inflammatory activity of compounds 105116 was tested against the 264.7 RAW cancer cell line. The compounds showed excellent activity in inhibiting the secretion of nitrogen oxide (NO). They also exhibited antibacterial inhibitory potency against four various pathogenic bacteria with much lower minimum inhibitory concentrations than ciprofloxacin and tetracycline.
Nitropyrazoles are well known for the design of energetic compounds, such as solid composite propellants (SCPs), which exhibit good friction and impact stability. Their combination with tetrazoles via a carbon−carbon bond has led to several energetic structures (117–119) [61]. In basic media, cyanic azide (CNN3) converted the nitro group to tetrazole to give the hybrid C−C transition product (117). Then, in an acidic medium (H2SO4), a second nitro group was introduced onto the pyrazole using nitric acid (118). Acylation of the tetrazole ring by methyl bromoacetate in the presence of NaHCO3, followed by the action of nitric acid HNO3 and sulphuric acid, led to the bi-heterocyclic product 119, functionalized by nitro groups on the pyrazole and by trinitromethyl N-substituents on the two heterocycles (Figure 8).
A high positive enthalpy of formation characterizes this family of products due to a high nitrogen content in the form of N=N and N=C polyazo groups, and nitro groups such as -NO2 and -C(NO2)3, which allow high energy storage. The introduction of the tetrazol-5-yl moiety significantly increased the enthalpy of formation (ΔH°f) from ~800 to 1715 kJ.kg−1 (energy contribution of 915 kJ.kg−1). However, introducing the second nitro group into the pyrazole ring or substituting the tetrazole proton with trinitromethyl decreased the ΔH°f by 90 and 250 kJ.kg−1, respectively.

4.2. Phenyl Junction

Dhevaraj et al. synthesized a series of hybrid compounds based on pyrazole and tetrazole separated by a phenyl ring 120135 [62]. These syntheses start with transforming the amine function of 4-Aminoacetophenone to tetrazole under the action of sodium azide in the presence of triethyl orthoformate and acetic acid. Condensation of acetophenone tetrazole and benzaldehyde leads to chalcone derivatives, whose double bonds have been converted to pyrazole by the action of hydrazine in the presence of acetic acid (Scheme 16).
The antibacterial activity of these compounds was evaluated using the MTT assay on Escherichia coli cells. The activity measured is proportional to the ability of viable cells to reduce the yellow tetrazolium salt (3-(4,5-dimethylthiazol2-yl)-2,5-diphenyltetrazolium bromide) to a purple product. After 24 h incubation, all ligands showed significant activity against E. coli and Staphylococcus aureus. Compounds 125 and 126 showed higher antibacterial activity than the other ligands, with IC50 values of 48.32% and 46.32%, respectively, compared with the reference drug (Ciprofloxacin).
D. Ashok et al. described a series of similar structures 136144 [63]. The action of sodium azide on 4-formylbenzonitrile in the presence of CuSO4-5H2O led to 4-(1H-Tetrazol-5-yl)benzaldehyde. The reaction of the latter with acetophenones under basic conditions gave the corresponding chalcones which were cyclized with hydrazine in an acidic medium using two different techniques: conventional heating technique (80–90 °C) and microwave irradiation (180 W) to afford compounds 136144. Microwave irradiation led to higher yields in a reduced reaction time (8–10 min) than conventional heating (7–8 h) (Figure 9).
These products were tested in vitro for antibacterial activity against Gram-positive strains of Staphylococcus aureus, Bacillus subtilis, and two Gram-negative strains of Klebsiella pneumoniae and Escherichia coli, and for antifungal activity against Aspergillus Niger, Aspergillus flavus and Fusarium oxysporum. Most compounds showed high activity, particularly compound 141, which exhibited activity on par with the reference product Gatifloxacin. This compound (141) and product 137 showed promising activity against pathogenic fungi.

4.3. O-Alkyl Junction

S. Dofe et al. presented the synthesis of hybrid derivatives 145150, where the two heterocycles are separated by an oxygen atom [64]. Acetylation of the tri-substituted phenol was carried out in two steps: the first involved the reaction of acetic acid in the presence of pyridine. The second was a rearrangement of the acyl group on the phenyl in the presence of AlCl3 to give tri-substituted 1-(2-hydroxyphenyl)ethan-1-one. Condensation of the latter with 4-fluorobenzaldehyde led to the corresponding chalcones. In the presence of hydrogen peroxide, the chalcones were converted to 3-hydroxychromones by oxidative cyclization. The introduction of a nitrile group onto the alcohol function was achieved using 2-chloroacetonitrile in the presence of K2CO3. Under the action of sodium azide and zinc bromide in water at 100 °C, the nitrile function was converted to tetrazole. Finally, hydrazine in ethanol converted pyrones to pyrazoles to give the desired hybrid compounds 145150 (Scheme 17). It should be noted that this last reaction was carried out in less time (45–55 min) under ultrasonic irradiation, compared with the conventional method (5–6 h) and with better yields.
The antimicrobial activity of these structures was evaluated in vitro against four bacterial strains; two Gram-positive (Staphylococcus aureus and Bacillus subtilis), two Gram-negative (Escherichia coli and Pseudomonas aeruginosa), and two fungi (Candida albicans and, Aspergillus niger). Compound 149 showed high activity against two bacterial strains; Staphylococcus aureus with a minimum inhibitory concentration (MIC) equal to 25 μg/mL, which is twice as low as the reference drug Chloramphenicol (MIC = 50 μg/mL), and Pseudomonas aeruginosa with an MIC equal to that of the reference. Although this compound also exhibited an antifungal effect (CIMC. albicans = 75 μg/mL, CIMA. niger = 50 μg/mL), the CIMs obtained were lower than those of Clotrimazole (CIMC. albican = 50 μg/mL, CIMA. niger = 25 μg/mL).
After the formation of the chalcones, O-alkylation of the chalcones with 5-chloro-1-phenyltetrazole in the presence of K2CO3 in DMF followed by the action of hydrazine in ethanol led to the formation of compound 151 (Scheme 18) [65].
The same author synthesized other substituted chalcones starting with the O-alkylation of aldehyde (4-hydroxy-3-methoxybenzaldehyde) with 5-chloro-1-phenyl-1H-tetrazole in DMF in a basic medium. Condensation of the resulting product (3-methoxy-4-((1-phenyl-1H-tetrazol-5-yl)oxy) benzaldehyde) with 4-bormoacetophenone in the presence of the strong base NaOH in ethanol gave rise to the corresponding chalcone, whose α,β-unsaturated carbonyl function is cyclized under the action of hydrazine to give the pyrazoline-tetrazole compound 152 (Scheme 19).
The anticancer activity of these products against colon cancer (HCT-116), prostate cancer (PC-3), and breast cancer (MCF-7) cell lines, as well as the normal African green monkey kidney cell line (Vero-B), was studied by the MTT technique. The two pyrazoline-tetrazole derivatives 151 and 152 showed activity equal to or greater than that of the reference drugs (IC50 (Cisplatin) = 20.0 µg/mL, IC50 (5-FU) = 17.3 µg/mL), against colon HCT-116 cell lines, with IC50 values equal to 16 and 8 µg/mL, respectively. However, up to a concentration of 50 µM, these products showed no cytotoxic activity against the normal Vero-B cell line.

