Journal Description
Molecules
Molecules
is a leading international, peer-reviewed, open access journal of chemistry published semimonthly online by MDPI. The International Society of Nucleosides, Nucleotides & Nucleic Acids (IS3NA), Spanish Society of Medicinal Chemistry (SEQT) and International Society of Heterocyclic Chemistry (ISHC) are affiliated with Molecules and their members receive discounts on the article processing charges.
- Open Access— free for readers, with article processing charges (APC) paid by authors or their institutions.
- High Visibility: indexed within Scopus, SCIE (Web of Science), PubMed, MEDLINE, PMC, Reaxys, CaPlus / SciFinder, MarinLit, AGRIS, and other databases.
- Journal Rank: JCR - Q2 (Biochemistry and Molecular Biology) / CiteScore - Q1 (Organic Chemistry)
- Rapid Publication: manuscripts are peer-reviewed and a first decision is provided to authors approximately 15.1 days after submission; acceptance to publication is undertaken in 2.6 days (median values for papers published in this journal in the second half of 2025).
- Recognition of Reviewers: reviewers who provide timely, thorough peer-review reports receive vouchers entitling them to a discount on the APC of their next publication in any MDPI journal, in appreciation of the work done.
- Sections: published in 25 topical sections.
- Testimonials: See what our editors and authors say about Molecules.
- Companion journal: Foundations.
- Journal Cluster of Chemical Reactions and Catalysis: Catalysts, Chemistry, Electrochem, Inorganics, Molecules, Organics, Oxygen, Photochem, Reactions, Sustainable Chemistry.
Impact Factor:
4.6 (2024);
5-Year Impact Factor:
5.0 (2024)
Latest Articles
Unveiling Fermentation Effects on the Functional Composition of Taiwanese Native Teas
Molecules 2026, 31(1), 171; https://doi.org/10.3390/molecules31010171 (registering DOI) - 1 Jan 2026
Abstract
Tea’s chemical composition is influenced by cultivar, harvest maturity, and growing environment; however, processing remains the dominant factor shaping final quality. Despite the diversity of Taiwanese native teas, systematic comparisons of functional components across multiple manufacturing stages remain limited. In this study, nine
[...] Read more.
Tea’s chemical composition is influenced by cultivar, harvest maturity, and growing environment; however, processing remains the dominant factor shaping final quality. Despite the diversity of Taiwanese native teas, systematic comparisons of functional components across multiple manufacturing stages remain limited. In this study, nine representative Taiwanese teas were evaluated at four key processing stages—green tea (G), enzymatic fermentation (oxidative fermentation, F), semi-finished tea prior to roasting (S), and completed tea (C)—to clarify how enzymatic oxidation, rolling, and roasting alter major bioactive constituents. Green-tea-stage samples exhibited clear cultivar-dependent profiles: large-leaf cultivars contained higher catechins and gallic acid, whereas bud-rich small-leaf teas showed elevated caffeine and amino acids, with amino acids further enhanced at higher elevations. Fermentation intensity governed the major chemical transitions, including catechin depletion, gallic acid formation, accumulation of early stage catechin-derived paired oxidative polymerization compounds (POPCs), and pronounced increases in theasinensins in heavily fermented teas. L-theanine decreased most markedly in teas subjected to prolonged withering. Roasting further reduced amino acids but had minimal influence on caffeine, while rolling effects varied by tea type. Overall, this study provides the first stage-resolved chemical map of Taiwanese native teas, offering practical insights for optimizing processing strategies to enhance functional phytochemical profiles.
Full article
(This article belongs to the Special Issue 30th Anniversary of Molecules—Recent Advances in Food Chemistry)
►
Show Figures
Open AccessArticle
The Use of Benzoin as a Privileged Structure: Synthesis, Characterization, Crystalline Form and an In Vitro Biological Evaluation of 1,2-Diphenyl-2-[1,2,3]triazol-1-yl-ethanol Derivatives
by
Noé Martínez-Romero, Mario Valle-Sánchez, Marco A. García-Eleno, Carlos A. González-González, David Corona-Becerril, Lizbeth Triana-Cruz, Diego Martínez-Otero, María Teresa Ramírez-Apan, David Morales-Morales, Jorge Andrés Ornelas-Guillén and Erick Cuevas-Yañez
Molecules 2026, 31(1), 170; https://doi.org/10.3390/molecules31010170 (registering DOI) - 1 Jan 2026
Abstract
A collection of 40 derivatives of 1,2-diphenyl-2-[1,2,3]triazol-1-yl-ethanol was obtained through a sequence of reactions, starting with benzoin as the initial raw material and using the CuAAC reaction as the key step in this process. The structure of a pair of these compounds was
[...] Read more.
A collection of 40 derivatives of 1,2-diphenyl-2-[1,2,3]triazol-1-yl-ethanol was obtained through a sequence of reactions, starting with benzoin as the initial raw material and using the CuAAC reaction as the key step in this process. The structure of a pair of these compounds was ultimately corroborated by single-crystal X-ray diffraction studies, which also reveals important O-H···N interactions. The antimicrobial activity of synthesized 1,2,3-triazoles was assessed against strains that include Candida albicans and Staphylococcus aureus. The antiproliferative properties of some of these novel compounds were also tested using a variety of tumor cell lines, including U251 (human glioblastoma), PC-3 (human prostate cancer cell line), K562 (human leukemia), HCT-15 (human colorectal adenocarcinoma), MCF-7 (human breast adenocarcinoma), and SKLU (human lung adenocarcinoma).
Full article
(This article belongs to the Special Issue A Themed Issue in Honor of the 20th Anniversary of the Mexican Academy of Organic Chemistry (AMQO))
►▼
Show Figures

Figure 1
Open AccessArticle
Antioxidant and Erythroprotective Effects of C-Phycocyanin from the Cyanobacterium Spirulina sp. in Attenuating Oxidative Stress Induced by Peroxyl Radicals
by
Cinthia Jael Gaxiola-Calvo, Diana Fimbres-Olivarría, Ricardo Iván González-Vega, Yaeel Isbeth Cornejo-Ramírez, Ariadna Thalía Bernal-Mercado, Saul Ruiz-Cruz, José de Jesús Ornelas-Paz, Miguel Ángel Robles-García, José Rogelio Ramos-Enríquez and Carmen Lizette Del-Toro-Sánchez
Molecules 2026, 31(1), 169; https://doi.org/10.3390/molecules31010169 (registering DOI) - 1 Jan 2026
Abstract
Diseases caused by oxidative stress can present different susceptibilities depending on blood typing according to the ABO system and RhD factor, which turn out to be of great clinical importance. The use of antioxidants such as C-phycocyanin (a phycobiliprotein) could be an alternative
[...] Read more.
