Nanocellulose/Nanodiamond Hybrids: A Review
Abstract
1. Introduction
2. Nanocellulose–Nanodiamonds Hybrids
2.1. Nanocellulose
2.2. Nanodiamonds

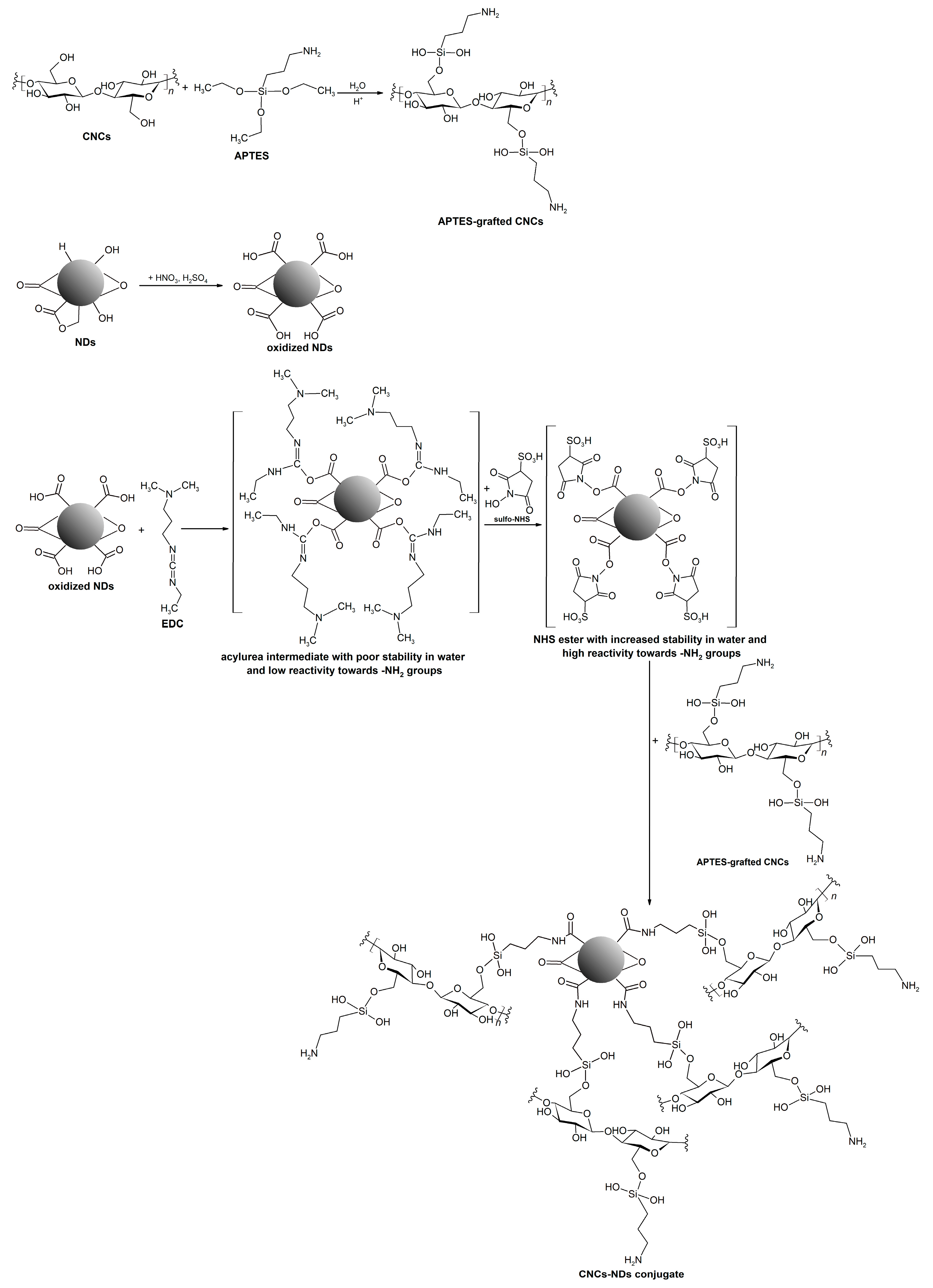
2.3. Preparation of Nanocellulose–Nanodiamonds Hybrids
2.4. Main Characteristics of Nanocellulose–Nanodiamonds Hybrids
2.4.1. Thermal Conductivity
2.4.2. Mechanical Properties
2.4.3. Optical Properties
2.5. Applications of Nanocellulose–Nanodiamond Hybrids
3. Conclusions and Future Perspectives
Author Contributions
Funding
Data Availability Statement
Conflicts of Interest
References
- Zinge, C.; Kandasubramanian, B. Nanocellulose based biodegradable polymers. Eur. Polym. J. 2020, 133, 109758. [Google Scholar] [CrossRef]
- Magalhães, M.I.; Almeida, A.P.C. Nature-Inspired Cellulose-Based Active Materials: From 2D to 4D. Appl. Biosci. 2023, 2, 94–114. [Google Scholar] [CrossRef]
- Panaitescu, D.M.; Frone, A.N.; Chiulan, I. Nanostructured biocomposites from aliphatic polyesters and bacterial cellulose. Ind. Crops Prod. 2016, 93, 251–266. [Google Scholar] [CrossRef]
- Liu, Y.; Ahmed, S.; Sameen, D.E.; Wang, Y.; Lu, R.; Dai, J.; Li, S.; Qin, W. A review of cellulose and its derivatives in biopolymer-based for food packaging application. Trends Food Sci. Technol. 2021, 112, 532–546. [Google Scholar] [CrossRef]
- García, A.; Gandini, A.; Labidi, J.; Belgacem, N.; Bras, J. Industrial and crop wastes: A new source for nanocellulose biorefinery. Ind. Crops Prod. 2016, 93, 26–38. [Google Scholar] [CrossRef]
- Frone, A.N.; Chiulan, I.; Panaitescu, D.M.; Nicolae, C.A.; Ghiurea, M.; Galan, A.-M. Isolation of cellulose nanocrystals from plum seed shells, structural and morphological characterization. Mater. Lett. 2017, 194, 160–163. [Google Scholar] [CrossRef]
- Méndez-Loranca, E.; Vidal-Ruiz, A.M.; Martínez-González, O.; Huerta-Aguilar, C.A.; Gutierrez-Uribe, J.A. Beyond cellulose extraction: Recovery of phytochemicals and contaminants to revalorize agricultural waste. Bioresour. Technol. 2023, 21, 101339. [Google Scholar] [CrossRef]
- Pennells, J.; Godwin, I.D.; Amiralian, N.; Martin, D.J. Trends in the production of cellulose nanofibers from non-wood sources. Cellulose 2020, 27, 575–593. [Google Scholar] [CrossRef]
- Chen, L.; Yu, H.; Dirican, M.; Fang, D.; Tian, Y.; Yan, C.; Xie, J.; Jia, D.; Liu, H.; Wang, J.; et al. Highly Transparent and Colorless Nanocellulose/Polyimide Substrates with Enhanced Thermal and Mechanical Properties for Flexible OLED Displays. Adv. Mater. Interfaces 2020, 7, 2000928. [Google Scholar] [CrossRef]
- Usurelu, C.D.; Badila, S.; Frone, A.N.; Panaitescu, D.M. Poly(3-hydroxybutyrate) Nanocomposites with Cellulose Nanocrystals. Polymers 2022, 14, 1974. [Google Scholar] [CrossRef]
- Dufresne, A. Nanocellulose Processing Properties and Potential Applications. Curr. For. Rep. 2019, 5, 76–89. [Google Scholar] [CrossRef]
- Qian, H.; Liu, J.; Wang, X.; Pei, W.; Fu, C.; Ma, M.; Huang, C. The state-of-the-art application of functional bacterial cellulose-based materials in biomedical fields. Carbohydr. Polym. 2023, 300, 120252. [Google Scholar] [CrossRef] [PubMed]
