Evaluation of Three Reanalysis Soil Temperature Datasets with Observation Data over China
Abstract
1. Introduction
2. Data and Methods
2.1. Observations
2.2. CLDAS
2.3. ERA-Interim
2.4. GLDAS-2.1
2.5. Measures of the Performance
2.5.1. Mean Error
2.5.2. Absolute Mean Error
2.5.3. Root-Mean-Square-Error
3. Results
3.1. Spatial Distributions of the Annual Average of Different Elevations
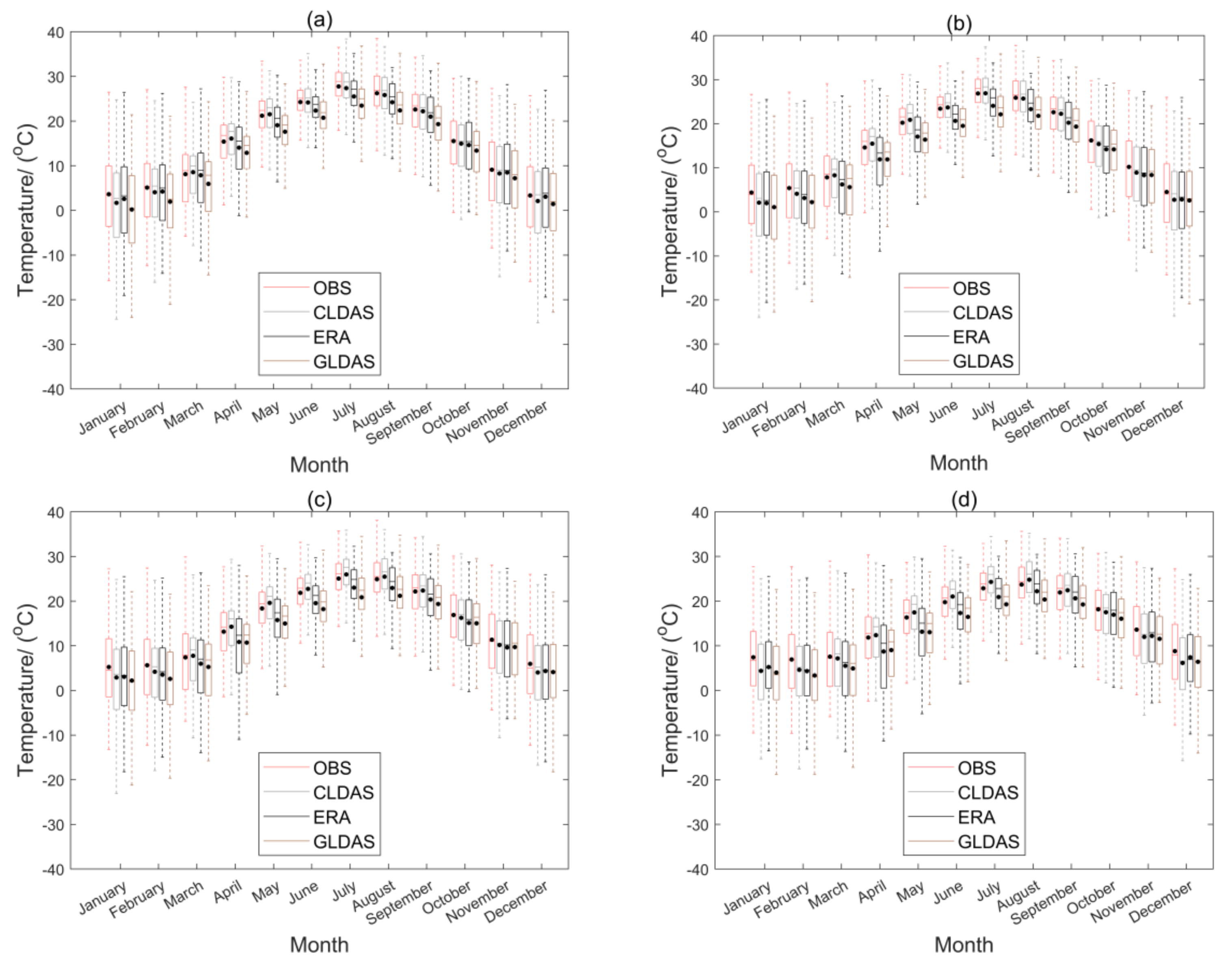
3.2. Monthly Characteristics
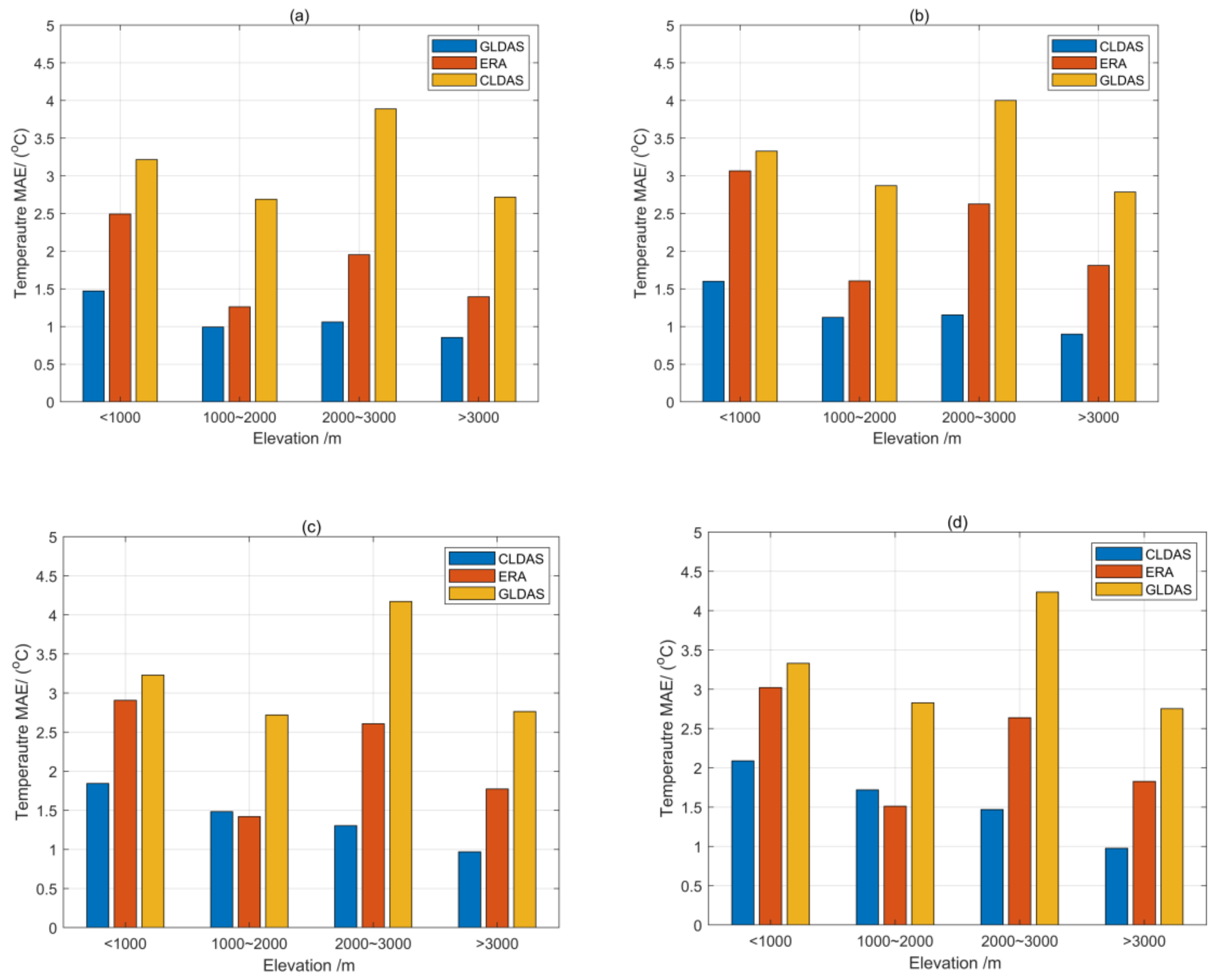
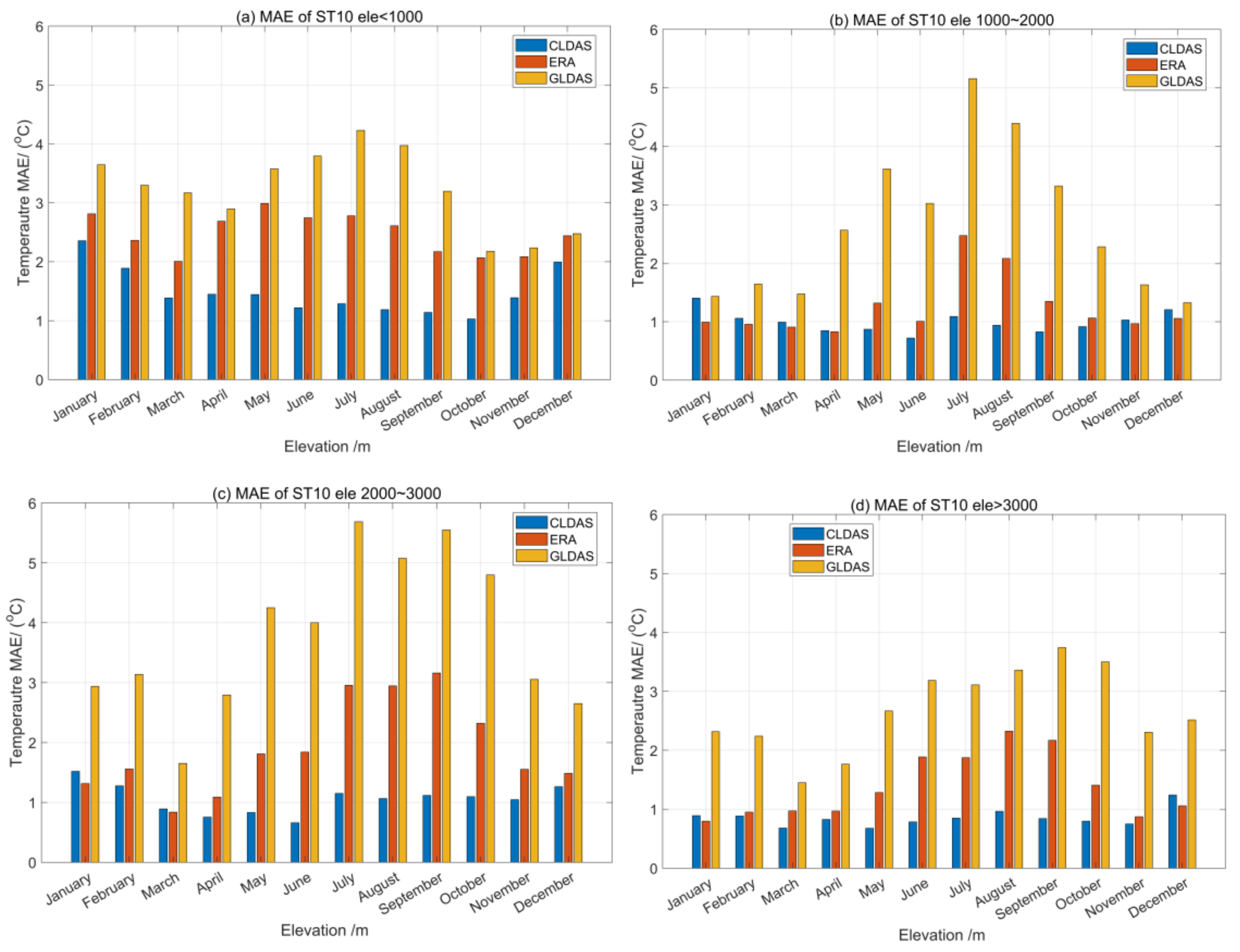
3.3. Biases of Different Elevations
3.4. Biases of Different Land-Use
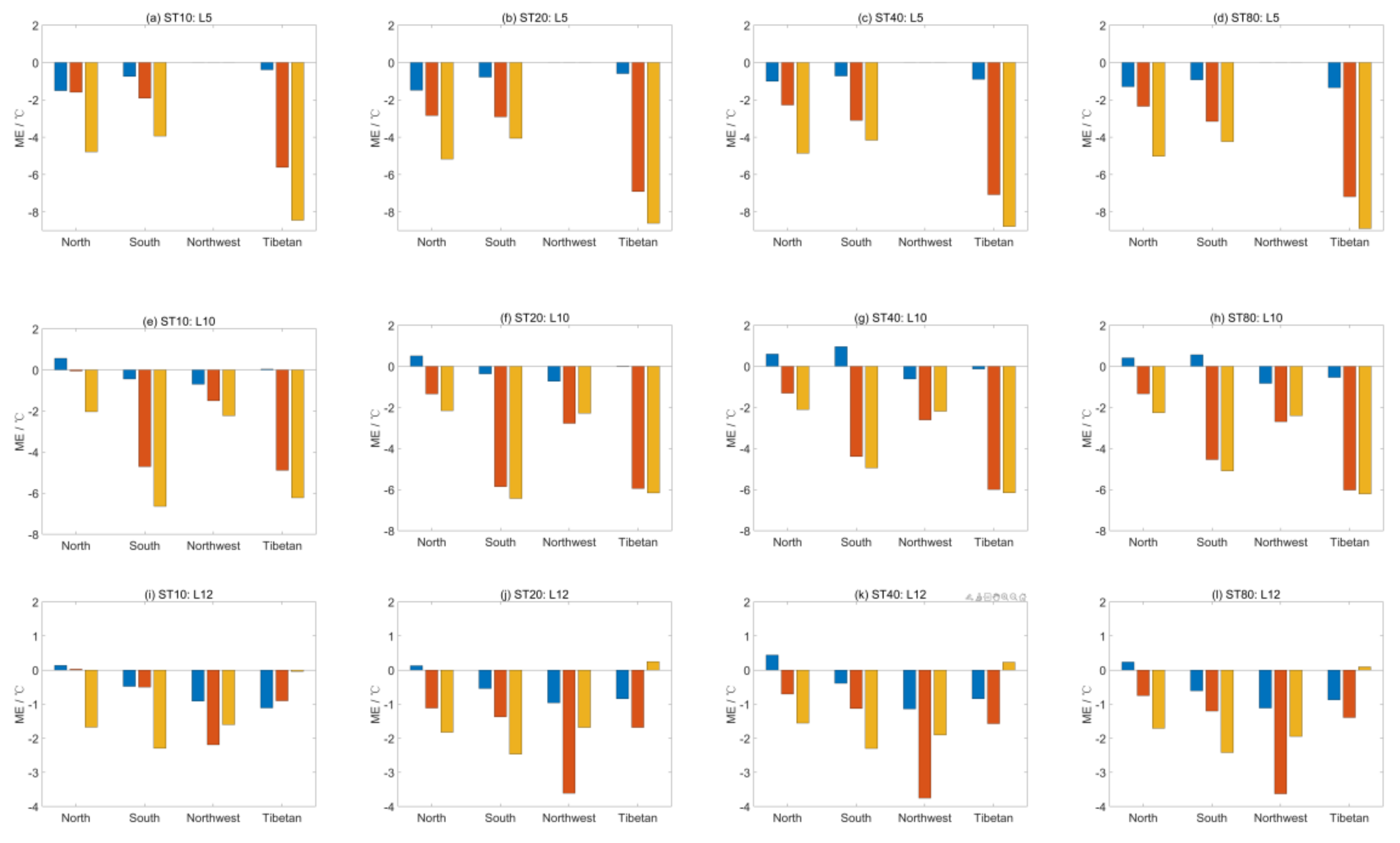
3.5. Biases of Different Land Use over Different Regions
4. Conclusions and Discussion
Author Contributions
Funding
Data Availability Statement
Conflicts of Interest
References
- Song, Y.; Zhou, D.; Zhang, H.; Li, G.; Jin, Y.; Li, Q. Effects of vegetation height and density on soil temperature variations. Chin. Sci. Bull. 2013, 58, 907–912. [Google Scholar] [CrossRef]
- Houle, D.; Bouffard, A.; Duchesne, L.; Logan, T.; Harvey, R. Projections of future soil temperature and aater content for three southern quebec forested sites. J. Clim. 2012, 25, 7690–7701. [Google Scholar] [CrossRef]
- Hu, Q.; Feng, S. A Daily Soil Temperature Dataset and Soil Temperature Climatology of the Contiguous United States. J. Appl. Meteorol. 2003, 42, 1139–1156. [Google Scholar] [CrossRef]
- Park, S.K.; O, S.; Cassardo, C. Soil temperature response in Korea to a changing climate using a land surface model. Asia-Pacific J. Atmos. Sci. 2017, 53, 457–470. [Google Scholar] [CrossRef]