4.4. Carbon-Azote Junction

Nesterova et al. combined the tetrazolyl derivative of the acetoacetic ester with pyridylhydrazine in 2-propanol to give the hybrid compound 1-(4,6-dimethylpyrimidin-2-yl)-3-[(5-phenyl-2H-tetrazol-2-yl)methyl]-1H-pyrazol-5-ol (153) [66] (Figure 10).
Grigoriev et al. synthesized a panoply of bi-heterocyclic structures from different primary amines [67]. Heating aminopyrazoles at 90 °C in acetic acid with sodium azide in the presence of triethyl orthoformate completely converted the primary amines to the corresponding tetrazole to give the 1-pyrazolyltetrazoles 154161 in good yields (Figure 11).
These high nitrogen compounds can be ligands for coordination chemistry and energetic compounds for specific applications.
N-functionalized pyrazole derivatives were obtained by the reaction of chloroacetonitrile with trisubstituted pyrazoles in the presence of ammonium salt and tetraethylammonium bromide (TEAB) as phase transfer catalyst in DMF. The cyano group was then converted to tetrazole by the Click-Chemistry reaction under the action of sodium azide in the presence of zinc chloride in aqueous solution to form the methylene junctional bi-heterocyclic compounds 162 and 163 (Scheme 20) [68].
These asymmetric nitrogen-rich C-N methylene junction compounds are more energetic, denser and thermally stable than analogous asymmetric N, N’-ethylene junction compounds [69,70,71]. As a result, these products can be very useful for the elaboration of highly energetic and less sensitive materials with finely modulable properties.
Kazakov et al. [72] studied nitro-substituted pyrazole-tetrazole bi-heterocyclic structures’ combustion and formation energies (Figure 12). They clearly showed the influence of isomerism, the nature of the substituent, and the structure of the fragments, combined into a single molecule, on the overall energy of the molecule. They also showed the impact of the nature of the combining bond between two heterocycles. Indeed, the energy increment of the substitution of hydrogen atoms by the tetrazolyl ring (Compounds H and 165, or I and 166) due to the formation of the CPy-NTr bond is 389.8 kJ.mol−1. In contrast, for the CPy-CTr bond between the two heterocycles (Compounds I and 164), the increment is only 347.8 KJ.mol−1. In other words, the energy of the CPy-NTr bond between the pyrazole ring and the tetrazole ring is ~42 KJ.mol−1 higher than that of the CPy-CTr bond.
The oxidation of 3-nitro-4-methylpyrazole to 3-nitropyarzole-4-carboxylic acid was carried out under the action of K2CrO7 in an acidic medium. Deprotonation of pyrazole followed by cyanic bromide attack, then [2 + 3] cycloaddition of the nitrile group with sodium azide and acid treatment led to 3-nitro-1-(2H-tetrazol-5-yl)-1H-pyrazole-4-carboxylic acid (169) [73]. To further improve energy and reduce sensitivity, energetic salts (170172) were also prepared (Scheme 21).
In addition to controlled detonation, these materials feature high density, remarkable thermal stability, satisfactory environmental compatibility, and low sensitivity to impact and friction.
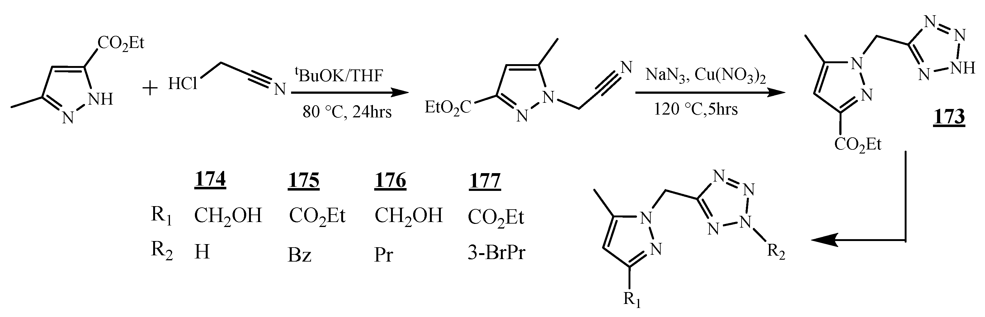
In our laboratory, we have developed the synthesis of CTr-NPy methylene junction tetrazole-pyrazole compounds [74]. First, functionalization of the pyrazole ester with a nitrile group was achieved by the action of chloroacetonitrile in THF in the presence of the strong base tBuOK. This group was then converted to tetrazole by the action of sodium azide in DMF according to a 1,3-dipolar cycloaddition to give the pyrazole-tetrazole ester 173. Under the action of LiAlH4, the ester was reduced to the corresponding alcohol 174. Compound 173 was also N-arylated by benzyl bromide in the presence of tBuOK in THF (175), or alkylated by 1,3 dibromopropane in acetonitrile where the base used this time was K2CO3 (177). The brominated compound 177 was reduced also using LiAlH4 to give the alcoholic derivative 176 (Scheme 22).
The vasorelaxant potency of these molecules was investigated by determining the relaxant effect on the rat aorta. All compounds showed good vasorelaxant activity, in particular product 177 “ethyl-1-((2-(3-bromopropyl)-2H-tetrazol5-yl)methyl)-5-methyl-1H-pyrazole-3-carboxylate”, which showed the highest effect (Emax = 71%) at a concentration of 10−4 M and is comparable to that of Verapamil (Emax = 90%), the reference product.
N-alkylation of the bi-heterocyclic product 173 with 1,3-dibromopropane, 1-bromoethane or with bromobenzyl in acetonitrile in the presence of tBuOK led to three hybrid products with a CTz-Npy methylene junction (177179), and more of their positional isomers (180182), which are due to the prototropy phenomenon of the free tetrazole proton [75] (Scheme 23).
These compounds were examined for their anti-diabetic activity in vitro. All molecules showed good α-amylase inhibition activities with different potencies. The most potent compounds 173, 177, 181, and 182 recorded IC50s equal to 0.051; 3.0 × 10−4; 3.45 × 10−5 and 0.115 mg.mL−1, respectively, which are much lower than that of the reference (IC50 (Acarbose) = 0.26 mg.mL−1). Note that the inhibitory concentration of the brominated 181 isomers is 10,000 lower than that of acarbose. A comparison with the literature shows that the exceptional effect of this product is unprecedented.
In the same context, a new series of molecules combine the two heterocycles pyrazole and tetrazole, this time with an inter-heterocyclic Cpyrazole-Ntetrazole junction [76]. In this case, the synthesis begins with the deprotonation of tetrazole by strong base (NaOH) in DMF, followed by the attack of differently substituted chlorinated pyrazole derivatives in THF, leading to four products (183186) and their positional isomers 187190 (Scheme 24).
Hybrid molecules 183190 were also evaluated for their in vitro α-amylase inhibitory activity. Compounds 183186 recorded IC50 values of 5.59, 0.95, 2.36, 0.54, and 1.97 mg.mL−1, respectively, which are still lower than those of the reference product Acarbose (IC50 (Acarbose) = 0.34 mg.mL−1). In contrast, their 187190 isomers showed the following IC50s 4.82 × 10−3, 0.023, and 1.13 × 10−4 mg.mL−1, which are much more potent than the positive control, suggesting that this series should be seriously developed as anti-diabetic agents.
Alkylation of hybrid compound 173 with 1-bromopropyl or 1-bromo-3-methylbutane in the presence of the base tBuOK in THF gave the substituted hybrids 191 and 192. Under the action of LiAlH4, the ester groups of the latter are reduced to give the corresponding alcohols 193 and 194 [77] (Scheme 25).
Evaluation of the antifungal activity of these compounds was studied against four different strains, namely Aspergillus niger, Geotrichum candidum, Rhodotorula glutinis, and Penicillium digitatum. All products showed average activity compared to the positive control (DI(Cycloheximide) ≈ 30 mm) with inhibition zone diameters varying between 10 and 15 mm. The vasorelaxant effect was also assessed on the rat aorta. At a dose of 10−4 M of the product tested, the relaxation percentages obtained varied between 43 and 60%, which are average values compared with the results of the two standard products used, Verapamil (Emax = 91.6%) and Carbachol (Emax = 85.5%). A study of the dose−response curve revealed that the mechanism of action of these products corresponds well to that of Verapamil.