- Panaitescu, D.M.; Frone, A.N.; Chiulan, I.; Casarica, A.; Nicolae, C.A.; Ghiurea, M.; Trusca, R.; Damian, C.M. Structural and morphological characterization of bacterial cellulose nano-reinforcements prepared by mechanical route. Mater. Des. 2016, 110, 790–801. [Google Scholar] [CrossRef]
- Eichhorn, S.J.; Etale, A.; Wang, J.; Berglund, L.A.; Li, Y.; Cai, Y.; Chen, C.; Cranston, E.D.; Johns, M.A.; Fang, Z.; et al. Current international research into cellulose as a functional nanomaterial for advanced applications. J. Mater. Sci. 2022, 57, 5697–5767. [Google Scholar] [CrossRef]
- Moon, R.J.; Martini, A.; Nairn, J.; Simonsen, J.; Youngblood, J. Cellulose nanomaterials review: Structure, properties and nanocomposites. Chem. Soc. Rev. 2011, 40, 3941–3994. [Google Scholar] [CrossRef]
- Pradeep, H.K.; Patel, D.H.; Onkarappa, H.S.; Pratiksha, C.C.; Prasanna, G.D. Role of nanocellulose in industrial and pharmaceutical sectors—A review. Int. J. Biol. Macromol. 2022, 207, 1038–1047. [Google Scholar] [CrossRef] [PubMed]
- Spagnuolo, L.; D’Orsi, R.; Operamolla, A. Nanocellulose for Paper and Textile Coating: The Importance of Surface Chemistry. ChemPlusChem 2022, 87, e202200204. [Google Scholar] [CrossRef] [PubMed]
- Gómez, C.; Serpa, A.; Velásquez-Cock, J.; Gañán, P.; Castro, C.; Vélez, L.; Zuluaga, R. Vegetable nanocellulose in food science: A review. Food Hydrocoll. 2016, 57, 178–186. [Google Scholar] [CrossRef]
- Voisin, H.; Bergström, L.; Liu, P.; Mathew, A.P. Nanocellulose-Based Materials for Water Purification. Nanomaterials 2017, 7, 57. [Google Scholar] [CrossRef]
- Perumal, A.B.; Nambiar, R.B.; Moses, J.A.; Anandharamakrishnan, C. Nanocellulose: Recent trends and applications in the food industry. Food Hydrocoll. 2022, 127, 107484. [Google Scholar] [CrossRef]
- Luo, Q.; Shen, H.; Zhou, G.; Xu, X. A mini-review on the dielectric properties of cellulose and nanocellulose-based materials as electronic components. Carbohydr. Polym. 2023, 303, 120449. [Google Scholar] [CrossRef] [PubMed]
- Yang, G.; Kong, H.; Chen, Y.; Liu, B.; Zhu, D.; Guo, L.; Wei, G. Recent advances in the hybridization of cellulose and carbon nanomaterials: Interactions, structural design, functional tailoring, and applications. Carbohydr. Polym. 2022, 279, 118947. [Google Scholar] [CrossRef]
- Valencia, L.; Handa, R.; Monti, S.; Jasso-Salcedo, A.B.; Georgouvelas, D.; Magana, I.; Dıaz de Leon, R.; Velikov, K.P.; Mathew, A.J.; Kumar, S. On the mineralization of nanocellulose to produce functional hybrid materials. J. Mater. Chem. A 2022, 10, 9248–9276. [Google Scholar] [CrossRef]
- Trache, D.; Tarchoun, A.F.; Derradji, M.; Hamidon, T.S.; Masruchin, N.; Brosse, N.; Hussin, M.H. Nanocellulose: From Fundamentals to Advanced Applications. Front. Chem. 2020, 8, 392. [Google Scholar] [CrossRef]
