Direct Air Capture (DAC) for Achieving Net-Zero CO2 Emissions: Advances, Applications, and Challenges
Abstract
1. Introduction
2. Data Collection and Methodology
3. Basic Principle of DAC
4. Liquid DAC (L-DAC)
4.1. Fundamental Principle of L-DAC
4.2. Advantages and Disadvantages of L-DAC
4.3. Technological Advancements of L-DAC
4.3.1. Advances in L-DAC Utilizing Alkaline Solutions
4.3.2. Advances in L-DAC Utilizing Other Liquid Solvents
5. Solid DAC (S-DAC)
5.1. Fundamental Principle of S-DAC
5.2. Advantages and Disadvantages of S-DAC
5.3. Technological Advancements of S-DAC
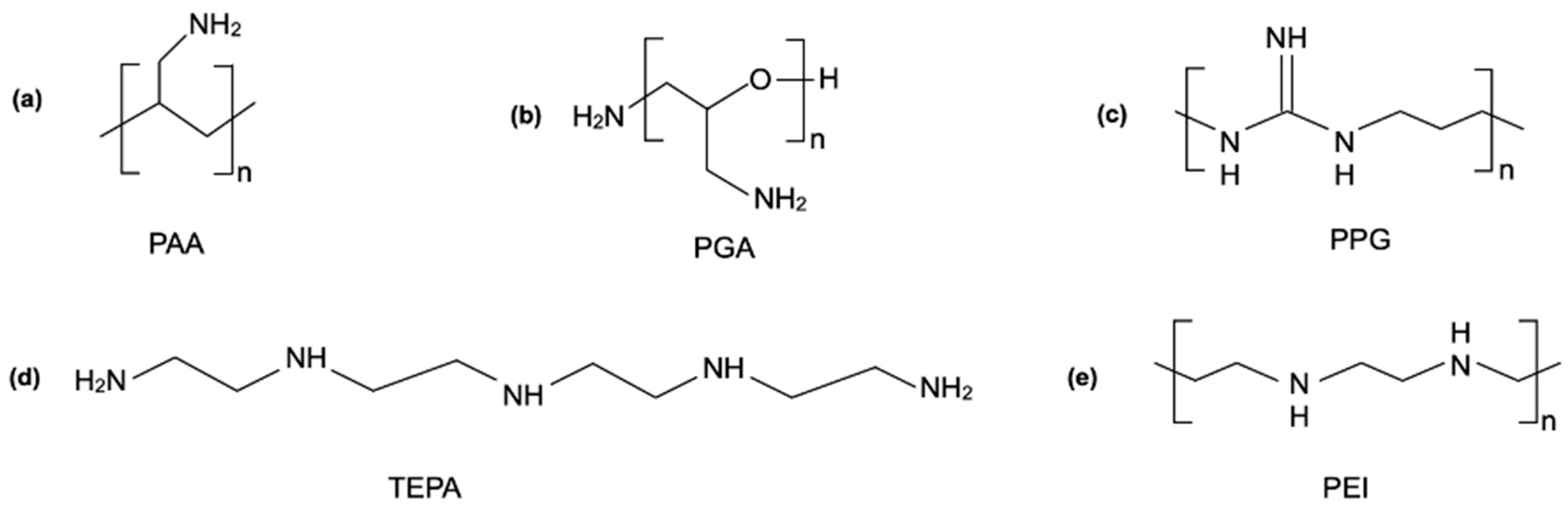
5.3.1. Advances in Amine-Based Sorbents
5.3.2. Advances in Porous Material Sorbents
6. Emerging DAC Technologies
6.1. Electro-Swing Adsorption (ESA)
6.2. Moisture-Swing Adsorption (MSA)
6.3. Membrane-Based Separation (m-DAC)
7. Comparison of DAC Technologies
8. Practical Applications of DAC
9. Challenges and Future Directions
10. Conclusions
Author Contributions
Funding
Institutional Review Board Statement
Informed Consent Statement
Data Availability Statement
Acknowledgments
Conflicts of Interest
References
- Baker, H.S.; Millar, R.J.; Karoly, D.J.; Beyerle, U.; Guillod, B.P.; Mitchell, D.; Shiogama, H.; Sparrow, S.; Woollings, T.; Allen, M.R. Higher CO2 Concentrations Increase Extreme Event Risk in a 1.5 °C World. Nat. Clim. Change 2018, 8, 604–608. [Google Scholar] [CrossRef]
- Yao, J.; Han, H.; Yang, Y.; Song, Y.; Li, G. A Review of Recent Progress of Carbon Capture, Utilization, and Storage (CCUS) in China. Appl. Sci. 2023, 13, 1169. [Google Scholar] [CrossRef]
- Storrs, K.; Lyhne, I.; Drustrup, R. A Comprehensive Framework for Feasibility of CCUS Deployment: A Meta-Review of Literature on Factors Impacting CCUS Deployment. Int. J. Greenh. Gas Control 2023, 125, 103878. [Google Scholar] [CrossRef]
- Han, J.; Li, J.; Tang, X.; Wang, L.; Yang, X.; Ge, Z.; Yuan, F. Coal-Fired Power Plant CCUS Project Comprehensive Benefit Evaluation and Forecasting Model Study. J. Clean. Prod. 2023, 385, 135657. [Google Scholar] [CrossRef]
- Ritchie, H. Sector by Sector: Where Do Global Greenhouse Gas Emissions Come From? OurWorldInData.org. Available online: https://ourworldindata.org/ghg-emissions-by-sector (accessed on 18 September 2020).
- Bai, X.; Yan, G.; Kong, S.; Yao, J.; Wen, P.; Li, G.; Li, J.; Zhang, J. Suppression of Anthracite Dust by a Composite of Oppositely-Charged Ionic Surfactants with Ultra-High Surface Activity: Theoretical Calculation and Experiments. Fuel 2023, 344, 128075. [Google Scholar] [CrossRef]
- Bai, X.; Yan, G.; Kong, S.; Yang, T.; Yao, J.; Wen, P.; Li, G. Study on the Mechanism of the Influence of Surfactant Alkyl Chain Length on the Wettability of Anthracite Dust Based on EDLVO Theory and Inverse Gas Chromatography. Fuel 2023, 353, 129187. [Google Scholar] [CrossRef]
- Yao, J.; Li, G.; Wu, J. Application of In-Situ Combustion for Heavy Oil Production in China: A Review. J. Oil Gas Petrochem. Sci. 2018, 1, 69–72. [Google Scholar] [CrossRef]
- Yao, J.; Song, Y. Dynamic Analysis Approach to Evaluate In-Situ Combustion Performance for Heavy Oil Production. J. Oil Gas Petrochem. Sci. 2019, 2, 42–47. [Google Scholar] [CrossRef]
- Ivanova, S.; Vesnina, A.; Fotina, N.; Prosekov, A. An Overview of Carbon Footprint of Coal Mining to Curtail Greenhouse Gas Emissions. Sustainability 2022, 14, 15135. [Google Scholar] [CrossRef]
- Yang, B.; Bai, Z.; Zhang, J. Environmental Impact of Mining-Associated Carbon Emissions and Analysis of Cleaner Production Strategies in China. Environ. Sci. Pollut. Res. 2021, 28, 13649–13659. [Google Scholar] [CrossRef]
- Marron, D.B.; Toder, E.J. Tax Policy Issues in Designing a Carbon Tax. Am. Econ. Rev. 2014, 104, 563–568. [Google Scholar] [CrossRef]
- Norouzi, M.; Haddad, A.N.; Jiménez, L.; Hoseinzadeh, S.; Boer, D. Carbon Footprint of Low-Energy Buildings in the United Kingdom: Effects of Mitigating Technological Pathways and Decarbonization Strategies. Sci. Total Environ. 2023, 882, 163490. [Google Scholar] [CrossRef] [PubMed]
- Silaev, V.I.; Klyuev, R.V.; Eremeev, D.V.; Martynova, T.A.; Danilchenko, Y.V. Analysis of the carbon footprint created by mining enterprises. MIAB Min. Inf. Anal. Bull. 2023, 11, 265–277. [Google Scholar] [CrossRef]
- Hickmann, T.; Widerberg, O.; Lederer, M.; Pattberg, P. The United Nations Framework Convention on Climate Change Secretariat as an Orchestrator in Global Climate Policymaking. Int. Rev. Adm. Sci. 2021, 87, 21–38. [Google Scholar] [CrossRef]
- Falkner, R. The Paris Agreement and the New Logic of International Climate Politics. Int. Aff. 2016, 92, 1107–1125. [Google Scholar] [CrossRef]
- Khan, J.; Arsalan, M.H. Solar Power Technologies for Sustainable Electricity Generation—A Review. Renew. Sustain. Energy Rev. 2016, 55, 414–425. [Google Scholar] [CrossRef]
- Hosseini, S.E.; Wahid, M.A. Hydrogen from Solar Energy, a Clean Energy Carrier from a Sustainable Source of Energy. Int. J. Energy Res. 2020, 44, 4110–4131. [Google Scholar] [CrossRef]
- Maka, A.O.M.; Alabid, J.M. Solar Energy Technology and Its Roles in Sustainable Development. Clean Energy 2022, 6, 476–483. [Google Scholar] [CrossRef]
- Li, G.; Yao, J.; Song, Y.; Tang, J.; Han, H.; Cui, X. A Review of the Metallogenic Mechanisms of Sandstone-Type Uranium Deposits in Hydrocarbon-Bearing Basins in China. Eng 2023, 4, 1723–1741. [Google Scholar] [CrossRef]
- Li, G.; Yao, J. A Review of In Situ Leaching (ISL) for Uranium Mining. Mining 2024, 4, 120–148. [Google Scholar] [CrossRef]
- Tavner, P. Wind Power as a Clean-Energy Contributor. Energy Policy 2008, 36, 4397–4400. [Google Scholar] [CrossRef]
- Kaygusuz, K. Wind Power for a Clean and Sustainable Energy Future. Energy Sources Part B Econ. Plan Policy 2009, 4, 122–133. [Google Scholar] [CrossRef]
- Mon, M.T.; Tansuchat, R.; Yamaka, W. CCUS Technology and Carbon Emissions: Evidence from the United States. Energies 2024, 17, 1748. [Google Scholar] [CrossRef]
- Vishal, V.; Chandra, D.; Singh, U.; Verma, Y. Understanding Initial Opportunities and Key Challenges for CCUS Deployment in India at Scale. Resour. Conserv. Recycl. 2021, 175, 105829. [Google Scholar] [CrossRef]
- IEA. Direct Air Capture: A Key Technology for Net Zero; OECD: Paris, France, 2022; ISBN 9789264585874. [Google Scholar]
- Erans, M.; Sanz-Pérez, E.S.; Hanak, D.P.; Clulow, Z.; Reiner, D.M.; Mutch, G.A. Direct Air Capture: Process Technology, Techno-Economic and Socio-Political Challenges. Energy Environ. Sci. 2022, 15, 1360–1405. [Google Scholar] [CrossRef]