- Pan, H.-L.; Mahrt, L. Interaction between soil hydrology and boundary-layer development. Bound. Layer Meteorol. 1987, 38, 185–202. [Google Scholar] [CrossRef]
- Pollack, H.N.; Smerdon, J.E. Borehole climate reconstructions: Spatial structure and hemispheric averages. J. Geophys. Res. 2004, 109, D11106. [Google Scholar] [CrossRef]
- Pántano, V.C.; Penalba, O.C. Soil response to long-term projections of extreme temperature and precipitation in the southern La Plata Basin. Arch. Meteorol. Geophys. Bioclimatol. Ser. B 2017, 134, 1257–1268. [Google Scholar] [CrossRef]
- Jahromi, F.K.; Sabziparvar, A.A.; Mahmoudvand, R. Spectral analysis of soil temperature and their coincidence with air temperature in Iran. Environ. Monit. Assess. 2021, 193, 72. [Google Scholar] [CrossRef]
- Ardilouze, C.; Materia, S.; Batté, L.; Benassi, M.; Prodhomme, C. Precipitation response to extreme soil moisture conditions over the Mediterranean. Clim. Dyn. 2022, 58, 1927–1942. [Google Scholar] [CrossRef]
- Hacene, M.; Sari, N. The evaluation of global warming’s effects on soil temperature—Case of Tlemcen (North Africa). J. Water Land Dev. 2011, 15, 145–155. [Google Scholar]
- Koven, C.D.; Riley, W.J.; Stern, A. Analysis of Permafrost Thermal Dynamics and Response to Climate Change in the CMIP5 Earth System Models. J. Clim. 2013, 26, 1877–1900. [Google Scholar] [CrossRef]
- Wang, X.; Zhong, Z.; Cui, X.; Guo, W. Long term trends of soil moisture and temperature change in east china in relationship with climate background. Adv. Earth Sci. 2009, 24, 181–191. [Google Scholar]