- Bacakova, L.; Pajorova, J.; Tomkova, M.; Matejka, R.; Broz, A.; Stepanovska, J.; Prazak, S.; Skogberg, A.; Siljander, S.; Kallio, P. Applications of Nanocellulose/Nanocarbon Composites: Focus on Biotechnology and Medicine. Nanomaterials 2020, 10, 196. [Google Scholar] [CrossRef]
- Trache, D.; Thakur, V.K. Nanocellulose and Nanocarbons Based Hybrid Materials: Synthesis, Characterization and Applications. Nanomaterials 2020, 10, 1800. [Google Scholar] [CrossRef]
- Nauman Javed, R.M.; Al-Othman, A.; Tawalbeh, M.; Olabi, A.G. Recent developments in graphene and graphene oxide materials for polymer electrolyte membrane fuel cells applications. Renew. Sustain. Energy Rev. 2022, 168, 112836. [Google Scholar] [CrossRef]
- Yildiz, G.; Bolton-Warberg, M.; Awaja, F. Graphene and graphene oxide for bio-sensing: General properties and the effects of graphene ripples. Acta Biomater. 2021, 131, 62–79. [Google Scholar] [CrossRef]
- Lin, P.-C.; Wu, J.-Y.; Liu, W.-R. Green and facile synthesis of few-layer graphene via liquid exfoliation process for Lithium-ion batteries. Sci. Rep. 2018, 8, 9766. [Google Scholar] [CrossRef]
- Wang, Y.; Yang, J.; Song, Y.; Yang, Q.; Xiong, C.; Shi, Z. Porous and three-dimensional carbon aerogels from nanocellulose/pristine graphene for high-performance supercapacitor electrodes. Diam. Relat. Mater. 2023, 132, 109626. [Google Scholar] [CrossRef]
- Panda, P.K.; Dash, P.; Yang, J.M.; Chang, Y.H. Development of chitosan, graphene oxide, and cerium oxide composite blended films: Structural, physical, and functional properties. Cellulose 2022, 29, 2399–2411. [Google Scholar] [CrossRef]
- Mohan, V.B.; Jakisch, L.; Jayaraman, K.; Bhattacharyya, D. Role of chemical functional groups on thermal and electrical properties of various graphene oxide derivatives: A comparative X-ray photoelectron spectroscopy analysis. Mater. Res. Express 2018, 5, 035604. [Google Scholar] [CrossRef]
- Khalid, A.; Yi, W.; Yoo, S.; Abbas, S.; Si, J.; Hou, X.; Hou, J. Single-chirality of single-walled carbon nanotubes (SWCNTs) through chromatography and its potential biological applications. New J. Chem. 2023, 47, 992. [Google Scholar] [CrossRef]
- Ramezani, M.; Dehghani, A.; Sherif, M.M. Carbon nanotube reinforced cementitious composites: A comprehensive review. Constr. Build. Mater. 2022, 315, 125100. [Google Scholar] [CrossRef]
- Thomas, B.; Raj, M.C.; Athira, C.B.; Rubiyah, M.H.; Joy, J.; Moores, A.; Drisko, G.L.; Sanchez, C. Nanocellulose, a Versatile Green Platform: From Biosources to Materials and Their Applications. Chem. Rev. 2018, 118, 11575–11625. [Google Scholar] [CrossRef] [PubMed]
- Smirnov, V.V.; Manevitch, L.I. Carbon Nanotubes in Arrays: Competition of van-der-Waals and Elastic Forces. Dokl. Phys. 2019, 64, 218–221. [Google Scholar] [CrossRef]
- Milano, F.; Guascito, M.R.; Semeraro, P.; Sawalha, S.; Da Ros, T.; Operamolla, A.; Giotta, L.; Prato, M.; Valli, L. Nanocellulose/Fullerene Hybrid Films Assembled at the Air/Water Interface as Promising Functional Materials for Photo-Electrocatalysis. Polymers 2021, 13, 243. [Google Scholar] [CrossRef]