- Gao, R.; Zhang, C.; Jun, K.-W.; Kim, S.K.; Park, H.-G.; Zhao, T.; Wang, L.; Wan, H.; Guan, G. Transformation of CO2 into Liquid Fuels and Synthetic Natural Gas Using Green Hydrogen: A Comparative Analysis. Fuel 2021, 291, 120111. [Google Scholar] [CrossRef]
- Kasturi, A.; Gug Jang, G.; Dona-Tella Akin, A.; Jackson, A.; Jun, J.; Stamberga, D.; Custelcean, R.; Sholl, D.S.; Yiacoumi, S.; Tsouris, C. An Effective Air–Liquid Contactor for CO2 Direct Air Capture Using Aqueous Solvents. Sep. Purif. Technol. 2023, 324, 124398. [Google Scholar] [CrossRef]
- Zhu, X.; Xie, W.; Wu, J.; Miao, Y.; Xiang, C.; Chen, C.; Ge, B.; Gan, Z.; Yang, F.; Zhang, M.; et al. Recent Advances in Direct Air Capture by Adsorption. Chem. Soc. Rev. 2022, 51, 6574–6651. [Google Scholar] [CrossRef] [PubMed]
- Custelcean, R. Direct Air Capture of CO2 Using Solvents. Annu. Rev. Chem. Biomol. Eng. 2022, 13, 217–234. [Google Scholar] [CrossRef]
- Castro-Muñoz, R.; Zamidi Ahmad, M.; Malankowska, M.; Coronas, J. A New Relevant Membrane Application: CO2 Direct Air Capture (DAC). Chem. Eng. J. 2022, 446, 137047. [Google Scholar] [CrossRef]
- Fujikawa, S.; Selyanchyn, R.; Kunitake, T. A New Strategy for Membrane-Based Direct Air Capture. Polym. J. 2021, 53, 111–119. [Google Scholar] [CrossRef]
- Lackner, K.S. Capture of Carbon Dioxide from Ambient Air. Eur. Phys. J. Spec. Top. 2009, 176, 93–106. [Google Scholar] [CrossRef]
- Bisotti, F.; Hoff, K.A.; Mathisen, A.; Hovland, J. Direct Air Capture (DAC) Deployment: A Review of the Industrial Deployment. Chem. Eng. Sci. 2024, 283, 119416. [Google Scholar] [CrossRef]
- An, K.; Li, K.; Yang, C.-M.; Brechtl, J.; Nawaz, K. A Comprehensive Review on Regeneration Strategies for Direct Air Capture. J. CO2 Util. 2023, 76, 102587. [Google Scholar] [CrossRef]
- Ozkan, M.; Nayak, S.P.; Ruiz, A.D.; Jiang, W. Current Status and Pillars of Direct Air Capture Technologies. iScience 2022, 25, 103990. [Google Scholar] [CrossRef] [PubMed]
- Chauvy, R.; Dubois, L. Life Cycle and Techno-economic Assessments of Direct Air Capture Processes: An Integrated Review. Int. J. Energy Res. 2022, 46, 10320–10344. [Google Scholar] [CrossRef]
- McQueen, N.; Gomes, K.V.; McCormick, C.; Blumanthal, K.; Pisciotta, M.; Wilcox, J. A Review of Direct Air Capture (DAC): Scaling up Commercial Technologies and Innovating for the Future. Prog. Energy 2021, 3, 032001. [Google Scholar] [CrossRef]
- Li, H.; Dilipkumar, A.; Abubakar, S.; Zhao, D. Covalent Organic Frameworks for CO2 Capture: From Laboratory Curiosity to Industry Implementation. Chem. Soc. Rev. 2023, 52, 6294–6329. [Google Scholar] [CrossRef] [PubMed]
- Keith, D.W.; Holmes, G.; St. Angelo, D.; Heidel, K. A Process for Capturing CO2 from the Atmosphere. Joule 2018, 2, 1573–1594. [Google Scholar] [CrossRef]
- Mostafa, M.; Antonicelli, C.; Varela, C.; Barletta, D.; Zondervan, E. Capturing CO2 from the Atmosphere: Design and Analysis of a Large-Scale DAC Facility. Carbon. Capture Sci. Technol. 2022, 4, 100060. [Google Scholar] [CrossRef]
- Wang, J.; Li, S.; Deng, S.; Zeng, X.; Li, K.; Liu, J.; Yan, J.; Lei, L. Energetic and Life Cycle Assessment of Direct Air Capture: A Review. Sustain. Prod. Consum. 2023, 36, 1–16. [Google Scholar] [CrossRef]
- Elsener, B.; Addari, D.; Coray, S.; Rossi, A. Stainless Steel Reinforcing Bars—Reason for Their High Pitting Corrosion Resistance. Mater. Corros. 2011, 62, 111–119. [Google Scholar] [CrossRef]
- Sequeira, C.A.C.; Cardoso, D.S.P.; Amaral, L.; Šljukić, B.; Santos, D.M.F. On the Performance of Commercially Available Corrosion-Resistant Nickel Alloys: A Review. Corros. Rev. 2016, 34, 187–200. [Google Scholar] [CrossRef]
- Presuel-Moreno, F.; Jakab, M.A.; Tailleart, N.; Goldman, M.; Scully, J.R. Corrosion-Resistant Metallic Coatings. Mater. Today 2008, 11, 14–23. [Google Scholar] [CrossRef]
- Holmes, G.; Keith, D.W. An Air–Liquid Contactor for Large-Scale Capture of CO2 from Air. Philos. Trans. R. Soc. A Math. Phys. Eng. Sci. 2012, 370, 4380–4403. [Google Scholar] [CrossRef]
- Prats-Salvado, E.; Jagtap, N.; Monnerie, N.; Sattler, C. Solar-Powered Direct Air Capture: Techno-Economic and Environmental Assessment. Environ. Sci. Technol. 2024, 58, 2282–2292. [Google Scholar] [CrossRef] [PubMed]
- Nieves-Remacha, M.J.; Kulkarni, A.A.; Jensen, K.F. Gas–Liquid Flow and Mass Transfer in an Advanced-Flow Reactor. Ind. Eng. Chem. Res. 2013, 52, 8996–9010. [Google Scholar] [CrossRef]
- Calautit, J.K.; Hughes, B.R. A Passive Cooling Wind Catcher with Heat Pipe Technology: CFD, Wind Tunnel and Field-Test Analysis. Appl. Energy 2016, 162, 460–471. [Google Scholar] [CrossRef]
- Akinjide, J.; Lee, J.-Y.; Priye, A. Harnessing Wind with a Passive Direct Air Capture (PDAC) System for CO2 Capture: Insights from Computational Fluid Dynamics Modeling. Ind. Eng. Chem. Res. 2023, 62, 18780–18791. [Google Scholar] [CrossRef]
- Faisal Elmobarak, W.; Almomani, F.; Tawalbeh, M.; Al-Othman, A.; Martis, R.; Rasool, K. Current Status of CO2 Capture with Ionic Liquids: Development and Progress. Fuel 2023, 344, 128102. [Google Scholar] [CrossRef]
- Bak, C.; Asif, M.; Kim, W.-S. Experimental Study on CO2 Capture by Chilled Ammonia Process. Chem. Eng. J. 2015, 265, 1–8. [Google Scholar] [CrossRef]
- Chehrazi, M.; Moghadas, B.K. A Review on CO2 Capture with Chilled Ammonia and CO2 Utilization in Urea Plant. J. CO2 Util. 2022, 61, 102030. [Google Scholar] [CrossRef]
- Darde, V.; Thomsen, K.; van Well, W.J.M.; Stenby, E.H. Chilled Ammonia Process for CO2 Capture. Energy Procedia 2009, 1, 1035–1042. [Google Scholar] [CrossRef]
- Perry, R.J. Aminosilicone Systems for Post-Combustion CO2 Capture. In Absorption-Based Post-combustion Capture of Carbon Dioxide; Elsevier: Amsterdam, The Netherlands, 2016; pp. 121–144. [Google Scholar]
- Westendorf, T.; Farnum, R.; Rubinsztajn, G.; Wood, B.; Perry, R.; McDermott, J.; Enick, R.; Tapriyal, D. Measurement of CO2 Diffusivity in Phase-Changing Aminosilicone CO2 Capture Solvent. Energy Fuels 2018, 32, 6901–6909. [Google Scholar] [CrossRef]
- Perry, R.J.; Grocela-Rocha, T.A.; O’Brien, M.J.; Genovese, S.; Wood, B.R.; Lewis, L.N.; Lam, H.; Soloveichik, G.; Rubinsztajn, M.; Kniajanski, S.; et al. Aminosilicone Solvents for CO2 Capture. ChemSusChem 2010, 3, 919–930. [Google Scholar] [CrossRef] [PubMed]
- Soltani, S.M.; Fennell, P.S.; Mac Dowell, N. A Parametric Study of CO2 Capture from Gas-Fired Power Plants Using Monoethanolamine (MEA). Int. J. Greenh. Gas Control 2017, 63, 321–328. [Google Scholar] [CrossRef]
