Neighbors, Pros and Cons: Impact of Intergroup Interactions on the Welfare of Captive Chimpanzee Groups (Pan troglodytes)
Abstract
1. Introduction
2. Materials and Methods
2.1. Subjects and Study Site
2.2. Data Sampling
2.3. Data Analysis
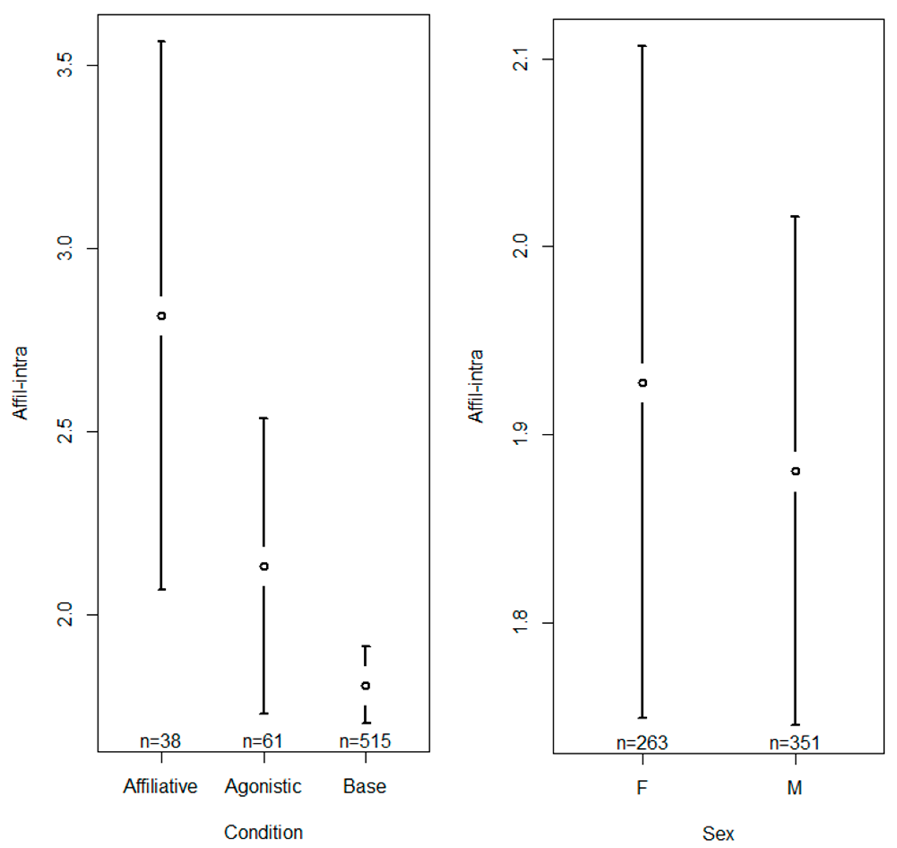
3. Results
4. Discussion
5. Conclusions
Supplementary Materials
Author Contributions
Funding
Institutional Review Board Statement
Informed Consent Statement
Data Availability Statement
Acknowledgments
Conflicts of Interest
References
- Fernandez, E.J.; Martin, A.L. Animal Training, Environmental Enrichment, and Animal Welfare: A History of Behavior Analysis in Zoos. J. Zool. Bot. Gard 2021, 2, 531–543. [Google Scholar] [CrossRef]
- Bayne, K.; Bayvel, A.C.D.; Williams, V. Laboratory Animal Welfare. In American College of Laboratory Animal Medicine; Bayne, K., Turner, P.V., Eds.; Academic Press: Boston, MA, USA, 2013; pp. 55–76. ISBN 978-0-12-385103-1. [Google Scholar]
- Velarde, A.; Fàbrega, E.; Blanco-Penedo, I.; Dalmau, A. Animal Welfare towards Sustainability in Pork Meat Production. Meat Sci. 2015, 109, 13–17. [Google Scholar] [CrossRef]
- Davey, G. Visitors’ Effects on the Welfare of Animals in the Zoo: A Review. J. Appl. Anim. Welf. Sci. 2007, 10, 169–183. [Google Scholar] [CrossRef]
- Padrell, M.; Amici, F.; Córdoba, M.P.; Giberga, A.; Broekman, A.; Almagro, S.; Llorente, M. Artificial Termite-Fishing Tasks as Enrichment for Sanctuary-Housed Chimpanzees: Behavioral Effects and Impact on Welfare. Animals 2021, 11, 2941. [Google Scholar] [CrossRef] [PubMed]
- Broom, D.M. A History of Animal Welfare Science. Acta Biotheor. 2011, 59, 121–137. [Google Scholar] [CrossRef]
- Koknaroglu, H.; Akunal, T. Animal Welfare: An Animal Science Approach. Meat Sci. 2013, 95, 821–827. [Google Scholar] [CrossRef] [PubMed]
- Simpson, L.; Grove, J.; Bronson, E.; Herrelko, E.S. Quality of Life Assessment: The Value of Longitudinal Data in Making the End-of-Life Care Decision for a Macaque (Macaca silenus/Macaca nemestrina). J. Appl. Anim. Welf. Sci. 2024, 27, 316–329. [Google Scholar] [CrossRef]
- Campbell-Ward, M. Quality-of-Life Assessments in Zoo Animals: Not Just for the Aged and Charismatic. Animals 2023, 13, 3394. [Google Scholar] [CrossRef] [PubMed]
- Mellor, D.J.; Reid, C.S.W. Concepts of Animal Well-Being and Predicting the Impact of Procedures on Experimental Animals. In Improving the Well-Being of Animals in the Research Environment; Australian and New Zealand Council for the Care of Animals in Research and Teaching: Glen Osmond, SA, Australia, 1994; pp. 3–18. [Google Scholar]