Diseases caused by oxidative stress can present different susceptibilities depending on blood typing according to the ABO system and RhD factor, which turn out to be of great clinical importance. The use of antioxidants such as C-phycocyanin (a phycobiliprotein) could be an alternative to mitigate oxidative stress in the blood. Therefore, the objective of this study is to evaluate the antioxidant and erythroprotective activity of C-phycocyanin (C-PC) from Spirulina sp. against oxidative stress caused by peroxyl radicals, before and after in vitro digestion, comparing susceptibilities between blood groups. C-phycocyanin from Spirulina sp. was obtained commercially. The antioxidant capacity by ABTS+•, DPPH•, and FRAP assays of the bioaccessible fraction of C-PC increased compared to baseline in all assays. Samples appear to have high hydrogen atom transfer. C-PC is not cytotoxic in most blood groups. The AAPH hemolysis assays showed differences between blood groups, yielding results of 27.90, 22.60, 26.94, 27.66, 28.16, 28.34, and 24.91% hemolysis for O+, O−, A+, A−, B+, AB+, and AB−, respectively. Furthermore, in vitro digestion increased the erythroprotective effect in the bioavailable fraction in most blood groups, showing 37.12, 80.13, 5.48, 92.38, 67.93, 80.30, and 76.49% inhibition of hemolysis in O+, O−, A+, A−, B+, AB+, and AB−, respectively. These results demonstrate the biotechnological and biomedical potential of phycobiliproteins as safe candidates for the development of nutraceuticals and functional foods aimed at preventing oxidative damage.
Full article
(This article belongs to the Special Issue Analytical Insights into Bioactive Compounds in Pharmaceutical Formulations)
►▼
Show Figures

Graphical abstract
Open AccessReview
Platinum-Based Cytostatics Used in Oncology with Respect to Environmental Fate and Innovative Removal Strategies of Their Metabolites
by
Rafał Olchowski, Kinga Morlo and Ryszard Dobrowolski
Molecules 2026, 31(1), 168; https://doi.org/10.3390/molecules31010168 (registering DOI) - 1 Jan 2026
Abstract
Pt complexes have been used in human and veterinary oncology for more than 50 years and represent one of the most significant groups of cytostatics. There are a lot of Pt-based compounds, such as cisplatin, carboplatin and oxaliplatin, which exhibit high efficiency against
[...] Read more.
Pt complexes have been used in human and veterinary oncology for more than 50 years and represent one of the most significant groups of cytostatics. There are a lot of Pt-based compounds, such as cisplatin, carboplatin and oxaliplatin, which exhibit high efficiency against many tumors. Their broad application in oncology medicine and improper waste disposal induce environmental pollution by platinum cytostatics and their metabolites. They can cause toxic effects to fauna and flora, even at low concentration levels. Currently used technologies for wastewater treatment are not sufficient in the case of platinum-based metabolites. Their high resistance and toxicity of their degradation byproducts pose a serious problem. In this review, currently applied platinum-based cytostatics, their possible metabolic mechanisms, environmental impact and technological methods for their removal from wastewater and patients’ urine are summarized. Special attention is paid to adsorption methods.
Full article
(This article belongs to the Special Issue Innovative Approaches to Sustainable Wastewater Treatment—Recent Developments in Hazardous Pollutants Removal)
Open AccessArticle
Effects of Chlorogenic Acid on Cellular Senescence in an In Vitro Model of 3T3-L1 Murine Adipocytes
by
Maria Sofia Molonia, Federica Lina Salamone, Santi Trischitta, Antonella Saija, Francesco Cimino and Antonio Speciale
Molecules 2026, 31(1), 167; https://doi.org/10.3390/molecules31010167 (registering DOI) - 1 Jan 2026
Abstract
‡ These authors share the senior authorship [...]
Full article
Open AccessArticle
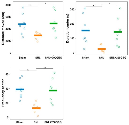
Gingerol-Enriched Ginger Extract Effects on Anxiety-like Behavior in a Neuropathic Pain Model via Colonic Microbiome-Neuroimmune Modulation
by
Roberto Mendóza, Julianna M. Santos, Xiaobo Liu, Moamen M. Elmassry, Guangchen Ji, Takaki Kiritoshi, Volker Neugebauer and Chwan-Li Shen
Molecules 2026, 31(1), 166; https://doi.org/10.3390/molecules31010166 (registering DOI) - 1 Jan 2026
Abstract
Growing evidence has revealed that gut dysbiosis is associated with the development of anxio-depressive disorders through mechanisms that involve neuroimmune signaling, neurotransmitter changes, and neuroplasticity in the brain. This study investigated the effects of gingerol-enriched ginger (GEG) on specifically anxiety-related neuroinflammation-, neuroimmunity-, neuroplasticity-,
[...] Read more.
