0.1 THz Imaging with a Monolithic High-Tc Superconducting Transition-Edge Detector †
Abstract
:1. Introduction
2. Materials and Methods
2.1. THz Detector
2.2. Imaging Setup
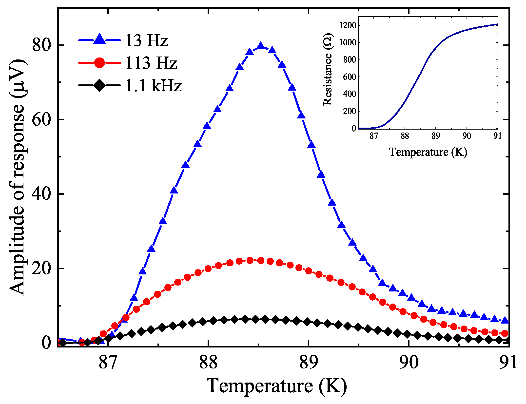
3. Results and Discussion
4. Conclusions
Author Contributions
Funding
Conflicts of Interest
References
- Park, H.; Son, J.H. Machine Learning Techniques for THz Imaging and Time-Domain Spectroscopy. Sensors 2021, 21, 1186. [Google Scholar] [CrossRef] [PubMed]
- Di Fabrizio, M.; D’Arco, A.; Mou, S.; Palumbo, L.; Petrarca, M.; Lupi, S. Performance evaluation of a THz pulsed imaging system: Point spread function, broadband THz beam visualization and image reconstruction. Appl. Sci. 2021, 11, 562. [Google Scholar] [CrossRef]
- Zhang, J.Y.; Ren, J.J.; Li, L.J.; Gu, J.; Zhang, D.D. THz imaging technique for nondestructive analysis of debonding defects in ceramic matrix composites based on multiple echoes and feature fusion. Opt. Express 2020, 28, 19901–19915. [Google Scholar] [CrossRef] [PubMed]
- Yang, Z.; Tang, D.; Hu, J.; Tang, M.; Zhang, M.; Cui, H.L.; Wang, L.; Chang, C.; Fan, C.; Li, J.; et al. Near-Field Nanoscopic Terahertz Imaging of Single Proteins. Small 2021, 17, 2005814. [Google Scholar] [CrossRef]
- Lane, P.; Cunningham, P.; Melinger, J.; Esenturk, O.; Heilweil, E. Hot photocarrier dynamics in organic solar cells. Nat. Commun. 2015, 6, 1–6. [Google Scholar] [CrossRef] [PubMed] [Green Version]
- Ulbricht, R.; Hendry, E.; Shan, J.; Heinz, T.F.; Bonn, M. Carrier dynamics in semiconductors studied with time-resolved terahertz spectroscopy. Rev. Mod. Phys. 2011, 83, 543. [Google Scholar] [CrossRef] [Green Version]
- Stantchev, R.I.; Yu, X.; Blu, T.; Pickwell-MacPherson, E. Real-time terahertz imaging with a single-pixel detector. Nat. Commun. 2020, 11, 1–8. [Google Scholar] [CrossRef] [PubMed]
- Appleby, R.; Anderton, R.N. Millimeter-wave and submillimeter-wave imaging for security and surveillance. Proc. IEEE 2007, 95, 1683–1690. [Google Scholar] [CrossRef]
- Yeom, S.; Lee, D.S.; Son, J.Y.; Jung, M.K.; Jang, Y.; Jung, S.W.; Lee, S.J. Real-time outdoor concealed-object detection with passive millimeter wave imaging. Opt. Express 2011, 19, 2530–2536. [Google Scholar] [CrossRef] [PubMed]
- Zhang, Y.; Wang, C.; Huai, B.; Wang, S.; Zhang, Y.; Wang, D.; Rong, L.; Zheng, Y. Continuous-Wave THz Imaging for Biomedical Samples. Appl. Sci. 2021, 11, 71. [Google Scholar] [CrossRef]
- D’Arco, A.; Di Fabrizio, M.; Dolci, V.; Petrarca, M.; Lupi, S. THz pulsed imaging in biomedical applications. Condens. Matter 2020, 5, 25. [Google Scholar] [CrossRef] [Green Version]
- Lindley-Hatcher, H.; Stantchev, R.; Chen, X.; Hernandez-Serrano, A.; Hardwicke, J.; Pickwell-MacPherson, E. Real time THz imaging—Opportunities and challenges for skin cancer detection. Appl. Phys. Lett. 2021, 118, 230501. [Google Scholar] [CrossRef]