- Mellor, D.J.; Beausoleil, N.J.; Littlewood, K.E.; McLean, A.N.; McGreevy, P.D.; Jones, B.; Wilkins, C. The 2020 Five Domains Model: Including Human–Animal Interactions in Assessments of Animal Welfare. Animals 2020, 10, 1870. [Google Scholar] [CrossRef]
- Mellor, D. Positive Animal Welfare States and Encouraging Environment-Focused and Animal-to-Animal Interactive Behaviours. N. Z. Vet. J. 2015, 63, 9–16. [Google Scholar] [CrossRef]
- Coe, J.C. Naturalizing Habitats for Captive Primates. Zoo Biol. 1989, 8, 117–125. [Google Scholar] [CrossRef]
- Frederick, C.; Fernandes, D. Behavioral Changes in Pottos (Perodicticus potto): Effects of Naturalizing an Exhibit. Int. J. Primatol. 1996, 17, 389–399. [Google Scholar] [CrossRef]
- Keulartz, J. Towards a Futureproof Zoo. Animals 2023, 13, 998. [Google Scholar] [CrossRef]
- de Azevedo, C.S.; Cipreste, C.F.; Pizzutto, C.S.; Young, R.J. Review of the Effects of Enclosure Complexity and Design on the Behaviour and Physiology of Zoo Animals. Animals 2023, 13, 1277. [Google Scholar] [CrossRef]
- Williams, E.; Cabana, F.; Nekaris, K.a.I. Improving Diet and Activity of Insectivorous Primates in Captivity: Naturalizing the Diet of Northern Ceylon Gray Slender Loris, Loris lydekkerianus nordicus. Zoo Biol. 2015, 34, 473–482. [Google Scholar] [CrossRef]
- Padrell, M.; Amici, F.; Córdoba, M.P.; Llorente, M. Cognitive Enrichment in a Social Setting: Assessing the Use of a Novel Food Maze in Sanctuary-Housed Chimpanzees. Primates 2022, 63, 509–524. [Google Scholar] [CrossRef]
- Clark, F.E.; Gray, S.I.; Bennett, P.; Mason, L.J.; Burgess, K.V. High-Tech and Tactile: Cognitive Enrichment for Zoo-Housed Gorillas. Front. Psychol. 2019, 10, 1574. [Google Scholar] [CrossRef] [PubMed]
- Zhang, Z.; Gao, L.; Zhang, X. Environmental Enrichment Increases Aquatic Animal Welfare: A Systematic Review and Meta-Analysis. Rev. Aquac. 2022, 14, 1120–1135. [Google Scholar] [CrossRef]
- Neal Webb, S.J.; Hau, J.; Schapiro, S.J. Does Group Size Matter? Captive Chimpanzee (Pan troglodytes) Behavior as a Function of Group Size and Composition. Am. J. Primatol. 2019, 81, e22947. [Google Scholar] [CrossRef]
- Fultz, A.; Yanagi, A.; Breaux, S.; Beaupre, L. Aggressive, Submissive, and Affiliative Behavior in Sanctuary Chimpanzees (Pan troglodytes) During Social Integration. Animals 2022, 12, 2421. [Google Scholar] [CrossRef]
- Ross, S.R. Chimpanzee Welfare in the Context of Science, Policy, and Practice. In Chimpanzees in Context; University of Chicago Press: Chicago, IL, USA, 2020; pp. 552–582. [Google Scholar]