- Webb, J.; Amon, B.; Subedi, M.; Fullen, M.A. Temporal changes in soil temperature at Wolverhampton, UK and Hohe Warte, Vienna, Austria 1976–2010. Weather 2017, 72, 260–265. [Google Scholar] [CrossRef]
- Yang, K.; Zhang, J. Spatiotemporal characteristics of soil temperature memory in China from observation. Arch. Meteorol. Geophys. Bioclimatol. Ser. B 2015, 126, 739–749. [Google Scholar] [CrossRef]
- Zhu, F.; Cuo, L.; Zhang, Y.; Luo, J.; Lettenmaier, D.P.; Lin, Y.; Liu, Z. Spatio temporal variations of annual shallow soil temperature on the Tibetan Plateau during 1983–2013. Clim. Dyn. 2018, 51, 2209–2227. [Google Scholar] [CrossRef]
- Diffenbaugh, N.S. Atmosphere-land cover feedbacks alter the response of surface temperature to CO2 forcing in the western United States. Clim. Dyn. 2005, 24, 237–251. [Google Scholar] [CrossRef]
- Scull, P. Changes in Soil Temperature Associated with Reforestation in Central New York State. Phys. Geogr. 2007, 28, 360–373. [Google Scholar] [CrossRef]
- Hinzman, L.D.; Goering, D.J.; Kane, D.L. A distributed thermal model for calculating soil temperature profiles and depth of thaw in permafrost regions. J. Geophys. Res. Earth Surf. 1998, 103, 28975–28991. [Google Scholar] [CrossRef]
- Pleim, J.E.; Gilliam, R. An Indirect Data Assimilation Scheme for Deep Soil Temperature in the Pleim–Xiu Land Surface Model. J. Appl. Meteorol. Clim. 2009, 48, 1362–1376. [Google Scholar] [CrossRef]
- Holmes, T.; De Jeu, R. A physically-based model with remote sensing inputs for improved soil temperature retrievals. SPIE 2005, 5976, 59760N. [Google Scholar] [CrossRef]