4.5. Junction Azote-Azote

Over the past decade, a range of symmetrical bi-heterocyclic energetic compounds containing a single type of pyrazole-based [78] or tetrazole-based [79,80] N,N′-ethylene- or butylene-junctioned heterocycle have been synthesized. Coupling these two azoles in the same structure has given rise to asymmetrical architectures with better-controlled and scalable energetic properties.
In this context, D. Kumar et al. described the synthesis of products 195198 [69]. In the presence of NaOH, pyrazole was reacted with 2-chloroethylamine to give 1-(2-aminoethyl)pyrazole. The primary amine reacted with cyanogen azide to form tetrazole, linking the pyrazole rings and 5-aminotetrazole via an N,N′-ethylene junction (195 and 196). Nitration reactions of the latter two with sodium nitrite or nitric acid in the presence of sulfuric acid resulted in the introduction of one or two nitro groups onto the pyrazole ring at the same time (197) as the formation of the nitroimino(tetrazole) moiety (198) (Scheme 26).
Nitroimino(tetrazole) groups are known to have better energetic properties than amino(tetrazole) groups. However, they are often susceptible to impact and friction.
The same authors adopted a new synthetic strategy to refine and control the energetic properties of this family of molecules. The approach consisted of independently synthesizing different energetic pyrazole derivatives as required, then combining them with appropriate tetrazole bridging entities to produce coupled azoles in a single step with improved sensitivity and controllable energetic properties.
The reaction of bromoethylamine hydrobromide with cyanogen azide in acetonitrile in the presence of sodium hydroxide led to 1-(2-bromoethyl)-5-aminotetrazole. In DMF and the presence of the phase transfer catalyst (tetraethylammonium bromide (TEAB)), the tetrazole derivative reacted with the potassium salt of 3-nitropyrazole and the ammonium salts of 3,4-dinitropyrazole, 5-amino-2,4-dinitropyrazole, 4-chloro-3,5-dinitropyrazole and 3,4,5-trinitropyrazole to give the N,N′ethylene-junctional bi-heterocyclic products 199205 [70] (Figure 13).
To optimize the energy balance of these structures, other agents of the same family have been synthesized using the same strategy, further introducing azide and nitro groups on the pyrazole-tetrazole bi-heterocyclic framework [71].
A comparative study of the energetic and physico-chemical properties of these products showed that conversion of the aminotetrazole moiety to nitroiminotetrazole significantly improved enthalpy of formation, detonation pressure, density and detonation velocity with decreasing decomposition temperature. This approach of combining two different types of azoles has enabled better control, and more possibilities to manipulate energetic properties and thus expand the options for the design of modern advanced high-energy density materials (HEDM) with tolerable sensitivities.

5. Conclusions

Although pyrazole and tetrazole have each demonstrated their importance in various fields for decades, this overview has shown that combining these two azoles into a single structure via the molecular hybridization approach has provided new opportunities and practical solutions to a range of problems in different and sensitive areas. Indeed, in the field of pharmacology, these compounds combined efficacy and specificity and presented improved activities in four major incurable diseases: microbial infections, cancer, diabetes, and hypertension. Some of these compounds have proved significantly more effective than reference drugs. On the other hand, the combination of pyrazole and tetrazole in certain structures has yielded very interesting energetic properties whose energy balances can be highly controlled as required to develop energy-dense materials. For this reason, we can consider that this type of compound can open up new avenues for the discovery of effective new drugs and industrial materials in cutting-edge fields.

Author Contributions

Conceptualization, M.C. and T.H.; methodology, M.C., M.A. and T.H.; investigation, M.C., M.A. and A.O.; resources, F.M. and T.H.; writing—original draft preparation, M.C. and T.H.; writing—review and editing, T.H. and F.M.; supervision, F.M.; project administration, F.M.; funding acquisition, T.H. All authors have read and agreed to the published version of the manuscript.

Funding

This research received no external funding.

Data Availability Statement

Not applicable.

Acknowledgments

The authors are grateful to the Ministry of Higher Education, Scientific Research and Innovation of Morocco and the EU-PRIMA Section 2, Project DurInnPack, for supporting this work.

Conflicts of Interest

The authors declare no conflicts of interest.

