Novel Portable Device for Post Mortem Interval Estimation Using Vitreous Humor Analysis
Abstract
1. Introduction
2. Materials and Methods
2.1. Sample Collection
2.2. Fisic Medimate™ System and Data Acquisition
2.3. Explorative and Inferential Statistical Analysis
3. Results
3.1. Vitreous Humor Measurements
3.2. Sodium Peak Analysis
3.3. Potassium Peak Analysis
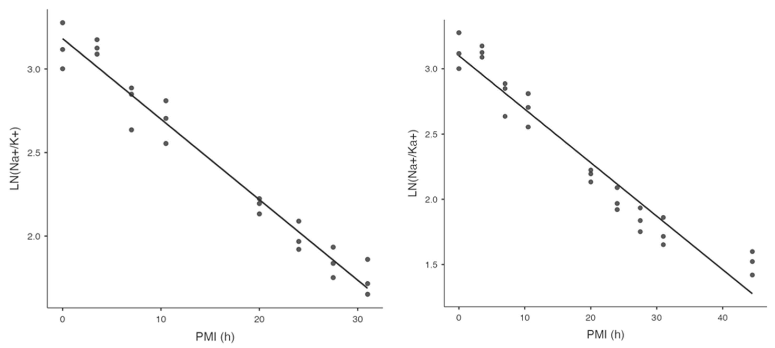
3.4. Sodium/Potassium Ratio
3.5. Inferential Regression Analysis
4. Discussion
5. Conclusions
Author Contributions
Funding
Institutional Review Board Statement
Informed Consent Statement
Data Availability Statement
Acknowledgments
Conflicts of Interest
Appendix A
| PMI (h) | Peak Area Na+ (A.U.) | Peak Area K+ (A.U.) | Na+/K+ Ratio |
|---|---|---|---|
| 0 | 123,178 | 5457 | 22.57 |
| 116,670 | 5801 | 20.11 | |
| 106,079 | 4005 | 26.49 | |
| 3.5 | 120,607 | 5039 | 23.93 |
| 121,385 | 5333 | 22.76 | |
| 106,976 | 4873 | 21.95 | |
| 7.0 | 124,510 | 8923 | 13.95 |
| 117,320 | 6794 | 17.27 | |
| 108,404 | 6046 | 17.93 | |
| 10.5 | 137,982 | 8308 | 16.61 |
| 119,362 | 9281 | 12.86 | |
| 106,390 | 7119 | 14.94 | |
| 20.0 | 146,925 | 16,362 | 8.98 |
| 123,813 | 14,670 | 8.44 | |
| 99,728 | 10,789 | 9.24 | |
| 24.0 | 117,336 | 16,396 | 7.16 |
| 105,065 | 15,390 | 6.83 | |
| 92,260 | 11,419 | 8.08 | |
| 27.5 | 98,574 | 15,702 | 6.28 |
| 113,241 | 19,644 | 5.76 | |
| 100,311 | 14,503 | 6.92 | |
| 31.0 | 100,037 | 15,562 | 6.43 |
| 104,082 | 18,719 | 5.56 | |
| 93,078 | 17,840 | 5.22 | |
| 44.5 | 124,633 | 30,133 | 4.14 |
| 113,134 | 22,858 | 4.95 | |
| 100,240 | 21,862 | 4.59 |
References
- Simmons, T. Post-Mortem Interval Estimation: An Overview of Techniques. Taphon. Hum. Remain. Forensic Anal. Dead Depos. Environ. 2017, 134–142. [Google Scholar] [CrossRef]
- Madea, B.; Ortmann, J.; Doberentz, E. Estimation of the Time since Death—Even Methods with a Low Precision May Be Helpful in Forensic Casework. Forensic Sci. Int. 2019, 302, 109879. [Google Scholar] [CrossRef]
- Donaldson, A.E.; Lamont, I.L. Estimation of Post-Mortem Interval Using Biochemical Markers. Aust. J. Forensic Sci. 2014, 46, 8–26. [Google Scholar] [CrossRef]
- Madea, B. Methods for Determining Time of Death. Forensic Sci. Med. Pathol. 2016, 12, 451–485. [Google Scholar] [CrossRef]
- Bashir, S.; Walia, D. Role of Rigor Mortis in Assessment of Time Since Death. Indian J. Forensic Med. Toxicol. 2020, 14, 626–631. [Google Scholar]
- Stigter, H.; Krap, T.; Duijst, W.L.J.M. Estimation of the Post-Mortem Interval; Added Value of Mechanical Excitability of Human Skeletal Muscle. J. Forensic Leg. Med. 2024, 103, 102664. [Google Scholar] [CrossRef]
- Otatsume, M.; Shinkawa, N.; Tachibana, M.; Kuroki, H.; Ro, A.; Sonoda, A.; Kakizaki, E.; Yukawa, N. Technical Note: Excel Spreadsheet Calculation of the Henssge Equation as an Aid to Estimating Postmortem Interval. J. Forensic Leg. Med. 2024, 101, 102634. [Google Scholar] [CrossRef] [PubMed]
- Gelderman, T.; Stigter, E.; Krap, T.; Amendt, J.; Duijst, W. The Time of Death in Dutch Court; Using the Daubert Criteria to Evaluate Methods to Estimate the PMI Used in Court. Leg. Med. 2021, 53, 101970. [Google Scholar] [CrossRef]
