Benzothiazole Moiety and Its Derivatives as Antiviral Agents †
Abstract
:1. Introduction
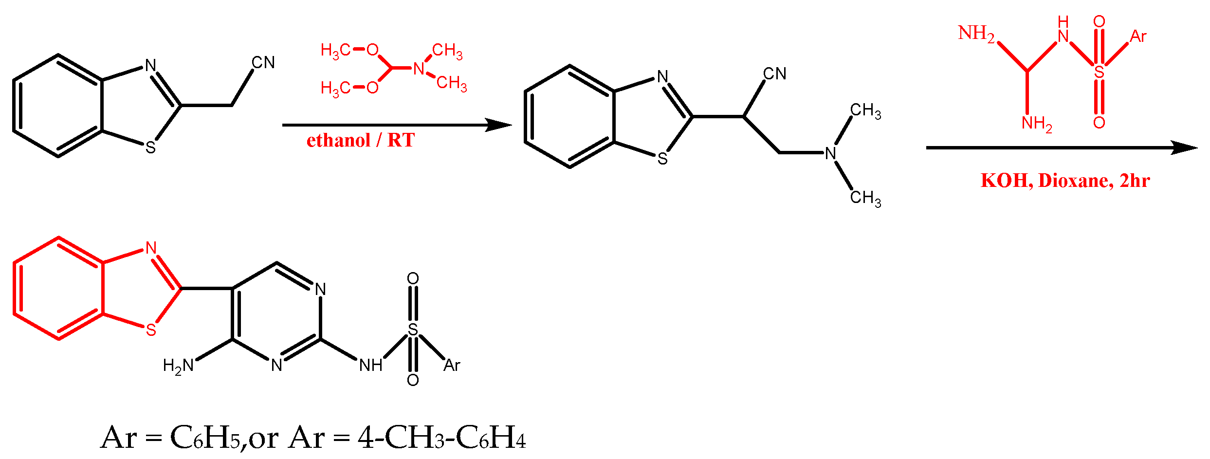
2. Pathway to Synthesize Antiviral Drugs Bearing Benzothiazole Moiety
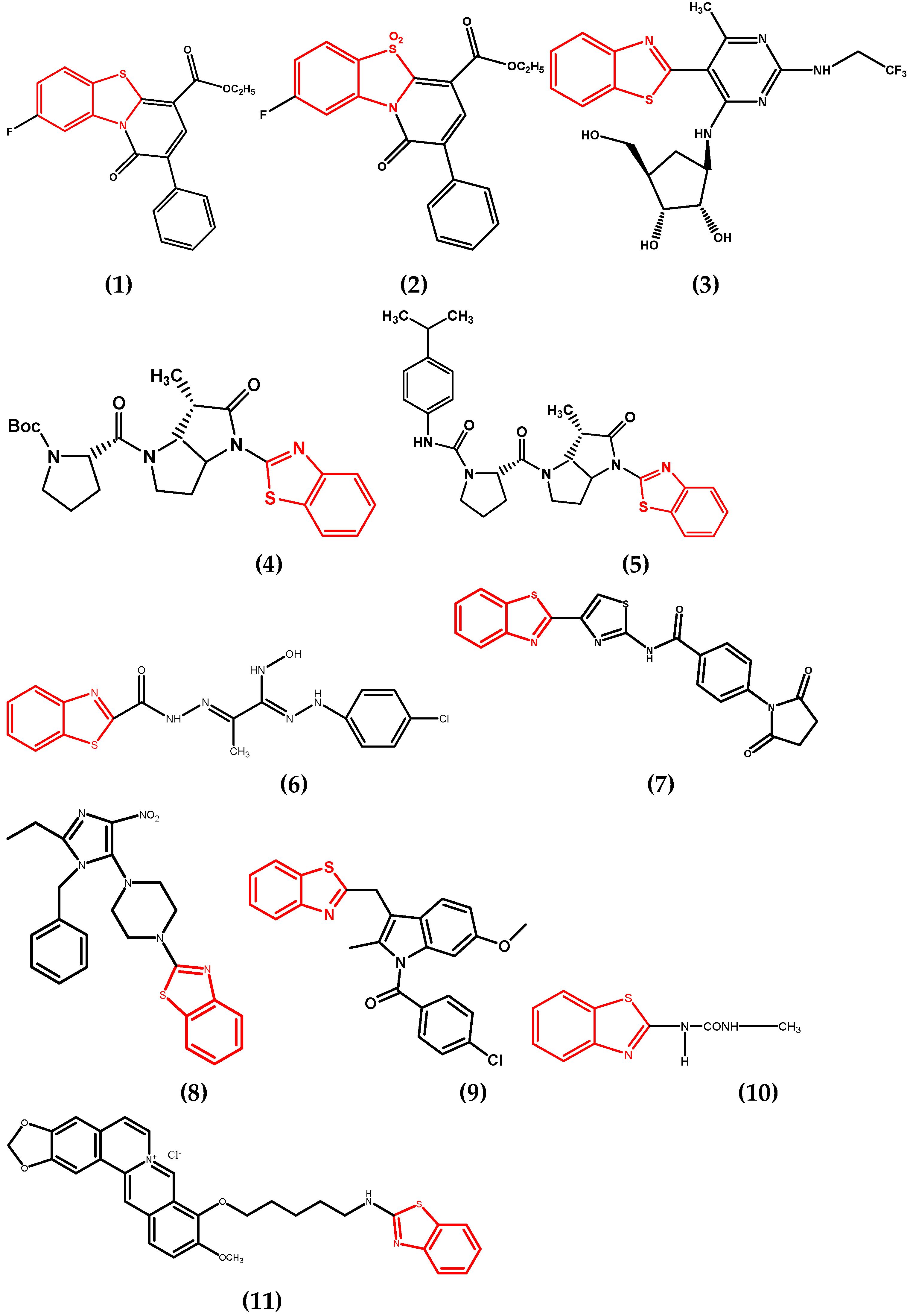
3. Various Benzothiazole Derivatives as Antiviral Agents
3.1. Anti-Hepatitis C Virus Agents
3.2. Anti-Herpes Virus Agents
3.3. Anti-Dengue Virus Agents
3.4. Anti-HIV Virus Agents
3.5. Anti-Influenza Virus Agents
4. Structure Activity Relationship of Benzothiazole Derivatives as Antiviral Agents
- Amine or amido linkage at the 2nd position of benzothiazole gives anticancer activity of compound.
- Second position of benzothiazole is active to attach substituents.
- Methyl group substitution at the 5th or 6th position of benzothiazole increases potency of antiviral compounds.
- Aryl moieties like pyrazole, pyridine, phenyl, imidazole, benzothiazole, thiazole, etc., at the 2nd position gives antiviral activity of the compound. Directly attached or through amine or amide linkage, aryl moiety at 2nd position of benzothiazole gives potent antiviral compounds.
- Fourth position of benzothiazole is also important for substitution in 2-aminobenzothiazoles to derive antiviral moieties.
5. Methods to Evaluate Antiviral Activity of Benzothiazole Derivatives
5.1. Inhibition of Virus Induced Cytopathic Effect
5.2. Plaque Reduction Assay
5.3. Virus Yield Reduction Assay
5.4. Assay Systems Based on Measurement of Specialized Functions and Viral Products
Author Contributions
Funding
Institutional Review Board Statement
Informed Consent Statement
Data Availability Statement
Acknowledgments
Conflicts of Interest
References
- Ripple, W.J.; Timmis, K.N.; Azam, F.; Bakken, L.R.; Baylis, M.; Behrenfeld, M.J.; Boetius, A.; Boyd, P.W.; Classen, A.T. Scientists’ warning to humanity: Microorganisms and climate change. Nat. Rev. Microbiol. 2019, 17, 569–586. [Google Scholar]
- Carroll, D.; Watson, B.; Togami, E.; Daszak, P.; Mazet, J.A.; Chrisman, C.J.; Rubin, E.M.; Wolfe, N.; Morel, C.M.; Gao, G.F.; et al. Building a global atlas of zoonotic viruses. Bull. World Health Organ. 2018, 96, 292. [Google Scholar] [CrossRef] [PubMed]
- Hassan, M.Z.; Osman, H.; Ali, M.A.; Ahsan, M.J. Therapeutic potential of coumarins as antiviral agents. Eur. J. Med. Chem. 2016, 123, 236–255. [Google Scholar] [CrossRef] [PubMed]