Growing evidence has revealed that gut dysbiosis is associated with the development of anxio-depressive disorders through mechanisms that involve neuroimmune signaling, neurotransmitter changes, and neuroplasticity in the brain. This study investigated the effects of gingerol-enriched ginger (GEG) on specifically anxiety-related neuroinflammation-, neuroimmunity-, neuroplasticity-, neurotransmission-, and neurotoxicity-associated genes in different brain regions, as well as on alterations linked to colonic microflora-driven dysbiosis, in the spinal nerve ligation (SNL) rat model of neuropathic pain (NP). Twenty-seven male rats were assigned to 3 groups: sham, SNL, and SNL-treated with GEG at 200 mg/kg body weight (SNL+200GEG) via oral gavage for 5 weeks. Anxiety-like behavior was assessed on the elevated plus maze (EPM). mRNA expression was assessed by qRT-PCR using respective primers. Correlation between behavioral parameters and colonic microbiome composition was analyzed using the Spearman rank correlation. The SNL+200GEG group demonstrated decreased anxiety-like behavior in the SNL model. Compared to the SNL group, the SNL+200GEG group had increased mRNA expression of NRF2 (amygdala: left), LXRα (amygdala: both sides), and CX3CR1 (amygdala: both sides, hippocampus: right). GEG modulated neuroplasticity as shown by increased gene expression of PGK1 (amygdala: right, hippocampus: both sides), MEK1 (frontal cortex: both sides), LDHA (frontal cortex: both sides), GPM6A (frontal cortex: both sides, amygdala: right, hippocampus: right, and hypothalamus), and GLUT1 (amygdala: right) as well by decreased gene expression of HIF1α (in all brain regions except for the hypothalamus). GEG modulated neurotransmission via clearance of excessive glutamate release as suggested by increased gene expression of SLC1A3 (frontal cortex: both sides, hippocampus: right) and via augmenting mGluR5 signaling as shown by increased gene expression of GRM5 (hippocampus: both sides, hypothalamus) as well as downregulation of KMO, HAAO, GRIN2B, and GRIN2C influencing downstream serotonergic neurotransmission and NMDA receptor-mediated glutamatergic pathways in different brain regions. GEG further alleviated neurotoxicity through downregulated gene expression of SIRT1, KMO, IDO1, and HAAO in different brain regions. Moreover, the increased relative abundance of Bilophila spp., accompanied by decreased time spent in the EPM open arms, suggests that increased Bilophila abundance increases anxiety-like behavior. GEG supplementation mitigated anxiety-like behavior in male rats with NP, at least in part, by reducing SNL-induced inflammatory sequelae-related mRNA gene expression in different brain regions. In addition, there is a positive correlation between the abundance of Bilophila wadsworthia and the degree of anxiety-like behavior.
Full article
(This article belongs to the Special Issue Bioactive Food Compounds and Their Health Benefits)
►▼
Show Figures

Figure 1
Open AccessCommunication
Chemoselective Aza-Michael Addition of Enolizable Heterocyclic Imine-Thiols to Levoglucosenone
by
Anastasia Mauger, Rubi Mahato, Zbigniew J. Witczak, Roman Bielski and Donald E. Mencer
Molecules 2026, 31(1), 164; https://doi.org/10.3390/molecules31010164 (registering DOI) - 1 Jan 2026
Abstract
►▼
Show Figures
Heterocyclic sulfur and nitrogen containing compounds capable of forming an equilibrium: thiol/imine = thione/amine (N=C-S-H ⇌ H-N-C=S) were reacted with levoglucosenone (LG) in the presence of triethylamine. Unexpectedly, the only isolated products were the result of the aza-Michael addition. No S-adducts were
[...] Read more.
Heterocyclic sulfur and nitrogen containing compounds capable of forming an equilibrium: thiol/imine = thione/amine (N=C-S-H ⇌ H-N-C=S) were reacted with levoglucosenone (LG) in the presence of triethylamine. Unexpectedly, the only isolated products were the result of the aza-Michael addition. No S-adducts were detected. All products were crystalline with good to excellent yields. The structure of products was determined using NMR, MS, and single-crystal X-ray analysis.
Full article

Figure 1
Open AccessArticle
Enhanced Dispersibility of Iron Oxide Nanoparticles Synthesized by Laser Pyrolysis with Isopropanol Vapors as Sensitizer
by
Iulia Ioana Lungu, Florian Dumitrache, Anca Criveanu, Lavinia Gavrila-Florescu, Ana-Maria Banici, Iuliana Morjan, Razvan-Mihai Dumitrache and Bogdan Vasile
Molecules 2026, 31(1), 163; https://doi.org/10.3390/molecules31010163 (registering DOI) - 1 Jan 2026
Abstract
The present study investigates the synthesis and dispersibility process of iron oxide nanoparticles using laser pyrolysis with isopropanol vapors as a sensitizer agent. Similar to previous experiments (iron oxide nanoparticles synthesized by laser pyrolysis using ethylene as sensitizer gas), iron pentacarbonyl (Fe(CO)5
[...] Read more.
The present study investigates the synthesis and dispersibility process of iron oxide nanoparticles using laser pyrolysis with isopropanol vapors as a sensitizer agent. Similar to previous experiments (iron oxide nanoparticles synthesized by laser pyrolysis using ethylene as sensitizer gas), iron pentacarbonyl (Fe(CO)5) was employed as an iron precursor; however, instead of the classic ethylene, isopropanol was chosen as a sensitizer, which indicated beneficial features (especially enhanced dispersibility in water) in the as-synthesized nanoparticles. Structural and elemental analysis confirmed the size range of the nanoparticles (nanometric), with crystallite sizes under 10 nm. Both raw nanoparticles, as well as the oleic acid stabilized ones, exhibited excellent colloidal stability in both water and organic fluids (Toluene, Chloroform, and DMSO): around 100 nm hydrodynamic diameter and more than 40 mV for zeta potential. The study highlights the advantages of using isopropanol as a sensitizer in the production of high-purity iron oxide nanoparticles from laser pyrolysis, particles that showcase superior dispersibility and functionalization potential.
Full article
(This article belongs to the Special Issue Synthesis and Applications of Nanoparticles and Multifunctional Nanocomposites)
Open AccessArticle
Synthesis, Crystal Structure, Antitumor, and Antimicrobial Activity of Novel Copper(II) Complexes with a Coumarin Derivative Containing a Histamine Substituent
by
Ewelina Namiecińska, Pawel Hikisz, Patryk Czapnik, Magdalena Małecka, Magdalena Grazul, Peter Mayer, Ingo-Peter Lorenz and Elzbieta Budzisz
Molecules 2026, 31(1), 162; https://doi.org/10.3390/molecules31010162 (registering DOI) - 1 Jan 2026
Abstract
Copper(II) complexes have great potential as antitumor and antimicrobial agents, and their coumarin derivatives bearing histamine substituents possess versatile structural and biological properties. The present article describes the synthesis of novel copper(II)–coumarin–histamine complexes and ligands and their characterization by IR, NMR, X-ray diffraction,
[...] Read more.