- Henßge, C.; Madea, B. Estimation of the Time since Death in the Early Post-Mortem Period. Forensic Sci. Int. 2004, 144, 167–175. [Google Scholar] [CrossRef]
- Yadav, P.K.; Singh, R.R.; Tripathi, S.K. Integrating Temperature Data with Other Forensic Methods for Time Since Death Estimation. Indian J. Forensic Med. Toxicol. 2024, 18, 92–96. [Google Scholar] [CrossRef]
- Madea, B.; Herrmann, N.; Henbge, C. Precision of Estimating the Time since Death by Vitreous Potassium—Comparison of Two Different Equations. Forensic Sci. Int. 1990, 46, 277–284. [Google Scholar] [CrossRef] [PubMed]
- Hughes, W.M.H. Levels of Potassium in the Vitreous Humour after Death. Med. Sci. Law 1965, 5, 150–156. [Google Scholar] [CrossRef] [PubMed]
- Coe, J.I. Vitreous Potassium as a Measure of the Postmortem Interval: An Historical Review and Critical Evaluation. Forensic Sci. Int. 1989, 42, 201–213. [Google Scholar] [CrossRef]
- Cordeiro, C.; Ordóñez-Mayán, L.; Lendoiro, E.; Febrero-Bande, M.; Vieira, D.N.; Muñoz-Barús, J.I. A Reliable Method for Estimating the Postmortem Interval from the Biochemistry of the Vitreous Humor, Temperature and Body Weight. Forensic Sci. Int. 2019, 295, 157–168. [Google Scholar] [CrossRef] [PubMed]
- Bortolotti, F.; Pascali, J.P.; Davis, G.G.; Smith, F.P.; Brissie, R.M.; Tagliaro, F. Study of Vitreous Potassium Correlation with Time since Death in the Postmortem Range from 2 to 110 Hours Using Capillary Ion Analysis. Med. Sci. Law 2011, 51 (Suppl. S1), 20–23. [Google Scholar] [CrossRef]
- Ortmann, J.; Markwerth, P.; Madea, B. Precision of Estimating the Time since Death by Vitreous Potassium—Comparison of 5 Different Equations. Forensic Sci. Int. 2016, 269, 1–7. [Google Scholar] [CrossRef]
- Zilg, B.; Bernard, S.; Alkass, K.; Berg, S.; Druid, H. A New Model for the Estimation of Time of Death from Vitreous Potassium Levels Corrected for Age and Temperature. Forensic Sci. Int. 2015, 254, 158–166. [Google Scholar] [CrossRef]
- Zięba, S.; Wiergowski, M.; Cieślik, B.M.; Anand, J.S.; Krzyżanowska, M. Uncertainty of Postmortem Time Estimation Based on Potassium Ion Determination in Vitreous Humor Using Potentiometric Ion-Selective Electrode and Microwave-Induced Plasma with Optical Emission Spectrometry Methods. Separations 2023, 10, 201. [Google Scholar] [CrossRef]
- Madea, B.; Henssge, C.; Hönig, W.; Gerbracht, A. References for Determining the Time of Death by Potassium in Vitreous Humor. Forensic Sci. Int. 1989, 40, 231–243. [Google Scholar] [CrossRef]
- Yadav, J.; Deshpande, A.; Arora, A.; Athawal, B.K.; Dubey, B.P. Estimation of Time since Death from CSF Electrolyte Concentration in Bhopal Region of Central India. Leg. Med. 2007, 9, 309–313. [Google Scholar] [CrossRef]
- Querido, D. Double Logarithmic, Linear Relationship between Plasma Sodium/Potassium Concentration Ratio and Postmortem Interval during the 6–96-h Postmortem Period in Rats. Forensic Sci. Int. 1990, 44, 125–134. [Google Scholar] [CrossRef] [PubMed]