- Pascual, A.; Kalcher-Sommersguter, E.; Riba, D.; Crailsheim, D. Long-Term Assessment of Captive Chimpanzees: Influence of Social Group Composition, Seasonality and Biographic Background. Animals 2023, 13, 424. [Google Scholar] [CrossRef] [PubMed]
- Abbott, D.H.; Keverne, E.B.; Bercovitch, F.B.; Shively, C.A.; Mendoza, S.P.; Saltzman, W.; Snowdon, C.T.; Ziegler, T.E.; Banjevic, M.; Garland, T.; et al. Are Subordinates Always Stressed? A Comparative Analysis of Rank Differences in Cortisol Levels among Primates. Horm. Behav. 2003, 43, 67–82. [Google Scholar] [CrossRef] [PubMed]
- Ross, S.R.; Bloomsmith, M.A.; Bettinger, T.L.; Wagner, K.E. The Influence of Captive Adolescent Male Chimpanzees on Wounding: Management and Welfare Implications. Zoo Biol. 2009, 28, 623–634. [Google Scholar] [CrossRef] [PubMed]
- Alford, P.L.; Bloomsmith, M.A.; Keeling, M.E.; Beck, T.F. Wounding Aggression during the Formation and Maintenance of Captive, Multimale Chimpanzee Groups. Zoo Biol. 1995, 14, 347–359. [Google Scholar] [CrossRef]
- Takahata, Y. Social Relationships among Adult Males. In The Chimpanzees of the Mahale Mountains; Nishida, T., Ed.; University Tokyo Press: Tokyo, Japan, 1990; pp. 148–170. [Google Scholar]
- Nishida, T. A Quarter Century of Research in the Mahale Mountains: An Overview. Chimpanzees Mahale Mt. Sex. Life Hist. Strateg. 1990, 3–35. [Google Scholar]
- Goodall, J. The Chimpanzees of Gombe: Patterns of Behavior. J. Trop. Ecol. 1986, 3, 190–191. [Google Scholar] [CrossRef]
- Lehmann, J.; Boesch, C. To Fission or to Fusion: Effects of Community Size on Wild Chimpanzee (Pan troglodytes verus) Social Organisation. Behav. Ecol. Sociobiol. 2004, 56, 207–216. [Google Scholar] [CrossRef]
- Matsumoto-Oda, A. Behavioral Seasonality in Mahale Chimpanzees. Primates 2002, 43, 103–117. [Google Scholar] [CrossRef] [PubMed]
- Wrangham, R.W.; Smuts, B.B. Sex Differences in the Behavioural Ecology of Chimpanzees in the Gombe National Park, Tanzania. J. Reprod. Fertil. Suppl. 1980, 28, 13–31. [Google Scholar]
- Isabirye-Basuta, G. Food Competition Among Individuals in a Free-Ranging Chimpanzee Community in Kibale Forest, Uganda. Behaviour 1988, 105, 135–147. [Google Scholar] [CrossRef]
- Sakura, O. Factors Affecting Party Size and Composition of Chimpanzees (Pan troglodytes verus) Bossou, Guinea. Int. J. Primatol. 1994, 15, 167–183. [Google Scholar] [CrossRef]
- Chapman, C.A.; Chapman, L.J.; Wrangham, R.W. Ecological Constraints on Group Size: An Analysis of Spider Monkey and Chimpanzee Subgroups. Behav. Ecol. Sociobiol. 1995, 36, 59–70. [Google Scholar] [CrossRef]
- Halperin, S. Temporary Association Patterns in Free Ranging Chimpanzees: An Assessment of Individual Grouping Preferences. In The Great Apes; Hamburg, D.A., Mccown, E.R., Eds.; Benjamin Cummings: San Francisco, CA, USA, 1979; pp. 491–499. [Google Scholar]