Copper(II) complexes have great potential as antitumor and antimicrobial agents, and their coumarin derivatives bearing histamine substituents possess versatile structural and biological properties. The present article describes the synthesis of novel copper(II)–coumarin–histamine complexes and ligands and their characterization by IR, NMR, X-ray diffraction, and elemental analysis. Their antimicrobial activity (MIC, MBC/MFC) was tested against 11 reference strains. Cytotoxicity was evaluated using the MTT assay against 15 selected cancer cell lines and normal HMEC-1 cells. It presents three new ligands and three new complexes with copper(II) ions and selected histamine-containing coumarin derivatives. The new copper(II) complexes demonstrated markedly higher anticancer activity than their corresponding ligands across all evaluated cancer cell lines. The highest anticancer activity against the Hep3B liver cancer cell line was demonstrated by the copper(II) complex (3b), which also showed the strongest inhibition of S. epidermidis ATCC 12228 and S. aureus ATCC 6538. The copper(II) ions play a crucial role in the antitumor activity of these derivatives. Despite limited antimicrobial effects, the tested complexes, particularly 3a and 3b, demonstrate promising anticancer potential, especially against the Hep3B cancer cell line. Only 3b demonstrated antimicrobial activity against S. epidermidis ATCC 12228 and S. aureus ATCC 6538.
Full article
(This article belongs to the Special Issue Metal Ions and Metal Complexes in Medicinal Chemistry)
►▼
Show Figures

Figure 1
Open AccessArticle
Unexpected Orange Photoluminescence from Tetrahedral Manganese(II) Halide Complexes with Bidentate Phosphanimines
by
Domenico Piccolo, Jesús Castro, Valentina Beghetto, Daniele Rosa-Gastaldo and Marco Bortoluzzi
Molecules 2026, 31(1), 161; https://doi.org/10.3390/molecules31010161 (registering DOI) - 1 Jan 2026
Abstract
Manganese(II) halide complexes with the general formula [MnX2{(PhN=PPh2)CH2}], where X is bromine or iodine and (PhN=PPh2)CH2 is the bis-phosphanimine ligand 1,1′-methylenebis-(N,1,1-triphenylphosphanimine), were prepared and isolated. The structure of the two compounds was
[...] Read more.
Manganese(II) halide complexes with the general formula [MnX2{(PhN=PPh2)CH2}], where X is bromine or iodine and (PhN=PPh2)CH2 is the bis-phosphanimine ligand 1,1′-methylenebis-(N,1,1-triphenylphosphanimine), were prepared and isolated. The structure of the two compounds was determined by single-crystal X-ray diffraction, revealing an approximately tetrahedral geometry at the metal centre. Unlike structurally comparable compounds containing phosphine oxides or related [O=P]-donors in the coordination sphere, which commonly show green emissions, solid samples of [MnBr2{(PhN=PPh2)CH2}] and [MnI2{(PhN=PPh2)CH2}] exhibited orange emissions upon irradiation with UV light. The emission spectra resulted excitation-independent. Superimposable steady-state luminescence spectra were collected for both compounds as powders and crystals suitable for X-ray diffraction. The excitation spectra and the ligand→metal antenna effect were affected by the coordinated halide, and only [MnBr2{(PhN=PPh2)CH2}] showed bright luminescence under near-UV irradiation. Either ligand- or metal-centred transitions can account for the observed luminescence, and the luminescence decay curves were consistent with a multiplicity change from the excited to the ground state, with excited-state lifetimes in the range of hundreds of microseconds. Attempts to rationalize the unexpected luminescence were carried out based on DFT calculations.
Full article
(This article belongs to the Special Issue Organometallic Compounds: Design, Synthesis and Application: 2nd Edition)
►▼
Show Figures

Figure 1
Open AccessArticle
Selenium (IV) and Sulphur (VI) as Elements Modifying Plant Quality: Content of Selenium and Sulphur Forms in Wheat
by
Marzena S. Brodowska, Magdalena Kurzyna-Szklarek and Mirosław Wyszkowski
Molecules 2026, 31(1), 160; https://doi.org/10.3390/molecules31010160 (registering DOI) - 1 Jan 2026
Abstract
In order to achieve high-quality yields, it is essential to provide plants with the necessary nutrients, including selenium (Se) and sulphur (S), to meet their nutritional requirements. This study aimed to determine the effect of selenium (0, 10 and 20 g Se ha
[...] Read more.
In order to achieve high-quality yields, it is essential to provide plants with the necessary nutrients, including selenium (Se) and sulphur (S), to meet their nutritional requirements. This study aimed to determine the effect of selenium (0, 10 and 20 g Se ha−1) and the date of its application (in the tillering phase and in the stem elongation phase) and sulphur application (0, 15 and 30 kg S ha−1) on the content of selenium and various forms of sulphur (total sulphur, sulphate sulphur and organic sulphur) and the N:S ratio in winter spelt wheat and winter common wheat. The research hypothesis assumed that different doses of selenium and sulphur and the timing of their application would have a beneficial effect on the Se and S content in the grain and straw of spelt wheat and common wheat. Selenium fertilisation significantly increased the content of this element in the grain of spelt wheat and common wheat. The concentration of selenium was also influenced by the timing of its application in the plant growth environment. However, the dose of selenium and the timing of its application were not associated with significant changes in the content of both forms of sulphur in the tested plants. The experimental factors used did not contribute to the achievement of selenium levels toxic to humans and animals. The presence of sulphur in the growth environment of spelt wheat and common wheat was associated with an increase in the content of both total sulphur, sulphate sulphur and organic sulphur in their grain and straw, especially in spelt wheat straw by an average of 17%, 29% and 23%, respectively, and in common wheat straw by 26%, 18% and 57%, respectively. The sulphur content in the plant growth environment was not associated with a change in the selenium content in the grain of the tested plants. The results of our study suggest that the optimal dose of selenium for biofortification of humans and animals is 20 mg Se ha−1 on clay soil, applied during the stem elongation phase of spelt and common wheat. Biofortification of wheat with selenium and sulphur is a good method of supplementing deficiencies of this element in the human diet.
