Laboratory-Based Correlation between Liquefaction Resistance and Shear Wave Velocity of Sand with Fines
Abstract
1. Introduction
2. Tested Materials
3. Testing Procedure
3.1. Specimen Preparation
3.2. Bender Element Tests
3.3. Cyclic Triaxial Tests
4. Tests Results and Analysis
4.1. Shear Wave Velocity
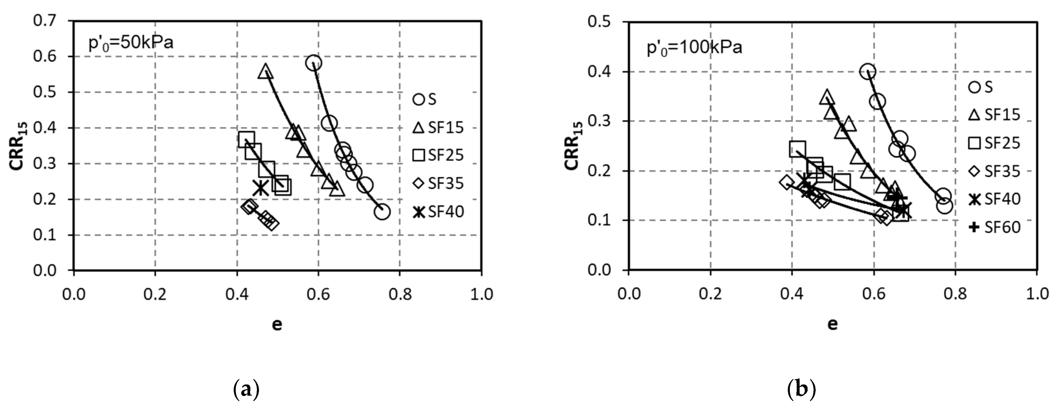
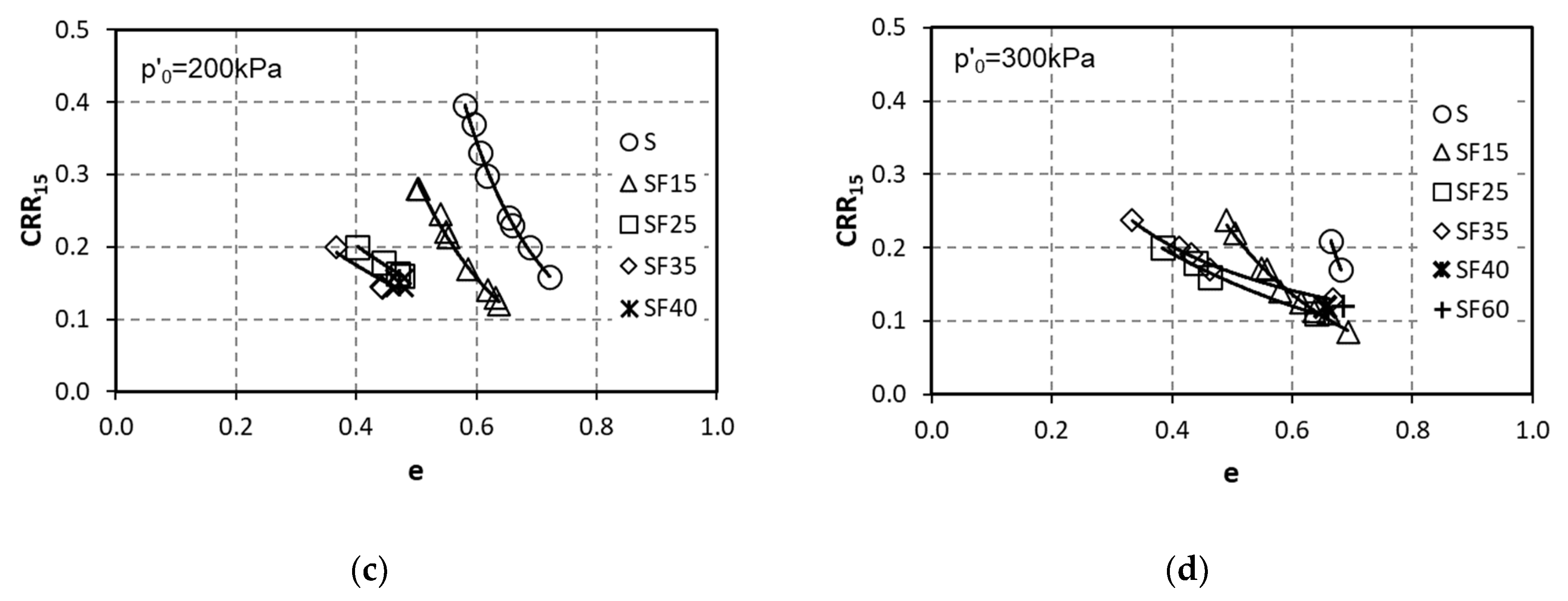
4.2. Liquefaction Resistance
4.3. Correlation of Shear Wave Velocity with Liquefaction Resistance
5. Conclusions
- (i)
- The correlation between CRR and Vs of sand containing NP fines depends on factors, such as fc and p′0. When Vs is normalized with respect to p′0, a good correlation between CRR and stress normalized shear waves velocity, Vs/p′0m/2, irrespective of stress level is observed. The stress exponent m depends on fc. The sand–silt mixture with fc = 35%, forms a lower bound for the CRR15–Vs/p′0m/2 correlation;
- (ii)
- The fc-dependent stress exponent, m/2, can be used in the overburden stress correction of Vs;
- (iii)
- The type of the estimated CRRfield–Vs1 correlation is similar to the correlation between CRR and Vs/p′0m/2 and depends significantly on fc. The sand–silt mixture with fc = 35% forms the lower bound for this correlation;
- (iv)
- The comparison of derived CRRfield–Vs1 correlation results in this work with previous field and laboratory studies indicates that besides fc, other factors, such as mineralogy, grain and grading characteristics, fabric, ageing, and stress history may be important.
Author Contributions
Funding
Institutional Review Board Statement
Informed Consent Statement
Data Availability Statement
Conflicts of Interest
List of Notations
| Vs | shear wave velocity | 
| CRR | cyclic resistance ratio or liquefaction resistance | 
| CRRlab | cyclic resistance ratio measured at the laboratory | 
| CRRfield | field cyclic stress ratio | 
| Vs1 | overburden stress-corrected shear wave velocity | 
| fc | fines content | 
| CN | factor to correct measured shear wave velocity for overburden stress | 
| pa | reference stress equal to 100 kPa | 
| σ′v | effective overburden stress (vertical effective stress) | 
| CSR | cyclic stress ratio equal to σd/2p′0 | 
| D50 | mean grain size | 
| D10 | diameter corresponding to 10% finer | 
| Cu | coefficient of uniformity | 
| emax | maximum void ratio | 
| emin | minimum void ratio | 
| εDA | double amplitude axial strain | 
| k0 | coefficient of lateral earth pressure at rest | 
| Ru | excess pore water pressure ratio | 
| CRRCTX | cyclic resistance ratio or liquefaction resistance from cyclic triaxial tests | 
| Gmax | linear elastic shear modulus | 
| Gs | specific gravity of soil grains | 
| B | degree of saturation, B = Δu/Δσ | 
| Δu | excess pore water pressure | 
| f | frequency | 
| p′0 | effective isotropic stress (mean effective stress)-(confining stress) | 
| e | void ratio after consolidation | 
| ρ | total mass density of a soil | 
