Effects of Secure Base Leadership vs. Avoidant Leadership on Job Performance
Abstract
1. Introduction
1.1. Secure Base Leadership (SBL)
1.2. Organizational Performance
1.2.1. Task and Contextual Performance
1.2.2. Counterproductive Work Behaviors
2. Materials and Methods
2.1. Procedure and Participants
2.2. Measures
2.3. Data Analysis
3. Results
3.1. Common Method Bias Assessment
3.2. Reliability and Construct Validity
3.3. Descriptive Statistics and Correlations between Variables
3.4. Hypotheses Testing
4. Discussion
5. Conclusions
6. Limitations and Future Research
Supplementary Materials
Author Contributions
Funding
Institutional Review Board Statement
Informed Consent Statement
Data Availability Statement
Conflicts of Interest
References
- Chang, C.M.; Makahaube, J.; Raheem, A.A.; Smith, E.; Mahnaz, S.L. Using System Dynamics Method to Measure Project Management Performance of Local Government Agencies. Businesses 2022, 2, 376–395. [Google Scholar] [CrossRef]
- Carpini, J.A.; Parker, S.K.; Griffin, M.A. A Look Back and a Leap Forward: A Review and Synthesis of the Individual Work Performance Literature. Acad. Manag. Ann. 2017, 11, 825–885. [Google Scholar] [CrossRef]
- Koopmans, L.; Bernaards, C.M.; Hildebrandt, V.H.; de Vet, H.C.W.; van der Beek, A.J. Construct Validity of the Individual Work Performance Questionnaire. J. Occup. Env. Med 2014, 56, 331–337. [Google Scholar] [CrossRef]
- Tamimi, M.; Sopiah, S. The Influence of Leadership Style on Employee Performance: A Systematic Literature Review. Int. J. Entrep. Bus. Manag. 2022, 1, 128–138. [Google Scholar] [CrossRef]
- López-Cabarcos, M.Á.; Vázquez-Rodríguez, P.; Quiñoá-Piñeiro, L.M. An Approach to Employees’ Job Performance through Work Environmental Variables and Leadership Behaviours. J. Bus. Res. 2022, 140, 361–369. [Google Scholar] [CrossRef]
- Saha, R.; Shashi; Cerchione, R.; Singh, R.; Dahiya, R. Effect of Ethical Leadership and Corporate Social Responsibility on Firm Performance: A Systematic Review. Corp. Soc. Responsib. Env. Manag. 2020, 27, 409–429. [Google Scholar] [CrossRef]
- Gardner, W.L.; Lowe, K.B.; Meuser, J.D.; Noghani, F.; Gullifor, D.P.; Cogliser, C.C. The Leadership Trilogy: A Review of the Third Decade of The Leadership Quarterly. Leadersh. Q. 2020, 31, 101379. [Google Scholar] [CrossRef]
- Molero, F.; Mikulincer, M.; Shaver, P.R.; Laguía, A.; Moriano, J.A. The Development and Validation of the Leader as Security Provider Scale. Rev. Psicol. Trab. Organ. 2019, 35, 183–193. [Google Scholar] [CrossRef]
- Moriano, J.A.; Molero, F.; Laguía, A.; Mikulincer, M.; Shaver, P.R. Security Providing Leadership: A Job Resource to Prevent Employees’ Burnout. Int. J. Env. Res. Public Health 2021, 18, 12551. [Google Scholar] [CrossRef]
- Bass, B.M. Leadership and Performance beyond Expectations; Free Press: New York, NY, USA, 1985. [Google Scholar]
- Bass, B.M.; Avolio, B.J. Improving Organizational Effectiveness through Transformational Leadership; Sage Publications: Thousand Oaks, CA, USA, 1994. [Google Scholar]
