Correlation between Smart Mask and Knitted Coil Sensors Breathing Data †
Abstract
1. Introduction
2. Materials and Methods
3. Results
3.1. Correlations
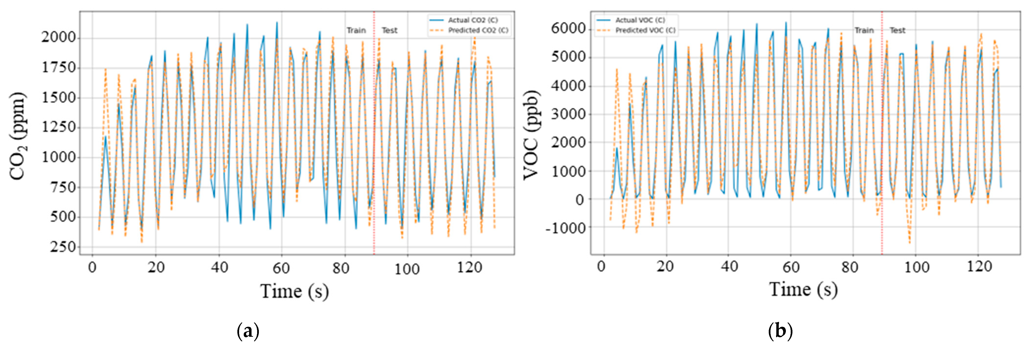
3.2. Prediction of VOC and CO2 Data from Garment Sensors
Author Contributions
Funding
Institutional Review Board Statement
Informed Consent Statement
Data Availability Statement
Acknowledgments
Conflicts of Interest
References
- Di Zazzo, L.; Magna, G.; Lucentini, M.; Stefanelli, M.; Paolesse, R.; Di Natale, C. Sensor-Embedded Face Masks for Detection of Volatiles in Breath: A Proof of Concept Study. Chemosensors 2021, 9, 356. [Google Scholar] [CrossRef]
- Houssein, A.; Ge, D.; Gastinger, S.; Dumond, R.; Prioux, J. Estimation of respiratory variables from thoracoabdominal breathing distance: A review of different techniques and calibration methods. Physiol. Meas. 2019, 40, 03TR01. [Google Scholar]
- Tobin, M.J.; Jenouri, G.; Lind, B.; Watson, H.; Schneider, A.; Sackner, M.A. Validation of Respiratory Inductive Plethysmography in Patients with Pulmonary Disease. Chest 1983, 83, 615–620. [Google Scholar] [CrossRef]
- Fobelets, K. Knitted coils as breathing sensors. Sens. Actuators A Phys. 2020, 306, 111945. [Google Scholar] [CrossRef]
- Kiener, K.; Anand, A.; Fobelets, W.; Fobelets, K. Low Power Respiration Monitoring Using Wearable 3D Knitted Helical Coils. IEEE Sens. J. 2022, 22, 1374. [Google Scholar] [CrossRef]
- Konno, K.; Mead, J. Measurement of the separate volume changes of rib cage and abdomen during breathing. J. Appl. Physiol. 1967, 22, 407–422. [Google Scholar] [CrossRef]
- Ali, M.; Elsayed, A.; Mendez, A.; Savaria, Y.; Sawan, M. Contact and Remote Breathing Rate Monitoring Techniques: A Review. IEEE Sens. J. 2021, 21, 14569. [Google Scholar] [CrossRef]
- Moré, J.J. The Levenberg-Marquardt algorithm: Implementation and theory. In Numerical Analysis. Lecture Notes in Mathematics; Watson, G.A., Ed.; Springer: Berlin/Heidelberg, Germany, 1978; Volume 630. [Google Scholar] [CrossRef]
- Pedregosa, F.; Varoquaux, G.; Gramfort, A.; Michel, V.; Thirion, B.; Grisel, O.; Blondel, M.; Prettenhofer, P.; Weiss, R.; Dubourg, V.; et al. Scikit-learn: Machine learning in Python. J. Mach. Learn. Res. 2011, 12, 2825–2830. [Google Scholar]



Disclaimer/Publisher’s Note: The statements, opinions and data contained in all publications are solely those of the individual author(s) and contributor(s) and not of MDPI and/or the editor(s). MDPI and/or the editor(s) disclaim responsibility for any injury to people or property resulting from any ideas, methods, instructions or products referred to in the content. |
© 2024 by the authors. Licensee MDPI, Basel, Switzerland. This article is an open access article distributed under the terms and conditions of the Creative Commons Attribution (CC BY) license (https://creativecommons.org/licenses/by/4.0/).
Share and Cite
Setiawan, M.; Malik, M.A.; Fobelets, K. Correlation between Smart Mask and Knitted Coil Sensors Breathing Data. Eng. Proc. 2023, 52, 15. https://doi.org/10.3390/engproc2023052015
Setiawan M, Malik MA, Fobelets K. Correlation between Smart Mask and Knitted Coil Sensors Breathing Data. Engineering Proceedings. 2023; 52(1):15. https://doi.org/10.3390/engproc2023052015
Chicago/Turabian StyleSetiawan, Matthew, Muhammad Adil Malik, and Kristel Fobelets. 2023. "Correlation between Smart Mask and Knitted Coil Sensors Breathing Data" Engineering Proceedings 52, no. 1: 15. https://doi.org/10.3390/engproc2023052015
APA StyleSetiawan, M., Malik, M. A., & Fobelets, K. (2023). Correlation between Smart Mask and Knitted Coil Sensors Breathing Data. Engineering Proceedings, 52(1), 15. https://doi.org/10.3390/engproc2023052015