| CRR15 | cyclic resistance ratio or liquefaction resistance at 15 cycles of loading | 
| ±σd | sinusoidally varying axial stress | 
| N | number of loading cycles | 
| Nl | number of loading cycles at εDA = 5% | 
| t | Time | 
| A | parameter dependent on soil type | 
| m | parameter dependent on soil type | 
| n | parameter dependent on soil type | 
| Dr | relative density | 
| fc,th | threshold fines content | 
| τl | cyclic shear strength | 
| rc | factor to consider multidirectional loading | 
| CRR15,σ′ν = 100 | cyclic resistance ratio at 15 cycles of loading and at σ′ν = 100 kPa | 
| CRR15,σ′ν | cyclic resistance ratio at σ′ν | 
| Kσ | correction factor for the level of vertical effective stress | 
| cr | factor to convert stress ratio to cause liquefaction to field ko conditions | 
| CRR15,p′0 | cyclic resistance ratio at 15 cycles of loading and at p′0 | 
| φ′cs | angle of shearing resistance at critical state | 
| Β | parameter obtained from a nonlinear regression | 
| B′ | parameter obtained from a nonlinear regression | 
| a | parameter obtained from a nonlinear regression | 
| b | parameter obtained from a nonlinear regression | 
| c | parameter obtained from a nonlinear regression | 
| d | parameter obtained from a nonlinear regression | 
| D60 | diameter corresponding to 60% finer | 
References
- Seed, H.B.; Idriss, I.M. Simplified procedure for evaluating soil liquefaction potential. J. Soil Mech. Found. Div. ASCE 1971, 97, 1249–1273. [Google Scholar] [CrossRef]
- Idriss, I.M. An update to the Seed-Idriss simplified procedure for evaluating liquefaction potential. In Proceedings of the TRB Workshop on New Approaches to Liquefaction, Washington, DC, USA, 10 January 1999. [Google Scholar]
- Idriss, I.M.; Boulanger, R.W. Semi-empirical procedures for evaluating liquefaction potential during Earthquakes. In Proceedings of the Joint Eleventh International Conference on Soil Dynamics and Earthquake Engineering and Third International Conference on Earthquake Geotechnical Engineering, Berkeley, CA, USA, 7–9 January 2004; Volume 1, pp. 32–56. [Google Scholar]
- Cavallaro, A.; Capilleri, P.; Grasso, S. Site characterization by in situ and laboratory tests for liquefaction potential evaluation during Emilia Romagna earthquake. Geosciences 2018, 8, 242. [Google Scholar] [CrossRef]
- Robertson, P.K.; Woeller, D.J.; Finn, W.D.L. Seismic Cone penetration test for evaluating liquefaction potential under cyclic loading. Can. Geotech. J. 1992, 29, 686–695. [Google Scholar] [CrossRef]
- Tokimatsu, K.; Uchida, A. Correlation between liquefaction resistance and shear wave velocity. Soils Found. 1990, 30, 33–42. [Google Scholar] [CrossRef]
- Tokimatsu, K.; Yamazaki, T.; Yoshimi, Y. Soil liquefaction evaluations by elastic shear moduli. Soils Found. 1986, 26, 25–35. [Google Scholar] [CrossRef]