- Haslam, S.A.; Reicher, S.D.; Platow, M.J. Leadership: Theory and Practice. In APA Handbook of Personality and Social Psychology; Volume 2: Group Processes; American Psychological Association: Washington, DC, USA, 2015; pp. 67–94. [Google Scholar]
- Bowlby, J. Attachment and Loss: Retrospect and Prospect. Am. J. Orthopsychiatry 1982, 52, 664–678. [Google Scholar] [CrossRef]
- Bowlby, J. Attachment and Loss; Basic Books: New York, NY, USA, 1969; Volume 1. [Google Scholar]
- Hazan, C.; Shaver, P.R. Love and Work: An Attachment-Theoretical Perspective. J. Pers. Soc. Psychol. 1990, 59, 270–280. [Google Scholar] [CrossRef]
- Mikulincer, M.; Shaver, P.R. Attachment Theory Expanded: Security Dynamics in Individuals, Dyads, Groups, and Societies; Guilford Publications: New York, NY, USA, 2023. [Google Scholar]
- Lobato, P.; Moriano, J.A.; Laguía, A.; Molero, F.; Mikulincer, M. Security Providing Leadership and Work Stress in Spanish Air Force. Mil. Psychol. 2023, 1–12. [Google Scholar] [CrossRef]
- Lisá, E.; Greškovičová, K.; Krizova, K. The Perception of the Leader as an Attachment Figure: Can It Mediate the Relationship between Work Engagement and General/Citizenship Performance? BMC Psychol. 2021, 9, 196. [Google Scholar] [CrossRef] [PubMed]
- Wu, C.-H.; Parker, S.K. The Role of Leader Support in Facilitating Proactive Work Behavior. J. Manag. 2017, 43, 1025–1049. [Google Scholar] [CrossRef]
- Frooman, J.; Mendelson, M.B.; Kevin Murphy, J. Transformational and Passive Avoidant Leadership as Determinants of Absenteeism. Leadersh. Organ. Dev. J. 2012, 33, 447–463. [Google Scholar] [CrossRef]
- Sischka, P.E.; Schmidt, A.F.; Steffgen, G. The Effect of Competition and Passive Avoidant Leadership Style on the Occurrence of Workplace Bullying. Pers. Rev. 2020, 50, 535–559. [Google Scholar] [CrossRef]
- Martin, K.; McLeod, E.; Périard, J.; Rattray, B.; Keegan, R.; Pyne, D.B. The Impact of Environmental Stress on Cognitive Performance: A Systematic Review. Hum. Factors J. Hum. Factors Ergon. Soc. 2019, 61, 1205–1246. [Google Scholar] [CrossRef]
- Harris, D.J.; Allen, K.L.; Vine, S.J.; Wilson, M.R. A Systematic Review and Meta-Analysis of the Relationship between Flow States and Performance. Int. Rev. Sport Exerc. Psychol. 2023, 16, 693–721. [Google Scholar] [CrossRef]
- Wilmot, M.P.; Ones, D.S. Occupational Characteristics Moderate Personality–Performance Relations in Major Occupational Groups. J. Vocat. Behav. 2021, 131, 103655. [Google Scholar] [CrossRef]
- Tisu, L.; Lupșa, D.; Vîrgă, D.; Rusu, A. Personality Characteristics, Job Performance and Mental Health: The Mediating Role of Work Engagement. Pers. Individ. Dif. 2020, 153, 109644. [Google Scholar] [CrossRef]
- Sonnentag, S.; Frese, M. Performance Concepts and Performance Theory. In Psychological Management of Individual Performance; Sonnentag, S., Ed.; Wiley: Hoboken, NJ, USA, 2002; pp. 1–25. [Google Scholar]
- Motowidlo, S.J. Some Basic Issues Related to Contextual Performance and Organizational Citizenship Behavior in Human Resource Management. Hum. Resour. Manag. Rev. 2000, 10, 115–126. [Google Scholar] [CrossRef]
- Borman, W.C.; Motowidlo, S.J. Task Performance and Contextual Performance: The Meaning for Personnel Selection Research. Hum. Perform 1997, 10, 99–109. [Google Scholar] [CrossRef]