- Bhagdev, K.; Sarkar, S. Benzothiazole: As an Antidiabetic Agent. Ann. Rom. Soc. Cell Biol. 2021, 10, 20269–20285. [Google Scholar]
- Agarwal, S.; Gandhi, D.; Kalal, P. Benzothiazole: A versatile and multitargeted pharmacophore in the field of medicinal chemistry. Lett. Org. Chem. 2017, 14, 729–742. [Google Scholar] [CrossRef]
- Patel, N.B.; Khan, I.H.; Pannecouque, C.; De Clercq, E. Anti-HIV, antimycobacterial and antimicrobial studies of newly synthesized 1, 2, 4-triazole clubbed benzothiazoles. Med. Chem. Res. 2013, 22, 1320–1329. [Google Scholar] [CrossRef]
- Montalvão, S.; Leino, T.O.; Kiuru, P.S.; Lillsunde, K.E.; Yli-Kauhaluoma, J.; Tammela, P. Synthesis and biological evaluation of 2-aminobenzothiazole and benzimidazole analogs based on the clathrodin structure. Archiv. Pharm. 2016, 349, 137–149. [Google Scholar] [CrossRef]
- Manfroni, G.; Meschini, F.; Barreca, M.L.; Leyssen, P.; Samuele, A.; Iraci, N.; Sabatini, S.; Massari, S.; Maga, G.; Neyts, J.; et al. Pyridobenzothiazole derivatives as new chemotype targeting the HCV NS5B polymerase. Bioorg. Med. Chem. 2012, 20, 866–876. [Google Scholar] [CrossRef]
- Girijavallabhan, V.M.; Alvarez, C.; Bennett, F.; Chen, L.; Gavalas, S.; Huang, Y.; Kim, S.H.; Kosinski, A.; Pinto, P.; Rizvi, R.; et al. Synthesis and SAR of pyridothiazole substituted pyrimidine derived HCV replication inhibitors. Bioorg. Med. Chem. Lett. 2012, 22, 5652–5657. [Google Scholar] [CrossRef]
- Landolfo, S.; Gariglio, M.; Gribaudo, G.; Lembo, D. The human cytomegalovirus. Pharmacol. Ther. 2003, 98, 269–297. [Google Scholar] [CrossRef]
- Borthwick, A.D.; Davies, D.E.; Ertl, P.F.; Exall, A.M.; Haley, T.M.; Hart, G.J.; Jackson, D.L.; Parry, N.R.; Patikis, A.; Trivedi, N.; et al. Design and synthesis of pyrrolidine-5, 5′-trans-lactams (5-oxo-hexahydropyrrolo [3, 2-b] pyrroles) as novel mechanism-based inhibitors of human cytomegalovirus protease. 4. Antiviral activity and plasma stability. J. Med. Chem. 2003, 46, 4428–4449. [Google Scholar] [CrossRef] [PubMed]
- Abdel-Aziza, H.A.; Abdel-Wahab, B.F.; Badria, F.A. Stereoselective Synthesis and Antiviral Activity of (1E, 2Z, 3E)-1-(Piperidin-1-yl)-1-(arylhydrazono)-2-[(benzoyl/benzothiazol-2-oyl) hydrazono]-4-(aryl1) but-3-enes. Archiv Pharmazie Int. J. Pharm. Med. Chem. 2010, 343, 152–159. [Google Scholar] [CrossRef] [PubMed]