References

  1. Alivisatos, P.; Barbara, P.F.; Castleman, A.W.; Chang, J.; Dixon, D.A.; Klein, M.L.; McLendon, G.L.; Miller, J.S.; Ratner, M.A.; Rossky, P.J.; et al. From molecules to materials: Current trends and future directions. Adv. Mater. 1980, 10, 1297–1336. [Google Scholar] [CrossRef]
  2. Gupta, R.R.; Kumar, M.; Gupta, V. Heterocyclic Chemistry: Volume II: Five-Membered Heterocycles; Springer Science & Business Media: Berlin/Heidelberg, Germany, 2013. [Google Scholar]
  3. Dorababu, A. Pharmacology Profile of Recently Developed Multi-Functional Azoles; SAR-Based Predictive Structural Modification. ChemistrySelect 2020, 5, 6730–6758. [Google Scholar] [CrossRef]
  4. Umetsu, N.; Shirai, Y. Development of novel pesticides in the 21st century. J. Pestic. Sci. 2020, 45, 54–74. [Google Scholar] [CrossRef]
  5. Ghosh, D.; Ghosh, S.; Ghosh, A.; Pyne, P.; Majumder, S.; Hajra, A. Visible light-induced functionalization of indazole and pyrazole: A recent update. Chem. Commun. 2022, 58, 4435–4455. [Google Scholar] [CrossRef] [PubMed]
  6. Petrov, V.A. Fluorinated Heterocyclic Compounds: Synthesis, Chemistry, and Applications; John Wiley & Sons: Hoboken, NJ, USA, 2009. [Google Scholar]
  7. Sadek, K.U.; Mekheimer, R.A.; Abd-Elmonem, M.; Abo-Elsoud, F.A.; Hayallah, A.M.; Mostafa, S.M.; Abdellattif, M.H.; Abourehab, M.A.S.; Farghaly, T.A.; Elkamhawy, A. Recent developments in the synthesis of hybrid heterocycles, a promising approach to develop multi-target antibacterial agents. J. Mol. Struct. 2023, 1286, 135616. [Google Scholar] [CrossRef]
  8. Mahmoud, E.; Hayallah, A.M.; Kovacic, S.; Abdelhamid, D.; Abdel-Aziz, M. Recent progress in biologically active indole hybrids: A mini review. Pharmacol. Rep. 2022, 74, 570–582. [Google Scholar] [CrossRef]
  9. Gattu, R.; Ramesh, S.S.; Nadigar, S.; Ramesh, S. Conjugation as a tool in therapeutics: Role of amino acids/peptides-bioactive (including Heterocycles) hybrid molecules in treating infectious diseases. Antibiotics 2023, 12, 532. [Google Scholar] [CrossRef]
  10. Araji, H.; Nakhoul, M.; Challita, E.; Barmo, N.; Wex, B. Cross-over from pyrene to acene optical and electronic properties: A theoretical investigation of a series of pyrene derivatives fused with N-, S, and O-containing heterocycles. Phys. Chem. Chem. Phys. 2024, 26, 18466–18475. [Google Scholar] [CrossRef]
  11. Gao, H.; Zhang, Q.; Jean’ne, M.S. Fused heterocycle-based energetic materials (2012–2019). J. Mater. Chem. A 2020, 8, 4193–4216. [Google Scholar] [CrossRef]
  12. Cherfi, M.; Harit, T.; Malek, F. New macrocycles based on pyrazole-tetrazole subunit: Synthesis, characterization and their complexing properties toward heavy metal cations. J. Incl. Phenom. Macrocycl. Chem. 2023, 103, 63–70. [Google Scholar] [CrossRef]
  13. Sarkar, G.; Bandopadhyay, N.; Paramanik, K.; Saha, S.; Panda, S.J.; Purohit, C.S.; Biswas, B.; Das, H.S. An efficient 2-(2-Pyridyl) imidazole based copper catalyst for N-Arylation of N-heterocycles. Mol. Catal. 2023, 545, 113212. [Google Scholar] [CrossRef]
  14. Ebenezer, O.; Shapi, M.; Tuszynski, J.A. A review of the recent development in the synthesis and biological evaluations of pyrazole derivatives. Biomedicines 2022, 10, 1124. [Google Scholar] [CrossRef] [PubMed]
  15. Vishwakarma, R.; Gadipelly, C.; Mannepalli, L.K. Advances in tetrazole synthesis–an overview. ChemistrySelect 2022, 7, e202200706. [Google Scholar] [CrossRef]
  16. Trofimenko, S. The coordination chemistry of pyrazole-derived ligands. Chem. Rev. 1972, 72, 497–509. [Google Scholar] [CrossRef]
  17. Bieller, S.; Haghiri, A.; Bolte, M.; Bats, J.W.; Wagner, M.; Lerner, H.-W. Transition metal complexes with pyrazole derivatives as ligands. Inorganica Chim. Acta 2006, 359, 1559–1572. [Google Scholar] [CrossRef]
  18. Kodadi, M.E.; Malek, F.; Touzani, R.; Ramdani, A. Synthesis of new tripodal ligand 5-(bis(3,5-dimethyl-1H-pyrazol-1-ylmethyl)amino)pentan-1-ol, catecholase activities studies of three functional tripodal pyrazolyl N-donor ligands, with different copper (II) salts. Catal. Commun. 2008, 9, 966–969. [Google Scholar] [CrossRef]
  19. Bouabdallah, I.; Touzani, R.; Zidane, I.; Ramdani, A. Effect of Two Isomeric Tetrapyrazolyl Ligands on the Catalytic Oxidation of 3,5-ditert-Butylcatechol. J. Iran. Chem. Soc. 2007, 3, 299–303. [Google Scholar] [CrossRef]
  20. Yan, W.; Wang, L.; Qi, H.; Zhan, G.; Fang, P.; Liu, Z.; Bian, Z. Highly Efficient Heteroleptic Cerium (III) Complexes with a Substituted Pyrazole Ancillary Ligand and Their Application in Blue Organic Light-Emitting Diodes. J. Inorg. Chem. 2021, 60, 18103–18111. [Google Scholar] [CrossRef]
  21. Harit, T.; Malek, F. New polymeric membrane incorporating a tetrapyrazolic macrocycle for the selective transport of cesium cation. Sep. Purif. Technol. 2017, 176, 8–14. [Google Scholar] [CrossRef]
  22. Harit, T.; Malek, F.; El Bali, B.; Dusek, M.; Kucerakova, M. Synthesis and characterization of two new tetrapyrazolic macrocycles for the selective extraction of cesium cation. Tetrahedron 2016, 72, 3966–3973. [Google Scholar] [CrossRef]
  23. Harit, T.; Ameduri, B.; Malek, F. Synthesis and characterization of new fluorinated copolymers based on azole groups for fuel cell membranes. Solid State Ion. 2018, 317, 108–114. [Google Scholar] [CrossRef]
  24. Harit, T.; Malek, F.; Ameduri, B. Fluorinated polymers based on pyrazole groups for fuel cell membranes. Eur. Polym. J. 2016, 79, 72–81. [Google Scholar] [CrossRef]
  25. Kumar, V.; Kaur, K.; Gupta, G.K.; Sharma, A.K. Pyrazole containing natural products: Synthetic preview and biological significance. Eur. J. Med. Chem. 2013, 69, 735–753. [Google Scholar] [CrossRef]
  26. Elguero, J.; Katritzky, A.R.; Denisko, O.V. Prototropic tautomerism of heterocycles: Heteroaromatic tautomerism-General overview and methodology. Adv. Heterocycl. Chem. 2000, 76, 1–84. [Google Scholar]
  27. Li, G.; Cheng, Y.; Han, C.; Song, C.; Huang, N.; Du, Y. Pyrazole-containing pharmaceuticals: Target, pharmacological activity, and their SAR studies. RSC Med. Chem. 2022, 13, 1300–1321. [Google Scholar] [CrossRef] [PubMed]
  28. Katritzky, A.R.; Jug, K.; Oniciu, D.C. Quantitative Measures of Aromaticity for Mono-, Bi-, and Tricyclic Penta- and Hexaatomic Heteroaromatic Ring Systems and Their Interrelationships. Chem. Rev. 2001, 101, 1421–1450. [Google Scholar] [CrossRef]
