Spatiotemporal Analysis of Forest Fires in Cyprus Using Earth Observation and Climate Data †
Abstract
1. Introduction
2. Methodology
2.1. Study Area
2.2. Data and Methods
Data Processing
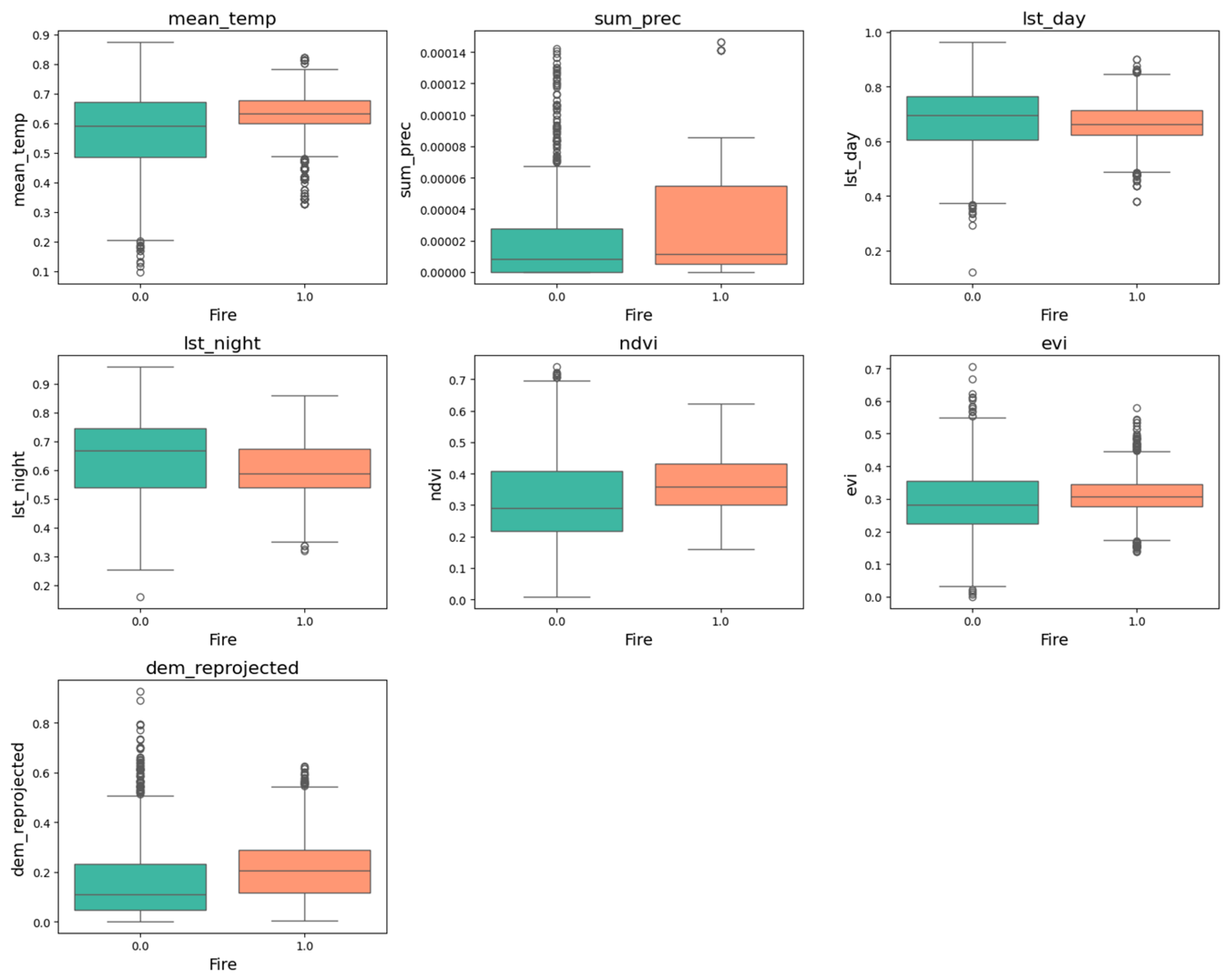
3. Results and Discussion
4. Conclusions
Author Contributions
Funding
Institutional Review Board Statement
Informed Consent Statement
Data Availability Statement
Acknowledgments
Conflicts of Interest
References
- Francos, M.; Colino-Prieto, F.; Sánchez-García, C. How Mediterranean Ecosystem Deals with Wildfire Impact on Soil Ecosystem Services and Functions: A Review. Land 2024, 13, 407. [Google Scholar] [CrossRef]
- Duguy, B.; Paula, S.; Pausas, J.G.; Alloza, J.A.; Gimeno, T.; Vallejo, R.V. Effects of Climate and Extreme Events on Wildfire Regime and Their Ecological Impacts. In Regional Assessment of Climate Change in the Mediterranean: Volume 2: Agriculture, Forests and Ecosystem Services and People; Springer: Dordrecht, The Netherlands, 2013; pp. 101–134. [Google Scholar]
- Ruffault, J.; Moron, V.; Trigo, R.M.; Curt, T. Objective Identification of Multiple Large Fire Climatologies: An Application to a Mediterranean Ecosystem. Environ. Res. Lett. 2016, 11, 075006. [Google Scholar] [CrossRef]
- Turco, M.; Llasat, M.-C.; von Hardenberg, J.; Provenzale, A. Climate Change Impacts on Wildfires in a Mediterranean Environment. Clim. Change 2014, 125, 369–380. [Google Scholar] [CrossRef]
- Radeloff, V.C.; Helmers, D.P.; Kramer, H.A.; Mockrin, M.H.; Alexandre, P.M.; Bar-Massada, A.; Butsic, V.; Hawbaker, T.J.; Martinuzzi, S.; Syphard, A.D.; et al. Rapid Growth of the US Wildland-Urban Interface Raises Wildfire Risk. Proc. Natl. Acad. Sci. USA 2018, 115, 3314–3319. [Google Scholar] [CrossRef]
- Carmenta, R.; Cammelli, F.; Dressler, W.; Verbicaro, C.; Zaehringer, J.G. Between a Rock and a Hard Place: The Burdens of Uncontrolled Fire for Smallholders across the Tropics. World Dev. 2021, 145, 105521. [Google Scholar] [CrossRef]
- Schweizer, D.; Nichols, T.; Cisneros, R.; Navarro, K.; Procter, T. Wildland Fire, Extreme Weather and Society: Implications of a History of Fire Suppression in California, USA. In Extreme Weather Events and Human Health; Springer International Publishing: Cham, Switzerland, 2020; pp. 41–57. [Google Scholar]
- Geurts, M.; Box, G.E.P.; Jenkins, G.M. Time Series Analysis: Forecasting and Control. J. Mark. Res. 1977, 14, 269. [Google Scholar] [CrossRef]