- Li, K.; Leigh, W.; Feron, P.; Yu, H.; Tade, M. Systematic Study of Aqueous Monoethanolamine (MEA)-Based CO2 Capture Process: Techno-Economic Assessment of the MEA Process and Its Improvements. Appl. Energy 2016, 165, 648–659. [Google Scholar] [CrossRef]
- Luis, P. Use of Monoethanolamine (MEA) for CO2 Capture in a Global Scenario: Consequences and Alternatives. Desalination 2016, 380, 93–99. [Google Scholar] [CrossRef]
- Rochelle, G.T. Amine Scrubbing for CO2 Capture. Science 2009, 325, 1652–1654. [Google Scholar] [CrossRef]
- Tamajón, F.J.; Álvarez, E.; Cerdeira, F.; Gómez-Díaz, D. CO2 Absorption into N-Methyldiethanolamine Aqueous-Organic Solvents. Chem. Eng. J. 2016, 283, 1069–1080. [Google Scholar] [CrossRef]
- Khan, S.N.; Hailegiorgis, S.M.; Man, Z.; Shariff, A.M.; Garg, S. Thermophysical Properties of Concentrated Aqueous Solution of N -Methyldiethanolamine (MDEA), Piperazine (PZ), and Ionic Liquids Hybrid Solvent for CO2 Capture. J. Mol. Liq. 2017, 229, 221–229. [Google Scholar] [CrossRef]
- Fu, D.; Zhang, P. Investigation of the Absorption Performance and Viscosity for CO2 Capture Process Using [Bmim][Gly] Promoted MDEA (N-Methyldiethanolamine) Aqueous Solution. Energy 2015, 87, 165–172. [Google Scholar] [CrossRef]
- Zhang, Z.; Yan, Y.; Chen, Y.; Zhang, L. Investigation of CO2 Absorption in Methyldiethanolamine and 2-(1-Piperazinyl)-Ethylamine Using Hollow Fiber Membrane Contactors: Part C. Effect of Operating Variables. J. Nat. Gas. Sci. Eng. 2014, 20, 58–66. [Google Scholar] [CrossRef]
- Brennecke, J.F.; Gurkan, B.E. Ionic Liquids for CO2 Capture and Emission Reduction. J. Phys. Chem. Lett. 2010, 1, 3459–3464. [Google Scholar] [CrossRef]
- Vaidya, P.D.; Kenig, E.Y. CO2—Alkanolamine Reaction Kinetics: A Review of Recent Studies. Chem. Eng. Technol. 2007, 30, 1467–1474. [Google Scholar] [CrossRef]
- Ramdin, M.; de Loos, T.W.; Vlugt, T.J.H. State-of-the-Art of CO2 Capture with Ionic Liquids. Ind. Eng. Chem. Res. 2012, 51, 8149–8177. [Google Scholar] [CrossRef]
- Majeed, H.; Svendsen, H.F. Characterization of Aerosol Emissions from CO2 Capture Plants Treating Various Power Plant and Industrial Flue Gases. Int. J. Greenh. Gas Control 2018, 74, 282–295. [Google Scholar] [CrossRef]
- Yi, N.; Fang, M.; Di, W.; Xia, Z.; Wang, T.; Wang, Q. Aerosol Emissions of Amine-Based CO2 Absorption System: Effects of Condensation Nuclei and Operating Conditions. Environ. Sci. Technol. 2021, 55, 5152–5160. [Google Scholar] [CrossRef] [PubMed]
- Yu, X.; Wu, H.; Li, W.; Zhang, Q.; Yang, H. Formation Mechanisms and Emission Characteristics of Aerosol in CO2 Capture by Chemical Absorption Based on Ethanolamine Solution. Energy Fuels 2024, 38, 6230–6237. [Google Scholar] [CrossRef]
- Mazari, S.A.; Alaba, P.; Saeed, I.M. Formation and Elimination of Nitrosamines and Nitramines in Freshwaters Involved in Post-Combustion Carbon Capture Process. J. Environ. Chem. Eng. 2019, 7, 103111. [Google Scholar] [CrossRef]
- Yu, K.; Mitch, W.A.; Dai, N. Nitrosamines and Nitramines in Amine-Based Carbon Dioxide Capture Systems: Fundamentals, Engineering Implications, and Knowledge Gaps. Environ. Sci. Technol. 2017, 51, 11522–11536. [Google Scholar] [CrossRef]
- Chen, X.; Huang, G.; An, C.; Yao, Y.; Zhao, S. Emerging N-Nitrosamines and N-Nitramines from Amine-Based Post-Combustion CO2 Capture—A Review. Chem. Eng. J. 2018, 335, 921–935. [Google Scholar] [CrossRef]
- Corvo, M.C.; Sardinha, J.; Casimiro, T.; Marin, G.; Seferin, M.; Einloft, S.; Menezes, S.C.; Dupont, J.; Cabrita, E.J. A Rational Approach to CO2 Capture by Imidazolium Ionic Liquids: Tuning CO2 Solubility by Cation Alkyl Branching. ChemSusChem 2015, 8, 1935–1946. [Google Scholar] [CrossRef]
- Palomar, J.; Gonzalez-Miquel, M.; Polo, A.; Rodriguez, F. Understanding the Physical Absorption of CO2 in Ionic Liquids Using the COSMO-RS Method. Ind. Eng. Chem. Res. 2011, 50, 3452–3463. [Google Scholar] [CrossRef]
- Kazarian, S.G.; Briscoe, B.J.; Welton, T. Combining Ionic Liquids and Supercritical Fluids: In Situ ATR-IR Study of CO2 Dissolved in Two Ionic Liquids at High Pressures. Chem. Commun. 2000, 20, 2047–2048. [Google Scholar] [CrossRef]
- Cadena, C.; Anthony, J.L.; Shah, J.K.; Morrow, T.I.; Brennecke, J.F.; Maginn, E.J. Why Is CO2 So Soluble in Imidazolium-Based Ionic Liquids? J. Am. Chem. Soc. 2004, 126, 5300–5308. [Google Scholar] [CrossRef]
- Anthony, J.L.; Anderson, J.L.; Maginn, E.J.; Brennecke, J.F. Anion Effects on Gas Solubility in Ionic Liquids. J. Phys. Chem. B 2005, 109, 6366–6374. [Google Scholar] [CrossRef] [PubMed]
- Aki, S.N.; Mellein, B.R.; Saurer, E.M.; Brennecke, J.F. High-Pressure Phase Behavior of Carbon Dioxide with Imidazolium-Based Ionic Liquids. J. Phys. Chem. B 2004, 108, 20355–20365. [Google Scholar] [CrossRef]
- Almantariotis, D.; Gefflaut, T.; Pádua, A.A.H.; Coxam, J.-Y.; Costa Gomes, M.F. Effect of Fluorination and Size of the Alkyl Side-Chain on the Solubility of Carbon Dioxide in 1-Alkyl-3-Methylimidazolium Bis(Trifluoromethylsulfonyl)Amide Ionic Liquids. J. Phys. Chem. B 2010, 114, 3608–3617. [Google Scholar] [CrossRef]
- Bates, E.D.; Mayton, R.D.; Ntai, I.; Davis, J.H. CO2 Capture by a Task-Specific Ionic Liquid. J. Am. Chem. Soc. 2002, 124, 926–927. [Google Scholar] [CrossRef]
- Gurkan, B.E.; de la Fuente, J.C.; Mindrup, E.M.; Ficke, L.E.; Goodrich, B.F.; Price, E.A.; Schneider, W.F.; Brennecke, J.F. Equimolar CO2 Absorption by Anion-Functionalized Ionic Liquids. J. Am. Chem. Soc. 2010, 132, 2116–2117. [Google Scholar] [CrossRef] [PubMed]
- Taheri, M.; Dai, C.; Lei, Z. CO2 Capture by Methanol, Ionic Liquid, and Their Binary Mixtures: Experiments, Modeling, and Process Simulation. AIChE J. 2018, 64, 2168–2180. [Google Scholar] [CrossRef]
- Klähn, M.; Seduraman, A. What Determines CO2 Solubility in Ionic Liquids? A Molecular Simulation Study. J. Phys. Chem. B 2015, 119, 10066–10078. [Google Scholar] [CrossRef]
- Ma, T.; Wang, J.; Du, Z.; Abdeltawab, A.A.; Al-Enizi, A.M.; Chen, X.; Yu, G. A Process Simulation Study of CO2 Capture by Ionic Liquids. Int. J. Greenh. Gas Control 2017, 58, 223–231. [Google Scholar] [CrossRef]
- Uludag-Demirer, S.; Smerigan, A.; Hsiao, P.; Marks, A.; Smith, M.R.; Liao, W. Enhanced Carbon Dioxide Capture Using a Mixed Amino Acid Salt Solution. Ind. Eng. Chem. Res. 2023, 62, 4064–4072. [Google Scholar] [CrossRef]
- Rahim, N.A.; Ghasem, N.; Al-Marzouqi, M. Absorption of CO2 from Natural Gas Using Different Amino Acid Salt Solutions and Regeneration Using Hollow Fiber Membrane Contactors. J. Nat. Gas Sci. Eng. 2015, 26, 108–117. [Google Scholar] [CrossRef]