  29. Dhiman, N.; Kaur, K.; Jaitak, V. Tetrazoles as anticancer agents: A review on synthetic strategies, mechanism of action and SAR studies. Bioorg Med. Chem. 2020, 28, 115599. [Google Scholar] [CrossRef]
  30. Pandey, S.; Agarwal, P.; Srivastava, K.; Rajakumar, S.; Puri, S.K.; Verma, P.; Saxena, J.K.; Sharma, A.; Lal, J.; Chauhan, P.M. Synthesis and bioevaluation of novel 4-aminoquinoline-tetrazole derivatives as potent antimalarial agents. Eur. J. Med. Chem. 2013, 66, 69–81. [Google Scholar] [CrossRef]
  31. Gao, C.; Chang, L.; Xu, Z.; Yan, X.F.; Ding, C.; Zhao, F.; Wu, X.; Feng, L.S. Recent advances of tetrazole derivatives as potential anti-tubercular and anti-malarial agents. Eur. J. Med. Chem. 2019, 163, 404–412. [Google Scholar] [CrossRef]
  32. Wang, S.Q.; Wang, Y.F.; Xu, Z. Tetrazole hybrids and their antifungal activities. Eur. J. Med. Chem. 2019, 170, 225–234. [Google Scholar] [CrossRef]
  33. He, X.Y.; Zou, P.; Qiu, J.; Hou, L.; Jiang, S.; Liu, S.; Xie, L. Design, synthesis and biological evaluation of 3-substituted 2,5-dimethyl-N-(3-(1H-tetrazol-5-yl)phenyl)pyrroles as novel potential HIV-1 gp41 inhibitors. Bioorg Med. Chem. 2011, 19, 6726–6734. [Google Scholar] [CrossRef] [PubMed]
  34. Gao, F.; Xiao, J.; Huang, G. Current scenario of tetrazole hybrids for antibacterial activity. Eur. J. Med. Chem. 2019, 184, 111744. [Google Scholar] [CrossRef] [PubMed]
  35. Kang, X.-M.; Tang, M.-H.; Yang, G.-L.; Zhao, B. Cluster/cage-based coordination polymers with tetrazole derivatives. Coord. Chem. Rev. 2020, 422, 213424. [Google Scholar] [CrossRef]
  36. Li, Y.T.; Yao, W.Q.; Zhou, S.; Xu, J.X.; Lu, H.; Lin, J.; Hu, X.Y.; Zhang, S.K. Synthesis, fungicidal activity, and 3D-QSAR of tetrazole derivatives containing phenyloxadiazole moieties. Bioorg Med. Chem. Lett. 2021, 34, 127762. [Google Scholar] [CrossRef]
  37. Soylak, M.; Topalak, Z. Enrichment-separation and determinations of cadmium(II) and lead(II)-1-phenyl-1H-tetrazole-5-thiol chelates on Diaion SP-207 by solid phase extraction-flame atomic absorption spectrometry. Arab. J. Chem. 2015, 8, 720–725. [Google Scholar] [CrossRef]
  38. Wang, J.; Deng, S.Q.; Zhao, T.T.; Zheng, S.R.; Cai, S.L.; Fan, J.; Zhang, W.G. A Mn(II)-MOF with inherent missing metal-ion defects based on an imidazole-tetrazole tripodal ligand and its application in supercapacitors. Dalton Trans. 2020, 49, 12150–12155. [Google Scholar] [CrossRef]
  39. Nasrollahzadeh, M.; Nezafat, Z.; Bidgoli, N.S.S.; Shafiei, N. Use of tetrazoles in catalysis and energetic applications: Recent developments. Mol. Catal. 2021, 513, 111788. [Google Scholar] [CrossRef]
  40. Krishnan, N.N.; Duong, N.M.H.; Konovalova, A.; Jang, J.H.; Park, H.S.; Kim, H.J.; Roznowska, A.; Michalak, A.; Henkensmeier, D. Polybenzimidazole / tetrazole-modified poly(arylene ether) blend membranes for high temperature proton exchange membrane fuel cells. J. Membr. Sci. 2020, 614, 118494. [Google Scholar] [CrossRef]
  41. Ostrovskii, V.A.; Koldobskii, G.; Trifonov, R.E. Tetrazoles. In Comprehensive Heterocyclic Chemistry III; Elsevier Science: Amsterdam, The Netherlands, 2008; pp. 257–423. [Google Scholar]
  42. Trifonov, R.E.; Ostrovskii, V.A. Protolytic equilibria in tetrazoles. Russ. J. Org. Chem. 2006, 42, 1585–1605. [Google Scholar] [CrossRef]
  43. Yi, K.Y.; Yoo, S.E. Synthesis of 5-aryl and vinyl tetrazoles by the palladium-catalyzed cross-coupling reaction. Tetrahedron Lett. 1995, 36, 1679–1682. [Google Scholar] [CrossRef]
  44. Koldobskii, G.I.; Kharbash, R.B. 2-Substituted and 2,5-Disubstituted Tetrazoles. Russ. J. Org. Chem. 2003, 39, 453–470. [Google Scholar] [CrossRef]
  45. Faria, J.V.; Santos, M.S.D.; Bernardino, A.M.; Becker, K.M.; Machado, G.M.; Rodrigues, R.F.; Canto-Cavalheiro, M.M.; Leon, L.L. Synthesis and activity of novel tetrazole compounds and their pyrazole-4-carbonitrile precursors against Leishmania spp. Bioorg. Med. Chem. Lett. 2013, 23, 6310–6312. [Google Scholar] [CrossRef] [PubMed]
  46. Faioes, V.D.S.; Leon, L.L.; Canto-Cavalheiro, M.M.; Torres-Santos, E.C.; Bernardino, A.M.; Vegi, P.F.; Santos, M.S.D. Effectiveness of novel 5-(5-amino-1-aryl-1H-pyrazol-4-yl)-1H-tetrazole derivatives against promastigotes and amastigotes of Leishmania amazonensis. Chem. Biol. Drug Des. 2014, 83, 272–277. [Google Scholar] [CrossRef]
  47. De Oliveira, C.H.A.; Mairink, L.M.; Pazini, F.; Lião, L.M.; De Oliveira, A.L.; Viegas, C.; De Oliveira, V.; Cunha, L.C.; Oliveira, F.G.F.; Paz, J.L.; et al. Chemoselective and Regiospecific Formylation of 1-Phenyl-1H-pyrazoles Through the Duff Reaction. Synth. Commun. 2013, 43, 1633–1639. [Google Scholar] [CrossRef]
  48. Martins, D.R.; Pazini, F.; De Medeiros Alves, V.; De Moura, S.S.; Lião, L.M.; De Magalhães, M.T.Q.; Valadares, M.C.; Andrade, C.H.; Menegatti, R.; Rocha, M.L. Synthesis, docking studies, pharmacological activity and toxicity of a novel Pyrazole derivative (LQFM 021)—Possible effects on phosphodiesterase. Chem. Pharm. Bull. 2013, 61, 524–531. [Google Scholar] [CrossRef] [PubMed]
  49. De Oliveira, L.P.; Da Silva, D.P.; Florentino, I.F.; Fajemiroye, J.O.; De Oliveira, T.S.; Marcelino, R.I.; Pazini, F.; Liao, L.M.; Ghedini, P.C.; De Moura, S.S.; et al. New pyrazole derivative 5-[1-(4-fluorophenyl)-1H-pyrazol-4-yl]-2H-tetrazole: Synthesis and assessment of some biological activities. Chem. Biol. Drug Des. 2017, 89, 124–135. [Google Scholar] [CrossRef]
  50. Florentino, I.F.; Galdino, P.M.; De Oliveira, L.P.; Silva, D.P.; Pazini, F.; Vanderlinde, F.A.; Liao, L.M.; Menegatti, R.; Costa, E.A. Involvement of the NO/cGMP/KATP pathway in the antinociceptive effect of the new pyrazole 5-(1-(3-fluorophenyl)-1H-pyrazol-4-yl)-2H-tetrazole (LQFM-021). Nitric Oxide 2015, 47, 17–24. [Google Scholar] [CrossRef]
  51. Ravula, P.; Vamaraju, H.B.; Paturi, M.; Jn, N.S.C.; Kolli, S. Design, synthesis, in silico toxicity prediction, molecular docking, and evaluation of novel pyrazole derivatives as potential antiproliferative agents. EXCLI J. 2016, 15, 187–202. [Google Scholar]
  52. Mason, D.T.; Foerster, J.M. Side Effects and Intoxication of Cardiac Glycosides: Manifestations and Treatment. In Cardiac Glycosides Handbook of Experimental Pharmacology; Springer: Berlin/Heidelberg, Germany; New York, NY, USA, 1981; pp. 275–297. [Google Scholar]
  53. Hauptman, P.J.; Kelly, R.A. Digitalis. Circulation 1999, 99, 1265–1270. [Google Scholar] [CrossRef]