- Lahat, D.; Adali, T.; Jutten, C. Multimodal Data Fusion: An Overview of Methods, Challenges, and Prospects. Proc. IEEE 2015, 103, 1449–1477. [Google Scholar] [CrossRef]
- Cheng, T.; Wang, J.; Haworth, J.; Heydecker, B.; Chow, A. A Dynamic Spatial Weight Matrix and Localized Space–Time Autoregressive Integrated Moving Average for Network Modeling. Geogr. Anal. 2014, 46, 75–97. [Google Scholar] [CrossRef]
- Prodromou, M.; Theocharidis, C.; Gitas, I.Z.; Eliades, F.; Themistocleous, K.; Papasavvas, K.; Dimitrakopoulos, C.; Danezis, C.; Hadjimitsis, D. Forest Habitat Mapping in Natura2000 Regions in Cyprus Using Sentinel-1, Sentinel-2 and Topographical Features. Remote Sens. 2024, 16, 1373. [Google Scholar] [CrossRef]
- Apostolakis, A.; Girtsou, S.; Giannopoulos, G.; Bartsotas, N.S.; Kontoes, C. Estimating Next Day’s Forest Fire Risk via a Complete Machine Learning Methodology. Remote Sens. 2022, 14, 1222. [Google Scholar] [CrossRef]
- Girtsou, S.; Apostolakis, A.; Giannopoulos, G.; Kontoes, C. A Machine Learning Methodology for Next Day Wildfire Prediction. In Proceedings of the 2021 IEEE International Geoscience and Remote Sensing Symposium (IGARSS), Brussels, Belgium, 11–16 July 2021; pp. 8487–8490. [Google Scholar]
- Tonini, M.; Pereira, M.G.; Parente, J.; Vega Orozco, C. Evolution of Forest Fires in Portugal: From Spatio-Temporal Point Events to Smoothed Density Maps. Nat. Hazards 2017, 85, 1489–1510. [Google Scholar] [CrossRef]
- Prodromou, M.; Girtsou, S.; Leventis, G.; Koumoulidis, D.; Tzouvaras, M.; Mettas, C.; Apostolakis, A.; Kaskara, M.; Kontoes, H.; Hadjimitsis, D. Creation of Data Cube for the Analysis of Wildfires in Cyprus Using Open Access Data. In Proceedings of the European Geosciences Union General Assembly 2024 (EGU24), Vienna, Austria, 14–19 April 2024. [Google Scholar]
- Valente, F.; Laurini, M. Spatio-Temporal Analysis of Fire Occurrence in Australia. Stoch. Environ. Res. Risk Assess. 2021, 35, 1759–1770. [Google Scholar] [CrossRef]
- Valente, F.; Laurini, M. A Spatio-Temporal Analysis of Fire Occurrence Patterns in the Brazilian Amazon. Sci. Rep. 2023, 13, 12727. [Google Scholar] [CrossRef]
- Rodrigues, M.; Jiménez, A.; de la Riva, J. Analysis of Recent Spatial–Temporal Evolution of Human Driving Factors of Wildfires in Spain. Nat. Hazards 2016, 84, 2049–2070. [Google Scholar] [CrossRef]
- Strydom, S.; Savage, M.J. A Spatio-Temporal Analysis of Fires in the Southern African Development Community Region. Nat. Hazards 2018, 92, 1617–1632. [Google Scholar] [CrossRef]