- Holmes, T.R.H.; Jackson, T.J.; Reichle, R.H.; Basara, J.B. An assessment of surface soil temperature products from numerical weather prediction models using ground-based measurements. Water Resour. Res. 2012, 48, W02531. [Google Scholar] [CrossRef]
- Albergel, C.; Dutra, E.; Muñoz-Sabater, J.; Haiden, T.; Balsamo, G.; Beljaars, A.; Isaksen, L.; De Rosnay, P.; Sandu, I.; Wedi, N. Soil temperature at ECMWF: An assessment using ground-based observations. J. Geophys. Res. Atmos. 2015, 120, 1361–1373. [Google Scholar] [CrossRef]
- Betts, A.K.; Ball, J.H.; Viterbo, P. Evaluation of the ERA-40 Surface Water Budget and Surface Temperature for the Mackenzie River Basin. J. Hydrometeorol. 2003, 4, 1194–1211. [Google Scholar] [CrossRef]
- Robock, A.; Luo, L.; Wood, E.F.; Wen, F.; Mitchell, K.E.; Houser, P.R.; Schaake, J.C.; Lohmann, D.; Cosgrove, B.; Sheffield, J.; et al. Evaluation of the North American Land Data Assimilation System over the southern Great Plains during the warm season. J. Geophys. Res. 2003, 108, 8846. [Google Scholar] [CrossRef]
- Wang, L.; Li, X.; Chen, Y.; Yang, K.; Chen, D.; Zhou, J.; Liu, W.; Qi, J.; Huang, J. Validation of the global land data assimilation system based on measurements of soil temperature profiles. Agric. For. Meteorol. 2016, 218–219, 288–297. [Google Scholar] [CrossRef]
- Qin, Y.; Liu, W.; Guo, Z.; Xue, S. Spatial and temporal variations in soil temperatures over the Qinghai–Tibet Plateau from 1980 to 2017 based on reanalysis products. Arch. Meteorol. Geophys. Bioclimatol. Ser. B 2020, 140, 1055–1069. [Google Scholar] [CrossRef]
