Extraction of Surface Water Extent: Automated Thresholding Approaches †
Abstract
:1. Introduction
2. Data and Method
2.1. Study Area
2.2. Data, Platform and Pre-Processing
2.3. Methodology
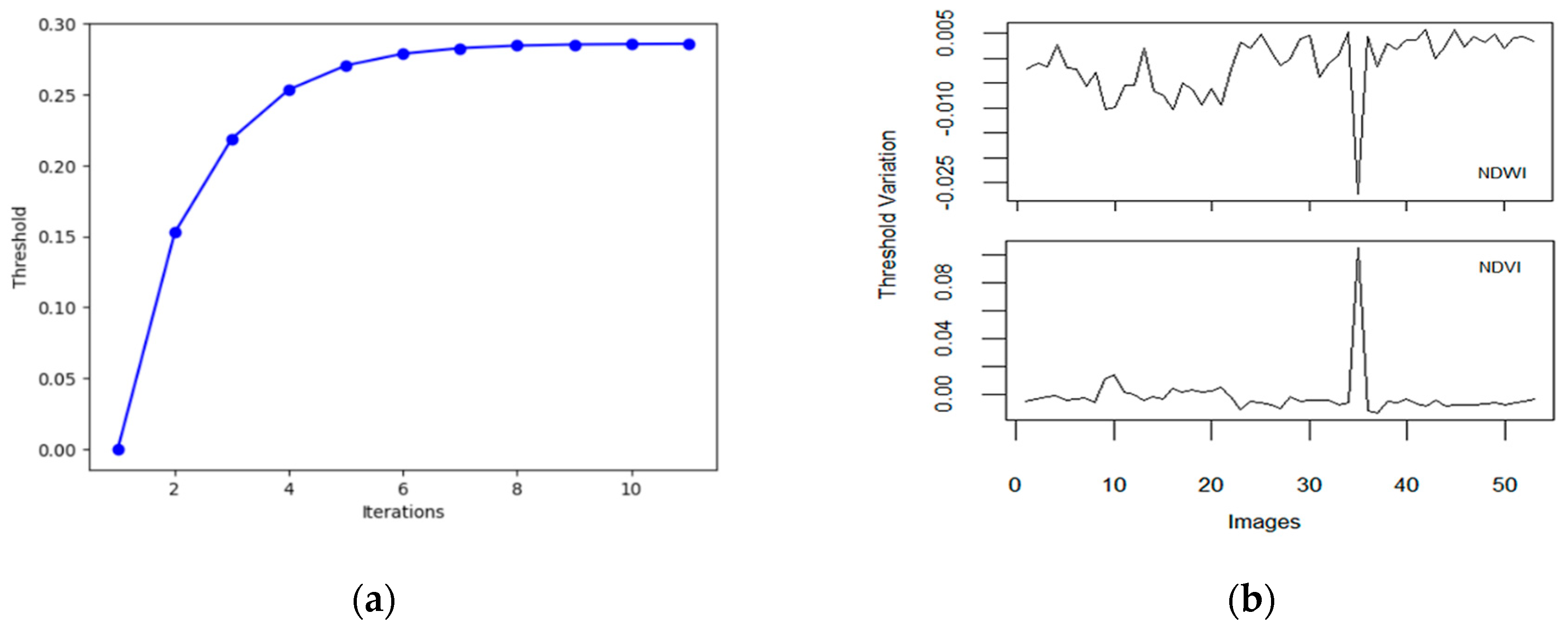
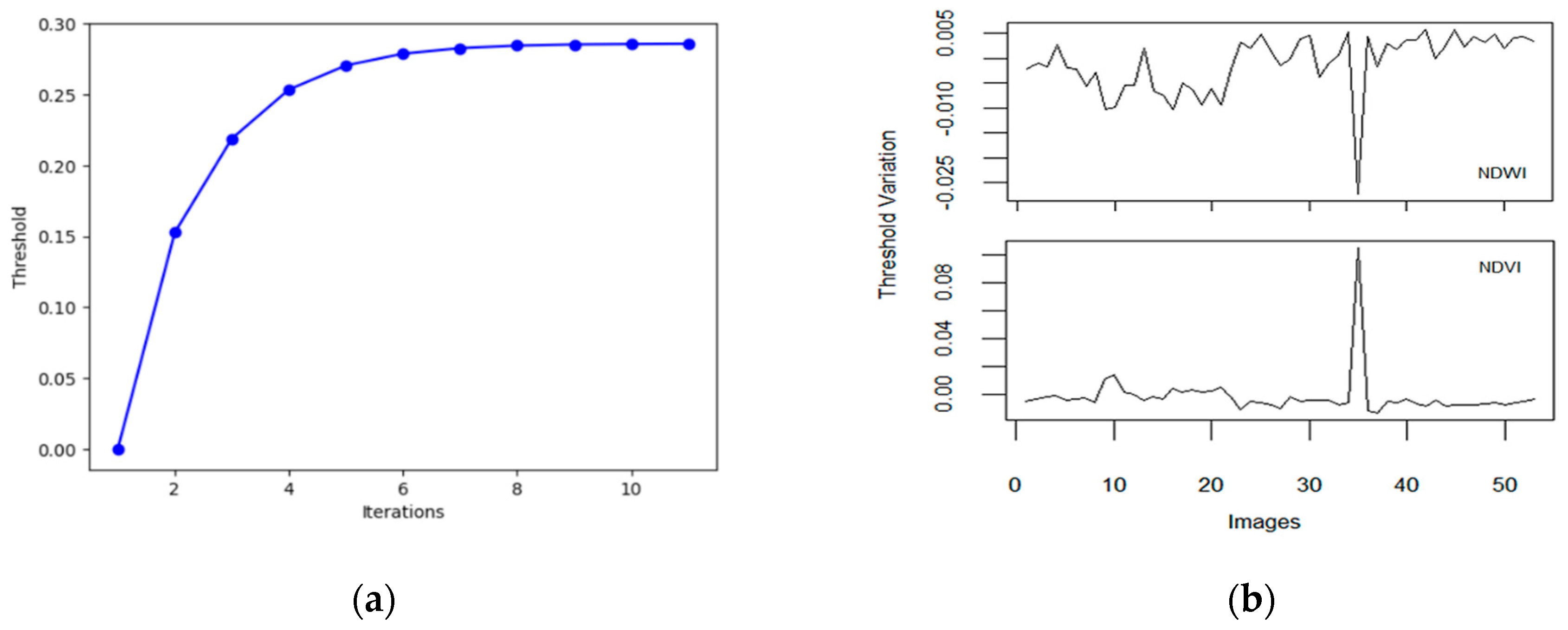
2.3.1. Improvised Determinant Thresholding
2.3.2. Otsu Thresholding
2.3.3. Extraction of Surface Water Extent and Dynamism
3. Results and Discussions
4. Conclusions
Funding
Institutional Review Board Statement
Informed Consent Statement
Data Availability Statement
Conflicts of Interest
References
- Fang, Y.; Ceola, S.; Paik, K.; McGrath, G.; Rao, P.S.C.; Montanari, A.; Jawitz, J.W. Globally Universal Fractal Pattern of Human Settlementsin River Networks. Earth’s Futur. 2018, 6, 1134–1145. [Google Scholar] [CrossRef]
- Sharma, R.K.; Kumar, S.; Padmalal, D.; Roy, A. Streamflow Prediction Using Machine Learning Models in Selected Rivers of Southern India. Int. J. River Basin Manag. 2023, 1, 1–27. [Google Scholar] [CrossRef]
- Karpatne, A.; Khandelwal, A.; Chen, X.; Mithal, V.; Faghmous, J.; Kumar, V. Global Monitoring of Inland Water Dynamics: State-of-the-Art, Challenges, and Opportunities. In Computational Sustainability; Lässig, J., Kersting, K., Morik, K., Eds.; Springer International Publishing: Cham, Switzerland, 2016; pp. 121–147. ISBN 978-3-319-31858-5. [Google Scholar]
- Ko, B.C.; Kim, H.H.; Nam, J.Y. Classification of Potential Water Bodies Using Landsat 8 OLI and a Combination of Two Boosted Random Forest Classifiers. Sensors 2015, 15, 13763–13777. [Google Scholar] [CrossRef] [PubMed]
- Carroll, M.L.; Loboda, T. V Multi-Decadal Surface Water Dynamics in North American Tundra. Remote Sens. 2017, 9, 497. [Google Scholar] [CrossRef]
- Huang, C.; Chen, Y.; Zhang, S.; Wu, J. Detecting, Extracting, and Monitoring Surface Water From Space Using Optical Sensors: A Review. Rev. Geophys. 2018, 56, 333–360. [Google Scholar] [CrossRef]
- Sheng, Y.; Song, C.; Wang, J.; Lyons, E.A.; Knox, B.R.; Cox, J.S.; Gao, F. Representative Lake Water Extent Mapping at Continental Scales Using Multi-Temporal Landsat-8 Imagery. Remote Sens. Environ. 2016, 185, 129–141. [Google Scholar] [CrossRef]