- Trache, D.; Tarchoun, A.F.; Abdelaziz, A.; Bessa, W.; Hussin, M.H.; Brosse, N.; Thakur, V.K. Cellulose nanofibrils-graphene hybrids: Recent advances in fabrication, properties, and applications. Nanoscale 2022, 14, 12515–12546. [Google Scholar] [CrossRef]
- Miyashiro, D.; Hamano, R.; Umemura, K. A Review of Applications Using Mixed Materials of Cellulose, Nanocellulose and Carbon Nanotubes. Nanomaterials 2020, 10, 186. [Google Scholar] [CrossRef]
- Danial, W.H.; Md Bahri, N.F.; Abdul Majid, Z. Preparation, Marriage Chemistry and Applications of Graphene Quantum Dots–Nanocellulose Composite: A Brief Review. Molecules 2021, 26, 6158. [Google Scholar] [CrossRef]
- Li, Y.; Zhu, H.; Wang, Y.; Ray, U.; Zhu, S.; Dai, J.; Chen, C.; Fu, K.; Jang, S.-H.; Henderson, D.; et al. Cellulose-Nanofiber-Enabled 3D Printing of a Carbon-Nanotube Microfiber Network. Small Methods 2017, 1, 1700222. [Google Scholar] [CrossRef]
- Habibi, Y.; Lucia, L.A.; Rojas, O.J. Cellulose Nanocrystals: Chemistry, Self-Assembly, and Applications. Chem. Rev. 2010, 110, 3479–3500. [Google Scholar] [CrossRef] [PubMed]
- Brown, R.M.; Saxena, I.M.; Kudlicka, K. Cellulose biosynthesis in higher plants. Trends Plant Sci. 1996, 1, 149–156. [Google Scholar] [CrossRef]
- Romeo, I.; Olivito, F.; Tursi, A.; Algieri, V.; Beneduci, A.; Chidichimo, G.; Maiuolo, L.; Sicilia, E.; De Nino, A. Totally green cellulose conversion into bio-oil and cellulose citrate using molten citric acid in an open system: Synthesis, characterization and computational investigation of reaction mechanisms. RSC Adv. 2020, 10, 34738–34751. [Google Scholar] [CrossRef]
- Kono, H.; Oshima, K.; Hashimoto, H.; Shimizu, Y.; Tajima, K. NMR characterization of sodium carboxymethyl cellulose: Substituent distribution and mole fraction of monomers in the polymer chains. Carbohydr. Polym. 2016, 146, 1–9. [Google Scholar] [CrossRef] [PubMed]
- Singh, S.; Simmons, B.A.; Vogel, K.P. Visualization of biomass solubilization and cellulose regeneration during ionic liquid pretreatment of switchgrass. Biotechnol. Bioeng. 2009, 104, 68–75. [Google Scholar] [CrossRef] [PubMed]
- Abitbol, T.; Rivkin, A.; Cao, Y.; Nevo, Y.; Abraham, E.; Ben-Shalom, T.; Lapidot, S.; Shoseyov, O. Nanocellulose, a tiny fiber with huge applications. Curr. Opin. Biotechnol. 2016, 39, 76–88. [Google Scholar] [CrossRef]
- Missoum, K.; Belgacem, M.N.; Bras, J. Nanofibrillated Cellulose Surface Modification: A Review. Materials 2013, 6, 1745–1766. [Google Scholar] [CrossRef]
- Singhania, R.R.; Patel, A.K.; Tsai, M.-L.; Chen, C.-W.; Dong, C.D. Genetic modification for enhancing bacterial cellulose production and its applications. Bioengineered 2021, 12, 6793–6807. [Google Scholar] [CrossRef]
- Lei, W.; Jin, D.; Liu, H.; Tong, Z.; Zhang, H. An Overview of Bacterial Cellulose in Flexible Electrochemical Energy Storage. ChemSusChem 2020, 13, 3731–3753. [Google Scholar] [CrossRef]
- Oprea, M.; Panaitescu, D.M. Nanocellulose Hybrids with Metal Oxides Nanoparticles for Biomedical Applications. Molecules 2020, 25, 4045. [Google Scholar] [CrossRef] [PubMed]