- Motowidlo, S.J.; Borman, W.C.; Schmit, M.J. A Theory of Individual Differences in Task and Contextual Performance. In Organizational Citizenship Behavior and Contextual Performance; Routledge: Oxfordshire, UK, 2014; pp. 71–83. [Google Scholar]
- Campbell, J.P.; Wiernik, B.M. The Modeling and Assessment of Work Performance. Annu. Rev. Organ. Psychol. Organ. Behav. 2015, 2, 47–74. [Google Scholar] [CrossRef]
- Motowidlo, S.J.; Keil, H.J. Job Performance. In Handbook of Psychology: Industrial and Organizational Psychology; Schmitt, N.W., Highhouse, S., Weiner, I.B., Eds.; John Wiley & Sons, Inc.: Hoboken, NJ, USA, 2013; pp. 82–103. [Google Scholar]
- Fogaça, N.; Rego, M.C.B.; Melo, M.C.C.; Armond, L.P.; Coelho, F.A. Job Performance Analysis: Scientific Studies in the Main Journals of Management and Psychology from 2006 to 2015. Perform. Improv. Q. 2018, 30, 231–247. [Google Scholar] [CrossRef]
- Coleman, V.I.; Borman, W.C. Investigating the Underlying Structure of the Citizenship Performance Domain. Hum. Resour. Manag. Rev. 2000, 10, 25–44. [Google Scholar] [CrossRef]
- Van Knippenberg, D.; Ellemers, N. Social Identity and Group Performance: Identification as the Key to Group-Oriented Effort. In Social Identity at Work: Developing Theory for Organizational Practice; Haslam, S.A., van Knippenberg, D., Platow, M.J., Ellemers, N., Eds.; Psychology Press: London, UK, 2003. [Google Scholar]
- Sackett, P.R.; DeVore, C.J. Counterproductive Behaviors at Work. In Handbook of Industrial, Work and Organizational Psychology, Vol. 1. Personnel Psychology; Anderson, N., Ones, D.S., Sinangil, H.K., Viswesvaran, C., Eds.; Sage Publications Ltd.: Washington, WA, USA, 2002; pp. 145–164. [Google Scholar]
- Jex, S.M.; Britt, T.W. Organizational Psychology: A Scientist-Practitioner Approach, 3rd ed.; John Wiley & Sons, Inc.: Hoboken, NJ, USA, 2014. [Google Scholar]
- Marcus, B.; Schuler, H. Antecedents of Counterproductive Behavior at Work: A General Perspective. J. Appl. Psychol. 2004, 89, 647–660. [Google Scholar] [CrossRef]
- Spector, P.E.; Fox, S. The Stressor-Emotion Model of Counterproductive Work Behavior. In Counterproductive Work Behavior: Investigations of Actors and Targets; American Psychological Association: Washington, WA, USA, 2005; pp. 151–174. [Google Scholar]
- Demerouti, E.; Rispens, S. Improving the Image of Student-recruited Samples: A Commentary. J. Occup. Organ. Psychol. 2014, 87, 34–41. [Google Scholar] [CrossRef]
- Molero Alonso, F.; Recio Saboya, P.; Cuadrado Guirado, I. Liderazgo Transformacional y Liderazgo Transaccional: Un Análisis de La Estructura Factorial Del Multifactor Leadership Questionnaire (MLQ) En Una Muestra Española. Psicothema 2010, 22, 495–501. [Google Scholar]
- Henseler, J.; Ringle, C.M.; Sarstedt, M. A New Criterion for Assessing Discriminant Validity in Variance-Based Structural Equation Modeling. J. Acad. Mark. Sci. 2015, 43, 115–135. [Google Scholar] [CrossRef]
- Ringle, C.M.; Wende, S.; Becker, J.-M. SmartPLS 4 2024. Available online: https://www.smartpls.com/ (accessed on 1 June 2024).