Full article
(This article belongs to the Special Issue Green Chemistry and Molecular Tools in Agriculture)
►▼
Show Figures

Figure 1
Open AccessArticle
Ecological Prevalence and Non-Enzymatic Formation of Imidazolium Alkaloids on Moon Snail Egg Collars
by
Karla Piedl, Caitlyn O. Agee, Anthony G. Tarulli, Rose Campbell, Paige Banks, Nicklas W. Buchbinder, R. Thomas Williamson and Emily Mevers
Molecules 2026, 31(1), 159; https://doi.org/10.3390/molecules31010159 (registering DOI) - 1 Jan 2026
Abstract
Microorganisms wage constant chemical battles against one another as they compete for space and scarce nutrients, particularly within animal-associated habitats. Here, binary assays were used to investigate chemical interactions among Flavobacteriaceae within Neverita delessertiana egg collars, a moon snail common to the Gulf
[...] Read more.
Microorganisms wage constant chemical battles against one another as they compete for space and scarce nutrients, particularly within animal-associated habitats. Here, binary assays were used to investigate chemical interactions among Flavobacteriaceae within Neverita delessertiana egg collars, a moon snail common to the Gulf Coast. Analysis of 140 distinct pairings revealed eight that exhibited growth-inhibitory activity. Chemical evaluation of the crude extract from Cellulophaga omnivescoria EM610, which inhibited the growth of three other Flavobacteriaceae, resulted in the isolation of bacillimidazoles A (1) and E (2), two previously characterized metabolites, isolated from a marine Bacillus species. Further work demonstrated that these compounds are readily formed spontaneously by condensation of 2,3-butanedione with phenethylamine and/or tryptamine. Tandem mass spectrometry analysis of the chemical extracts of individual moon snail egg collars revealed the presence of bacillimidazole A in 62% of the egg collars.
Full article
(This article belongs to the Special Issue A Theme Issue in Honor of Professor Gary E. Martin's 75th Birthday)
►▼
Show Figures

Figure 1
Open AccessArticle
Thermally Stable and Energy Efficient Newly Synthesized Bipolar Emitters for Yellow and Green OLED Devices
by
Anil Kumar, Sushanta Lenka, Kapil Patidar, Chih-An Tung, Ming Yu Luo, Raminta Beresneviciute, Gintare Krucaite, Daiva Tavgeniene, Dovydas Blazevicius, Bernadeta Blazeviciute, Jwo-Huei Jou and Saulius Grigalevicius
Molecules 2026, 31(1), 158; https://doi.org/10.3390/molecules31010158 (registering DOI) - 1 Jan 2026
Abstract
Organic light-emitting diodes (OLEDs) have emerged as a leading high-resolution display and lighting technology, as well as for photo-therapeutic applications, due to their light weight, flexibility, and excellent color rendering. However, achieving long-term thermal stability and high energy efficiency remains a principal issue
[...] Read more.
Organic light-emitting diodes (OLEDs) have emerged as a leading high-resolution display and lighting technology, as well as for photo-therapeutic applications, due to their light weight, flexibility, and excellent color rendering. However, achieving long-term thermal stability and high energy efficiency remains a principal issue for their widespread adoption. Strong thermal robustness in OLED emitter materials is a critical parameter for achieving long device lifetimes, stable film morphology, reliable high-temperature processing, and sustained interface integrity in high-performance hosts. Bipolar emitters RB14 (N-(9-ethylcarbazole-3-yl)-4-(diphenylamino)phenyl-9H-carbazole-9-yl-1,8-naphthalimide), RB18 (N-phenyl-4-(diphenylamino)phenyl-9H-carbazole-9-yl-1,8-naphthalimide), and RB22 (N-phenyl-3-(2-methoxypyridin-3-yl)-9H-carbazole-9-yl-1,8-naphthalimide) were newly synthesized. RB18 is a yellow bipolar OLED emitter that has a glass transition temperature (Tg) of 162 °C and thermal durability (Td) of 431 °C, which is the highest reported value for naphthalimide-based bipolar emitter derivatives for yellow OLEDs. Meanwhile, RB14 and RB22 are green OLED emitters that have glass transition temperatures (Tg) of 133 °C and 167 °C, and thermal durabilities (Td) of 336 °C and 400 °C, respectively. We have fabricated OLED devices using these bipolar emitters dispersed in CBP host matrix, and we have found that the maximum EQEs (%) for RB14, RB18, and RB22 emitter-based devices are 7.93%, 3.40%, and 4.02%, respectively. For confirmation of thermal stability, we also used UV-visible spectroscopy measurements at variable temperatures on annealed spin-coated glass films of these emitter materials and found that RB22 is the most thermally stable emitter among these materials.
Full article
(This article belongs to the Topic Materials, Structure Designs and Device Fabrications for Highly Efficient/Long Lifetime Organic Light-Emitting Diodes)
Open AccessArticle
Impact of Conventional and Organic Cultivation Methods on Fermentation Efficiency and Volatile Composition of Rye Distillates
by
Maria Balcerek, Katarzyna Pielech-Przybylska, Urszula Dziekońska, Andrea Maria Patelski and Mateusz Różański
Molecules 2026, 31(1), 157; https://doi.org/10.3390/molecules31010157 (registering DOI) - 1 Jan 2026
Abstract
The effect of conditions of rye cultivation (conventional and organic) and method of mash preparation and fermentation, as well as supportive enzyme and yeast strains on the alcoholic fermentation efficiency and chemical composition of the obtained distillates was assessed. The conditions of rye
[...] Read more.