  54. Duan, L.M.; Yu, H.Y.; Li, Y.L.; Jia, C.J. Design and discovery of 2-(4-(1H-tetrazol-5-yl)-1H-pyrazol-1-yl)-4-(4-phenyl)thiazole derivatives as cardiotonic agents via inhibition of PDE3. Bioorg Med. Chem. 2015, 23, 6111–6117. [Google Scholar] [CrossRef]
  55. Kaushik, N.; Kumar, N.; Kumar, A. Synthesis, Antioxidant and Antidiabetic Activity of 1-[(5-Substituted phenyl)-4,5-dihydro-1H-pyrazol-3-yl]-5-phenyl-1H-tetrazole. Indian J. Pharm. Sci. 2016, 78, 352–359. [Google Scholar] [CrossRef]
  56. Mao, Z.W.; Li, Q.L.; Wang, P.; Sun, Y.L.; Liu, Y. Design and Development of Novel 4-(4-(1H-Tetrazol-5-yl)-1H-pyrazol-1-yl)-6-morpholino-N-(4-nitrophenyl)-1,3,5-triazin-2-amine as Cardiotonic Agent via Inhibition of PDE3. Arch Pharm 2016, 349, 268–276. [Google Scholar] [CrossRef] [PubMed]
  57. Kumbar, M.N.; Sannaikar, M.S.; Shaikh, S.K.J.; Kamble, A.A.; Wari, M.N.; Inamdar, S.R.; Qiao, Q.; Revanna, B.N.; Madegowda, M.; Dasappa, J.P.; et al. Synthesis, Photophysical and Computational Study of Novel Coumarin-based Organic Dyes. Photochem. Photobiol. 2018, 94, 261–276. [Google Scholar] [CrossRef] [PubMed]
  58. Kattimani, P.P.; Somagond, S.M.; Bayannavar, P.K.; Kamble, R.R.; Bijjaragi, S.C.; Hunnur, R.K.; Joshi, S.D. Novel 5-(1-aryl-1H-pyrazol-3-yl)-1H-tetrazoles as glycogen phosphorylase inhibitors: An in vivo antihyperglycemic activity study. Drug Dev. Res. 2019, 81, 70–84. [Google Scholar] [CrossRef]
  59. Kushwaha, P.; Fatima, S.; Upadhyay, A.; Gupta, S.; Bhagwati, S.; Baghel, T.; Siddiqi, M.I.; Nazir, A.; Sashidhara, K.V. Synthesis, biological evaluation and molecular dynamic simulations of novel Benzofuran-tetrazole derivatives as potential agents against Alzheimer’s disease. Bioorg Med. Chem. Lett. 2019, 29, 66–72. [Google Scholar] [CrossRef]
  60. Kumbar, M.N.; Kamble, R.R.; Dasappa, J.P.; Bayannavar, P.K.; Khamees, H.A.; Mahendra, M.; Joshi, S.D.; Dodamani, S.; Rasal, V.P.; Jalalpure, S. 5-(1-Aryl-3-(thiophen-2-yl)-1H-pyrazol-4-yl)-1H-tetrazoles: Synthesis, structural characterization, Hirshfeld analysis, anti-inflammatory and anti-bacterial studies. J. Mol. Struct. 2018, 1160, 63–72. [Google Scholar] [CrossRef]
  61. Lempert, D.; Kazakov, A.; Soglasnova, S.; Dalinger, I.; Sheremetev, A.B. Energetic abilities of nitro derivatives of isomeric (pyrazol-3-yl)tetrazoles as components of solid composite propellants. Russ. Chem. Bull. 2018, 67, 1580–1588. [Google Scholar] [CrossRef]
  62. Dhevaraj, J.; Gopalakrishnan, M.; Pazhamalai, S. Synthesis, characterization, molecular docking, ADME and biological evaluation of 3-(4-(tetrazol-1-yl)phenyl)-5-phenyl-1H-pyrazoles. J. Mol. Struct. 2019, 1193, 450–467. [Google Scholar] [CrossRef]
  63. Ashok, D.; Nagaraju, N.; Lakshmi, B.V.; Sarasija, M. Microwave Assisted Synthesis of 5-[4-(3-Phenyl-4,5-dihydro-1H-pyrazol-5-yl)phenyl]-1H-tetrazole Derivatives and Their Antimicrobial Activity. Russ. J. Gen. Chem. 2019, 89, 1905–1910. [Google Scholar] [CrossRef]
  64. Dofe, V.S.; Sarkate, A.P.; Shaikh, Z.M.; Gill, C.H. Ultrasound-assisted synthesis and antimicrobial activity of tetrazole-based pyrazole and pyrimidine derivatives. Heterocycl. Commun. 2018, 24, 59–65. [Google Scholar] [CrossRef]
  65. Elmonaem, H.S.A.; Abdel-Aziz, N.I.; El-Ashmawy, M.B.; Morsy, M.A.; Moustafa, M.A. Synthesis, In Vitro Antiproliferative Evaluation and Molecular Docking of New tetrazole-chalcone and tetrazole-pyrazoline Hybrids. J. Appl. Pharm. Sci. 2018, 8, 75–87. [Google Scholar]
  66. Nesterova, O.M.; Zarubina, O.S.; Tolstyakov, V.V.; Danagulyan, G.; Trifonov, R.; Smirnov, S.; Slepukhin, P.; Ignatenko, N.K.; Ostrovskii, V. Synthesis and structure of N-(4,6-dimethylpyrimidin-2-yl)-2-(5-phenyl-2H-tetrazol-2-yl)acetohydrazide and 1-(4,6-dimethylpyrimidin-2-yl)-3-[(5-phenyl-2H-tetrazol-2-yl)methyl]-1H-pyrazol-5-ol. Russ. J. Org. Chem. 2017, 53, 1766–1768. [Google Scholar] [CrossRef]
  67. Vatsadze, I.A.; Serushkina, O.V.; Dutov, M.D.; Shkineva, T.K.; Suponitsky, K.Y.; Ugrak, B.I.; Dalinger, I.L. Synthesis of 1-(N-nitropyrazolyl)-1H-tetrazoles—A new type of heteronuclear N-nitropyrazole derivatives. Chem. Heterocycl. Compd. 2015, 51, 695–703. [Google Scholar] [CrossRef]
  68. Kumar, D.; Imler, G.H.; Parrish, D.A.; Shreeve, J.M. N-Acetonitrile Functionalized Nitropyrazoles: Precursors to Insensitive Asymmetric N-Methylene-C Linked Azoles. Chemistry 2017, 23, 7876–7881. [Google Scholar] [CrossRef] [PubMed]
  69. Kumar, D.; He, C.; Mitchell, L.A.; Parrish, D.A.; Shreeve, J.N.M. Connecting energetic nitropyrazole and aminotetrazole moieties with N,N′-ethylene bridges: A promising approach for fine tuning energetic properties. J. Mater. Chem. A 2016, 4, 9220–9228. [Google Scholar] [CrossRef]
  70. Kumar, D.; Mitchell, L.A.; Parrish, D.A.; Shreeve, J.N.M. Asymmetric N,N′-ethylene-bridged azole-based compounds: Two way control of the energetic properties of compounds. J. Mater. Chem. A 2016, 4, 9931–9940. [Google Scholar] [CrossRef]
  71. Kumar, D.; Imler, G.H.; Parrish, D.A.; Shreeve, J.N.M. Resolving synthetic challenges faced in the syntheses of asymmetric N,N′-ethylene-bridged energetic compounds. New J. Chem. 2017, 41, 4040–4047. [Google Scholar] [CrossRef]
  72. Kazakov, A.I.; Kurochkina, L.S.; Nabatova, A.V.; Lempert, D.B.; Dalinger, I.L.; Kormanov, A.V.; Serushkina, O.V.; Sheremetev, A.B. Pyrazolyltetrazoles—A High-Enthalpy Backbone for Designing High-Energy Compounds: An Experimental Study of the Enthalpy of Formation. Dokl. Phys. Chem. 2018, 478, 15–18. [Google Scholar] [CrossRef]
  73. Zheng, Y.; Zhao, X.; Qi, X.; Wang, K.; Liu, T. Synthesis of 5-(1H-pyrazol-1-yl)-2H-tetrazole-derived energetic salts with high thermal stability and low sensitivity. Energ. Mater. Front. 2020, 1, 83–89. [Google Scholar] [CrossRef]
  74. Cherfi, M.; Dib, I.; Harit, T.; Ziyyat, A.; Malek, F. Synthesis and characterization of new pyrazole-tetrazole derivatives as new vasorelaxant agents. Drug Dev. Res. 2021, 82, 1055–1062. [Google Scholar] [CrossRef]
  75. Harit, T.; Cherfi, M.; Daoudi, N.E.; Isaad, J.; Bnouham, M.; Malek, F. Hybrid Pyrazole-Tetrazole Derivatives with High α-Amylase Inhibition Activity: Synthesis, Biological Evaluation and Docking Study. ChemistrySelect 2022, 7, e202203757. [Google Scholar] [CrossRef]