- Boesch, C. Social Grouping in Taï Chimpanzees. In Great Ape Societies; McGrew, W.C., Marchant, L.F., Nishida, T., Eds.; Cambridge University Press: Cambridge, UK, 1996; pp. 101–113. [Google Scholar]
- Ghiglieri, M. The Chimpanzees of the Kibale Forest; Columbia University Press: New York, NY, USA, 1984. [Google Scholar]
- Boesch, C.; Boesch, H. The Chimpanzees of the Taï Forest; Oxford University Press: Oxford, UK, 2000. [Google Scholar]
- TAG AZAA. Chimpanzee (Pan troglodytes) Care Manual Silver Spring. MD Assoc. Zoos Aquar. 2010. Available online: https://assets.speakcdn.com/assets/2332/chimpanzeecaremanual2010r.pdf (accessed on 16 February 2023).
- National Institutes of Health (NIH). Council of Councils Working Group on the Use of Chimpanzees in NIH-Supported Research; Council of Councils Working Group; Final Report; National Institutes of Health: Bethesda, MD, USA, 2013. [Google Scholar]
- Llorente, M.; Riba, D.; Ballesta, S.; Feliu, O.; Rostán, C. Rehabilitation and Socialization of Chimpanzees (Pan troglodytes) Used for Entertainment and as Pets: An 8-Year Study at Fundació Mona. Int. J. Primatol. 2015, 36, 605–624. [Google Scholar] [CrossRef]
- Lehmann, J.; Korstjens, A.H.; Dunbar, R.I.M. Group Size, Grooming and Social Cohesion in Primates. Anim. Behav. 2007, 74, 1617–1629. [Google Scholar] [CrossRef]
- Morin, P.A. Reproductive Strategies in Chimpanzees. Am. J. Phys. Anthropol. 1993, 36, 179–212. [Google Scholar] [CrossRef]
- Herbinger, I.; Papworth, S.; Boesch, C.; Zuberbühler, K. Vocal, Gestural and Locomotor Responses of Wild Chimpanzees to Familiar and Unfamiliar Intruders: A Playback Study. Anim. Behav. 2009, 78, 1389–1396. [Google Scholar] [CrossRef]
- Wilson, M.L.; Kahlenberg, S.M.; Wells, M.; Wrangham, R.W. Ecological and Social Factors Affect the Occurrence and Outcomes of Intergroup Encounters in Chimpanzees. Anim. Behav. 2012, 83, 277–291. [Google Scholar] [CrossRef]
- Watts, D.; Mitani, J. Boundary Patrols and Intergroup Encounters in Wild Chimpanzees. Behaviour 2001, 138, 299–327. [Google Scholar] [CrossRef]
- Goodall, J.; Bandura, A.; Bergmann, E.; Busse, C.; Matam, H.; Mpongo, E.; Pierce, A.; Riss, D. Inter-Community Interactions in the Chimpanzee Populations of the Gombe National Park. In The Great Apes; Benjamin/Cummings: Menlo Park, CA, USA, 1979; pp. 13–53. [Google Scholar]
- Mitani, J.C.; Watts, D.P.; Amsler, S.J. Lethal Intergroup Aggression Leads to Territorial Expansion in Wild Chimpanzees. Curr. Biol. 2010, 20, R507–R508. [Google Scholar] [CrossRef]