- Xu, X.; Myers, M.B.; Versteeg, F.G.; Adam, E.; White, C.; Crooke, E.; Wood, C.D. Next Generation Amino Acid Technology for CO2 Capture. J. Mater. Chem. A Mater. 2021, 9, 1692–1704. [Google Scholar] [CrossRef]
- Zhang, Z.; Li, Y.; Zhang, W.; Wang, J.; Soltanian, M.R.; Olabi, A.G. Effectiveness of Amino Acid Salt Solutions in Capturing CO2: A Review. Renew. Sustain. Energy Rev. 2018, 98, 179–188. [Google Scholar] [CrossRef]
- Beuttler, C.; Charles, L.; Wurzbacher, J. The Role of Direct Air Capture in Mitigation of Anthropogenic Greenhouse Gas Emissions. Front. Clim. 2019, 1, 10. [Google Scholar] [CrossRef]
- You, J.K.; Park, H.; Yang, S.H.; Hong, W.H.; Shin, W.; Kang, J.K.; Yi, K.B.; Kim, J.-N. Influence of Additives Including Amine and Hydroxyl Groups on Aqueous Ammonia Absorbent for CO2 Capture. J. Phys. Chem. B 2008, 112, 4323–4328. [Google Scholar] [CrossRef]
- Hou, C.; Kumar, D.R.; Jin, Y.; Wu, Y.; Lee, J.J.; Jones, C.W.; Wang, T. Porosity and Hydrophilicity Modulated Quaternary Ammonium-Based Sorbents for CO2 Capture. Chem. Eng. J. 2021, 413, 127532. [Google Scholar] [CrossRef]
- Park, D.J.; Choi, J.H.; Kim, Y.E.; Nam, S.C.; Lee, K.B.; Yoon, Y. Il Chemical Absorption of Carbon Dioxide Using Aqueous Piperidine Derivatives. Chem. Eng. Technol. 2017, 40, 2266–2273. [Google Scholar] [CrossRef]
- Sayari, A.; Heydari-Gorji, A.; Yang, Y. CO2—Induced Degradation of Amine-Containing Adsorbents: Reaction Products and Pathways. J. Am. Chem. Soc. 2012, 134, 13834–13842. [Google Scholar] [CrossRef] [PubMed]
- Heydari-Gorji, A.; Belmabkhout, Y.; Sayari, A. Degradation of Amine-Supported CO2 Adsorbents in the Presence of Oxygen-Containing Gases. Microporous Mesoporous Mater. 2011, 145, 146–149. [Google Scholar] [CrossRef]
- Choi, S.; Gray, M.L.; Jones, C.W. Amine-Tethered Solid Adsorbents Coupling High Adsorption Capacity and Regenerability for CO2 Capture from Ambient Air. ChemSusChem 2011, 4, 628–635. [Google Scholar] [CrossRef] [PubMed]
- Alkhabbaz, M.A.; Khunsupat, R.; Jones, C.W. Guanidinylated Poly(Allylamine) Supported on Mesoporous Silica for CO2 Capture from Flue Gas. Fuel 2014, 121, 79–85. [Google Scholar] [CrossRef]
- Chaikittisilp, W.; Khunsupat, R.; Chen, T.T.; Jones, C.W. Poly(Allylamine)–Mesoporous Silica Composite Materials for CO2 Capture from Simulated Flue Gas or Ambient Air. Ind. Eng. Chem. Res. 2011, 50, 14203–14210. [Google Scholar] [CrossRef]
- Sujan, A.R.; Kumar, D.R.; Sakwa-Novak, M.; Ping, E.W.; Hu, B.; Park, S.J.; Jones, C.W. Poly(Glycidyl Amine)-Loaded SBA-15 Sorbents for CO2 Capture from Dilute and Ultradilute Gas Mixtures. ACS Appl. Polym. Mater. 2019, 1, 3137–3147. [Google Scholar] [CrossRef]
- Park, S.J.; Lee, J.J.; Hoyt, C.B.; Kumar, D.R.; Jones, C.W. Silica Supported Poly(Propylene Guanidine) as a CO2 Sorbent in Simulated Flue Gas and Direct Air Capture. Adsorption 2020, 26, 89–101. [Google Scholar] [CrossRef]
- Hamdy, L.B.; Goel, C.; Rudd, J.A.; Barron, A.R.; Andreoli, E. The Application of Amine-Based Materials for Carbon Capture and Utilisation: An Overarching View. Mater. Adv. 2021, 2, 5843–5880. [Google Scholar] [CrossRef]
- Irani, M.; Jacobson, A.T.; Gasem, K.A.M.; Fan, M. Modified Carbon Nanotubes/Tetraethylenepentamine for CO2 Capture. Fuel 2017, 206, 10–18. [Google Scholar] [CrossRef]
- Fisher, J.C.; Tanthana, J.; Chuang, S.S.C. Oxide-supported Tetraethylenepentamine for CO2 Capture. Environ. Prog. Sustain. Energy 2009, 28, 589–598. [Google Scholar] [CrossRef]
- Miao, Y.; Wang, Y.; Ge, B.; He, Z.; Zhu, X.; Li, J.; Liu, S.; Yu, L. Mixed Diethanolamine and Polyethyleneimine with Enhanced CO2 Capture Capacity from Air. Adv. Sci. 2023, 10, 2207253. [Google Scholar] [CrossRef] [PubMed]
- Al-Absi, A.A.; Benneker, A.M.; Mahinpey, N. Ambient and Sub-Ambient Temperature Direct Air CO2 Capture (DAC) by Novel Supported in Situ Polymerized Amines. J. Mater. Chem. A Mater. 2024, 12, 10507–10527. [Google Scholar] [CrossRef]
- Zhang, W.; Liu, H.; Sun, C.; Drage, T.C.; Snape, C.E. Capturing CO2 from Ambient Air Using a Polyethyleneimine–Silica Adsorbent in Fluidized Beds. Chem. Eng. Sci. 2014, 116, 306–316. [Google Scholar] [CrossRef]
- Sayari, A.; Liu, Q.; Mishra, P. Enhanced Adsorption Efficiency through Materials Design for Direct Air Capture over Supported Polyethylenimine. ChemSusChem 2016, 9, 2796–2803. [Google Scholar] [CrossRef]
- Heydari-Gorji, A.; Belmabkhout, Y.; Sayari, A. Polyethylenimine-Impregnated Mesoporous Silica: Effect of Amine Loading and Surface Alkyl Chains on CO2 Adsorption. Langmuir 2011, 27, 12411–12416. [Google Scholar] [CrossRef] [PubMed]
- Chue, K.T.; Kim, J.N.; Yoo, Y.J.; Cho, S.H.; Yang, R.T. Comparison of Activated Carbon and Zeolite 13X for CO2 Recovery from Flue Gas by Pressure Swing Adsorption. Ind. Eng. Chem. Res. 1995, 34, 591–598. [Google Scholar] [CrossRef]
- Sreńscek-Nazzal, J.; Kiełbasa, K. Advances in Modification of Commercial Activated Carbon for Enhancement of CO2 Capture. Appl. Surf. Sci. 2019, 494, 137–151. [Google Scholar] [CrossRef]
- Abuelnoor, N.; AlHajaj, A.; Khaleel, M.; Vega, L.F.; Abu-Zahra, M.R.M. Activated Carbons from Biomass-Based Sources for CO2 Capture Applications. Chemosphere 2021, 282, 131111. [Google Scholar] [CrossRef]
- Creamer, A.E.; Gao, B. Carbon-Based Adsorbents for Postcombustion CO2 Capture: A Critical Review. Environ. Sci. Technol. 2016, 50, 7276–7289. [Google Scholar] [CrossRef] [PubMed]
- Zhang, Z.; Cano, Z.P.; Luo, D.; Dou, H.; Yu, A.; Chen, Z. Rational Design of Tailored Porous Carbon-Based Materials for CO2 Capture. J. Mater. Chem. A Mater. 2019, 7, 20985–21003. [Google Scholar] [CrossRef]
- Kumar, S.; Srivastava, R.; Koh, J. Utilization of Zeolites as CO2 Capturing Agents: Advances and Future Perspectives. J. CO2 Util. 2020, 41, 101251. [Google Scholar] [CrossRef]
- Krishna, R.; van Baten, J.M. A Comparison of the CO2 Capture Characteristics of Zeolites and Metal–Organic Frameworks. Sep. Purif. Technol. 2012, 87, 120–126. [Google Scholar] [CrossRef]
- Cecilia, J.A.; Vilarrasa-García, E.; Morales-Ospino, R.; Finocchio, E.; Busca, G.; Sapag, K.; Villarroel-Rocha, J.; Bastos-Neto, M.; Azevedo, D.C.S.; Rodríguez-Castellón, E. Kaolinite-Based Zeolites Synthesis and Their Application in CO2 Capture Processes. Fuel 2022, 320, 123953. [Google Scholar] [CrossRef]
- Sun, Q.; Li, Z.; Searles, D.J.; Chen, Y.; Lu, G.; Du, A. Charge-Controlled Switchable CO2 Capture on Boron Nitride Nanomaterials. J. Am. Chem. Soc. 2013, 135, 8246–8253. [Google Scholar] [CrossRef] [PubMed]