- JASP Team. JASP (Version 0.18.3). 2024. Available online: http://www.jasp-stats.org/ (accessed on 1 August 2024).
- Podsakoff, P.M.; MacKenzie, S.B.; Podsakoff, N.P. Sources of Method Bias in Social Science Research and Recommendations on How to Control It. Annu. Rev. Psychol. 2012, 63, 539–569. [Google Scholar] [CrossRef]
- Fuller, C.M.; Simmering, M.J.; Atinc, G.; Atinc, Y.; Babin, B.J. Common Methods Variance Detection in Business Research. J. Bus. Res. 2016, 69, 3192–3198. [Google Scholar] [CrossRef]
- Kock, N. Common Method Bias in PLS-SEM. Int. J. E-Collab. 2015, 11, 1–10. [Google Scholar] [CrossRef]
- Hair, J.F.; Hult, G.T.M.; Ringle, C.M.; Sarstedt, M. A Primer on Partial Least Squares Structural Equation Modeling (PLS-SEM), 2nd ed.; SAGE: Los Angeles, CA, USA, 2017. [Google Scholar]
- Fornell, C.; Larcker, D.F. Evaluating Structural Equation Models with Unobservable Variables and Measurement Error. J. Mark. Res. 1981, 18, 39–50. [Google Scholar] [CrossRef]
- Wang, G.; Oh, I.-S.; Courtright, S.H.; Colbert, A.E. Transformational Leadership and Performance across Criteria and Levels: A Meta-Analytic Review of 25 Years of Research. Group Organ. Manag. 2011, 36, 223–270. [Google Scholar] [CrossRef]
- Bakker, A.B.; Demerouti, E.; Sanz-Vergel, A. Job Demands–Resources Theory: Ten Years Later. Annu. Rev. Organ. Psychol. Organ. Behav. 2023, 10, 25–53. [Google Scholar] [CrossRef]
- Mumtaz, S.; Rowley, C. The Relationship between Leader–Member Exchange and Employee Outcomes: Review of Past Themes and Future Potential. Manag. Rev. Q. 2020, 70, 165–189. [Google Scholar] [CrossRef]
- Feeney, B.C.; Collins, N.L. A New Look at Social Support. Personal. Soc. Psychol. Rev. 2015, 19, 113–147. [Google Scholar] [CrossRef] [PubMed]
- Margherita, E.G.; Bua, I. The Role of Human Resource Practices for the Development of Operator 4.0 in Industry 4.0 Organisations: A Literature Review and a Research Agenda. Businesses 2021, 1, 18–33. [Google Scholar] [CrossRef]
- Molina-Castillo, F.-J.; Meroño-Cerdán, A.-L.; Lopez-Nicolas, C.; Fernandez-Espinar, L. Innovation and Technology in Hospitality Sector: Outcome and Performance. Businesses 2023, 3, 198–220. [Google Scholar] [CrossRef]


| Indicator | λ | t-Value | α | CR | AVE | 