- Gottardo, R.; Palacio, C.; Shestakova, K.M.; Moskaleva, N.E.; Bortolotti, F.; Tagliaro, F. A New Method for the Determination of Ammonium in the Vitreous Humour Based on Capillary Electrophoresis and Its Preliminary Application in Thanatochemistry. Clin. Chem. Lab. Med. 2019, 57, 504–509. [Google Scholar] [CrossRef]
- Locci, E.; Stocchero, M.; Gottardo, R.; Chighine, A.; De-Giorgio, F.; Ferino, G.; Nioi, M.; Demontis, R.; Tagliaro, F.; d’Aloja, E. PMI Estimation through Metabolomics and Potassium Analysis on Animal Vitreous Humour. Int. J. Legal Med. 2023, 137, 887–895. [Google Scholar] [CrossRef] [PubMed]
- Tagliaro, F.; Manetto, G.; Cittadini, F.; Marchetti, D.; Bortolotti, F.; Marigo, M. Capillary Zone Electrophoresis of Potassium in Human Vitreous Humour: Validation of a New Method. J. Chromatogr. B Biomed. Sci. Appl. 1999, 733, 273–279. [Google Scholar] [CrossRef]
- Tagliaro, F.; Bortolotti, F.; Manetto, G.; Cittadini, F.; Pascali, V.L.; Marigo, M. Potassium Concentration Differences in the Vitreous Humour from the Two Eyes Revisited by Microanalysis with Capillary Electrophoresis. J. Chromatogr. A 2001, 924, 493–498. [Google Scholar] [CrossRef]
- Palacio, C.; Gottardo, R.; Cirielli, V.; Musile, G.; Agard, Y.; Bortolotti, F.; Tagliaro, F. Simultaneous Analysis of Potassium and Ammonium Ions in the Vitreous Humour by Capillary Electrophoresis and Their Integrated Use to Infer the Postmortem Interval (PMI). Med. Sci. Law 2020, 61, 96–104. [Google Scholar] [CrossRef] [PubMed]
- Floris, A.; Staal, S.; Lenk, S.; Staijen, E.; Kohlheyer, D.; Eijkel, J.; Van Den Berg, A. A Prefilled, Ready-to-Use Electrophoresis Based Lab-on-a-Chip Device for Monitoring Lithium in Blood. Lab Chip 2010, 10, 1799–1806. [Google Scholar] [CrossRef]
- Kohlheyer, D.; Eijkel, J.; Lenk, S.; Floris, A.; Staal, S.; Van Den Berg, A. Point-of-Care Lithium Monitoring in Whole Blood Using a Disposable, Prefilled and Ready-to-Use Capillary Electrophoresis Microchip. In Proceedings of the 13th International Conference on Miniaturized Systems for Chemistry and Life Sciences, µTAS 2009, Jeju, Republic of Korea, 1–5 November 2009. [Google Scholar]
- Staal, S.; Ungerer, M.; Floris, A.; Ten Brinke, H.W.; Helmhout, R.; Tellegen, M.; Janssen, K.; Karstens, E.; van Arragon, C.; Lenk, S.; et al. A Versatile Electrophoresis-Based Self-Test Platform. Electrophoresis 2015, 36, 712–721. [Google Scholar] [CrossRef]
- Ávila, M.; Floris, A.; Staal, S.; Ríos, Á.; Eijkel, J.; van den Berg, A. Point of Care Creatinine Measurement for Diagnosis of Renal Disease Using a Disposable Microchip. Electrophoresis 2013, 34, 2956–2961. [Google Scholar] [CrossRef]
- Brzeziński, P.M.; Godlewski, A. Assessment of Potassium and Sodium Ion Concentrations in the Vitreous Humour of Swine Isolated Eyeballs after Organism Death. Rocz. Akad. Med. Białymstoku 2004, 49 (Suppl. S1), 161–163. [Google Scholar]
- Ojo, O.M.; Ajayi, O.B.; Musa, M.J. Comparison of Anions (Bicarbonate and Chloride) Concentration in Caprine and Porcine Vitreous Humour at Postmortem Interval. Ann. Biomed. Sci. 2020, 19, 14–25. [Google Scholar]