- Wan, C.; Roy, S. Sen Geospatial Characteristics of Fire Occurrences in Southern Hemispheric Africa and Madagascar during 2001–2020. J. For. Res. 2023, 34, 553–563. [Google Scholar] [CrossRef]
- de Rivera, Ó.R.; Espinosa, J.; Madrigal, J.; Blangiardo, M.; López-Quílez, A. Spatio-Temporal Marked Point Process Model to Understand Forest Fires in the Mediterranean Basin. J. Agric. Biol. Environ. Stat. 2025, 30, 700–729. [Google Scholar] [CrossRef]
- Prodromou, M.; Gitas, I.; Mettas, C.; Tzouvaras, M.; Danezis, C.; Hadjimitsis, D. Comparative Analysis of Supervised Machine Learning Algorithms for Forest Habitat Mapping in Cyprus. Sustainability 2025, 17, 6021. [Google Scholar] [CrossRef]
- Prodromou, M.; Gitas, I.; Mettas, C.; Tzouvaras, M.; Themistocleous, K.; Konstantinidis, A.; Pamboris, A.; Hadjimitsis, D. Remote-Sensing-Based Prioritization of Post-Fire Restoration Actions in Mediterranean Ecosystems: A Case Study in Cyprus. Remote Sens. 2025, 17, 1269. [Google Scholar] [CrossRef]
- Petrou, P.; Stampoulidis, A.; Pipinis, E.; Kitikidou, K.; Milios, E. Analysis of the Environments Where Natural Regeneration Is Established in the Absence of a Wildfire in the Open Pinus Brutia Forests in the Middle Elevations of the Central Part of Cyprus. Forests 2024, 15, 1228. [Google Scholar] [CrossRef]
- Petrou, P.; Milios, E. Investigation of the Factors Affecting Artificial Seed Sowing Success and Seedling Survival in Pinus Brutia Natural Stands in Middle Elevations of Central Cyprus. Forests 2020, 11, 1349. [Google Scholar] [CrossRef]
- Department of Forests in Cyprus. Forest Fire Statistics for the Period 2000-2023; Department of Forests in Cyprus: Lefkosia, Cyprus, 2023. [Google Scholar]
- Prodromou, M.; Girtsou, S.; Leventis, G.; Koumoulidis, D.; Tzouvaras, M.; Mettas, C.; Apostolakis, A.; Kaskara, M.; Kontoes, H.; Hadjimitsis, D. Multimodal Dataset for Wildfire Risk Prediction in Cyprus. In Proceedings of the IGARSS 2024—2024 IEEE International Geoscience and Remote Sensing Symposium, Athens, Greece, 7–12 July 2024; pp. 3332–3336. [Google Scholar]





| Source | Feature | Spatial Resolution | Temporal Resolution | |
|---|---|---|---|---|
| MODIS | Land Surface Temperature (MYD11A2 and MOD11A2) | 1 km | 8 days | |
| NDVI, EVI (MYD13A1 and MOD13A1) | 500 m | 16 days | ||
| ERA 5—reanalysis | 2 m temperature, 2 m dewpoint temperature, and Total Precipitation | 9 km | hourly | |