- Yoshimi, Y.; Tokimatsu, K.; Kaneko, O.; Makihara, Y. Undrained cyclic shear strength of a dense Niigata sand. Soils Found. 1984, 24, 131–145. [Google Scholar] [CrossRef]
- Yoshimi, Y.; Tokimatsu, K.; Hosaka, Y. Evaluation of liquefaction resistance of clean sands based on high-quality undisturbed. Soils Found. 1989, 29, 93–104. [Google Scholar] [CrossRef]
- Kayen, R.E.; Mitchell, J.K.; Seed, R.B.; Lodge, A.; Nishio, S.; Coutinho, R. Evaluation of SPT-, CPT-, and shear wave-based methods for liquefaction potential assessment using Loma Prieta data. In Proceedings of the Fourth Japan-U.S. Workshop on Earthquake Resistance Design of Life-line Facilities and Countermeasures for Soil Liquefaction; Technical Report NCEER-92-0019; Hamada, M., O’Rourke, T., Eds.; MCEER: Buffalo, NY, USA, 1992; pp. 177–204. [Google Scholar]
- Lodge, A.L. Shear Wave Velocity Measurements for Subsurface Characterization. Ph.D. Thesis, University of California, Berkeley, CA, USA, 1994. [Google Scholar]
- Andrus, R.D.; Stokoe, K.H., II. Liquefaction resistance based on shear wave velocity. In Proceedings of the National Center for Earthquake Engineering Research Workshop on Evaluation of Liquefaction Resistance of Soils; Technical Report NCEER-97-0022; Youd, T.L., Idriss, I.M., Eds.; MCEER: Buffalo, NY, USA, 1997; pp. 89–128. [Google Scholar]
- Andrus, R.D.; Stokoe, K.H., II. Liquefaction resistance of soils from shear-wave velocity. J. Geotech. Geoenviron. Eng. ASCE 2000, 126, 1015–1025. [Google Scholar] [CrossRef]
- Kayen, R.E.; Moss, R.E.S.; Thompson, E.M.; Seed, R.B.; Cetin, K.O.; Der Kiureghian, A.; Tanaka, Y.; Tokimatsu, K. Shear-wave velocity -based probabilistic and deterministic assessment of seismic soil liquefaction potential. J. Geotech. Geoenviron. Eng. ASCE 2013, 139, 407–419. [Google Scholar] [CrossRef]
- Huang, Y.T.; Huang, A.B.; Kuo, Y.C.; Tsai, M.D. A laboratory study on the undrained strength of a silty sand from Central Western Taiwan. Soil Dyn. Earthq. Eng. 2004, 24, 733–743. [Google Scholar] [CrossRef]
- Huang, A.B.; Huang, Y.T. Undisturbed sampling and laboratory shearing tests on a sand with various fines contents. Soils Found. 2007, 47, 771–781. [Google Scholar] [CrossRef][Green Version]
- Huang, A.B.; Tai, Y.Y.; Lee, F.W.; Huang, Y.T. Field evaluation of the cyclic strength versus cone tip resistance correlation in silty sands. Soils Found. 2009, 49, 557–568. [Google Scholar] [CrossRef]
- Huang, A.B. The Seventh James K. Mitchell Lecture: Characterization of silt/sand soils. In Proceedings of the Fifth International Conference on Geotechnical and Geophysical Site Characterisation, Gold Coast, QLD, Australia, 5–9 September 2016; Volume 1, pp. 3–18. [Google Scholar]
- Zhou, Y.G.; Chen, Y.M.; Ke, H. Correlation of liquefaction resistance with shear wave velocity based on laboratory study using bender element. J. Zhejiang Univ. Sci. A 2005, 6, 805–812. [Google Scholar] [CrossRef]