- Martina, B.E.; Koraka, P.; Osterhaus, A.D. Dengue virus pathogenesis: An integrated view. Clin. Microbiol. Rev. 2009, 22, 564–581. [Google Scholar] [CrossRef] [Green Version]
- Low, J.G.; Ooi, E.E.; Vasudevan, S.G. Current status of dengue therapeutics research and development. J. Infect. Dis. 2017, 215 (Suppl. S2), S96–S102. [Google Scholar] [CrossRef] [Green Version]
- Tripathi, K.D. Essentials of Medical Pharmacology; JP Medical Ltd.: New Delhi, India, 2013. [Google Scholar]
- Al-Soud, Y.A.; Al-Sa’doni, H.; Amajaour, H.A.; Al-Masoudib, N.A. Nitroimidazoles, Part 3. Synthesis and anti-HIV activity of new N-alkyl-4-nitroimidazoles bearing benzothiazole and benzoxazole backbones. Z. Nat. B 2007, 62, 523–528. [Google Scholar]
- Al-Masoudi, N.A.; Jafar, N.N.; Abbas, L.J.; Baqir, S.J.; Pannecouque, C. Synthesis and anti-HIV activity of new benzimidazole, benzothiazole and carbohyrazide derivatives of the anti-inflammatory drug indomethacin. Z. Nat. B 2011, 66, 953–960. [Google Scholar]
- Kumar, M.; Chung, S.M.; Enkhtaivan, G.; Patel, R.V.; Shin, H.S.; Mistry, B.M. Molecular Docking Studies and Biological Evaluation of Berberine–Benzothiazole Derivatives as an Anti-Influenza Agent via Blocking of Neuraminidase. Int. J. Mol. Sci. 2021, 22, 2368. [Google Scholar] [CrossRef]
- De Clercq, E.; Descamps, J.; Verhelst, G.; Walker, R.T.; Jones, A.S.; Torrence, P.F.; Shugar, D. Comparative efficacy of antiherpes drugs against different strains of herpes simplex virus. J. Infect. Dis. 1980, 141, 563–574. [Google Scholar] [CrossRef]
- Field, A.K.; Davies, M.E.; De Witt, C.M.; Perry, H.C.; Schofield, T.L.; Karkas, J.D.; Germershausen, J.; Wagner, A.F.; Cantone, C.L.; MacCoss, M.; et al. Efficacy of 2′-nor-cyclicGMP in treatment of experimental herpes virus infections. Antivir. Res. 1986, 6, 329–341. [Google Scholar] [CrossRef]
- Boyd, M.R.; Bacon, T.H.; Sutton, D.A.; Cole, M.A. Antiherpesvirus activity of 9-(4-hydroxy-3-hydroxy-methylbut-1-yl) guanine (BRL 39123) in cell culture. Antimicrob. Agents Chemother. 1987, 31, 1238–1242. [Google Scholar] [CrossRef] [Green Version]
- Amtmann, E.; Müller-Decker, K.; Hoss, A.; Schalasta, G.; Doppler, C.; Sauer, G. Synergistic antiviral effect of xanthates and ionic detergents. Biochem. Pharmacol. 1987, 36, 1545–1549. [Google Scholar] [CrossRef]