- Kreisler, A.J.; Gaugue, A. Recent progress in high-temperature superconductor bolometric detectors: From the mid-infrared to the far-infrared (THz) range. Supercond. Sci. Technol. 2000, 13, 1235. [Google Scholar] [CrossRef]
- Demirhan, Y.; Turkoglu, F.; Altan, H.; Sabah, C.; Ozyuzer, L. THz Sources and Detectors Fabricated from High Temperature Superconductors. In Terahertz (THz), Mid Infrared (MIR) and Near Infrared (NIR) Technologies for Protection of Critical Infrastructures Against Explosives and CBRN; Springer: Dordrecht, The Netherlands, 2021; pp. 153–164. [Google Scholar]
- Ozyuzer, L.; Koshelev, A.E.; Kurter, C.; Gopalsami, N.; Li, Q.; Tachiki, M.; Kadowaki, K.; Yamamoto, T.; Minami, H.; Yamaguchi, H.; et al. Emission of coherent THz radiation from superconductors. Science 2007, 318, 1291–1293. [Google Scholar] [CrossRef] [PubMed] [Green Version]
- Tsujimoto, M.; Yamaki, K.; Deguchi, K.; Yamamoto, T.; Kashiwagi, T.; Minami, H.; Tachiki, M.; Kadowaki, K.; Klemm, R.A. Geometrical resonance conditions for THz radiation from the intrinsic Josephson junctions in Bi2Sr2CaCu2O8+ δ. Phys. Rev. Lett. 2010, 105, 037005. [Google Scholar] [CrossRef] [PubMed] [Green Version]
- Wang, H.; Guénon, S.; Gross, B.; Yuan, J.; Jiang, Z.; Zhong, Y.; Grünzweig, M.; Iishi, A.; Wu, P.; Hatano, T.; et al. Coherent terahertz emission of intrinsic Josephson junction stacks in the hot spot regime. Phys. Rev. Lett. 2010, 105, 057002. [Google Scholar] [CrossRef] [Green Version]
- Welp, U.; Kadowaki, K.; Kleiner, R. Superconducting emitters of THz radiation. Nat. Photonics 2013, 7, 702–710. [Google Scholar] [CrossRef]
- Klemm, R.A.; Delfanazari, K.; Tsujimoto, M.; Kashiwagi, T.; Kitamura, T.; Yamamoto, T.; Sawamura, M.; Ishida, K.; Hattori, T.; Kadowaki, K. Modeling the electromagnetic cavity mode contributions to the THz emission from triangular Bi2Sr2CaCu2O8+ δ mesas. Phys. C Supercond. 2013, 491, 30–34. [Google Scholar] [CrossRef] [Green Version]
- Kashiwagi, T.; Yamamoto, T.; Minami, H.; Tsujimoto, M.; Yoshizaki, R.; Delfanazari, K.; Kitamura, T.; Watanabe, C.; Nakade, K.; Yasui, T.; et al. Efficient fabrication of intrinsic-Josephson-junction terahertz oscillators with greatly reduced self-heating effects. Phys. Rev. Appl. 2015, 4, 054018. [Google Scholar] [CrossRef]
- Ono, Y.; Minami, H.; Kuwano, G.; Kashiwagi, T.; Tsujimoto, M.; Kadowaki, K.; Klemm, R. Superconducting emitter powered at 1.5 terahertz by an external resonator. Phys. Rev. Appl. 2020, 13, 064026. [Google Scholar] [CrossRef]
- Burstein, E.; Langenberg, D.; Taylor, B. Superconductors as quantum detectors for microwave and sub-millimeter-wave radiation. Phys. Rev. Lett. 1961, 6, 92. [Google Scholar] [CrossRef]
- Dolan, G.; Phillips, T.; Woody, D. Low-noise 115-GHz mixing in superconducting oxide-barrier tunnel junctions. Appl. Phys. Lett. 1979, 34, 347–349. [Google Scholar] [CrossRef]