- Pang, M.; Huang, Y.; Meng, F.; Zhuang, Y.; Liu, H.; Du, M.; Ma, Q.; Wang, Q.; Chen, Z.; Chen, L.; et al. Application of bacterial cellulose in skin and bone tissue engineering. Eur. Polym. J. 2020, 122, 109365. [Google Scholar] [CrossRef]
- Mochalin, V.N.; Shenderova, O.; Ho, D.; Gogotsi, Y. The properties and applications of nanodiamonds. Nat. Nanotechnol. 2012, 7, 11–23. [Google Scholar] [CrossRef] [PubMed]
- Zhai, W.; Srikanth, N.; Kong, L.B.; Zhou, K. Carbon nanomaterials in tribology. Carbon 2017, 119, 150–171. [Google Scholar] [CrossRef]
- Vejpravová, J. Mixed sp2–sp3 Nanocarbon Materials: A Status Quo Review. Nanomaterials 2021, 11, 2469. [Google Scholar] [CrossRef] [PubMed]
- Shenderova, O.; Koscheev, A.; Zaripov, N.; Petrov, I.; Skryabin, Y.; Detkov, P.; Turner, S.; Van Tendeloo, G. Surface Chemistry and Properties of Ozone-Purified Detonation Nanodiamonds. J. Phys. Chem. C 2011, 115, 9827–9837. [Google Scholar] [CrossRef]
- Morimune-Moriya, S.; Salajkova, M.; Zhou, Q.; Nishino, T.; Berglund, L.A. Reinforcement Effects from Nanodiamond in Cellulose Nanofibril Films. Biomacromolecules 2018, 19, 2423–2431. [Google Scholar] [CrossRef]
- Qin, J.-X.; Yang, X.-G.; Lv, C.-F.; Li, Y.-Z.; Liu, K.-K.; Zang, J.-H.; Yang, X.; Dong, L.; Shan, C.-X. Nanodiamonds: Synthesis, properties, and applications in nanomedicine. Mater. Des. 2021, 210, 110091. [Google Scholar] [CrossRef]
- Gong, P.; Li, L.; Fu, G.-E.; Shu, S.; Li, M.; Wang, Y.; Qin, Y.; Kong, X.; Chen, H.; Jiao, C.; et al. Highly flexible cellulose nanofiber/single-crystal nanodiamond flake heat spreader films for heat dissipation. J. Mater. Chem. C 2022, 10, 12070. [Google Scholar] [CrossRef]
- Zhang, X.; Wei, S.; Lei, C.; Wei, J.; Lu, B.; Ding, Y.; Zhu, C. Application of printed nanocrystalline diamond film for electron emission cathode. Appl. Surf. Sci. 2011, 257, 5185–5189. [Google Scholar] [CrossRef]
- Ostadhossein, F.; Mahmoudi, N.; Morales-Cid, G.; Tamjid, E.; Navas-Martos, F.J.; Soriano-Cuadrado, B.; Paniza, J.M.L.; Simchi, A. Development of Chitosan/Bacterial Cellulose Composite Films Containing Nanodiamonds as a Potential Flexible Platform for Wound Dressing. Materials 2015, 8, 6401–6418. [Google Scholar] [CrossRef] [PubMed]
- Luo, X.; Zhang, H.; Cao, Z.; Cai, N.; Xue, Y.; Yu, F. A simple route to develop transparent doxorubicin-loaded nanodiamonds/cellulose nanocomposite membranes as potential wound dressings. Carbohydr. Polym. 2016, 143, 231–238. [Google Scholar] [CrossRef]
- Mahdavi, M.; Mahmoudi, N.; RezaieAnaran, F.; Simchi, A. Electrospinning of Nanodiamond-Modified Polysaccharide Nanofibers with Physico-Mechanical Properties Close to Natural Skins. Mar. Drugs 2016, 14, 128. [Google Scholar] [CrossRef]
- Song, N.; Cui, S.; Hou, X.; Ding, P.; Shi, L. Significant Enhancement of Thermal Conductivity in Nanofibrillated Cellulose Films with Low Mass Fraction of Nanodiamond. ACS Appl. Mater. Interfaces 2017, 9, 40766–40773. [Google Scholar] [CrossRef]