- Liang, J.; Song, Q.; Lin, J.; Li, G.; Fang, Y.; Guo, Z.; Huang, Y.; Lee, C.-S.; Tang, C. In Situ Cu-Loaded Porous Boron Nitride Nanofiber as an Efficient Adsorbent for CO2 Capture. ACS Sustain. Chem. Eng. 2020, 8, 7454–7462. [Google Scholar] [CrossRef]
- Yang, C.; Liu, D.; Chen, Y.; Chen, C.; Wang, J.; Fan, Y.; Huang, S.; Lei, W. Three-Dimensional Functionalized Boron Nitride Nanosheets/ZnO Superstructures for CO2 Capture. ACS Appl. Mater. Interfaces 2019, 11, 10276–10282. [Google Scholar] [CrossRef]
- Amaraweera, S.M.; Gunathilake, C.A.; Gunawardene, O.H.P.; Dassanayake, R.S.; Cho, E.-B.; Du, Y. Carbon Capture Using Porous Silica Materials. Nanomaterials 2023, 13, 2050. [Google Scholar] [CrossRef] [PubMed]
- Vittoni, C.; Gatti, G.; Paul, G.; Mangano, E.; Brandani, S.; Bisio, C.; Marchese, L. Non-Porous versus Mesoporous Siliceous Materials for CO2 Capture. ChemistryOpen 2019, 8, 719–727. [Google Scholar] [CrossRef]
- Abd, A.A.; Othman, M.R.; Kim, J. A Review on Application of Activated Carbons for Carbon Dioxide Capture: Present Performance, Preparation, and Surface Modification for Further Improvement. Environ. Sci. Pollut. Res. 2021, 28, 43329–43364. [Google Scholar] [CrossRef] [PubMed]
- Zaker, A.; ben Hammouda, S.; Sun, J.; Wang, X.; Li, X.; Chen, Z. Carbon-Based Materials for CO2 Capture: Their Production, Modification and Performance. J. Environ. Chem. Eng. 2023, 11, 109741. [Google Scholar] [CrossRef]
- Ghanbari, T.; Abnisa, F.; Wan Daud, W.M.A. A Review on Production of Metal Organic Frameworks (MOF) for CO2 Adsorption. Sci. Total Environ. 2020, 707, 135090. [Google Scholar] [CrossRef] [PubMed]
- Zhuang, W.; Yuan, D.; Liu, D.; Zhong, C.; Li, J.-R.; Zhou, H.-C. Robust Metal–Organic Framework with An Octatopic Ligand for Gas Adsorption and Separation: Combined Characterization by Experiments and Molecular Simulation. Chem. Mater. 2012, 24, 18–25. [Google Scholar] [CrossRef]
- Bae, Y.-S.; Mulfort, K.L.; Frost, H.; Ryan, P.; Punnathanam, S.; Broadbelt, L.J.; Hupp, J.T.; Snurr, R.Q. Separation of CO2 from CH4 Using Mixed-Ligand Metal−Organic Frameworks. Langmuir 2008, 24, 8592–8598. [Google Scholar] [CrossRef] [PubMed]
- Wu, M.-X.; Yang, Y.-W. Applications of Covalent Organic Frameworks (COFs): From Gas Storage and Separation to Drug Delivery. Chin. Chem. Lett. 2017, 28, 1135–1143. [Google Scholar] [CrossRef]
- Lyu, H.; Li, H.; Hanikel, N.; Wang, K.; Yaghi, O.M. Covalent Organic Frameworks for Carbon Dioxide Capture from Air. J. Am. Chem. Soc. 2022, 144, 12989–12995. [Google Scholar] [CrossRef] [PubMed]
- Song, K.S.; Fritz, P.W.; Coskun, A. Porous Organic Polymers for CO2 Capture, Separation and Conversion. Chem. Soc. Rev. 2022, 51, 9831–9852. [Google Scholar] [CrossRef] [PubMed]
- Tian, Y.; Zhu, G. Porous Aromatic Frameworks (PAFs). Chem. Rev. 2020, 120, 8934–8986. [Google Scholar] [CrossRef]
- Babarao, R.; Dai, S.; Jiang, D. Functionalizing Porous Aromatic Frameworks with Polar Organic Groups for High-Capacity and Selective CO2 Separation: A Molecular Simulation Study. Langmuir 2011, 27, 3451–3460. [Google Scholar] [CrossRef]
- Yu, C.; Wang, Y.; Xia, Y.; Luo, S.; Ma, X.; Yin, B.H.; Wang, X. Polymers of Intrinsic Microporosity with Internal Dihedral Lock for Efficient Gas Separation. Adv. Membr. 2024, 4, 100097. [Google Scholar] [CrossRef]
- Arabi Shamsabadi, A.; Rezakazemi, M.; Seidi, F.; Riazi, H.; Aminabhavi, T.; Soroush, M. Next Generation Polymers of Intrinsic Microporosity with Tunable Moieties for Ultrahigh Permeation and Precise Molecular CO2 Separation. Prog. Energy Combust. Sci. 2021, 84, 100903. [Google Scholar] [CrossRef]
- Yan, Q.; Lin, Y.; Wu, P.; Zhao, L.; Cao, L.; Peng, L.; Kong, C.; Chen, L. Designed Synthesis of Functionalized Two-Dimensional Metal–Organic Frameworks with Preferential CO2 Capture. Chempluschem 2013, 78, 86–91. [Google Scholar] [CrossRef]
- Chakraborty, G.; Das, P.; Mandal, S.K. Efficient and Highly Selective CO2 Capture, Separation, and Chemical Conversion under Ambient Conditions by a Polar-Group-Appended Copper(II) Metal–Organic Framework. Inorg. Chem. 2021, 60, 5071–5080. [Google Scholar] [CrossRef]
- Khan, N.A.; Jhung, S.H. Adsorptive Removal and Separation of Chemicals with Metal-Organic Frameworks: Contribution of π-Complexation. J. Hazard. Mater. 2017, 325, 198–213. [Google Scholar] [CrossRef] [PubMed]
- Gupta, V.; Mandal, S.K. Effect of Unsaturated Metal Site Modulation in Highly Stable Microporous Materials on CO2 Capture and Fixation. Inorg. Chem. 2022, 61, 3086–3096. [Google Scholar] [CrossRef]
- Kökçam-Demir, Ü.; Goldman, A.; Esrafili, L.; Gharib, M.; Morsali, A.; Weingart, O.; Janiak, C. Coordinatively Unsaturated Metal Sites (Open Metal Sites) in Metal–Organic Frameworks: Design and Applications. Chem. Soc. Rev. 2020, 49, 2751–2798. [Google Scholar] [CrossRef] [PubMed]
- Zhai, L.; Yao, Y.; Ma, B.; Hasan, M.M.; Han, Y.; Mi, L.; Nagao, Y.; Li, Z. Accumulation of Sulfonic Acid Groups Anchored in Covalent Organic Frameworks as an Intrinsic Proton-Conducting Electrolyte. Macromol. Rapid Commun. 2022, 43, 2100590. [Google Scholar] [CrossRef]
- Liu, J.; Wang, N.; Ma, L. Recent Advances in Covalent Organic Frameworks for Catalysis. Chem. Asian J. 2020, 15, 338–351. [Google Scholar] [CrossRef]
- Sahoo, R.; Mondal, S.; Pal, S.C.; Mukherjee, D.; Das, M.C. Covalent-Organic Frameworks (COFs) as Proton Conductors. Adv. Energy Mater. 2021, 11, 2102300. [Google Scholar] [CrossRef]
- Duong, P.H.H.; Shin, Y.K.; Kuehl, V.A.; Afroz, M.M.; Hoberg, J.O.; Parkinson, B.; van Duin, A.C.T.; Li-Oakey, K.D. Molecular Interactions and Layer Stacking Dictate Covalent Organic Framework Effective Pore Size. ACS Appl. Mater. Interfaces 2021, 13, 42164–42175. [Google Scholar] [CrossRef] [PubMed]
- Deng, L.; Ding, Z.; Ye, X.; Jiang, D. Covalent Organic Frameworks: Chemistry of Pore Interface and Wall Surface Perturbation and Impact on Functions. Acc. Mater. Res. 2022, 3, 879–893. [Google Scholar] [CrossRef]
- Buyukcakir, O.; Seo, Y.; Coskun, A. Thinking Outside the Cage: Controlling the Extrinsic Porosity and Gas Uptake Properties of Shape-Persistent Molecular Cages in Nanoporous Polymers. Chem. Mater. 2015, 27, 4149–4155. [Google Scholar] [CrossRef]
- Je, S.H.; Buyukcakir, O.; Kim, D.; Coskun, A. Direct Utilization of Elemental Sulfur in the Synthesis of Microporous Polymers for Natural Gas Sweetening. Chem 2016, 1, 482–493. [Google Scholar] [CrossRef]