  76. Oulous, A.; Daoudi, N.E.; Harit, T.; Cherfi, M.; Bnouham, M.; Malek, F. New pyrazole-tetrazole hybrid compounds as potent alpha-amylase and non-enzymatic glycation inhibitors. Bioorg Med. Chem. Lett. 2022, 69, 128785–128789. [Google Scholar] [CrossRef] [PubMed]
  77. Cherfi, M.; Harit, T.; Dib, I.; Yahyaoui, M.I.; Asehraou, A.; Yahyi, A.; Ziyyat, A.; Malek, F. Pyrazole-tetrazole hybrid compounds: Synthesis, characterization and their biological activities. Chem. Data Collect. 2023, 45, 101026. [Google Scholar] [CrossRef]
  78. Yin, P.; Zhang, J.; Parrish, D.A.; Shreeve, J.M. Energetic N,N′-ethylene-bridged bis(nitropyrazoles): Diversified functionalities and properties. Chemistry 2014, 20, 16529–16536. [Google Scholar] [CrossRef] [PubMed]
  79. Joo, Y.H.; Shreeve, J.M. Energetic mono-, di-, and trisubstituted nitroiminotetrazoles. Angew. Chem. Int. Ed. Engl. 2009, 48, 564–567. [Google Scholar] [CrossRef]
  80. Klapötke, T.M.; Sproll, S.M. Alkyl-Bridged Bis-5-azidotetrazoles: A Safe Way of Preparation. Eur. J. Org. Chem. 2009, 2009, 4284–4289. [Google Scholar] [CrossRef]
Figure 1. Biologically active synthetic products containing a pyrazole unit.
Figure 1. Biologically active synthetic products containing a pyrazole unit.
Organics 05 00030 g001
Figure 2. Examples of pyrazole products of natural origin.
Figure 2. Examples of pyrazole products of natural origin.
Organics 05 00030 g002
Scheme 1. Tautomeric equilibrium of pyrazole.
Scheme 1. Tautomeric equilibrium of pyrazole.
Organics 05 00030 sch001
Figure 3. Bond lengths and angle degrees of the pyrazole ring.
Figure 3. Bond lengths and angle degrees of the pyrazole ring.
Organics 05 00030 g003
Figure 4. Electron density of pyrazole.
Figure 4. Electron density of pyrazole.
Organics 05 00030 g004
Figure 5. Marketed products containing tetrazole.
Figure 5. Marketed products containing tetrazole.
Organics 05 00030 g005
Scheme 2. Tautomeric forms of 5-substituted tetrazole.
Scheme 2. Tautomeric forms of 5-substituted tetrazole.
Organics 05 00030 sch002
Figure 6. Bond lengths and angle degrees of the tetrazole ring.
Figure 6. Bond lengths and angle degrees of the tetrazole ring.
Organics 05 00030 g006
Scheme 3. Tetrazole ionization.
Scheme 3. Tetrazole ionization.
Organics 05 00030 sch003
Scheme 4. C5-alkylation of tetrazole.
Scheme 4. C5-alkylation of tetrazole.
Organics 05 00030 sch004
Scheme 5. Alkylation of the tetrazolate anion.
Scheme 5. Alkylation of the tetrazolate anion.
Organics 05 00030 sch005
Scheme 6. Synthesis pathway of compounds 112.
Scheme 6. Synthesis pathway of compounds 112.
Organics 05 00030 sch006
Figure 7. General structure of some pyrazole-tetrazol compounds with Carbon−Carbon junction.
Figure 7. General structure of some pyrazole-tetrazol compounds with Carbon−Carbon junction.
Organics 05 00030 g007
Scheme 7. Synthesis pathway of compounds 25 and 26.
Scheme 7. Synthesis pathway of compounds 25 and 26.
Organics 05 00030 sch007
Scheme 8. Synthesis pathway of compounds 3440.
Scheme 8. Synthesis pathway of compounds 3440.
Organics 05 00030 sch008
Scheme 9. Synthesis pathway of compounds 4054.
Scheme 9. Synthesis pathway of compounds 4054.
Organics 05 00030 sch009
Scheme 10. Synthesis pathway of compounds 5564.
Scheme 10. Synthesis pathway of compounds 5564.
Organics 05 00030 sch010
Scheme 11. Synthesis pathway of compounds 6579.
Scheme 11. Synthesis pathway of compounds 6579.
Organics 05 00030 sch011
Scheme 12. Synthesis pathway of compounds 8083.
Scheme 12. Synthesis pathway of compounds 8083.
Organics 05 00030 sch012
Scheme 13. Synthesis pathway of compounds 8495.
Scheme 13. Synthesis pathway of compounds 8495.
Organics 05 00030 sch013
Scheme 14. Synthesis pathway of compounds 96104.
Scheme 14. Synthesis pathway of compounds 96104.
Organics 05 00030 sch014
Scheme 15. Synthesis pathway of compounds 105116.
Scheme 15. Synthesis pathway of compounds 105116.
Organics 05 00030 sch015
Figure 8. Structure of compounds 117119.
Figure 8. Structure of compounds 117119.
Organics 05 00030 g008
Scheme 16. Synthesis pathway of compounds 120135.
Scheme 16. Synthesis pathway of compounds 120135.
Organics 05 00030 sch016
Figure 9. Synthesis pathway of compounds 136144.
Figure 9. Synthesis pathway of compounds 136144.
Organics 05 00030 g009
Scheme 17. Synthesis pathway of compounds 145150.
Scheme 17. Synthesis pathway of compounds 145150.
Organics 05 00030 sch017
Scheme 18. Synthesis pathway of compound 151.
Scheme 18. Synthesis pathway of compound 151.
Organics 05 00030 sch018
Scheme 19. Synthesis pathway of compounds 152.
Scheme 19. Synthesis pathway of compounds 152.
Organics 05 00030 sch019
Figure 10. Structure of compound 153.
Figure 10. Structure of compound 153.
Organics 05 00030 g010
Figure 11. Synthesis pathways of compounds 154157 and 158161.
Figure 11. Synthesis pathways of compounds 154157 and 158161.
Organics 05 00030 g011
Scheme 20. Synthesis pathway of compounds 162 and 163.
Scheme 20. Synthesis pathway of compounds 162 and 163.
Organics 05 00030 sch020
Figure 12. Structures of pyrazole−tetrazole hybrid compounds with C-N junction.
Figure 12. Structures of pyrazole−tetrazole hybrid compounds with C-N junction.
Organics 05 00030 g012
Scheme 21. Synthesis pathway of compounds 170172.
Scheme 21. Synthesis pathway of compounds 170172.
Organics 05 00030 sch021
Scheme 22. Synthesis pathway of compounds 174177.
Scheme 22. Synthesis pathway of compounds 174177.
Organics 05 00030 sch022
Scheme 23. Synthesis pathway of compounds 177182.
Scheme 23. Synthesis pathway of compounds 177182.
Organics 05 00030 sch023
Scheme 24. Synthesis pathway of compounds 183190.
Scheme 24. Synthesis pathway of compounds 183190.
Organics 05 00030 sch024
Scheme 25. Synthesis pathway of compounds 191194..
Scheme 25. Synthesis pathway of compounds 191194..
Organics 05 00030 sch025
Scheme 26. Synthesis pathway of compounds 195198.
Scheme 26. Synthesis pathway of compounds 195198.
Organics 05 00030 sch026
Figure 13. Structure of compounds 199205.
Figure 13. Structure of compounds 199205.
Organics 05 00030 g013
Disclaimer/Publisher’s Note: The statements, opinions and data contained in all publications are solely those of the individual author(s) and contributor(s) and not of MDPI and/or the editor(s). MDPI and/or the editor(s) disclaim responsibility for any injury to people or property resulting from any ideas, methods, instructions or products referred to in the content.