- Xue, H.; Jin, Q.; Yi, B.; Mullendore, G.L.; Zheng, X.; Jin, H. Modulation of Soil Initial State on WRF Model Performance Over China. J. Geophys. Res. Atmos. 2017, 122, 11278–11300. [Google Scholar] [CrossRef]
- Cosgrove, B.A.; Lohmann, D.; Mitchell, K.E.; Houser, P.R.; Wood, E.F.; Schaake, J.C.; Robock, A.; Sheffield, J.; Duan, Q.; Luo, L.; et al. Land surface model spin-up behavior in the North American Land Data Assimilation System (NLDAS). J. Geophys. Res. Earth Surf. 2003, 108, 8845. [Google Scholar] [CrossRef]
- Zhu, J.; Liang, X.Z. Regional climate model simulation of U.S. soil temperature and moisture during 1982–2002. J. Geophys. Res. 2005, 110, D24110. [Google Scholar] [CrossRef]
- Li, X.; Zhou, W.; Chen, Y.D. Assessment of Regional Drought Trend and Risk over China: A Drought Climate Division Perspective. J. Clim. 2015, 28, 7025–7037. [Google Scholar] [CrossRef]
- Yang, S.; Li, R.; Wu, T.; Hu, G.; Xiao, Y.; Du, Y.; Zhu, X.; Ni, J.; Ma, J.; Zhang, Y.; et al. Evaluation of reanalysis soil temperature and soil moisture products in permafrost regions on the Qinghai-Tibetan Plateau. Geoderma 2020, 377, 114583. [Google Scholar] [CrossRef]
- Guo, Z.H.; Liu, X.M.; Xiao, W.F. Regionalization and integrated assessment of climate resource in China based on GIS. Resour. Sci. 2007, 29, 2–9. (In Chinese) [Google Scholar]
- Shi, C.; Jiang, L.; Zhang, T.; Xu, B.; Han, S. Status and Plans of CMA Land Data Assimilation System (CLDAS) Project. In Proceedings of the EGU General Assembly Conference Abstracts, Vienna, Austria, 27 April–2 May 2014. [Google Scholar]