|---|---|---|---|---|---|
| SBL | 0.96 | 0.97 | 0.67 | ||
| SBL1 | 0.79 | 42.28 ** | |||
| SBL2 | 0.84 | 61.83 ** | |||
| SBL3 | 0.77 | 32.16 ** | |||
| SBL4 | 0.74 | 30.64 ** | |||
| SBL5 | 0.73 | 28.27 ** | |||
| SBL6 | 0.84 | 48.23 ** | |||
| SBL7 | 0.83 | 46.01 ** | |||
| SBL8 | 0.85 | 52.84 ** | |||
| SBL9 | 0.85 | 48.25 ** | |||
| SBL10 | 0.81 | 38.45 ** | |||
| SBL11 | 0.79 | 39.01 ** | |||
| SBL12 | 0.82 | 46.00 ** | |||
| SBL13 | 0.87 | 64.89 ** | |||
| SBL14 | 0.83 | 47.34 ** | |||
| SBL15 | 0.89 | 91.78 ** | |||
| Passive-Avoidant Leadership | 0.88 | 0.90 | 0.51 | ||
| PAL1 | 0.75 | 24.06 ** | |||
| PAL2 | 0.67 | 17.69 ** | |||
| PAL3 | 0.81 | 39.74 ** | |||
| PAL4 | 0.67 | 20.63 ** | |||
| PAL5 | 0.76 | 24.77 ** | |||
| PAL6 | 0.67 | 18.95 ** | |||
| PAL7 | 0.69 | 19.45 ** | |||
| PAL8 | 0.62 | 15.74 ** | |||
| PAL9 | 0.75 | 27.59 ** | |||
| Task Performance | 0.85 | 0.89 | 0.58 | ||
| Task1 | 0.77 | 22.26 ** | |||
| Task2 | 0.82 | 35.18 ** | |||
| Task3 | 0.82 | 35.71 ** | |||
| Task4 | 0.73 | 18.83 ** | |||
| Task5 | 0.72 | 17.28 ** | |||
| Task6 | 0.68 | 16.93 ** | |||
| Contextual Performance | 0.91 | 0.93 | 0.65 | ||
| Contextual7 | 0.86 | 58.08 ** | |||
| Contextual8 | 0.72 | 18.68 ** | |||
| Contextual9 | 0.69 | 15.88 ** | |||
| Contextual10 | 0.83 | 40.44 ** | |||
| Contextual11 | 0.87 | 58.76 ** | |||
| Contextual12 | 0.89 | 83.95 ** | |||
| Contextual13 | 0.75 | 30.05 ** | |||
| Counterproductive Work Behaviors | 0.79 | 0.85 | 0.54 | ||
| Counterproductive14 | 0.61 | 13.19 ** | |||
| Counterproductive15 | 0.60 | 11.89 ** | |||
| Counterproductive16 | 0.78 | 31.14 ** | |||
| Counterproductive17 | 0.79 | 27.10 ** | |||
| Counterproductive18 | 0.86 | 48.80 ** | |||
| Fornell–Larcker Criterion | HTMT | ||||||||||
|---|---|---|---|---|---|---|---|---|---|---|---|
| M | DT | 1 | 2 | 3 | 4 | 5 | 1 | 2 | 3 | 4 | |
| 1. SBL | 2.17 | 1.02 | 0.82 | ||||||||
| 2. Avoidant leadership | 1.38 | 0.91 | −0.66 ** | 0.71 | 0.71 | ||||||
| 3. Task | 3.01 | 0.69 | 0.33 ** | −0.29 ** | 0.76 | 0.33 | 0.31 | ||||
| 4. Contextual | 2.45 | 0.96 | 0.42 ** | −0.22 ** | 0.58 ** | 0.80 | 0.43 | 0.23 | 0.62 | ||
| 5. Counterproductive | 1.25 | 0.78 | −0.36 ** | 0.42 ** | −0.34 ** | −0.34 ** | 0.74 | 0.39 | 0.48 | 0.39 | 0.37 | 