- Reynolds, V. Budongo: A Forest and Its Chimpanzees; Methuen & Co: London, UK, 1965. [Google Scholar]
- Boesch, C.; Crockford, C.; Herbinger, I.; Wittig, R.; Moebius, Y.; Normand, E. Intergroup Conflicts among Chimpanzees in Taï National Park: Lethal Violence and the Female Perspective. Am. J. Primatol. 2008, 70, 519–532. [Google Scholar] [CrossRef]
- Watts, D.P.; Muller, M.; Amsler, S.J.; Mbabazi, G.; Mitani, J.C. Lethal Intergroup Aggression by Chimpanzees in Kibale National Park, Uganda. Am. J. Primatol. 2006, 68, 161–180. [Google Scholar] [CrossRef] [PubMed]
- Neal Webb, S.J.; Hau, J.; Lambeth, S.P.; Schapiro, S.J. Differences in Behavior Between Elderly and Nonelderly Captive Chimpanzees and the Effects of the Social Environment. J. Am. Assoc. Lab. Anim. Sci. 2019, 58, 783–789. [Google Scholar] [CrossRef] [PubMed]
- Grand, A.P.; Leighty, K.A.; Cory, L.J.; Maloney, M.A.; Phillips, R.S.; Bettinger, T.L. The Neighbor Effect in Bachelor and Breeding Groups of Western Lowland Gorillas (Gorilla gorilla gorilla). Int. J. Comp. Psychol. 2013, 26, 26–36. [Google Scholar] [CrossRef]
- Videan, E.N.; Fritz, J.; Schwandt, M.; Howell, S. Neighbor Effect: Evidence of Affiliative and Agonistic Social Contagion in Captive Chimpanzees (Pan troglodytes). Am. J. Primatol. 2005, 66, 131–144. [Google Scholar] [CrossRef] [PubMed]
- Gil-Dolz, J.; Riba, D.; Crailsheim, D. Neighbors Matter: An Investigation into Intergroup Interactions Affecting the Social Networks of Adjacent Chimpanzee Groups. Ecologies 2023, 4, 385–405. [Google Scholar] [CrossRef]
- Crailsheim, D. Welfare Promoting Environments: Assessment and Management in Sanctuary Chimpanzees. Ph.D. Thesis, Universitat de Girona, Girona, Spain, 2024. [Google Scholar]
- Llorente, M.; Riba, D.; Mosquera, M.; Ventura, M.; Feliu, O. Hunting Activity among Naturalistically Housed Chimpanzees (Pan troglodytes) at the Fundació Mona (Girona, Spain). Predation, Occasional Consumption and Strategies in Rehabilitated Animals. Animals 2012, 2, 363–376. [Google Scholar] [CrossRef] [PubMed]
- Cano, R. Use of Natural Resources by Sanctuary Chimpanzees (Pan troglodytes): Understanding the Significance of Naturalistic Environments. Master’s Thesis, Hedmark University College, Elverum, Norway, 2014. [Google Scholar]
- The Aerial View of Fundació Mona: Centre de Recuperació de Primats [Screenshot from Google Earth]. Available online: https://earth.google.com/web/search/fundacio+MONA/@41.90252999,2.816899,92.20267318a,146.23533157d,35y,103.6530503h,29.18438839t,-0r/data=CigiJgokCX0c22U_ojRAEXwc22U_ojTAGf7xRqD29URAIS97iADcNk7AOgMKATA (accessed on 31 March 2024).