- Dee, D.P.; Uppala, S.M.; Simmons, A.J.; Berrisford, P.; Poli, P.; Kobayashi, S.; Andrae, U.; Balmaseda, M.A.; Balsamo, G.; Bauer, P.; et al. The ERA-Interim reanalysis: Configuration and performance of the data assimilation system. Q. J. R. Meteorol. Soc. 2011, 137, 553–597. [Google Scholar] [CrossRef]
- Rodell, M.; Houser, P.R.; Jambor, U.; Gottschalck, J.; Mitchell, K.; Meng, C.-J. The Global Land Data Assimilation System. Bull. Am. Meteorol. Soc. 2004, 85, 381–394. [Google Scholar] [CrossRef]
- Yang, K.; Zhang, J. Evaluation of reanalysis datasets against observational soil temperature data over China. Clim. Dyn. 2017, 50, 317–337. [Google Scholar] [CrossRef]













| Value | Land Use Type | Counts | Percent (%) |
|---|---|---|---|
| 1 | Evergreen Needleleaf Forest | 0 | 0 |
| 2 | Evergreen Broadleaf Forest | 24 | 2.87 |
| 3 | Deciduous Needleleaf Forest | 0 | 0 |
| 4 | Deciduous Broadleaf Forest | 1 | 0.12 |
| 5 | Mixed Forests | 162 | 19.38 |
| 6 | Closed Shrublands | 0 | 0 |
| 7 | Open Shrublands | 5 | 0.6 |
| 8 | Woody Savannas | 57 | 6.82 |
| 9 | Savannas | 0 | 0 |
| 10 | Grasslands | 205 | 24.52 |
| 11 | Permanent Wetlands | 1 | 0.12 |
| 12 | Croplands | 260 | 30.1 |
| 13 | Urban and Built-up | 4 | 0.48 |
| 14 | Crop/Natural Vegetation Mosaic | 35 | 4.19 |
| 15 | Snow and Ice | 0 | 0 |
| 16 | Barren or Sparsely Vegetated | 54 | 6.46 |
| 17 | Water Bodies | 28 | 3.35 |
| ST10 | ST20 | ST40 | ST80 | ||
|---|---|---|---|---|---|
| R | CLDAS | 0.88 * | 0.89 * | 0.88 * | 0.88* |
| ERA-Interim | 0.81 * | 0.82 * | 0.81 * | 0.81 * | |
| GLDAS | 0.75 * | 0.75 * | 0.77 * | 0.76 * | |
| ME/(°C) | CLDAS | −0.52 | −0.56 | −0.35 | −0.56 |
| ERA-Interim | −1.10 | −2.29 | −1.99 | −2.04 | |
| GLDAS | −2.91 | −3.09 | −2.88 | −3.00 | |