The effect of conditions of rye cultivation (conventional and organic) and method of mash preparation and fermentation, as well as supportive enzyme and yeast strains on the alcoholic fermentation efficiency and chemical composition of the obtained distillates was assessed. The conditions of rye cultivation did not affect the chemical composition of the tested rye grain; however the differences in the fermentation efficiency were observed. The supplementation of mashes from both conventional and organic rye grain with protease had a positive effect on ethanol biosynthesis. The rye distillates contained low concentrations of acetaldehyde (from 22.25 to 34.07 mg/L of 100% v/v alcohol and met the recommendations for agricultural distillates (<100 mg acetaldehyde/L of 100% v/v alcohol) in Polish distilleries. The samples obtained from both conventional and organic rye grain, pretreated by the thermal-pressure method, were found to contain higher concentrations of methanol than those obtained by the pressureless method of starch liberation. The concentrations of methanol in all distillates remained below the limit specified in EU Regulation 2019/787 for ethyl alcohol of agricultural origin (i.e., rectified spirit) (≤30 g/hL of 100% v/v alcohol). The distillates from organic rye grain subjected to pressureless pretreatment contained significantly lower concentrations of 2-methylbutanol and 3-methylbutanol than analogous distillates from conventional rye grain. The digestion of mashes with a protease preparation has been shown to increase the concentrations of 3-methyl-butyl acetate and 2-methyl-butyl acetate in distillates, irrespective of the rye grain type, the processing method, and the yeast strain employed for fermentation.
Full article
(This article belongs to the Special Issue New Development in Fermented Products—Third Edition)
Open AccessArticle
Structure Driven Tuning of the Catalytic Performance of PtCe-Modified Zeolite ZSM-5 in the CO Oxidation
by
Marina I Shilina, Irina N Krotova, Konstantin I. Maslakov, Stanislava A Petrova, Olga V Udalova and Tatiana N Rostovshchikova
Molecules 2026, 31(1), 156; https://doi.org/10.3390/molecules31010156 (registering DOI) - 1 Jan 2026
Abstract
The catalytic oxidation of CO is of great technological importance for the treatment of vehicle and industrial exhaust gases. PtCe-catalysts of low-temperature CO oxidation were prepared by the impregnation of ZSM-5 zeolite (Z) with aqueous solutions of H2PtCl6 and Ce(NO
[...] Read more.
The catalytic oxidation of CO is of great technological importance for the treatment of vehicle and industrial exhaust gases. PtCe-catalysts of low-temperature CO oxidation were prepared by the impregnation of ZSM-5 zeolite (Z) with aqueous solutions of H2PtCl6 and Ce(NO3)3, varying the order of metal deposition and thermal treatment conditions. The relationships between structure transformations and catalyst performance were established based on the SEM, TEM, EDX, DRIFT, and X-ray photoelectron spectroscopies data. For the Ce/Pt/Z sample, in which cerium was deposited after platinum, the 100% CO conversion temperature was only 120 °C. The inverse deposition sequence of metals (Pt/Ce/Z catalyst) resulted in CO oxidation at a higher temperature that can be decreased to 110 °C by redox treatment. The prepared catalysts were also active in the CO oxidation in excess hydrogen (PROX) but were not selective enough. However, the activity of PtCe-modified ZSM-5 enhanced greatly in the repeated cycles of CO oxidation (TOX) after testing in PROX. It is suggested that enhancing the interaction between Pt and Ce is a key factor in tuning the catalyst performance. The 0.2 wt.% Pt catalysts showed the best performance and provided complete CO conversion at 95 °C, which is a pronounced result for low-loaded Pt catalysts.
Full article
(This article belongs to the Special Issue Catalytic Green Reductions and Oxidations, 2nd Edition)
Open AccessArticle
Biogenic Quorum-Sensing Amides from Streptomyces sp. NP10
by
Marija S. Genčić, Tatjana Ilic-Tomic, Marko Z. Mladenović, Milena Z. Živković Stošić, Jasmina Nikodinovic-Runic and Niko S. Radulović
Molecules 2026, 31(1), 155; https://doi.org/10.3390/molecules31010155 (registering DOI) - 1 Jan 2026
Abstract
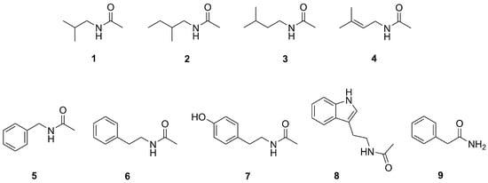
Volatile organic compounds produced by microbes are increasingly recognized as modulators of microbial interactions and mediators of both intra- and inter-kingdom communication. This study explored the possible ecophysiological roles of nine amides from Streptomyces sp. NP10 in quorum sensing (QS) and biofilm formation
[...] Read more.
Volatile organic compounds produced by microbes are increasingly recognized as modulators of microbial interactions and mediators of both intra- and inter-kingdom communication. This study explored the possible ecophysiological roles of nine amides from Streptomyces sp. NP10 in quorum sensing (QS) and biofilm formation in Pseudomonas aeruginosa PAO1. GC-MS profiling, synthesis, spectral validation, and co-injection experiments confirmed compound identities. Notably, N-(3-methyl-2-butenyl)acetamide is reported as a new natural product and N-(2-methylbutyl)acetamide as a new Streptomyces-produced metabolite. At subinhibitory concentrations (250 μg/mL), most of the amides enhanced P. aeruginosa biofilm formation, with N-(2-methylbutyl)acetamide, N-(3-methyl-2-butenyl)acetamide, and 2-phenylacetamide showing the strongest effects. Simultaneously, these compounds suppressed QS by reducing the production of N-acyl homoserine lactones (AHLs) and 2-alkyl-4-quinolones (AHQs). Aliphatic acetamides preferentially inhibited short-chain AHLs, while N-acetyltyramine and 2-phenylacetamide mainly affected quinolone signaling. These opposing effects on QS and biofilm are consistent with the involvement of alternative regulatory circuits. Motility assays showed biofilm stimulation was not correlated with altered swarming or twitching. Cross-species assays revealed limited QS inhibition, with only N-acetyltryptamine reducing violacein production in Chromobacterium violaceum CV026. Most of the amides were non-cytotoxic at 100 μM (10.5–20.2 μg/mL), except for 2-phenylacetamide. Overall, these amides likely serve as microbial signals influencing QS and biofilm formation, offering leads for anti-virulence strategies.