- Li, L.; Li, M.; Zhang, Z.; Qin, Y.; Shui, X.; Xia, J.; Xiong, S.; Wang, B.; Zhang, Z.; Wei, Z.; et al. Robust composite film with high thermal conductivity and excellent mechanical properties by constructing a long-range ordered sandwich structure. J. Mater. Chem. A 2022, 10, 9922–9931. [Google Scholar] [CrossRef]
- Zhang, Y.; Wang, W.; Zhang, F.; Huang, L.; Dai, K.; Li, C.; Liu, D.; Sun, Y.; Ren, D.; Wu, J.; et al. Micro-diamond assisted bidirectional tuning of thermal conductivity in multifunctional graphene nanoplatelets/nanofibrillated cellulose films. Carbon 2022, 189, 265–275. [Google Scholar] [CrossRef]
- Kato, T.; Matsumoto, T.; Hongo, C.; Nishino, T. Mechanical and thermal properties of cellulose nanofiber composites with nanodiamond as nanocarbon filler. Nanocomposites 2018, 4, 127–136. [Google Scholar] [CrossRef]
- Vega-Figueroa, K.; Santillán, J.; García, C.; González-Feliciano, J.A.; Bello, S.A.; Rodríguez, Y.G.; Ortiz-Quiles, E.; Nicolau, E. Assessing the suitability of cellulose-nanodiamond composite as a multifunctional biointerface material for bone tissue regeneration. ACS Biomater. Sci. Eng. 2017, 3, 960–968. [Google Scholar] [CrossRef] [PubMed]
- Sato, K.; Tominaga, Y.; Hotta, Y.; Shibuya, H.; Sugie, M.; Saruyama, T. Cellulose nanofiber/nanodiamond composite films: Thermal conductivity enhancement achieved by a tuned nanostructure. Adv. Powder Technol. 2018, 29, 972–976. [Google Scholar] [CrossRef]
- Tominaga, Y.; Sato, K.; Hotta, Y.; Shibuya, H.; Sugie, M.; Saruyama, T. Improvement of thermal conductivity of composite film composed of cellulose nanofiber and nanodiamond by optimizing process parameters. Cellulose 2018, 25, 3973–3983. [Google Scholar] [CrossRef]
- Song, N.; Cao, D.; Luo, X.; Guo, Y.; Gu, J.; Ding, P. Aligned cellulose/nanodiamond plastics with high thermal conductivity. J. Mater. Chem. C 2018, 6, 13108. [Google Scholar] [CrossRef]
- Chen, H.; Ginzburg, V.V.; Yang, J.; Yang, Y.; Liu, W.; Huang, Y.; Du, L.; Chen, B. Thermal conductivity of polymer-based composites: Fundamentals and applications. Prog. Polym. Sci. 2016, 59, 41–85. [Google Scholar] [CrossRef]
- Zhu, H.; Parvinian, S.; Preston, C.; Vaaland, O.; Ruan, Z.; Hu, L. Transparent nanopaper with tailored optical properties. Nanoscale 2013, 5, 3787–3792. [Google Scholar] [CrossRef]
- Hu, D.; Liu, H.; Yang, M.; Guo, Y.; Ma, W. Construction of boron nitride nanosheets-based nanohybrids by electrostatic self-assembly for highly thermally conductive composites. Adv. Compos. Hybrid. Mater. 2022, 5, 3201–3211. [Google Scholar] [CrossRef]
- Jiao, E.; Wu, K.; Liu, Y.; Zhang, H.; Zheng, H.; Xu, C.; Shi, J.; Lu, M. Nacre-like robust cellulose nanofibers/MXene films with high thermal conductivity and improved electrical insulation by nanodiamond. J. Mater. Sci. 2022, 57, 2584–2596. [Google Scholar] [CrossRef]
- Balandin, A. Thermal properties of graphene and nanostructured carbon materials. Nature Mater. 2011, 10, 569–581. [Google Scholar] [CrossRef]