- Palic, M.P.; Šoštari’c, I.-C.; Zuckermann, Š.; Džaja, P.; Beer, B.; Ljubi’c, L.; Severin, K. A Biochemical and Histolog-ical Assessment of Postmortem Changes to the Eyes of Domestic Pigs: A Preliminary Study. Animals 2024, 14, 1190. [Google Scholar] [CrossRef] [PubMed]
- Drolet, R.; D’Allaire, S.; Chagnon, M. The Evaluation of Postmortem Ocular Fluid Analysis as a Diagnostic Aid in Sows. J. Vet. Diagn. Investig. 1990, 2, 9–13. [Google Scholar] [CrossRef]
- Zilg, B.; Alkass, K.; Berg, S.; Druid, H. Interpretation of Postmortem Vitreous Concentrations of Sodium and Chloride. Forensic Sci. Int. 2016, 263, 107–113. [Google Scholar] [CrossRef] [PubMed]
- Singh, D.; Prashad, R.; Sharma, S.K.; Pandey, A.N. Estimation of Postmortem Interval from Human Pericardial Fluid Electrolytes Concentrations in Chandigarh Zone of India: Log Transformed Linear Regression Model. Leg. Med. 2006, 8, 279–287. [Google Scholar] [CrossRef]
- Chandrakanth, H.V.; Kanchan, T.; Balaraj, B.M.; Virupaksha, H.S.; Chandrashekar, T.N. Postmortem Vitreous Chemistry—An Evaluation of Sodium, Potassium and Chloride Levels in Estimation of Time since Death (during the First 36 h after Death). J. Forensic Leg. Med. 2013, 20, 211–216. [Google Scholar] [CrossRef]
- Jashnani, K.D.; Kale, S.A.; Rupani, A.B. Vitreous Humor: Biochemical Constituents in Estimation of Postmortem Interval. J. Forensic Sci. 2010, 55, 1523–1527. [Google Scholar] [CrossRef]
- Prieto-Bonete, G.; Legaz, I.; Pérez-Martínez, C.; Pérez-Cárceles, M.D.; Luna, A. Biochemical Correction Factors to Estimation of Post-Mortem Interval in Vitreous Humor. Rom. J. Leg. Med. 2017, 25, 201–204. [Google Scholar] [CrossRef]
- Ingham, A.I.; Byard, R.W. The Potential Significance of Elevated Vitreous Sodium Levels at Autopsy. J. Forensic Leg. Med. 2009, 16, 437–440. [Google Scholar] [CrossRef]
- Palmiere, C.; Mangin, P. Postmortem Chemistry Update Part I. Int. J. Legal Med. 2012, 126, 187–198. [Google Scholar] [CrossRef]
- Coe, J.I. Postmortem Chemistries on Human Vitreous Humor. Am. J. Clin. Pathol. 1969, 51, 741–750. [Google Scholar] [CrossRef] [PubMed]
- Farmer, J.G.; Benomran, F.; Watson, A.A.; Harland, W.A. Magnesium, Potassium, Sodium and Calcium in Post-Mortem Vitreous Humour from Humans. Forensic Sci. Int. 1985, 27, 1–13. [Google Scholar] [CrossRef] [PubMed]
- Gadzuric, S.B.; Podunavac Kuzmanovic, S.O.; Jokic, A.I.; Vranes, M.B.; Ajdukovic, N.; Kovacevic, S.Z. Chemometric Estimation of Post-Mortem Interval Based on Na+ and K+ Concentrations from Human Vitreous Humour by Linear Least Squares and Artificial Neural Networks Modelling. Aust. J. Forensic Sci. 2014, 46, 166–179. [Google Scholar] [CrossRef]
- Pigaiani, N.; Bertaso, A.; De Palo, E.F.; Bortolotti, F.; Tagliaro, F. Vitreous Humor Endogenous Compounds Analysis for Post-Mortem Forensic Investigation. Forensic Sci. Int. 2020, 310, 110235. [Google Scholar] [CrossRef]
- Li, W.; Chang, Y.; Cheng, Z.; Ling, J.; Han, L.; Li, X.; Ding, Y. Vitreous Humor: A Review of Biochemical Constituents in Postmortem Interval Estimation. J. Forensic Sci. Med. 2018, 4, 85–90. [Google Scholar] [CrossRef]
- Lange, N.; Swearer, S.; Sturner, W.Q. Human Postmortem Interval Estimation from Vitreous Potassium: An Analysis of Original Data from Six Different Studies. Forensic Sci. Int. 1994, 66, 159–174. [Google Scholar] [CrossRef]