Share and Cite

MDPI and ACS Style

Cherfi, M.; Harit, T.; Amanchar, M.; Oulous, A.; Malek, F. An Overview of Pyrazole-Tetrazole-Based Hybrid Compounds: Synthesis Methods, Biological Activities and Energetic Properties. Organics 2024, 5, 575-597. https://doi.org/10.3390/org5040030

AMA Style

Cherfi M, Harit T, Amanchar M, Oulous A, Malek F. An Overview of Pyrazole-Tetrazole-Based Hybrid Compounds: Synthesis Methods, Biological Activities and Energetic Properties. Organics. 2024; 5(4):575-597. https://doi.org/10.3390/org5040030

Chicago/Turabian Style

Cherfi, Mounir, Tarik Harit, Malika Amanchar, Ahlam Oulous, and Fouad Malek. 2024. "An Overview of Pyrazole-Tetrazole-Based Hybrid Compounds: Synthesis Methods, Biological Activities and Energetic Properties" Organics 5, no. 4: 575-597. https://doi.org/10.3390/org5040030

APA Style

Cherfi, M., Harit, T., Amanchar, M., Oulous, A., & Malek, F. (2024). An Overview of Pyrazole-Tetrazole-Based Hybrid Compounds: Synthesis Methods, Biological Activities and Energetic Properties. Organics, 5(4), 575-597. https://doi.org/10.3390/org5040030

Article Metrics

Back to TopTop