- Palmieri, E.; Pescosolido, F.; Montaina, L.; Carcione, R.; Petrella, G.; Cicero, D.O.; Tamburri, E.; Battistoni, S.; Orlanducci, S. A Sustainable Hydroxypropyl Cellulose-Nanodiamond Composite for Flexible Electronic Applications. Gels 2022, 8, 783. [Google Scholar] [CrossRef]
- Chen, Q.; Mao, K.; Yao, Y.; Huang, X.; Zhang, Z. Nanodiamond/cellulose nanocrystals composite-based acoustic humidity sensor. Sens. Actuators B Chem. 2022, 373, 132748. [Google Scholar] [CrossRef]
- Li, Z.; Wang, J.; Xu, Y.; Shen, M.; Duan, C.; Dai, L.; Ni, Y. Green and sustainable cellulose-derived humidity sensors: A review. Carbohydr. Polym. 2021, 270, 118385. [Google Scholar] [CrossRef]
- Das, D.; Dey, R.; Das, S.; Hussain, S.; Ghosh, A.K.; Pal, A.K. Nano-Ag/DLC/Cellulose Free-Standing Films towards Anti-bacterial and Bio-compatible Futuristic Bandage Applications. J. Polym. Environ. 2020, 28, 284–294. [Google Scholar] [CrossRef]






| Cellulose Form/Characteristics | (Nano)Diamond Characteristics | Other Additives | Ratio between Components | Hybrid Preparation | Main Characteristics | Applications | References |
|---|---|---|---|---|---|---|---|
| TEMPO-oxidized CNFs, 20–30 nm diameter, <3 µm length | NDs powder | NDs 0–10 wt% | Vacuum filtration | TC (in-plane): 9.82 Wm−1K−1, TS: 99.1 MPa (0.5 wt% NDs) | Lateral heat spreader for portable electronic devices | [64] | |
| CNFs, 4–10 nm diameter, 1–3 mm length | SCNDs, 100 nm | SCNDs: 0, 10, 30, 50, 70, 90 wt% | Vacuum filtration | TC (in-plane): 76.23 Wm−1K−1 (90% SCND); TS: 113.4 MPa (70% SCND); | Heat spreaders for LED lights | [59] | |
| BC | NDs, 5 nm | CS, degree of deacetylation: ~85% | BC/CS: 50/50 NDs 1, 2, 3, 4 wt% | Solvent casting | TS: 46.4 MPa; Cell (L929) viability: >90% after 24 h (BC/CS/2 wt% NDs) | Wound dressings | [61] |
| BC | NDs, 2–6 nm | CS, degree of deacetylation: 75–85% PEO, Mw 900 kDa | BC/CS/PEO: 45:45:10; NDs 1, 2, 3 wt% | Electrospinning | Cell (L929) viability: >90% after 24 h | Wound dressing and skin regeneration | [63] |
| Cationic CNFs (Q-CNF) with GTAC | NDs, <10 nm | Q-CNF/ND 0.5, 1, 2.5, 5% w/w | Filtration | TS: 250 MPa; YM: 13.6 (Q-CNF/NDs 1% w/w); transparency | Reinforcement effect in composites | [57] | |
| Cellulose solution in NaOH/urea | Carboxylated NDs (CNDs) (50–100 nm) | Doxorubicin | CNDs 0.1, 0.5, 1.0, 1.5 wt% | Solution casting | Transmittance > 90% (≤1.0% CNDs) Cell (HeLa) viability: >95% after 48 h (without doxorubicin) | Drug release, wound dressing | [62] |
| CNFs | NDs, 100–200 nm MDs, about 1 µm | BNNS, 5.8 nm thickness, 2.7 µm lateral size | CNFs/BNNS: 50/50 in a sandwich structure | Layer-by-layer vacuum-assisted self-assembly | TC (in-plain): 45.76 Wm−1K−1 and TC (through-plain): 3.17 Wm−1K−1 for 48.2 vol.% filler (NDs and MDs) | Electronic packaging, thermal management in electronics | [65] |
| CNFs (from sugarcane bagasse) | NDs, 4–6 nm | BNNS, 200–300 nm lateral size | BNNS + NDs = 33.3 or 50.0 wt% vs. CNF | Vacuum filtration | TC (in-plain): 18.54 Wm−1K−1 and TC (through-plain): 0.77 Wm−1K−1 for 50 wt% filler (BNNS/NDs) | Thermal management in flexible electronics | [74] |