- Yang, M.; Li, H.; Yang, T.; Ding, Z.; Wu, S.; Qiu, X.; Liu, Q. A Study on the Estimation of Postmortem Interval Based on Environmental Temperature and Concentrations of Substance in Vitreous Humor. J. Forensic Sci. 2018, 63, 745–751. [Google Scholar] [CrossRef]
- Rognum, T.O.; Hauge, S.; Øyasaeter, S.; Saugstad, O.D. A New Biochemical Method for Estimation of Postmortem Time. Forensic Sci. Int. 1991, 51, 139–146. [Google Scholar] [CrossRef]
- Singh, D.; Prashad, R.; Parkash, C.; Bansal, Y.S.; Sharma, S.K.; Pandey, A.N. Linearization of the Relationship between Serum Sodium, Potassium Concentration, Their Ratio and Time since Death in Chandigarh Zone of North-West India. Forensic Sci. Int. 2002, 130, 1–7. [Google Scholar] [CrossRef]








| Model Fit Measures | Model Fit Measures | ||||||||
| Model | R | R2 | Model | R | R2 | ||||
| 1 | 0.982 | 0.965 | 1 | 0.967 | 0.935 | ||||
| Model Coefficients—LN(Na+/K+) | Model Coefficients—LN(Na+/K+) | ||||||||
| Predictor | Estimate | SE | t | p | Predictor | Estimate | SE | t | p |
| Intercept | 3.182 | 0.037 | 85.481 | <0.001 | Intercept | 3.100 | 0.050 | 61.723 | <0.001 |
| PMI (h) | −0.048 | 0.002 | −24.499 | <0.001 | PMI (h) | −0.041 | 0.002 | −18.932 | <0.001 |
| Time Span | Estimated Model | 95% CI Slope | 95% CI Intercept |
|---|---|---|---|
| 31 h | |||
| 44.5 h |
Disclaimer/Publisher’s Note: The statements, opinions and data contained in all publications are solely those of the individual author(s) and contributor(s) and not of MDPI and/or the editor(s). MDPI and/or the editor(s) disclaim responsibility for any injury to people or property resulting from any ideas, methods, instructions or products referred to in the content. |
© 2025 by the authors. Licensee MDPI, Basel, Switzerland. This article is an open access article distributed under the terms and conditions of the Creative Commons Attribution (CC BY) license (https://creativecommons.org/licenses/by/4.0/).
Share and Cite
Lijcklama à Nijeholt, L.; Fleermann, M.; Breukers, M.; Knotter, J.; Staal, S.; Bruijns, B. Novel Portable Device for Post Mortem Interval Estimation Using Vitreous Humor Analysis. Forensic Sci. 2025, 5, 18. https://doi.org/10.3390/forensicsci5020018
Lijcklama à Nijeholt L, Fleermann M, Breukers M, Knotter J, Staal S, Bruijns B. Novel Portable Device for Post Mortem Interval Estimation Using Vitreous Humor Analysis. Forensic Sciences. 2025; 5(2):18. https://doi.org/10.3390/forensicsci5020018
Chicago/Turabian StyleLijcklama à Nijeholt, Louise, Michael Fleermann, Micky Breukers, Jaap Knotter, Steven Staal, and Brigitte Bruijns. 2025. "Novel Portable Device for Post Mortem Interval Estimation Using Vitreous Humor Analysis" Forensic Sciences 5, no. 2: 18. https://doi.org/10.3390/forensicsci5020018
APA StyleLijcklama à Nijeholt, L., Fleermann, M., Breukers, M., Knotter, J., Staal, S., & Bruijns, B. (2025). Novel Portable Device for Post Mortem Interval Estimation Using Vitreous Humor Analysis. Forensic Sciences, 5(2), 18. https://doi.org/10.3390/forensicsci5020018