- Zhou, Y.G.; Chen, Y.M. Laboratory investigation on assessing liquefaction resistance of sandy soils by shear wave velocity. J. Geotech. Geoenviron. Eng. ASCE 2007, 133, 959–972. [Google Scholar] [CrossRef]
- Askari, F.; Dabiri, R.; Shafiee, A.; Jafari, M. Liquefaction resistance of sand-silt mixtures using laboratory-based shear wave velocity. Int. J. Civ. Eng. 2011, 9, 135–144. [Google Scholar]
- Ahmadi, M.; Paydar, N. Requirements for soil-specific correlation between shear wave velocity and liquefaction resistance of sands. Soil Dyn. Earthq. Eng. 2014, 57, 152–163. [Google Scholar] [CrossRef]
- Paydar, N.; Ahmadi, M. Correlation of shear wave velocity with liquefaction resistance for silty sand based on laboratory study. In Proceeding of the Fifteenth Asian Regional Conference on Soil Mechanics and Geotechnical Engineering, Fukuoka, Japan, 9–13 November 2016; pp. 794–799. [Google Scholar]
- Oka, G.L.; Dewoolkar, M.; Olson, M.S. Comparing laboratory-based liquefaction resistance of a sand with non-plastic fines with shear wave velocity-based field case histories. Soil Dyn. Earthq. Eng. 2018, 113, 162–173. [Google Scholar] [CrossRef]
- Seed, H.B.; Peacock, W.H. The procedure for measuring soil liquefaction characteristics. J. Soil Mech. Found. Div. 1971, 97, 1099–1119. [Google Scholar] [CrossRef]
- Finn, W.D.L.; Pickering, D.J.; Bransby, P.L. Sand liquefaction in triaxial and simple shear tests. J. Soil Mech. Found. Div. 1971, 97, 639–659. [Google Scholar] [CrossRef]
- Castro, G. Liquefaction and cyclic mobility of saturated sands. J. Geotech. Eng. Div. 1976, 101, 551–569. [Google Scholar] [CrossRef]
- Papadopoulou, A.I. Laboratory investigation into the behavior of silty sands under monotonic and cyclic loading. Ph.D. Thesis, Aristotle University of Thessaloniki, Thessaloniki, Greece, 2008. [Google Scholar]
- Ladd, S. Preparing test specimens using undercompaction. Geotech. Test. J. 1978, 1, 16–23. [Google Scholar]
- Verdugo, R.; Ishihara, K. The steady state of sandy soils. Soils Found. 1996, 36, 81–91. [Google Scholar] [CrossRef]
- Theopoulos, A.; Papadopoulou, A.; Th, T. An automated system for measurement of shear waves velocity in soil. In Proceedings of the XIX IMEKO World Congress Fundamental Applied Metrology, Lisbon, Portugal, 6–11 September 2009; pp. 1597–1600. [Google Scholar]
- Kawaguchi, T.; Mitachi, T.; Shibuya, S. Evaluation of shear wave travel time in laboratory bender element test. In Proceedings of the Fifteenth International Conference on Soil Mechanics and Geotechnical Engineering, Istanbul, Turkey, 27 August 2001; pp. 155–158. [Google Scholar]
- Brignoli, E.G.M.; Gotti, M.; Stokoe, K.H., II. Measurement of shear waves in laboratory specimens by means of piezoelectric transducers. Geotech. Test. J. 1996, 19, 384–397. [Google Scholar]
- Lee, J.S.; Santamarina, J.C. Bender Elements: Performance and Signal Interpretation. J. Geotech. Geoenviron. Eng. ASCE 2005, 131, 1063–1070. [Google Scholar] [CrossRef]