- Ariyoshi, S.; Otani, C.; Dobroiu, A.; Sato, H.; Kawase, K.; Shimizu, H.; Taino, T.; Matsuo, H. Terahertz imaging with a direct detector based on superconducting tunnel junctions. Appl. Phys. Lett. 2006, 88, 203503. [Google Scholar] [CrossRef]
- Kraus, H. Superconductive bolometers and calorimeters. Supercond. Sci. Technol. 1996, 9, 827. [Google Scholar] [CrossRef]
- Zhao, Y.; Wu, W.; Tang, X.; Andersen, N.H.; Han, Z.; Grivel, J.C. Epitaxial growth of YBa2Cu3O7-x films on Ce0.9La0.1O2-y buffered yttria-stabilized zirconia substrates by an all-chemical-solution route. CrystEngComm 2014, 16, 4369–4372. [Google Scholar] [CrossRef]
- Mohajeri, R.; Opata, Y.A.; Wulff, A.C.; Grivel, J.C.; Fardmanesh, M. All Metal Organic Deposited High-T c Superconducting Transition Edge Bolometer on Yttria-Stabilized Zirconia Substrate. J. Supercond. Nov. Magn. 2017, 30, 1981–1986. [Google Scholar] [CrossRef]
- Nazifi, R.; Mohajeri, R.; Alipour, Z.; Mirzaei, S.I.; Ahmadi-Boroujeni, M.; Vesaghi, M.; Grivel, J.C.; Fardmanesh, M. Millimeter-Wave Response of All Metal-Organic Deposited YBCO Transition Edge Bolometer. IEEE Trans. Appl. Supercond. 2020, 31, 1–5. [Google Scholar] [CrossRef]
- Chan, W.L.; Deibel, J.; Mittleman, D.M. Imaging with terahertz radiation. Rep. Prog. Phys. 2007, 70, 1325. [Google Scholar] [CrossRef]
- Fardmanesh, M.; Rothwarf, A.; Scoles, K.J. Low and midrange modulation frequency response for YBCO infrared detectors: Interface effects on the amplitude and phase. IEEE Trans. Appl. Supercond. 1995, 5, 7–13. [Google Scholar] [CrossRef]



Publisher’s Note: MDPI stays neutral with regard to jurisdictional claims in published maps and institutional affiliations. |
© 2021 by the authors. Licensee MDPI, Basel, Switzerland. This article is an open access article distributed under the terms and conditions of the Creative Commons Attribution (CC BY) license (https://creativecommons.org/licenses/by/4.0/).
Share and Cite
Nazifi, R.; Mohajeri, R.; Mirzaei, S.I.; Ahmadi-Boroujeni, M.; Fardmanesh, M. 0.1 THz Imaging with a Monolithic High-Tc Superconducting Transition-Edge Detector. Eng. Proc. 2021, 10, 71. https://doi.org/10.3390/ecsa-8-11304
Nazifi R, Mohajeri R, Mirzaei SI, Ahmadi-Boroujeni M, Fardmanesh M. 0.1 THz Imaging with a Monolithic High-Tc Superconducting Transition-Edge Detector. Engineering Proceedings. 2021; 10(1):71. https://doi.org/10.3390/ecsa-8-11304
Chicago/Turabian StyleNazifi, Rana, Roya Mohajeri, S. Iman Mirzaei, Mehdi Ahmadi-Boroujeni, and Mehdi Fardmanesh. 2021. "0.1 THz Imaging with a Monolithic High-Tc Superconducting Transition-Edge Detector" Engineering Proceedings 10, no. 1: 71. https://doi.org/10.3390/ecsa-8-11304
APA StyleNazifi, R., Mohajeri, R., Mirzaei, S. I., Ahmadi-Boroujeni, M., & Fardmanesh, M. (2021). 0.1 THz Imaging with a Monolithic High-Tc Superconducting Transition-Edge Detector. Engineering Proceedings, 10(1), 71. https://doi.org/10.3390/ecsa-8-11304