- Collins, P.; Bauer, D.J. Relative potencies of anti-herpes compounds. Ann. N. Y. Acad. Sci. 1977, 284, 49–59. [Google Scholar] [CrossRef] [PubMed]
- Färber, I.; Klinger, C.; Wutzler, P.; Thiel, K.D.; Reefschläger, J.; Herrmann, G. Effect of (E)-5-(2-bromovinyl)-and 5-vinyl-1-beta-D-arabinofuranosyluracil on Epstein-Barr virus antigen expression in P3HR-1 cells: Comparison with acyclovir. Acta Virol. 1987, 31, 13–18. [Google Scholar] [PubMed]
- Hutt-Fletcher, L.M.; Balachandran, N.; LeBlanc, P.A. Modification of Epstein-Barr virus replication by tunicamycin. J. Virol. 1986, 57, 117–123. [Google Scholar] [CrossRef] [PubMed] [Green Version]
- Mitsuya, H.; Broder, S. Inhibition of the in vitro infectivity and cytopathic effect of human T-lymphotrophic virus type III/lymphadenopathy-associated virus (HTLV-III/LAV) by 2′,3′-dideoxynucleosides. Proc. Natl. Acad. Sci. USA 1986, 83, 1911–1915. [Google Scholar] [CrossRef] [PubMed] [Green Version]
- Lin, J.C.; DeClercq, E.; Pagano, J.S. Novel acyclic adenosine analogs inhibit Epstein-Barr virus replication. Antimicrob. Agents Chemother. 1987, 31, 1431–1433. [Google Scholar] [CrossRef] [PubMed] [Green Version]


Publisher’s Note: MDPI stays neutral with regard to jurisdictional claims in published maps and institutional affiliations. |
© 2021 by the authors. Licensee MDPI, Basel, Switzerland. This article is an open access article distributed under the terms and conditions of the Creative Commons Attribution (CC BY) license (https://creativecommons.org/licenses/by/4.0/).
Share and Cite
Bhagdev, K.; Sarkar, S. Benzothiazole Moiety and Its Derivatives as Antiviral Agents. Med. Sci. Forum 2021, 7, 9. https://doi.org/10.3390/ECMS2021-10839
Bhagdev K, Sarkar S. Benzothiazole Moiety and Its Derivatives as Antiviral Agents. Medical Sciences Forum. 2021; 7(1):9. https://doi.org/10.3390/ECMS2021-10839
Chicago/Turabian StyleBhagdev, Khyati, and Sibaji Sarkar. 2021. "Benzothiazole Moiety and Its Derivatives as Antiviral Agents" Medical Sciences Forum 7, no. 1: 9. https://doi.org/10.3390/ECMS2021-10839
APA StyleBhagdev, K., & Sarkar, S. (2021). Benzothiazole Moiety and Its Derivatives as Antiviral Agents. Medical Sciences Forum, 7(1), 9. https://doi.org/10.3390/ECMS2021-10839