- Ishihara, K. Liquefaction and flow failure during earthquakes. Géotechnique 1993, 43, 351–415. [Google Scholar] [CrossRef]
- Hardin, B.O.; Richart, F.E., Jr. Elastic wave velocities in granular soils. J. Soil Mechan. Found. Div. ASCE 1963, 89, 33–65. [Google Scholar] [CrossRef]
- Jamiolkowski, M.; Leroueil, S.; Lo Presti, D.C.F. Design parameters from theory to practice. In Proceedings of the International Conference on Geotechnical Engineering for Coastal Development, GEO-COAST’91, Yokahama, Japan, 3–6 September 1991; pp. 877–917. [Google Scholar]
- Thevanayagam, S. Effect of fines and confining stress on steady state strength of silty sands. J. Geotech. Eng. ASCE 1998, 124, 479–491. [Google Scholar] [CrossRef]
- Polito, C.P.; Martin, J.R. Effects of nonplastic fines on the liquefaction resistance of sands. J. Geotech. Geoenviron. Eng. ASCE 2001, 127, 408–415. [Google Scholar] [CrossRef]
- Naeini, S.A.; Baziar, M.H. Effect of fines content on steady-state strength of mixed and layered samples of a sand. Soil Dyn. Earthq. Eng. 2004, 24, 181–187. [Google Scholar] [CrossRef]
- Yang, S.; Sandven, R.; Grande, L. Steady-state lines of sand-silt mixtures. Can. Geotech. J. 2006, 43, 1213–1219. [Google Scholar] [CrossRef]
- Dash, H.K.; Sitharam, T.G. Undrained cyclic and monotonic strength of sand-silt mixtures. J. Geotech. Geoenviron. Eng. ASCE 2011, 29, 555–570. [Google Scholar] [CrossRef]
- Hsiao, D.H.; Phan, V.T.A. Evaluation of static and dynamic properties of sand-fines mixtures through the state and equivalent state parameters. Soil Dyn. Earthq. Eng. 2016, 84, 134–144. [Google Scholar] [CrossRef]
- Porcino, D.D.; Diano, V.; Triantafyllidis, T.; Wichtmann, T. Predicting undrained static response of sand with non-plastic fines in terms of equivalent granular state parameter. Acta Geotech. 2019, 15, 867–882. [Google Scholar] [CrossRef]
- Papadopoulou, A.; Tika, T. The effect of fines on critical state and liquefaction resistance characteristics of nonplastic silty sands. Soils Found. 2008, 48, 713–726. [Google Scholar] [CrossRef]
- Seed, H.B. Soil liquefaction and cyclic mobility evaluation for level ground during earthquakes. J. Geotech. Geoenviron. Eng. ASCE 1979, 105, 201–255. [Google Scholar]
- Vaid, P.Y.; Sivathayalan, S. Static and cyclic liquefaction potential of Fraser Delta sand in simple shear and triaxial tests. Can. Geotech. J. 1996, 33, 281–289. [Google Scholar] [CrossRef]
- Boulanger, R.W. High overburden stress effects in liquefaction analyses. J. Geotech. Geoenviron. Eng. ASCE 2003, 129, 1071–1082. [Google Scholar] [CrossRef]
- Salgado, R.; Boulanger, R.W.; Mitchell, J.K. Lateral stress effects on CPT liquefaction resistance correlations. J. Geotech. Geoenviron. Eng. ASCE 1997, 123, 726–735. [Google Scholar] [CrossRef]
- Marcuson, W.F., III; Bieganousky, W.A. Laboratory standard penetration tests on fine sands. J. Geotech. Eng. Div. ASCE 1997, 103, 565–588. [Google Scholar] [CrossRef]