| 10 m U and V wind component | Wind speed and direction (dirmax, domra) | |||
| Land—Copernicus | Corine Land Cover | 2012, 2018 | 100 m | |
| Digital Elevation Model (DEM) (slope, elevation, aspect) | 25 m | |||
| EFFIS | Fire history | daily 2009–2022 | 20–250 m | |
| Datagov.cy | Anthropogenic factors— Picnic, camping areas, and deliberate fires | Static | - | |
Disclaimer/Publisher’s Note: The statements, opinions and data contained in all publications are solely those of the individual author(s) and contributor(s) and not of MDPI and/or the editor(s). MDPI and/or the editor(s) disclaim responsibility for any injury to people or property resulting from any ideas, methods, instructions or products referred to in the content. |
© 2025 by the authors. Licensee MDPI, Basel, Switzerland. This article is an open access article distributed under the terms and conditions of the Creative Commons Attribution (CC BY) license (https://creativecommons.org/licenses/by/4.0/).
Share and Cite
Prodromou, M.; Girtsou, S.; Leventis, G.; Charalampous, G.; Apostolakis, A.; Tzouvaras, M.; Mettas, C.; Giannopoulos, G.; Kontoes, C.; Hadjimitsis, D. Spatiotemporal Analysis of Forest Fires in Cyprus Using Earth Observation and Climate Data. Environ. Earth Sci. Proc. 2025, 35, 54. https://doi.org/10.3390/eesp2025035054
Prodromou M, Girtsou S, Leventis G, Charalampous G, Apostolakis A, Tzouvaras M, Mettas C, Giannopoulos G, Kontoes C, Hadjimitsis D. Spatiotemporal Analysis of Forest Fires in Cyprus Using Earth Observation and Climate Data. Environmental and Earth Sciences Proceedings. 2025; 35(1):54. https://doi.org/10.3390/eesp2025035054
Chicago/Turabian StyleProdromou, Maria, Stella Girtsou, George Leventis, Georgia Charalampous, Alexis Apostolakis, Marios Tzouvaras, Christodoulos Mettas, Giorgos Giannopoulos, Charalampos Kontoes, and Diofantos Hadjimitsis. 2025. "Spatiotemporal Analysis of Forest Fires in Cyprus Using Earth Observation and Climate Data" Environmental and Earth Sciences Proceedings 35, no. 1: 54. https://doi.org/10.3390/eesp2025035054
APA StyleProdromou, M., Girtsou, S., Leventis, G., Charalampous, G., Apostolakis, A., Tzouvaras, M., Mettas, C., Giannopoulos, G., Kontoes, C., & Hadjimitsis, D. (2025). Spatiotemporal Analysis of Forest Fires in Cyprus Using Earth Observation and Climate Data. Environmental and Earth Sciences Proceedings, 35(1), 54. https://doi.org/10.3390/eesp2025035054