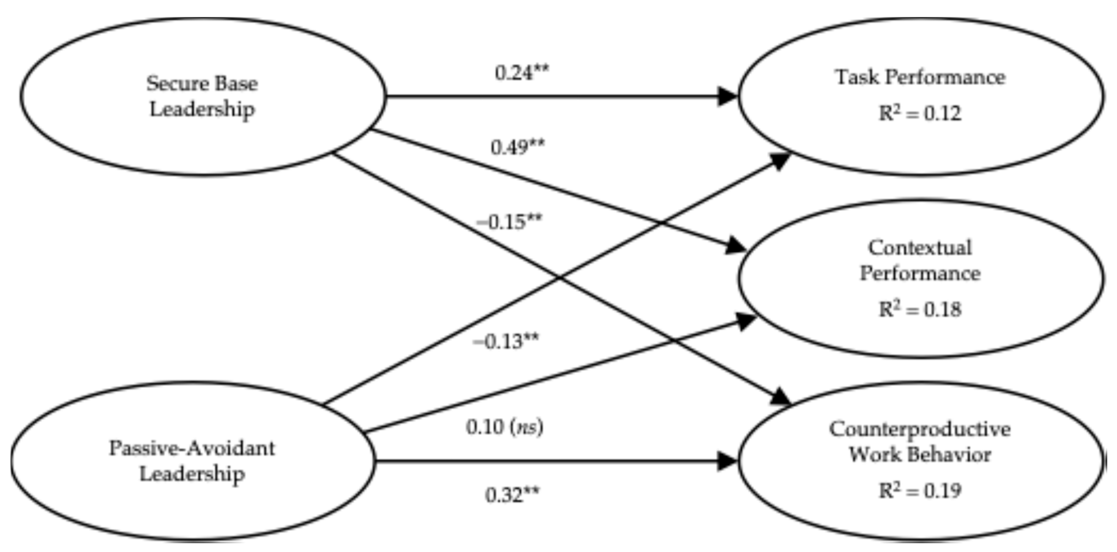
| Pathway | Estimate | STDEV | t-Value | p | Hypothesis | |
|---|---|---|---|---|---|---|
| SBL | Task | 0.24 | 0.06 | 3.97 | 0.00 ** | H1a Supported | 
| Contextual | 0.49 | 0.05 | 8.98 | 0.00 ** | H2a Supported | |
| Counterproductive | −0.15 | 0.07 | 2.27 | 0.02 ** | H3a Supported | |
| Passive-Avoidant Leadership | Task | −0.13 | 0.06 | 2.01 | 0.04 ** | H1b Supported | 
| Contextual | 0.10 | 0.06 | 1.67 | 0.10 | H2b Not supported | |
| Counterproductive | 0.32 | 0.07 | 4.66 | 0.00 ** | H3b Supported | |
| Disclaimer/Publisher’s Note: The statements, opinions and data contained in all publications are solely those of the individual author(s) and contributor(s) and not of MDPI and/or the editor(s). MDPI and/or the editor(s) disclaim responsibility for any injury to people or property resulting from any ideas, methods, instructions or products referred to in the content. | 
© 2024 by the authors. Licensee MDPI, Basel, Switzerland. This article is an open access article distributed under the terms and conditions of the Creative Commons Attribution (CC BY) license (https://creativecommons.org/licenses/by/4.0/).
Share and Cite
Laguia, A.; Navas-Jiménez, M.C.; Schettini, R.; Rodríguez-Batalla, F.; Guillén, D.; Moriano, J.A. Effects of Secure Base Leadership vs. Avoidant Leadership on Job Performance. Businesses 2024, 4, 438-452. https://doi.org/10.3390/businesses4030027
Laguia A, Navas-Jiménez MC, Schettini R, Rodríguez-Batalla F, Guillén D, Moriano JA. Effects of Secure Base Leadership vs. Avoidant Leadership on Job Performance. Businesses. 2024; 4(3):438-452. https://doi.org/10.3390/businesses4030027
Chicago/Turabian StyleLaguia, Ana, María C. Navas-Jiménez, Rocio Schettini, Fidel Rodríguez-Batalla, David Guillén, and Juan A. Moriano. 2024. "Effects of Secure Base Leadership vs. Avoidant Leadership on Job Performance" Businesses 4, no. 3: 438-452. https://doi.org/10.3390/businesses4030027
APA StyleLaguia, A., Navas-Jiménez, M. C., Schettini, R., Rodríguez-Batalla, F., Guillén, D., & Moriano, J. A. (2024). Effects of Secure Base Leadership vs. Avoidant Leadership on Job Performance. Businesses, 4(3), 438-452. https://doi.org/10.3390/businesses4030027
 
        



 
       