- Marcuson, W.F., III; Bieganousky, W.A. SPT and relative density in coarse sands. J. Geotech. Eng. Div. ASCE 1997, 103, 1295–1309. [Google Scholar] [CrossRef]




















| No | Reference | Soil Type | fc % | D50 mm | D10 mm | Cu | emax | emin | Test 1,2 | Liquefaction Criterion | Vs to Vs1 Conversion | CRRlab to CRRfield Conversion | 
| 1. | [15] | Maio Liao Sand (MLS) 3 | 0 | 0.11 | 0.05 | 2.2 | 1.130 | 0.650 | BE and CTX MT | 5% DA axial strain in 20 cycles | ||
| Mai Liao Sand (MLS) + fines | 15 | - | - | - | 1.060 | 0.590 | ||||||
| 30 | - | - | - | 1.210 | 0.590 | |||||||
| 2. | [16] | Yuan Lin Soils (YLS) | 18 | 0.18 | 0.035 | 5.6 | 1.290 | 0.850 | BE and CTX MT WS L | » | » | » | 
| 43 | 0.082 | 0.009 | 11.1 | 1.270 | 0.860 | |||||||
| 89 | 0.027 | 0.002 | 14.4 | 1.690 | 1.010 | |||||||
| 3. | [17,18] | Kao Hsiung Soils (KHS) | 5 | 0.31 | 0.13 | 2.7 | - | - | BE and CTX G-P | » | » | » | 
| 21 | 0.114 | 0.059 | 2.2 | - | ||||||||
| 22 | 0.108 | - | - | - | ||||||||
| 61 | 0.052 | 0.009 | 8.4 | - | - | |||||||
| 4. | [19,20] | Toyoura sand 4 | 0 | 0.16 | 0.10 | 1.8 | 0.970 | 0.630 | BE and CTX ST | 5% DA axial strain in 15 cycles | ||
| Fuzhoo sand 3 | 0 | 0.32 | 0.13 | 3.0 | 0.790 | 0.430 | ||||||
| Tianjin sand 4 | 3.7 | 0.15 | 0.10 | 1.7 | 1.100 | 0.590 | ||||||
| 5. | [21] | Firoozkooh Sand 5 | 0 | 0.25 | 0.16 | 1.75 | 0.870 | 0.580 | TS-RC and CTX MT | initial liquefaction or 5% DA axial strain (whichever occurred first) | ||
| Firoozkooh Sand + Firoozkooh silt | 15 | 0.21 | 0.02 | 11.5 | 0.830 | 0.410 | ||||||
| 30 | 0.18 | 0.01 | 20 | 0.854 | 0.320 | |||||||
| 60 | 0.047 | 0.005 | 28 | 1.259 | 0.360 | |||||||
| 6. | [22] | Babolsar Sand 7 | 0 | 0.24 | 0.15 | 1.80 | 0.825 | 0.546 | BE and CTX MT | Ru = 1 in 15 cycles | ||
| 7. | [23] | Firoozkooh Sand | 0 | 0.23 | 0.18 | 1.32 | 0.886 | 0.637 | » | » | » | » | 
| Firoozkooh sand + Firoozkooh silt | 3 | - | - | - | 0.886 | 0.633 | ||||||
| 5 | - | - | - | 0.895 | 0.630 | |||||||
| 15 | - | - | - | 0.838 | 0.554 | |||||||
| 25 | - | - | - | 0.862 | 0.497 | |||||||
| 8. | [24] | F75 sand 8 | 0 | 0.29 | 0.15 | 2.13 | 0.820 | 0.480 | BE and CTX MT | Ru = 1 in 15 cycles | ||
| F75 sand + Sil-Co-Sil 125 silt | 5 | 0.29 | 0.13 | 2.5 | 0.780 | 0.420 | ||||||
| 15 | 0.28 | 0.033 | 9.7 | 0.850 | 0.360 | |||||||
| 30 | 0.23 | 0.013 | 21.9 | 0.980 | 0.300 | |||||||
| 50 | 0.10 | 0.007 | 25.0 | 1.210 | 0.400 | |||||||
| 60 | 0.09 | 0.006 | 18.2 | 1.370 | 0.450 | |||||||
| 75 | 0.04 | 0.005 | 19.1 | 1.670 | 0.560 | 
| Soils | Gs | D50 (mm) | Cu | fc (% < 75μm) | emin | emax | 
| Sand (S) | 2.649 | 0.30 | 1.3 | 0 | 0.582 | 0.841 | 
| Silt (F) | 2.663 | 0.02 | 7.5 | 100 | 0.658 | 1.663 | 
| SF15 | 2.651 | 0.30 | 8.8 | 15 | 0.380 | 0.750 | 
| SF25 | 2.653 | 0.30 | 16.8 | 25 | 0.350 | 0.686 | 
| SF35 | 2.654 | 0.27 | 24.6 | 35 | 0.345 | 0.777 | 
| fc (%) | Test | p′0 (kPa) | e | f (kHz) | VS (m/s) | ρ (Kg/m3) | CRR15 | 