- Walia, Y.; Gupta, P.K.; Srivastav, S.K.; Gulzat, A.; Saha, S.K. Cloud Based Geo-Processing Platform for Analyzing Large Volume Temporal Satellite Data: A Study in Part of Ghaghara River Basin (India) for Surface Water Spread Analysis. In Proceedings of the 38th Asian Conference on Remote Sensing—Space Applications: Touching Human Lives, ACRS 2017, New Delhi, India, 23–27 October 2017. [Google Scholar]
- Zhou, S.; Kan, P.; Silbernagel, J.; Jin, J. Application of Image Segmentation in Surface Water Extraction of Freshwater Lakes Using Radar Data. ISPRS Int. J. Geo-Inf. 2020, 9, 424. [Google Scholar] [CrossRef]
- Gonzalez, R.; Faisal, Z. Digital Image Processing, 2nd ed.; Pearson Education International: London, UK, 2019. [Google Scholar]
- Sahoo, P.K.; Soltani, S.; Wong, A.K.C. A Survey of Thresholding Techniques. Comput. Vision Graph. Image Process. 1988, 41, 233–260. [Google Scholar] [CrossRef]
- Padmasini, N.; Umamaheswari, R.; Sikkandar, M.Y. Chapter 10-State-of-the-Art of Level-Set Methods in Segmentation and Registration of Spectral Domain Optical Coherence Tomographic Retinal Images; Dey, N., Ashour, A.S., Shi, F., Balas, V.E., Eds.; Academic Press: Cambridge, MA, USA, 2018; pp. 163–181. ISBN 978-0-12-813087-2. [Google Scholar]
- Das, N.; Bhattacharjee, R.; Choubey, A.; Ohri, A.; Dwivedi, S.B.; Gaur, S. Time Series Analysis of Automated Surface Water Extraction and Thermal Pattern Variation over the Betwa River, India. Adv. Sp. Res. 2021, 68, 1761–1788. [Google Scholar] [CrossRef]
- Otsu, N. A Threshold Selection Method from Gray-Level Histograms. IEEE Trans. Syst. Man. Cybern. 1979, 9, 62–66. [Google Scholar] [CrossRef]
- Xu, X.; Xu, S.; Jin, L.; Song, E. Characteristic Analysis of Otsu Threshold and Its Applications. Pattern Recognit. Lett. 2011, 32, 956–961. [Google Scholar] [CrossRef]
- Brindha, K.; Neena Vaman, K.V.; Srinivasan, K.; Sathis Babu, M.; Elango, L. Identification of Surface Water-Groundwater Interaction by Hydrogeochemical Indicators and Assessing Its Suitability for Drinking and Irrigational Purposes in Chennai, Southern India. Appl. Water Sci. 2014, 4, 159–174. [Google Scholar] [CrossRef]
- Veerasingam, S.; Mugilarasan, M.; Venkatachalapathy, R.; Vethamony, P. Influence of 2015 Flood on the Distribution and Occurrence of Microplastic Pellets along the Chennai Coast, India. Mar. Pollut. Bull. 2016, 109, 196–204. [Google Scholar] [CrossRef] [PubMed]