- Patel, H.A.; Je, S.H.; Park, J.; Jung, Y.; Coskun, A.; Yavuz, C.T. Directing the Structural Features of N2—Phobic Nanoporous Covalent Organic Polymers for CO2 Capture and Separation. Chem—A Eur. J. 2014, 20, 772–780. [Google Scholar] [CrossRef] [PubMed]
- Song, K.S.; Kim, D.; Polychronopoulou, K.; Coskun, A. Synthesis of Highly Porous Coordination Polymers with Open Metal Sites for Enhanced Gas Uptake and Separation. ACS Appl. Mater. Interfaces 2016, 8, 26860–26867. [Google Scholar] [CrossRef]
- Zhang, P.; Zhang, C.; Wang, L.; Dong, J.; Gai, D.; Wang, W.; Nguyen, T.S.; Yavuz, C.T.; Zou, X.; Zhu, G. Basic Alkylamine Functionalized PAF-1 Hybrid Membrane with High Compatibility for Superior CO2 Separation from Flue Gas. Adv. Funct. Mater. 2023, 33, 2210091. [Google Scholar] [CrossRef]
- Lu, W.; Yuan, D.; Sculley, J.; Zhao, D.; Krishna, R.; Zhou, H.-C. Sulfonate-Grafted Porous Polymer Networks for Preferential CO2 Adsorption at Low Pressure. J. Am. Chem. Soc. 2011, 133, 18126–18129. [Google Scholar] [CrossRef] [PubMed]
- Vopička, O.; Friess, K.; Hynek, V.; Sysel, P.; Zgažar, M.; Šípek, M.; Pilnáček, K.; Lanč, M.; Jansen, J.C.; Mason, C.R.; et al. Equilibrium and Transient Sorption of Vapours and Gases in the Polymer of Intrinsic Microporosity PIM-1. J. Memb. Sci. 2013, 434, 148–160. [Google Scholar] [CrossRef]
- Wang, X.; Guo, H.; Yu, C.; Jing, Y.; Han, Z.; Ma, X.; Yang, C.; Liu, M.; Zhai, D.; Zheng, D.; et al. Practical Enantioselective Synthesis of Chiroptical Polymers of Intrinsic Microporosity with Circular Polarized Luminescence. Macromolecules 2021, 54, 11180–11186. [Google Scholar] [CrossRef]
- Voskian, S.; Hatton, T.A. Faradaic Electro-Swing Reactive Adsorption for CO2 Capture. Energy Environ. Sci. 2019, 12, 3530–3547. [Google Scholar] [CrossRef]
- Gurkan, B.; Simeon, F.; Hatton, T.A. Quinone Reduction in Ionic Liquids for Electrochemical CO2 Separation. ACS Sustain. Chem. Eng. 2015, 3, 1394–1405. [Google Scholar] [CrossRef]
- Ranjan, R.; Olson, J.; Singh, P.; Lorance, E.D.; Buttry, D.A.; Gould, I.R. Reversible Electrochemical Trapping of Carbon Dioxide Using 4,4′-Bipyridine That Does Not Require Thermal Activation. J. Phys. Chem. Lett. 2015, 6, 4943–4946. [Google Scholar] [CrossRef]
- Rheinhardt, J.H.; Singh, P.; Tarakeshwar, P.; Buttry, D.A. Electrochemical Capture and Release of Carbon Dioxide. ACS Energy Lett. 2017, 2, 454–461. [Google Scholar] [CrossRef]
- Singh, P.; Rheinhardt, J.H.; Olson, J.Z.; Tarakeshwar, P.; Mujica, V.; Buttry, D.A. Electrochemical Capture and Release of Carbon Dioxide Using a Disulfide–Thiocarbonate Redox Cycle. J. Am. Chem. Soc. 2017, 139, 1033–1036. [Google Scholar] [CrossRef] [PubMed]
- Hatton, T.A.; Voskian, S. Electro-Swing Adsorption for CO2 Emissions Mitigation—From Concept to Start-Up. ECS Meet. Abstr. 2023, MA2023-01, 1760. [Google Scholar] [CrossRef]
- Wilcox, J. An Electro-Swing Approach. Nat. Energy 2020, 5, 121–122. [Google Scholar] [CrossRef]
- Biery, A.R.; Shokrollahzadeh Behbahani, H.; Green, M.D.; Knauss, D.M. Polydiallylammonium-Polysulfone Multiblock Copolymers for Moisture-Swing Direct Air Capture of Carbon Dioxide. ACS Appl. Polym. Mater. 2024, 6, 2649–2658. [Google Scholar] [CrossRef]
- Wang, T.; Lackner, K.S.; Wright, A.B. Moisture-Swing Sorption for Carbon Dioxide Capture from Ambient Air: A Thermodynamic Analysis. Phys. Chem. Chem. Phys. 2013, 15, 504–514. [Google Scholar] [CrossRef]
- Fasihi, M.; Efimova, O.; Breyer, C. Techno-Economic Assessment of CO2 Direct Air Capture Plants. J. Clean. Prod. 2019, 224, 957–980. [Google Scholar] [CrossRef]
- Hou, C.; Wu, Y.; Jiao, Y.; Huang, J.; Wang, T.; Fang, M.; Zhou, H. Integrated Direct Air Capture and CO2 Utilization of Gas Fertilizer Based on Moisture Swing Adsorption. J. Zhejiang Univ.-Sci. A 2017, 18, 819–830. [Google Scholar] [CrossRef]
- Shi, X.; Xiao, H.; Kanamori, K.; Yonezu, A.; Lackner, K.S.; Chen, X. Moisture-Driven CO2 Sorbents. Joule 2020, 4, 1823–1837. [Google Scholar] [CrossRef]
- Shi, X.; Xiao, H.; Liao, X.; Armstrong, M.; Chen, X.; Lackner, K.S. Humidity Effect on Ion Behaviors of Moisture-Driven CO2 Sorbents. J. Chem. Phys. 2018, 149, 164708. [Google Scholar] [CrossRef] [PubMed]
- Wang, T.; Wang, X.; Hou, C.; Liu, J. Quaternary Functionalized Mesoporous Adsorbents for Ultra-High Kinetics of CO2 Capture from Air. Sci. Rep. 2020, 10, 21429. [Google Scholar] [CrossRef] [PubMed]
- Li, G.; Yao, J. Snap-Off during Imbibition in Porous Media: Mechanisms, Influencing Factors, and Impacts. Eng 2023, 4, 2896–2925. [Google Scholar] [CrossRef]
- Yao, J.; Oakey, J. Geometrically-Mediated Snap-off of Water-in-Oil Emulsion Droplets in Microfluidic Flow Focusing Devices. J. Oil Gas Petrochem. Sci. 2018, 1, 42. [Google Scholar] [CrossRef] [PubMed]
- Yao, J. A Microfluidic Model for Visualizing Snap-off During Imbibition. Ph.D. Dissertation, University of Wyoming, Laramie, WY, USA, 2017. [Google Scholar]
- Qu, Z.; Yao, J.; Yang, Y.; Wang, B.; He, L. Laboratory Experiments of a Microfluidic Model for Imbibition. J. Petrochem. Univ. 2014, 37, 64–66. [Google Scholar]
- Fu, Q.; Halim, A.; Kim, J.; Scofield, J.M.P.; Gurr, P.A.; Kentish, S.E.; Qiao, G.G. Highly Permeable Membrane Materials for CO2 Capture. J. Mater. Chem. A Mater. 2013, 1, 13769. [Google Scholar] [CrossRef]
- Merkel, T.C.; Lin, H.; Wei, X.; Baker, R. Power Plant Post-Combustion Carbon Dioxide Capture: An Opportunity for Membranes. J. Memb. Sci. 2010, 359, 126–139. [Google Scholar] [CrossRef]
- Yoo, M.J.; Kim, K.H.; Lee, J.H.; Kim, T.W.; Chung, C.W.; Cho, Y.H.; Park, H.B. Ultrathin Gutter Layer for High-Performance Thin-Film Composite Membranes for CO2 Separation. J. Memb. Sci. 2018, 566, 336–345. [Google Scholar] [CrossRef]
- Lin, H.; Van Wagner, E.; Freeman, B.D.; Toy, L.G.; Gupta, R.P. Plasticization-Enhanced Hydrogen Purification Using Polymeric Membranes. Science 2006, 311, 639–642. [Google Scholar] [CrossRef] [PubMed]
- Li, S.; Wang, Z.; Zhang, C.; Wang, M.; Yuan, F.; Wang, J.; Wang, S. Interfacially Polymerized Thin Film Composite Membranes Containing Ethylene Oxide Groups for CO2 Separation. J. Memb. Sci. 2013, 436, 121–131. [Google Scholar] [CrossRef]
- Fujikawa, S.; Ariyoshi, M.; Selyanchyn, R.; Kunitake, T. Ultra-Fast, Selective CO2 Permeation by Free-Standing Siloxane Nanomembranes. Chem. Lett. 2019, 48, 1351–1354. [Google Scholar] [CrossRef]
- Das, M.; Perry, J.D.; Koros, W.J. Gas-Transport-Property Performance of Hybrid Carbon Molecular Sieve−Polymer Materials. Ind. Eng. Chem. Res. 2010, 49, 9310–9321. [Google Scholar] [CrossRef]