| CNFs gel (2.5 wt%), 20–50 nm diameter, >1 µm length | MDs, 10, 20, 30, 40, 50 and 60 µm | Graphene nano- platelets (G), 350 µm thickness | CNFs gel 5 wt%, MDs 55, 45, 35, 25 wt% G 40, 50, 60, 70 wt% | Solution casting | TC (in-plain): ~30 Wm−1K−1 and TC (through-plain): 7.7 Wm−1K−1 for CNFs/G/MDs 5/50/45 (MDs 40 µm) | Bidirectional thermal conductivity materials for electronics | [66] |
| TEMPO oxidized CNFs (TOCNFs) and GTAC modified CNFs (QCNFs) | NDs, 10 nm | NDs 1, 2.5, 5, 10, 33, 50 wt% | Filtration | TC (in-plain) (50 wt% NDs): ~9 Wm−1K−1 (QCNFs), ~6 Wm−1K−1 (TOCNFs) | High thermal conductivity and mechanical strength | [67] | |
| CNCs and sCNCs (APTES grafted CNCs) | NDs, 385 nm oNDs, 254 nm | Lyophilization, filtration | No cytotoxic effects after 7 days (hFOBcells) | Bone tissue regeneration | [68] | ||
| CNFs, 20–50 nm | NDs, 5 nm | CNFs/NDs: 1/3.125 | Vacuum filtration | TC (in-plane): 2.7 Wm−1K−1 | Heat dissipation in electronic devices | [69] | |
| CNFs, 97.7 nm and 50 nm, before and after WRDM | NDs, 5 nm | CNFs/NDs: 0.46 | Wet-rotating disc milling (WRDM) | TC (in-plain): 4.45 Wm−1K−1 and TC (through-plain): 0.48 Wm−1K−1 | High thermal conductive materials | [70] | |
| Cellulose solution in NaOH/urea (0 °C) | NDs, <100 nm | NDs 0.5, 1, 2, 5 wt% | Hot pressing (70 °C) the hydrogel | TC (in-plain): 5.37 Wm−1K−1 (5% ND) YM: ~3 GPa (5% NDs) | Heat management in electronics | [71] | |
| CNFs | NDs, 5–10 nm | MXene | NDs: 2, 5, 10 phr MXene: 10, 20, 30 phr | Vacuum filtration | TC (in-plain): 17.43 Wm−1K−1 TC (through-plain): 0.55 Wm−1K−1 (CNFs/NDs10/MXene30) | Thermal management in high-power flexible devices |
Disclaimer/Publisher’s Note: The statements, opinions and data contained in all publications are solely those of the individual author(s) and contributor(s) and not of MDPI and/or the editor(s). MDPI and/or the editor(s) disclaim responsibility for any injury to people or property resulting from any ideas, methods, instructions or products referred to in the content. |
© 2023 by the authors. Licensee MDPI, Basel, Switzerland. This article is an open access article distributed under the terms and conditions of the Creative Commons Attribution (CC BY) license (https://creativecommons.org/licenses/by/4.0/).
Share and Cite
Uşurelu, C.D.; Panaitescu, D.M. Nanocellulose/Nanodiamond Hybrids: A Review. Macromol 2023, 3, 400-420. https://doi.org/10.3390/macromol3020024
Uşurelu CD, Panaitescu DM. Nanocellulose/Nanodiamond Hybrids: A Review. Macromol. 2023; 3(2):400-420. https://doi.org/10.3390/macromol3020024
Chicago/Turabian StyleUşurelu, Cătălina Diana, and Denis Mihaela Panaitescu. 2023. "Nanocellulose/Nanodiamond Hybrids: A Review" Macromol 3, no. 2: 400-420. https://doi.org/10.3390/macromol3020024
APA StyleUşurelu, C. D., & Panaitescu, D. M. (2023). Nanocellulose/Nanodiamond Hybrids: A Review. Macromol, 3(2), 400-420. https://doi.org/10.3390/macromol3020024