| RMSE/(°C) | CLDAS | 1.39 | 1.41 | 1.38 | 1.46 |
| ERA-Interim | 2.33 | 3.07 | 2.86 | 2.90 | |
| GLDAS | 3.60 | 3.75 | 3.57 | 3.66 |
| North | South | Northwest | Tibetan | |
|---|---|---|---|---|
| Mixed forests (L5) | 46 | 113 | 0 | 3 |
| Grasslands (L10) | 57 | 4 | 83 | 61 |
| Croplands (L12) | 149 | 105 | 4 | 2 |
Publisher’s Note: MDPI stays neutral with regard to jurisdictional claims in published maps and institutional affiliations. |
© 2022 by the authors. Licensee MDPI, Basel, Switzerland. This article is an open access article distributed under the terms and conditions of the Creative Commons Attribution (CC BY) license (https://creativecommons.org/licenses/by/4.0/).
Share and Cite
Zhao, C.; Gong, C.; Duan, H.; Yan, P.; Liu, Y.; Zhou, G. Evaluation of Three Reanalysis Soil Temperature Datasets with Observation Data over China. Earth 2022, 3, 1042-1058. https://doi.org/10.3390/earth3040060
Zhao C, Gong C, Duan H, Yan P, Liu Y, Zhou G. Evaluation of Three Reanalysis Soil Temperature Datasets with Observation Data over China. Earth. 2022; 3(4):1042-1058. https://doi.org/10.3390/earth3040060
Chicago/Turabian StyleZhao, Cailing, Chongshui Gong, Haixia Duan, Pengcheng Yan, Yuanpu Liu, and Ganlin Zhou. 2022. "Evaluation of Three Reanalysis Soil Temperature Datasets with Observation Data over China" Earth 3, no. 4: 1042-1058. https://doi.org/10.3390/earth3040060
APA StyleZhao, C., Gong, C., Duan, H., Yan, P., Liu, Y., & Zhou, G. (2022). Evaluation of Three Reanalysis Soil Temperature Datasets with Observation Data over China. Earth, 3(4), 1042-1058. https://doi.org/10.3390/earth3040060