- Wark, J.D.; Cronin, K.A.; Niemann, T.; Shender, M.A.; Horrigan, A.; Kao, A.; Ross, M.R. Monitoring the Behavior and Habitat Use of Animals to Enhance Welfare Using the ZooMonitor App. Anim. Behav. Cogn. 2019, 6, 158–167. [Google Scholar] [CrossRef]
- Altmann, J. Observational Study of Behavior: Sampling Methods. Behaviour 1974, 49, 227–266. [Google Scholar] [CrossRef] [PubMed]
- Baayen, R. Analyzing Linguistic Data: A Practical Introduction to Statistics Using R; Cambridge University Press: Cambridge, UK, 2008. [Google Scholar]
- Brooks, M.E.; Kristensen, K.; van Benthem, K.J.; Magnusson, A.; Berg, C.W.; Nielsen, A.; Skaug, H.J.; Machler, M.; Bolker, B.M. glmmTMB Balances Speed and Flexibility among Packages for Zero-Inflated Generalized Linear Mixed Modeling. R J. 2017, 9, 378–400. [Google Scholar] [CrossRef]
- R Core Team. R: A Language and Environment for Statistical Computing; R Core Team: Vienna, Austria, 2018. [Google Scholar]
- Dobson, A. An Introduction to Generalized Linear Models; Chapman and Hall/CRC: Boca Raton, FL, USA, 2002. [Google Scholar]
- Barr, D.J.; Levy, R.; Scheepers, C.; Tily, H.J. Random Effects Structure for Confirmatory Hypothesis Testing: Keep It Maximal. J. Mem. Lang. 2013, 68, 255–278. [Google Scholar] [CrossRef]
- Field, A. Discovering Statistics Using SPSS; Sage Publications: London, UK, 2009. [Google Scholar]
- Lenth, R. Emmeans: Estimated Marginal Means, Aka Least-Squares Means. R Package Version 1 2020, 1, 8. [Google Scholar]
- Goodall, J. Social Rejection, Exclusion, and Shunning among the Gombe Chimpanzees. Ethol. Sociobiol. 1986, 7, 227–236. [Google Scholar] [CrossRef]
- Baker, K.C.; Aureli, F. The Neighbor Effect: Other Groups Influence Intragroup Agonistic Behavior in Captive Chimpanzees. Am. J. Primatol. 1996, 40, 283–291. [Google Scholar] [CrossRef]
- Baker, K.C.; Aureli, F. Behavioural Indicators of Anxiety: An Empirical Test in Chimpanzees. Behaviour 1997, 134, 1031–1050. [Google Scholar] [CrossRef]
- Berthier, J.M.; Semple, S. Observing Grooming Promotes Affiliation in Barbary Macaques. Proc. R. Soc. B Biol. Sci. 2018, 285, 20181964. [Google Scholar] [CrossRef]
- Ostner, J.; Wilken, J.; Schülke, O. Social Contagion of Affiliation in Female Macaques. R. Soc. Open Sci. 2021, 8, 201538. [Google Scholar] [CrossRef] [PubMed]
- Sandars, G. ChimpanSee, ChimpanDo: A Review of the Significance of Social Contagion, and Exploration of Grooming and Play Contagion in Chimpanzees. Master’s Thesis, Durham University, Durham, UK, 2022. [Google Scholar]
- Samuni, L.; Mielke, A.; Preis, A.; Crockford, C.; Wittig, R.M. Intergroup Competition Enhances Chimpanzee (Pan troglodytes Verus) In-Group Cohesion. Int. J. Primatol. 2020, 41, 342–362. [Google Scholar] [CrossRef]
- Romero, T.; de Waal, F.B.M. Chimpanzee (Pan troglodytes) Consolation: Third-Party Identity as a Window on Possible Function. J. Comp. Psychol. 2010, 124, 278–286. [Google Scholar] [CrossRef] [PubMed]
- Romero, T.; Castellanos, M.A.; de Waal, F.B.M. Consolation as Possible Expression of Sympathetic Concern among Chimpanzees. Proc. Natl. Acad. Sci. USA 2010, 107, 12110–12115. [Google Scholar] [CrossRef]
- Fraser, O.N.; Aureli, F. Reconciliation, Consolation and Postconflict Behavioral Specificity in Chimpanzees. Am. J. Primatol. 2008, 70, 1114–1123. [Google Scholar] [CrossRef]