- McFEETERS, S.K. The Use of the Normalized Difference Water Index (NDWI) in the Delineation of Open Water Features. Int. J. Remote Sens. 1996, 17, 1425–1432. [Google Scholar] [CrossRef]
- Dutta Gupta, V.; Areendran, G.; Raj, K.; Ghosh, S.; Dutta, S.; Sahana, M. Chapter 26-Assessing Habitat Suitability of Leopards (Panthera Pardus) in Unprotected Scrublands of Bera, Rajasthan, India; Kumar Shit, P., Pourghasemi, H.R., Adhikary, P.P., Bhunia, G.S., Sati, V.P., Eds.; Elsevier: Amsterdam, The Netherlands, 2021; pp. 329–342. ISBN 978-0-12-822931-6. [Google Scholar]
- Kolli, M.K.; Opp, C.; Karthe, D.; Pradhan, B. Automatic Extraction of Large-Scale Aquaculture Encroachment Areas Using Canny Edge Otsu Algorithm in Google Earth Engine–The Case Study of Kolleru Lake, South India. Geocarto Int. 2022, 37, 11173–11189. [Google Scholar] [CrossRef]




Disclaimer/Publisher’s Note: The statements, opinions and data contained in all publications are solely those of the individual author(s) and contributor(s) and not of MDPI and/or the editor(s). MDPI and/or the editor(s) disclaim responsibility for any injury to people or property resulting from any ideas, methods, instructions or products referred to in the content. |
© 2023 by the author. Licensee MDPI, Basel, Switzerland. This article is an open access article distributed under the terms and conditions of the Creative Commons Attribution (CC BY) license (https://creativecommons.org/licenses/by/4.0/).
Share and Cite
Sathish Kumar, M. Extraction of Surface Water Extent: Automated Thresholding Approaches. Environ. Sci. Proc. 2024, 29, 31. https://doi.org/10.3390/ECRS2023-15861
Sathish Kumar M. Extraction of Surface Water Extent: Automated Thresholding Approaches. Environmental Sciences Proceedings. 2024; 29(1):31. https://doi.org/10.3390/ECRS2023-15861
Chicago/Turabian StyleSathish Kumar, Meghaa. 2024. "Extraction of Surface Water Extent: Automated Thresholding Approaches" Environmental Sciences Proceedings 29, no. 1: 31. https://doi.org/10.3390/ECRS2023-15861
APA StyleSathish Kumar, M. (2024). Extraction of Surface Water Extent: Automated Thresholding Approaches. Environmental Sciences Proceedings, 29(1), 31. https://doi.org/10.3390/ECRS2023-15861