| 0 | S-1 | 30 | 0.589 | 10 | 197.56 | 2042.24 | - | 
| 0 | S-2 | 49 | 0.587 | 10 | 227.98 | 2044.16 | 0.583 | 
| 0 | S-3 | 51 | 0.662 | 10 | 205.21 | 1997.44 | 0.326 | 
| 0 | S-4 | 52 | 0.673 | 10 | 192.50 | 1992.00 | 0.301 | 
| 0 | S-5 | 49 | 0.685 | 10 | 178.46 | 1983.40 | 0.277 | 
| 0 | S-6 | 88 | 0.585 | 10 | 256.50 | 2016.16 | 0.401 | 
| 0 | S-7 | 100 | 0.658 | 10 | 236.61 | 2001.89 | 0.257 | 
| 0 | S-8 | 100 | 0.670 | 10 | 225.66 | 1995.62 | 0.240 | 
| 0 | S-9 | 100 | 0.679 | 10 | 215.14 | 1990.09 | 0.228 | 
| 0 | S-10 | 192 | 0.581 | 10 | 324.38 | 2051.96 | 0.396 | 
| 0 | S-11 | 200 | 0.654 | 10 | 294.81 | 2007.43 | 0.241 | 
| 15 | SF15-1 | 50 | 0.538 | 10 | 135.16 | 2084.06 | 0.391 | 
| 15 | SF15-2 | 51 | 0.565 | 7 | 119.33 | 2054.87 | 0.339 | 
| 15 | SF15-3 | 50 | 0.599 | 10 | 122.88 | 2042.88 | 0.287 | 
| 15 | SF15-4 | 51 | 0.626 | 8 | 122.47 | 2021.19 | 0.252 | 
| 15 | SF15-5 | 50 | 0.646 | 10 | 122.73 | 2005.62 | 0.230 | 
| 15 | SF15-6 | 100 | 0.522 | 6 | 164.68 | 2106.03 | 0.281 | 
| 15 | SF15-7 | 100 | 0.560 | 8 | 152.84 | 2058.26 | 0.230 | 
| 15 | SF15-8 | 98 | 0.587 | 10 | 157.65 | 2058.16 | 0.201 | 
| 15 | SF15-9 | 100 | 0.622 | 7 | 150.99 | 2026.48 | 0.171 | 
| 15 | SF15-10 | 99 | 0.642 | 8 | 154.85 | 2009.71 | 0.156 | 
| 15 | SF15-11 | 199 | 0.504 | 10 | 212.23 | 2131.61 | 0.280 | 
| 15 | SF15-12 | 199 | 0.549 | 10 | 195.40 | 2108.34 | 0.221 | 
| 15 | SF15-13 | 200 | 0.553 | 10 | 201.15 | 2063.30 | 0.213 | 
| 15 | SF15-14 | 199 | 0.619 | 8 | 192.14 | 2029.98 | 0.140 | 
| 15 | SF15-15 | 200 | 0.638 | 10 | 196.18 | 2014.99 | 0.120 | 
| 15 | SF15-16 | 300 | 0.491 | 10 | 246.18 | 2150.25 | 0.237 | 
| 15 | SF15-17 | 300 | 0.504 | 10 | 222.05 | 2171.29 | 0.219 | 
| 15 | SF15-18 * | 300 | 0.549 | 10 | 226.36 | 2065.70 | 0.172 | 
| 15 | SF15-19 | 300 | 0.615 | 10 | 221.51 | 2035.25 | 0.125 | 
| 15 | SF15-20 | 300 | 0.636 | 10 | 224.04 | 2017.58 | 0.114 | 
| 25 | SF25-1 | 50 | 0.422 | 3 | 110.39 | 2161.83 | 0.368 | 
| 25 | SF25-2 | 50 | 0.472 | 3 | 104.08 | 2122.89 | 0.285 | 
| 25 | SF25-3 | 52 | 0.505 | 3 | 103.76 | 2098.84 | 0.245 | 
| 25 | SF25-4 | 100 | 0.412 | 6 | 147.19 | 2169.99 | 0.245 | 
| 25 | SF25-5 | 103 | 0.454 | 3 | 133.23 | 2136.14 | 0.211 | 
| 25 | SF25-6 | 101 | 0.479 | 3 | 137.01 | 2116.96 | 0.194 | 
| 25 | SF25-7 | 200 | 0.402 | 5 | 192.08 | 2178.76 | 0.200 | 
| 25 | SF25-8 | 201 | 0.446 | 6 | 178.94 | 2142.63 | 0.178 | 
| 25 | SF25-9 | 200 | 0.469 | 3 | 176.92 | 2125.17 | 0.163 | 
| 25 | SF25-10 | 300 | 0.384 | 6 | 221.84 | 2197.82 | 0.200 | 
| 25 | SF25-11 * | 301 | 0.439 | 8 | 209.99 | 2148.80 | 0.180 | 
| 25 | SF25-12 | 302 | 0.463 | 6 | 203.46 | 2129.53 | 0.160 | 
| 35 | SF35-1 | 49 | 0.428 | 6 | 129.24 | 2158.37 | 0.178 | 
| 35 | SF35-2 | 50 | 0.471 | 10 | 108.04 | 2124.71 | 0.148 | 
| 35 | SF35-3 | 51 | 0.475 | 7 | 99.48 | 2121.15 | 0.141 | 
| 35 | SF35-4 | 51 | 0.485 | 6 | 102.87 | 2114.08 | 0.133 | 
| 35 | SF35-5 | 99 | 0.387 | 8 | 163.62 | 2192.32 | 0.177 | 