- Clarizia, G.; Algieri, C.; Regina, A.; Drioli, E. Zeolite-Based Composite PEEK-WC Membranes: Gas Transport and Surface Properties. Microporous Mesoporous Mater. 2008, 115, 67–74. [Google Scholar] [CrossRef]
- Li, Y.; Chung, T.; Cao, C.; Kulprathipanja, S. The Effects of Polymer Chain Rigidification, Zeolite Pore Size and Pore Blockage on Polyethersulfone (PES)-Zeolite A Mixed Matrix Membranes. J. Memb. Sci. 2005, 260, 45–55. [Google Scholar] [CrossRef]
- Erucar, I.; Yilmaz, G.; Keskin, S. Recent Advances in Metal–Organic Framework-Based Mixed Matrix Membranes. Chem. Asian J. 2013, 8, 1692–1704. [Google Scholar] [CrossRef] [PubMed]
- Xin, Q.; Zhang, X.; Shao, W.; Li, H.; Zhang, Y. COF-Based MMMs with Light-Responsive Properties Generating Unexpected Surface Segregation for Efficient SO2/N2 Separation. J. Memb. Sci. 2023, 665, 121109. [Google Scholar] [CrossRef]
- Zhang, Y.; Ma, L.; Lv, Y.; Tan, T. Facile Manufacture of COF-Based Mixed Matrix Membranes for Efficient CO2 Separation. Chem. Eng. J. 2022, 430, 133001. [Google Scholar] [CrossRef]
- Nasir, R.; Mukhtar, H.; Man, Z.; Mohshim, D.F. Material Advancements in Fabrication of Mixed-Matrix Membranes. Chem. Eng. Technol. 2013, 36, 717–727. [Google Scholar] [CrossRef]
- Perez, E.; Karunaweera, C.; Musselman, I.; Balkus, K.; Ferraris, J. Origins and Evolution of Inorganic-Based and MOF-Based Mixed-Matrix Membranes for Gas Separations. Processes 2016, 4, 32. [Google Scholar] [CrossRef]
- Goh, P.S.; Ismail, A.F.; Sanip, S.M.; Ng, B.C.; Aziz, M. Recent Advances of Inorganic Fillers in Mixed Matrix Membrane for Gas Separation. Sep. Purif. Technol. 2011, 81, 243–264. [Google Scholar] [CrossRef]
- Ban, Y.; Li, Z.; Li, Y.; Peng, Y.; Jin, H.; Jiao, W.; Guo, A.; Wang, P.; Yang, Q.; Zhong, C.; et al. Confinement of Ionic Liquids in Nanocages: Tailoring the Molecular Sieving Properties of ZIF-8 for Membrane-Based CO2 Capture. Angew. Chem. Int. Ed. 2015, 54, 15483–15487. [Google Scholar] [CrossRef] [PubMed]
- Lin, R.; Ge, L.; Diao, H.; Rudolph, V.; Zhu, Z. Ionic Liquids as the MOFs/Polymer Interfacial Binder for Efficient Membrane Separation. ACS Appl. Mater. Interfaces 2016, 8, 32041–32049. [Google Scholar] [CrossRef] [PubMed]
- Smith, S.J.D.; Lau, C.H.; Mardel, J.I.; Kitchin, M.; Konstas, K.; Ladewig, B.P.; Hill, M.R. Physical Aging in Glassy Mixed Matrix Membranes; Tuning Particle Interaction for Mechanically Robust Nanocomposite Films. J. Mater. Chem. A Mater. 2016, 4, 10627–10634. [Google Scholar] [CrossRef]
- Mahdi, E.M.; Tan, J.-C. Dynamic Molecular Interactions between Polyurethane and ZIF-8 in a Polymer-MOF Nanocomposite: Microstructural, Thermo-Mechanical and Viscoelastic Effects. Polymer 2016, 97, 31–43. [Google Scholar] [CrossRef]
- Shan, M.; Liu, X.; Wang, X.; Yarulina, I.; Seoane, B.; Kapteijn, F.; Gascon, J. Facile Manufacture of Porous Organic Framework Membranes for Precombustion CO2 Capture. Sci. Adv. 2018, 4, aau1698. [Google Scholar] [CrossRef] [PubMed]
- Gao, X.; Zou, X.; Ma, H.; Meng, S.; Zhu, G. Highly Selective and Permeable Porous Organic Framework Membrane for CO2 Capture. Adv. Mater. 2014, 26, 3644–3648. [Google Scholar] [CrossRef] [PubMed]
- Zhao, R.; Wu, H.; Yang, L.; Ren, Y.; Liu, Y.; Qu, Z.; Wu, Y.; Cao, L.; Chen, Z.; Jiang, Z. Modification of Covalent Organic Frameworks with Dual Functions Ionic Liquids for Membrane-Based Biogas Upgrading. J. Memb. Sci. 2020, 600, 117841. [Google Scholar] [CrossRef]
- Liu, Y.; Wu, H.; Wu, S.; Song, S.; Guo, Z.; Ren, Y.; Zhao, R.; Yang, L.; Wu, Y.; Jiang, Z. Multifunctional Covalent Organic Framework (COF)-Based Mixed Matrix Membranes for Enhanced CO2 Separation. J. Memb. Sci. 2021, 618, 118693. [Google Scholar] [CrossRef]
- Keskin, S.; Alsoy Altinkaya, S. A Review on Computational Modeling Tools for MOF-Based Mixed Matrix Membranes. Computation 2019, 7, 36. [Google Scholar] [CrossRef]
- Peters, L.; Hussain, A.; Follmann, M.; Melin, T.; Hägg, M.-B. CO2 Removal from Natural Gas by Employing Amine Absorption and Membrane Technology—A Technical and Economical Analysis. Chem. Eng. J. 2011, 172, 952–960. [Google Scholar] [CrossRef]
- Green, M.; Behbahani, H.S.; Yang, Y. Ammonium-Functionalized Polysulfone Copolymers for Moisture-Swing CO2 Capture 2023. U.S. Patent Application 17/793,925, 9 February 2023. [Google Scholar]
- Green, M.; Korah, M.M.; Culp, K. Polymeric Materials for Carbon Dioxide Capture 2024. U.S. Patent Application 18/361,657, 1 February 2024. [Google Scholar]
- IEA. Direct Air Capture. Available online: https://www.iea.org/energy-system/carbon-capture-utilisation-and-storage/direct-air-capture (accessed on 25 April 2024).
- IEA. CCUS around the World in 2021; IEA: Paris, France, 2021; Available online: https://www.iea.org/reports/ccus-around-the-world-in-2021 (accessed on 1 April 2021).
- Carbon Engineering Carbon Engineering Begins Work on Supporting Multi-Million Tonne Direct Air Capture Facilities in South Texas. Available online: https://carbonengineering.com/news-updates/multi-million-tonne-south-texas/ (accessed on 31 October 2022).
- Baker Hughes Baker Hughes and HIF Global to Collaborate on Direct Air Capture Technology. Available online: https://investors.bakerhughes.com/node/27516/pdf (accessed on 7 March 2023).
- CarbonCapture Project Bison. Available online: https://www.carboncapture.com/project-bison (accessed on 8 September 2022).
- Energy Monitor Global Thermostat Unveils Direct Air Capture Plant in Colorado. Available online: https://www.energymonitor.ai/carbon-removal/global-thermostat-unveils-direct-air-capture-plant-in-colorado/?cf-view (accessed on 17 April 2023).
- Carbon Engineering Engineering Begins on UK’s First Large-Scale Facility That Captures Carbon Dioxide out of the Atmosphere. Available online: https://carbonengineering.com/news-updates/uks-first-large-scale-dac-facility/ (accessed on 23 June 2021).
- Carbon Engineering New Partnership to Deploy Large-Scale Direct Air Capture in Norway. Available online: https://carbonengineering.com/news-updates/partnership-dac-norway/ (accessed on 23 November 2021).
- Climeworks Capricorn. Available online: https://climeworks.com/plant-capricorn (accessed on 15 May 2017).
- Climeworks Arctic Fox. Available online: https://climeworks.com/plant-arctic-fox (accessed on 15 October 2017).
- Climeworks Orca: The First Large-Scale Plant. Available online: https://climeworks.com/plant-orca (accessed on 8 September 2021).
- Climeworks Mammoth: Our Newest Facility. Available online: https://climeworks.com/plant-mammoth (accessed on 28 June 2022).