Full article
(This article belongs to the Special Issue Harnessing Nature’s Chemical Diversity: Innovations in Isolation, Identification, and Synthesis)
►▼
Show Figures

Figure 1
Open AccessReview
Key Dietary Flavonoids: Insights into Their Structural Characteristics, Antioxidant and Anti-Inflammatory Activities, and Potential as Neuroprotective Agents
by
Mirtha Navarro-Hoyos, Rajesh Bisoyi, Puja KC, Nicholas Lutz and Mary Ruxsarash
Molecules 2026, 31(1), 154; https://doi.org/10.3390/molecules31010154 (registering DOI) - 1 Jan 2026
Abstract
Among natural products, polyphenols have drawn special attention due to their antioxidant properties and inherent anti-inflammatory mechanisms. Within polyphenols, flavonoids are particularly important because of their availability in natural sources and promising research results in both in vitro and in vivo studies. The
[...] Read more.
Among natural products, polyphenols have drawn special attention due to their antioxidant properties and inherent anti-inflammatory mechanisms. Within polyphenols, flavonoids are particularly important because of their availability in natural sources and promising research results in both in vitro and in vivo studies. The wide range of potential health benefits associated with these molecules has led to an increase in consumption, both as ingredients and extracts, in dietary supplements. Four types of flavonoids that have experienced significant attention are flavonols, flavones, anthocyanins, and flavan-3-ols, including proanthocyanidins. The increasing consumer awareness of the cognitive health benefits associated with the antioxidant and anti-inflammatory properties of these flavonoids has led to a rise in demand for these molecules in products that promote healthy aging. This review aims to provide an overview of these four types of flavonoids, focusing on their structure, antioxidant role, anti-inflammatory properties and potential neuroprotective effects, addressing key health priorities for consumers.
Full article
(This article belongs to the Special Issue Exclusive Feature Papers in Natural Products Chemistry, 3rd Edition)
Open AccessArticle
The Remarkable Properties of Oil-in-Water Zein Protein Microcapsules
by
Alessandra Quarta, Chiara Del Balzo, Francesca Cavalieri, Raffaella Lettieri and Mariano Venanzi
Molecules 2026, 31(1), 153; https://doi.org/10.3390/molecules31010153 (registering DOI) - 1 Jan 2026
Abstract
Zein (ZP) is the major storage protein of corn (maize). It is safe, biodegradable, edible, and characterized by unique self-assembly properties. These properties were exploited to prepare ZP microcapsules filled with soybean oil (SO) by ultrasound-assisted emulsification of oil-in-water (o/w) dispersions under optimal
[...] Read more.
Zein (ZP) is the major storage protein of corn (maize). It is safe, biodegradable, edible, and characterized by unique self-assembly properties. These properties were exploited to prepare ZP microcapsules filled with soybean oil (SO) by ultrasound-assisted emulsification of oil-in-water (o/w) dispersions under optimal experimental conditions. The morphology and stability of o/w ZP/SO microcapsules were investigated by optical spectroscopy (electronic circular dichroism and fluorescence) and dynamic light scattering, as well as bright-field, laser confocal fluorescence, and scanning electron microscopies. The results showed that ZP formed a stable protein shell protecting the inner oily phase from diffusion of the confined compounds. It was also found that ZP/SO microcapsules, stored under suitable conditions, could be redissolved in water, maintaining their spherical morphology. Proof-of-principle studies on the inclusion and release of curcumin, a very active anti-inflammatory and nutraceutical substance, from ZP/SO microcapsules under temperature and pH stimuli are also reported.
Full article
(This article belongs to the Special Issue Peptide and Protein-Based Materials: Technology and Applications)
►▼
Show Figures

Figure 1
Open AccessArticle
Nutritionally Improved Gluten-Free Breads Fortified with Soluble Fiber and Bioactive Compounds from Artichoke and Broccoli By-Products
by
Jhazmin Quizhpe, Rocío Peñalver, Pablo Ayuso and Gema Nieto
Molecules 2026, 31(1), 152; https://doi.org/10.3390/molecules31010152 (registering DOI) - 1 Jan 2026
Abstract
Background: Commercial gluten-free (GF) breads often exhibit low nutritional quality due to limited fiber and bioactive compounds. The enzymatic treatment of vegetable by-products, such as broccoli and artichoke, represents a sustainable strategy to release soluble dietary fiber and phenolic compounds, enhancing the functional
[...] Read more.
Background: Commercial gluten-free (GF) breads often exhibit low nutritional quality due to limited fiber and bioactive compounds. The enzymatic treatment of vegetable by-products, such as broccoli and artichoke, represents a sustainable strategy to release soluble dietary fiber and phenolic compounds, enhancing the functional value of GF products. Five GF bread formulations were developed: a control bread, breads containing broccoli or artichoke extracts (BB and BA), and breads with enzymatically treated extracts using Viscozyme® L and Celluclast® 1.5 L (BBE and BAE). A commercial GF bread (BC) served as a reference. Nutritional composition, dietary fiber fractions, phenolic content, antioxidant capacity, starch digestibility, physicochemical parameters, and sensory properties were evaluated. Results: Enzymatic treatments significantly improved the nutritional and functional properties of GF breads. Viscozyme L® produced the highest increases in antioxidant capacity and phenolic content (up to 30% higher in FRAP), while Celluclast® 1.5 L generated the highest rise in soluble dietary fiber (up to 2.75 g/100 g) and the best sensory acceptance. Moreover, Celluclast® 1.5 L significantly modified starch digestibility, reducing rapidly digestible starch by 14% and increasing slowly digestible starch by over 150%, suggesting a lower predicted glycemic response. Conclusions: Incorporating the enzyme-treated artichoke and broccoli by-products into GF breads effectively enhances soluble fiber, antioxidant potential, and sensory quality. Among treatments, Celluclast® 1.5 L applied to artichoke proved most effective overall, providing a balanced improvement in nutritional and functional attributes. These findings revealed the potential of Celluclast® 1.5 L-treated artichoke by-products as a source of natural bioactive compounds for developing clean-label, nutritionally enhanced GF breads.