- Fraser, O.N.; Stahl, D.; Aureli, F. Stress Reduction through Consolation in Chimpanzees. Proc. Natl. Acad. Sci. USA 2008, 105, 8557–8562. [Google Scholar] [CrossRef] [PubMed]
- Preuschoft, S.; Wang, X.; Aureli, F.; de Waal, F.B.M. Reconciliation in Captive Chimpanzees: A Reevaluation with Controlled Methods. Int. J. Primatol. 2002, 23, 29–50. [Google Scholar] [CrossRef]
- Silk, J.B. The Form and Function of Reconciliation in Primates. Annu. Rev. Anthropol. 2002, 31, 21–44. [Google Scholar] [CrossRef]
- Cordoni, G.; Palagi, E.; Tarli, S.B. Reconciliation and Consolation in Captive Western Gorillas. Int. J. Primatol. 2006, 27, 1365–1382. [Google Scholar] [CrossRef]
- Puga-Gonzalez, I.; Butovskaya, M.; Thierry, B.; Hemelrijk, C.K. Empathy versus Parsimony in Understanding Post-Conflict Affiliation in Monkeys: Model and Empirical Data. PLoS ONE 2014, 9, e91262. [Google Scholar] [CrossRef] [PubMed]
- Palagi, E.; Cordoni, G.; Tarli, S.B. Possible Roles of Consolation in Captive Chimpanzees (Pan troglodytes). Am. J. Phys. Anthropol. 2006, 129, 105–111. [Google Scholar] [CrossRef] [PubMed]
- Wittig, R.M.; Boesch, C. Receiving Post-Conflict Affiliation from the Enemy’s Friend Reconciles Former Opponents. PLoS ONE 2010, 5, e13995. [Google Scholar] [CrossRef] [PubMed]
- De Waal, F.B.M. Chimpanzee Cultures; Wrangham, R.W., McGrew, W.C., De Waal, F.B., Heltne, B.G., Eds.; Harvard University Press: Cambridge, UK, 1996; pp. 243–260. [Google Scholar]
- Crailsheim, D.; Stüger, H.P.; Kalcher-Sommersguter, E.; Llorente, M. Early Life Experience and Alterations of Group Composition Shape the Social Grooming Networks of Former Pet and Entertainment Chimpanzees (Pan troglodytes). PLoS ONE 2020, 15, e0226947. [Google Scholar] [CrossRef]
- Padrell, M.; Riba, D.; Úbeda, Y.; Amici, F.; Llorente, M. Personality, Cognition and Behavior in Chimpanzees: A New Approach Based on Eysenck’s Model. PeerJ 2020, 8, e9707. [Google Scholar] [CrossRef] [PubMed]
- Leavens, D.A.; Aureli, F.; Hopkins, W.D.; Hyatt, C.W. Effects of Cognitive Challenge on Self-Directed Behaviors by Chimpanzees (Pan troglodytes). Am. J. Primatol. 2001, 55, 1–14. [Google Scholar] [CrossRef]
- Yamanashi, Y.; Matsuzawa, T. Emotional Consequences When Chimpanzees (Pan troglodytes) Face Challenges: Individual Differences in Self-Directed Behaviours during Cognitive Tasks. Anim. Welf. 2010, 19, 25–30. [Google Scholar] [CrossRef]
- Kutsukake, N. Assessing Relationship Quality and Social Anxiety Among Wild Chimpanzees Using Self-Directed Behaviour. Behaviour 2003, 140, 1153–1171. [Google Scholar] [CrossRef]
- Ferdowsian, H.R.; Durham, D.L.; Kimwele, C.; Kranendonk, G.; Otali, E.; Akugizibwe, T.; Mulcahy, J.B.; Ajarova, L.; Johnson, C.M. Signs of Mood and Anxiety Disorders in Chimpanzees. PLoS ONE 2011, 6, e19855. [Google Scholar] [CrossRef] [PubMed]
- Botero, M.; MacDonald, S.E.; Miller, R.S. Anxiety-Related Behavior of Orphan Chimpanzees (Pan troglodytes Schweinfurthii) at Gombe National Park, Tanzania. Primates 2013, 54, 21–26. [Google Scholar] [CrossRef] [PubMed]
- Koski, S.E.; Koops, K.; Sterck, E.H.M. Reconciliation, Relationship Quality, and Postconflict Anxiety: Testing the Integrated Hypothesis in Captive Chimpanzees. Am. J. Primatol. 2007, 69, 158–172. [Google Scholar] [CrossRef] [PubMed]
- Lopresti-Goodman, S.M.; Kameka, M.; Dube, A. Stereotypical Behaviors in Chimpanzees Rescued from the African Bushmeat and Pet Trade. Behav. Sci. 2013, 3, 1–20. [Google Scholar] [CrossRef] [PubMed]