- van der Giesen, C.; Kleijn, R.; Kramer, G.J. Energy and Climate Impacts of Producing Synthetic Hydrocarbon Fuels from CO2. Environ. Sci. Technol. 2014, 48, 7111–7121. [Google Scholar] [CrossRef] [PubMed]
- König, D.H.; Baucks, N.; Dietrich, R.-U.; Wörner, A. Simulation and Evaluation of a Process Concept for the Generation of Synthetic Fuel from CO2 and H2. Energy 2015, 91, 833–841. [Google Scholar] [CrossRef]
- Ishaq, H.; Crawford, C. CO2-based Alternative Fuel Production to Support Development of CO2 Capture, Utilization and Storage. Fuel 2023, 331, 125684. [Google Scholar] [CrossRef]
- Al-Sakkari, E.G.; Ragab, A.; Dagdougui, H.; Boffito, D.C.; Amazouz, M. Carbon Capture, Utilization and Sequestration Systems Design and Operation Optimization: Assessment and Perspectives of Artificial Intelligence Opportunities. Sci. Total Environ. 2024, 917, 170085. [Google Scholar] [CrossRef] [PubMed]
- Yan, Y.; Borhani, T.N.; Subraveti, S.G.; Pai, K.N.; Prasad, V.; Rajendran, A.; Nkulikiyinka, P.; Asibor, J.O.; Zhang, Z.; Shao, D.; et al. Harnessing the Power of Machine Learning for Carbon Capture, Utilisation, and Storage (CCUS)—A State-of-the-Art Review. Energy Environ. Sci. 2021, 14, 6122–6157. [Google Scholar] [CrossRef]
- Al-Sakkari, E.G.; Ragab, A.; So, T.M.Y.; Shokrollahi, M.; Dagdougui, H.; Navarri, P.; Elkamel, A.; Amazouz, M. Machine Learning-Assisted Selection of Adsorption-Based Carbon Dioxide Capture Materials. J. Environ. Chem. Eng. 2023, 11, 110732. [Google Scholar] [CrossRef]
- Anderson, R.; Rodgers, J.; Argueta, E.; Biong, A.; Gómez-Gualdrón, D.A. Role of Pore Chemistry and Topology in the CO2 Capture Capabilities of MOFs: From Molecular Simulation to Machine Learning. Chem. Mater. 2018, 30, 6325–6337. [Google Scholar] [CrossRef]
















| Technology | Applicability | Advantage | Disadvantage |
|---|---|---|---|
| DAC | No significant limitations | Flexible deployment options; Capture of low-concentration CO2; Integration with renewable energy | High investment costs; High operating costs; Technological limitations |
| Pre-combustion capture | Integrated gasification combined cycle (IGCC) power plant | Mature technology; High efficiency and easy separation | Limited applicability |
| Post-combustion capture | Pulverized coal (PC) power plant; Natural gas combined cycle (NGCC) power plant; Fossil fuel power plant | Mature technology; Wide applicability to existing plants; Retrofit application | Generation inefficiency |
| Oxy-fuel combustion capture | Pulverized coal (PC) power plant; Integrated gasification combined cycle (IGCC) power plant | Mature technology; High purity and concentration; Simple procedures; Retrofit and repowering option | High investment costs due to additional equipment required |
| Authors | Contents | Year | References |
|---|---|---|---|
| Bisotti et al. | This study introduces the challenges in scaling up DAC technologies from pilot to industrial scale, along with limiting factors such as the supply of critical materials and competition with the energy transition. | 2024 | [35] |
| An et al. | This study highlights the critical role of energy efficiency and regeneration energy in enabling DAC for negative emissions and discusses potential methods to lower the regeneration energy demand. | 2023 | [36] |
| Ozkan et al. | This study provides an overview of current commercial DAC technologies, highlighting the need for technological advancements to reduce costs and meet global climate goals. | 2022 | [37] |
| Erans et al. | This study explores the role of DAC as a carbon dioxide removal technology in mitigating CO2 emissions, highlighting its potential alongside other negative emissions technologies and identifying research challenges across the process technology, techno-economic, and socio-political domains. | 2022 | [27] |
| Chauvy et al. | This study evaluates the environmental and economic performance of DAC through life-cycle and techno-economic assessments, highlighting potential improvements to enhance DAC’s efficiency and affordability. | 2022 | [38] |
| Custelcean | This study explores the solvent-based approach to DAC, detailing its chemistry, engineering aspects, and solvent options, along with regeneration methods, to assess its potential for large-scale CO2 removal. | 2022 | [31] |
| McQueen et al. | This study explores the potential of DAC using solid sorbents and liquid solvents to combat climate change, analyzing their properties and deployment considerations to enable rapid scaling and cost reduction. | 2021 | [39] |
| Technology | Principle | Commonly Employed Material | Advantage | Disadvantage | |
|---|---|---|---|---|---|
| L-DAC | The liquid solvent reacts with CO2 to form carbonates for capture, and it releases CO2 upon heating | Alkaline solutions | Large-scale operation; Continuous operation at steady state without interruption; Low-cost raw materials with good selectivity and capture capacity | High temperature requirement; High energy consumption; Requirement for corrosion-resistant equipment | |
| S-DAC | The solid sorbent captures CO2 from ambient air at room temperature and atmospheric pressure, and then releases CO2 under low pressure and moderate temperatures through a temperature-vacuum swing process | Amine-based sorbents | Modular and scalable operations; Lower energy consumption than L-DAC | Batch operations causing complex plant structures; Special construction required for cycling temperature and pressure conditions; High construction costs; Sorbents with low sustainability | |
| Emerging DAC technologies | ESA | The electrochemical cell utilizes charge modulation to control the adsorption and desorption processes, capturing CO2 when negatively charged and releasing it when positively charged | Electrochemical cell; Electrode materials | Space-efficient structure; Convenient operation with no additional equipment required; Low energy consumption; Effective capture capacity; Good durability | High investment costs |
| MSA | The moisture-sensitive sorbents rely on chemical reactions between carbonate ions and water molecules to alter energy states, facilitating CO2 capture in dry conditions and CO2 release in wet conditions | Ion-exchange resins | Low energy consumption; Convenient integration with low-carbon energies | Consumption of a large amount of water; Sensitive to practical weather conditions | |
| m-DAC | The membrane utilizes selective permeability properties to enable the separation and capture of CO2 from air | Ultrathin-film composite (TFC) membrane; Mixed-matrix membranes (MMMs) | Low energy consumption; Low carbon footprint | Low throughput; High material costs | |
| Project | Location | Operating Company | Capture Capacity | Capture Technology | Types of Utilization and Storage | References |
|---|---|---|---|---|---|---|
| STRAROS DAC1 | Texas Permian Basin | 1 PointFive (a subsidiary of Occidental) and Carbon Engineering | 1.0 Mt CO2/year | L-DAC | Geological storage | [200] |
| Oxy-CE Kleberg County project | Gulf Coast region, Texas, US | 1 PointFive (a subsidiary of Occidental) and Carbon Engineering | 30 Mt CO2/year | L-DAC | Geological storage | [201] |
| HIF eFuels Matogorda County project | Matagorda County, Texas, US | Highly Innovative Fuels (HIF) and Baker Hughes | 25 Mt CO2/year | MOFs as primary sorbents | eFuel production | [202] |
| Project Basin | Wyoming, US | CarbonCapture and Frontier Carbon Solutions | 5-Megaton-scale | S-DAC as the primary method, possibly combined with MOFs and hybrid solutions | Deep saline aquifer storage | [199,203] |
| Adams County project | Colorado, US | Global Thermostat | 1000 tonnes CO2/year | S-DAC | Valuable products | [199,204] |
| DAC R&D facility | Squamish, British Columbia, Canada | Carbon Engineering | 1 Mt CO2/year | L-DAC | Fuel production | [41] |
| Project | Location | Operating Company | Capture Capacity | Capture Technology | Types of Utilization and Storage | References |
|---|---|---|---|---|---|---|
| North-East Scotland DAC Project | United Kingdom | Storegga and Carbon Engineering | 500,000 to 1,000,000 tonnes of CO2/year | L-DAC | Geological storage | [205] |
| Kollsnes DAC project | Norway | Carbon Removal, Carbon Engineering, and Oxy Low Carbon Ventures | 500,000 to 1,000,000 tonnes of CO2/year | L-DAC | Offshore geological storage | [206] |
| Capricorn | Hinwil, Switzerland | Climeworks | Several hundred tons of CO2/year | S-DAC | Vegetable fertilization and beverage industry | [207] |
| Arctic Fox | Hellishidi, Iceland | Climeworks | 50 tons of CO2/year | S-DAC | Geological stroage | [208] |
| Orca | Hellisheidi, Iceland | Climeworks | 4000 tons of CO2/year | S-DAC | Geological storage | [209] |
| Mammoth | Hellisheidi, Iceland | Climeworks and Carbfix | 36,000 tons of CO2/year | S-DAC | Geological storage | [210] |
Disclaimer/Publisher’s Note: The statements, opinions and data contained in all publications are solely those of the individual author(s) and contributor(s) and not of MDPI and/or the editor(s). MDPI and/or the editor(s) disclaim responsibility for any injury to people or property resulting from any ideas, methods, instructions or products referred to in the content. |
© 2024 by the authors. Licensee MDPI, Basel, Switzerland. This article is an open access article distributed under the terms and conditions of the Creative Commons Attribution (CC BY) license (https://creativecommons.org/licenses/by/4.0/).
Share and Cite
Li, G.; Yao, J. Direct Air Capture (DAC) for Achieving Net-Zero CO2 Emissions: Advances, Applications, and Challenges. Eng 2024, 5, 1298-1336. https://doi.org/10.3390/eng5030069
Li G, Yao J. Direct Air Capture (DAC) for Achieving Net-Zero CO2 Emissions: Advances, Applications, and Challenges. Eng. 2024; 5(3):1298-1336. https://doi.org/10.3390/eng5030069
Chicago/Turabian StyleLi, Guihe, and Jia Yao. 2024. "Direct Air Capture (DAC) for Achieving Net-Zero CO2 Emissions: Advances, Applications, and Challenges" Eng 5, no. 3: 1298-1336. https://doi.org/10.3390/eng5030069
APA StyleLi, G., & Yao, J. (2024). Direct Air Capture (DAC) for Achieving Net-Zero CO2 Emissions: Advances, Applications, and Challenges. Eng, 5(3), 1298-1336. https://doi.org/10.3390/eng5030069