Full article
(This article belongs to the Special Issue Bioactive Compounds in Foods and Their By-Products)
►▼
Show Figures

Figure 1
Open AccessArticle
Permeability of Phospholipid Membranes to Divalent Cations: The Effect of Pulsed Electric Field
by
Małgorzata Jurak, Monika Sujka, Agnieszka Ewa Wiącek and Urszula Pankiewicz
Molecules 2026, 31(1), 151; https://doi.org/10.3390/molecules31010151 (registering DOI) - 1 Jan 2026
Abstract
Achieving a high nutritional value of food often involves fortifying microorganisms (such as bacteria and yeast) used in baking and dairy industry with essential elements. The aim of this study was to investigate the effect of a pulsed electric field (PEF) on the
[...] Read more.
Achieving a high nutritional value of food often involves fortifying microorganisms (such as bacteria and yeast) used in baking and dairy industry with essential elements. The aim of this study was to investigate the effect of a pulsed electric field (PEF) on the penetration and accumulation of Ca2+ and Mg2+ ions into model membranes of the food-grade yeast Saccharomyces cerevisiae. Simplified model membranes (monolayers and liposomes) were constructed using the phospholipid 1-palmitoyl-2-oleoyl-sn-glycero-3-phosphatidylcholine (POPC). The Langmuir monolayer technique, dynamic light scattering (DLS) and microelectrophoresis were employed to characterize the physicochemical properties of the model membranes investigated. The results showed significant molecular-level differences in the interactions of the selected cations with lipid monolayers and bilayers in liposome structures. Both cations deeply penetrated the membrane’s hydrophilic region, yet two competing effects were evident: expansion induced by hydrated Mg2+ and condensation driven by Ca2+ bridging. Furthermore, the application of PEF increased the concentration of ions absorbed by the liposomes. Specifically, optimized PEF parameters resulted in cation accumulation within the model membranes, ranging from 6 to 13%. This finding correlates well with the increased Ca2+ and Mg2+ uptake observed in real yeast cells, providing a deeper understanding of the cell membrane-environment interface and the underlying processes.
Full article
(This article belongs to the Special Issue Novel Membranes and Coatings for Biomedical and Food Applications)
►▼
Show Figures

Figure 1
Journal Menu
► ▼ Journal Menu-
- Molecules Home
- Aims & Scope
- Editorial Board
- Reviewer Board
- Topical Advisory Panel
- Instructions for Authors
- Special Issues
- Topics
- Sections & Collections
- Article Processing Charge
- Indexing & Archiving
- Editor’s Choice Articles
- Most Cited & Viewed
- Journal Statistics
- Journal History
- Journal Awards
- Society Collaborations
- Conferences
- Editorial Office
Journal Browser
► ▼ Journal Browser-
arrow_forward_ios
Forthcoming issue
arrow_forward_ios Current issue - Vol. 31 (2026)
- Vol. 30 (2025)
- Vol. 29 (2024)
- Vol. 28 (2023)
- Vol. 27 (2022)
- Vol. 26 (2021)
- Vol. 25 (2020)
- Vol. 24 (2019)
- Vol. 23 (2018)
- Vol. 22 (2017)
- Vol. 21 (2016)
- Vol. 20 (2015)
- Vol. 19 (2014)
- Vol. 18 (2013)
- Vol. 17 (2012)
- Vol. 16 (2011)
- Vol. 15 (2010)
- Vol. 14 (2009)
- Vol. 13 (2008)
- Vol. 12 (2007)
- Vol. 11 (2006)
- Vol. 10 (2005)
- Vol. 9 (2004)
- Vol. 8 (2003)
- Vol. 7 (2002)
- Vol. 6 (2001)
- Vol. 5 (2000)
- Vol. 4 (1999)
- Vol. 3 (1998)
- Vol. 2 (1997)
- Volumes not published by MDPI
Highly Accessed Articles
Latest Books
E-Mail Alert
News
Topics
Topic in
J. Compos. Sci., Materials, Molecules, Nanomaterials, Polymers, Processes, Recycling
Science and Technology of Polymeric Blends, Composites, and Nanocomposites
Topic Editors: Roberto Scaffaro, Emmanuel Fortunato GulinoDeadline: 28 February 2026
Topic in
Cancers, IJMS, Pharmaceuticals, Pharmaceutics, Sci. Pharm., Current Oncology, Molecules
Recent Advances in Anticancer Strategies, 2nd Edition
Topic Editors: Hassan Bousbaa, Zhiwei HuDeadline: 31 March 2026
Topic in
Applied Nano, Catalysts, Materials, Nanomaterials, Polymers, Molecules
Application of Nanomaterials in Environmental Analysis
Topic Editors: Yonggang Zhao, Yun ZhangDeadline: 13 April 2026
Topic in
Biomolecules, Chemistry, IJMS, Molecules, Pharmaceuticals
Progress in Drug Design: Science and Practice
Topic Editors: Rui M. V. Abreu, Maria João QueirozDeadline: 30 April 2026
Conferences
Special Issues
Special Issue in
Molecules
Review Papers in Materials Chemistry—2nd Edition
Guest Editors: Giuseppe Cirillo, Fiore P. NicolettaDeadline: 15 January 2026
Special Issue in
Molecules
Green Catalysts: Enabling Eco-Friendly Chemical Reactions
Guest Editor: Roong Jien WongDeadline: 15 January 2026
Special Issue in
Molecules
Transition Metal Complexes with Bioactive Ligands
Guest Editor: Dušan DimićDeadline: 16 January 2026
Special Issue in
Molecules
Advanced Polymer Composites for Sustainable Technologies: Synthesis, Characterization, and Performance
Guest Editor: Fujuan LiuDeadline: 20 January 2026
Topical Collections
Topical Collection in
Molecules
Bioactive Natural Molecules from Functional Foods
Collection Editors: Eun Kyoung Seo, Joo-Won Nam
Topical Collection in
Molecules
Recycling of Biomass Resources: Biofuels and Biochemicals
Collection Editors: Nan Zhao, Chao Gai
Topical Collection in
Molecules
Qualitative and Quantitative Analysis of Bioactive Natural Products
Collection Editors: Elisa Ovidi, Valentina Laghezza Masci