- Mason, G.J.; Cooper, J.; Clarebrough, C. Frustrations of Fur-Farmed Mink. Nature 2001, 410, 35–36. [Google Scholar] [CrossRef] [PubMed]
- DeBoer, S.P.; Garner, J.P.; McCain, R.R.; Lay, D.C.; Eicher, S.D.; Marchant-Forde, J.N. An Initial Investigation into the Effects of Isolation and Enrichment on the Welfare of Laboratory Pigs Housed in the PigTurn® System, Assessed Using Tear Staining, Behaviour, Physiology and Haematology. Anim. Welf. 2015, 24, 15–27. [Google Scholar] [CrossRef]
- Kawanaka, K. Age Differences in Spatial Positioning of Males in a Chimpanzee Unit-Group at the Mahale Mountains National Park, Tanzania. Primates 1993, 34, 255–270. [Google Scholar] [CrossRef]
- Riopelle, A.; Rogers, C. Age Changes in Chimpanzees. In Behavior of Nonhuman Primates: Modern Research Trends; Academic Press: New York, NY, USA, 1965; pp. 449–462. [Google Scholar]
- Fuentes, A.; Malone, N.; Sanz, C.; Matheson, M.; Vaughan, L. Conflict and Post-Conflict Behavior in a Small Group of Chimpanzees. Primates 2002, 43, 223–235. [Google Scholar] [CrossRef]






| Name | ID | Sex | Year of Birth | Group |
|---|---|---|---|---|
| África | AFR | F | 2000 | Mutamba |
| Bongo | BON | M | 1999 | Mutamba |
| Juanito | JUA | M | 2003 | Mutamba |
| Marco | MAR | M | 1984 | Mutamba |
| Waty | WAT | F | 1996 | Mutamba |
| Tom | TOM | M | 1985 | Bilinga |
| Cheeta | CHE | F | 1990 | Bilinga |
| Coco | COC | F | 1994 | Bilinga |
| Nico | NIC | M | 2001 | Bilinga |
| Víctor | VIC | M | 1982 | Bilinga |
| Baseline | Affiliative Trigger | Agonistic Trigger | ||||
|---|---|---|---|---|---|---|
| Sessions | Hours of Observation | Sessions | Hours of Observation | Sessions | Hours of Observation | |
| Total | 375 | 125 | 24 | 8 | 43 | 14.33 |
Disclaimer/Publisher’s Note: The statements, opinions and data contained in all publications are solely those of the individual author(s) and contributor(s) and not of MDPI and/or the editor(s). MDPI and/or the editor(s) disclaim responsibility for any injury to people or property resulting from any ideas, methods, instructions or products referred to in the content. |
© 2024 by the authors. Licensee MDPI, Basel, Switzerland. This article is an open access article distributed under the terms and conditions of the Creative Commons Attribution (CC BY) license (https://creativecommons.org/licenses/by/4.0/).
Share and Cite
Gil-Dolz, J.; Ayuso, P.R.; Riba, D.; Crailsheim, D. Neighbors, Pros and Cons: Impact of Intergroup Interactions on the Welfare of Captive Chimpanzee Groups (Pan troglodytes). Ecologies 2024, 5, 279-295. https://doi.org/10.3390/ecologies5020018
Gil-Dolz J, Ayuso PR, Riba D, Crailsheim D. Neighbors, Pros and Cons: Impact of Intergroup Interactions on the Welfare of Captive Chimpanzee Groups (Pan troglodytes). Ecologies. 2024; 5(2):279-295. https://doi.org/10.3390/ecologies5020018
Chicago/Turabian StyleGil-Dolz, Jose, Pablo R. Ayuso, David Riba, and Dietmar Crailsheim. 2024. "Neighbors, Pros and Cons: Impact of Intergroup Interactions on the Welfare of Captive Chimpanzee Groups (Pan troglodytes)" Ecologies 5, no. 2: 279-295. https://doi.org/10.3390/ecologies5020018
APA StyleGil-Dolz, J., Ayuso, P. R., Riba, D., & Crailsheim, D. (2024). Neighbors, Pros and Cons: Impact of Intergroup Interactions on the Welfare of Captive Chimpanzee Groups (Pan troglodytes). Ecologies, 5(2), 279-295. https://doi.org/10.3390/ecologies5020018