| 35 | SF35-6 | 98 | 0.455 | 5 | 126.07 | 2136.80 | 0.149 | 
| 35 | SF35-7 | 99 | 0.456 | 6 | 140.17 | 2136.27 | 0.149 | 
| 35 | SF35-8 | 100 | 0.479 | 4 | 127.46 | 2118.13 | 0.141 | 
| 35 | SF35-9 | 200 | 0.367 | 9 | 213.15 | 2209.52 | 0.200 | 
| 35 | SF35-10 | 199 | 0.441 | 8 | 181.61 | 2148.09 | 0.145 | 
| 35 | SF35-11 | 197 | 0.443 | 6 | 173.88 | 2145.77 | 0.144 | 
| 35 | SF35-12 | 200 | 0.469 | 8 | 168.62 | 2125.64 | 0.150 | 
| 35 | SF35-13 | 299 | 0.334 | 12 | 246.27 | 2239.78 | 0.237 | 
| 35 | SF35-14 * | 299 | 0.412 | 7 | 209.09 | 2172.55 | 0.200 | 
| 35 | SF35-15 | 301 | 0.432 | 10 | 211.53 | 2155.08 | 0.191 | 
| 35 | SF35-16 * | 301 | 0.462 | 8 | 196.45 | 2131.10 | 0.171 | 
| Soils | e | A (103) | m | n | (r2) * | 
|---|---|---|---|---|---|
| S | 0.581–0.685 | 381.221 | 0.545 | 2.557 | 0.982 | 
| SF15 | 0.491–0.646 | 324.693 | 0.659 | 0.828 | 0.980 | 
| SF25 | 0.384–0.505 | 162.672 | 0.727 | 1.162 | 0.997 | 
| SF35 | 0.334–0.485 | 109.992 | 0.625 | 1.698 | 0.984 | 
| Soils | φ′cs (°) | k0 | cr = (1 + 2k0)/3 | 
|---|---|---|---|
| S | 33.56 | 0.447 | 0.631 | 
| SF15 | 37.88 | 0.386 | 0.591 | 
| SF25 | 34.77 | 0.430 | 0.620 | 
| SF35 | 35.47 | 0.420 | 0.613 | 
| Soils | Dr (%) | B′ | b | c | Range of a a = b − c Dr | d | (r2) * | 
|---|---|---|---|---|---|---|---|
| S | 60–100 | 75.865 | 0.330 | 0.076 | 0.284–0.254 | 0.731 | 0.984 | 
| SF15 | 28–70 | 27.265 | 0.302 | −0.062 | 0.319–0.345 | −0.085 | 0.983 | 
| SF25 | 54–90 | 22.678 | 0.340 | −0.036 | 0.359–0.372 | 0.135 | 0.996 | 
| SF35 | 68–100 | 47.514 | 0.471 | 0.208 | 0.330–0.258 | 1.828 | 0.988 | 
| Publisher’s Note: MDPI stays neutral with regard to jurisdictional claims in published maps and institutional affiliations. | 
© 2021 by the authors. Licensee MDPI, Basel, Switzerland. This article is an open access article distributed under the terms and conditions of the Creative Commons Attribution (CC BY) license (https://creativecommons.org/licenses/by/4.0/).
Share and Cite
Papadopoulou, A.I.; Tika, T.M. Laboratory-Based Correlation between Liquefaction Resistance and Shear Wave Velocity of Sand with Fines. Geotechnics 2021, 1, 219-242. https://doi.org/10.3390/geotechnics1020012
Papadopoulou AI, Tika TM. Laboratory-Based Correlation between Liquefaction Resistance and Shear Wave Velocity of Sand with Fines. Geotechnics. 2021; 1(2):219-242. https://doi.org/10.3390/geotechnics1020012
Chicago/Turabian StylePapadopoulou, Anthi I., and Theodora M. Tika. 2021. "Laboratory-Based Correlation between Liquefaction Resistance and Shear Wave Velocity of Sand with Fines" Geotechnics 1, no. 2: 219-242. https://doi.org/10.3390/geotechnics1020012
APA StylePapadopoulou, A. I., & Tika, T. M. (2021). Laboratory-Based Correlation between Liquefaction Resistance and Shear Wave Velocity of Sand with Fines. Geotechnics, 1(2), 219-242. https://doi.org/10.3390/geotechnics1020012
 
         
                                                

 
       