Journal Description
Systems
Systems
is an international, peer-reviewed, open-access journal that publishes original research on systems theory, systems methodologies and systems practice monthly. The journal encompasses a wide range of fields, including systems engineering, management, business and organisational systems, and information and data systems. It focuses on complex social-technical system issues, offering a comprehensive platform for the exchange of ideas and insights in this field. Systems is committed to publishing high-quality research that addresses systemic, holistic, systems-based issues. Submissions may be research papers or review articles. Systems is interested in studies that include people, processes and technology. Papers on complex mathematical modelling without an obvious link to systems are not suitable for publication. The International Society for the Systems Sciences (ISSS) has an affiliation with Systems and its members receive a discount on the article processing charges.
- Open Access— free for readers, with article processing charges (APC) paid by authors or their institutions.
- High Visibility: indexed within Scopus, SSCI (Web of Science), Ei Compendex, dblp, and other databases.
- Journal Rank: JCR - Q1 (Social Sciences, Interdisciplinary) / CiteScore - Q2 (Modeling and Simulation)
- Rapid Publication: manuscripts are peer-reviewed and a first decision is provided to authors approximately 20.1 days after submission; acceptance to publication is undertaken in 2.7 days (median values for papers published in this journal in the second half of 2025).
- Recognition of Reviewers: reviewers who provide timely, thorough peer-review reports receive vouchers entitling them to a discount on the APC of their next publication in any MDPI journal, in appreciation of the work done.
Impact Factor:
3.1 (2024);
5-Year Impact Factor:
3.1 (2024)
Latest Articles
How Open Government Data Enhances Public Service Delivery: A Quasi-Natural Experiment from Government Data Platforms
Systems 2026, 14(4), 408; https://doi.org/10.3390/systems14040408 - 7 Apr 2026
Abstract
►
Show Figures
Enhancing the level of public service delivery constitutes a core objective for governments worldwide in their efforts to optimize governance effectiveness. With the advancement of the digital revolution, government data has emerged as a critical factor of production, and its open utilization is
[...] Read more.
Enhancing the level of public service delivery constitutes a core objective for governments worldwide in their efforts to optimize governance effectiveness. With the advancement of the digital revolution, government data has emerged as a critical factor of production, and its open utilization is increasingly regarded as a strategic resource for addressing public service challenges. This study employs panel data from 285 Chinese cities spanning the period 2010 to 2022. By leveraging the staggered rollout of data openness platforms by local governments as a quasi-natural experiment, it evaluates the impact mechanism of government data openness on public service delivery using a staggered difference-in-differences approach. The findings indicate that open government data significantly enhances regional public service delivery, an effect that operates primarily through data utilization and urban technological innovation capacity, both of which collectively empower public service improvements. Moderation analysis further reveals that fiscal transparency exerts a significant positive moderating effect within this pathway, thereby amplifying the influence of government data openness on public service provision levels.
Full article
Open AccessArticle
Where to Start? Participatory Systems Mapping for Place-Based Service Integration in the City of Casey
by
Matt Healey, Joseph Lea and Vanessa Hammond
Systems 2026, 14(4), 407; https://doi.org/10.3390/systems14040407 - 7 Apr 2026
Abstract
Place-based approaches have gained significant attention as a means of addressing entrenched disadvantage through collaborative, locally responsive service delivery, yet implementation has yielded mixed results and the systemic factors that facilitate or impede inter-organisational collaboration remain inadequately understood. This study applied participatory systems
[...] Read more.
Place-based approaches have gained significant attention as a means of addressing entrenched disadvantage through collaborative, locally responsive service delivery, yet implementation has yielded mixed results and the systemic factors that facilitate or impede inter-organisational collaboration remain inadequately understood. This study applied participatory systems mapping as part of a systemic inquiry to identify leverage points for place-based integrated service delivery in the City of Casey, an outer-metropolitan municipality in Melbourne, Australia. Twenty-one representatives from the Casey Futures Partnership engaged in group model building workshops, co-producing a causal loop diagram containing 33 factors and 104 directional connections. The resulting map was analysed using a blended analytical approach combining network metrics with the Action Scales Model. Funding availability and criteria emerged as the most central factor within the system, while belief-level factors, including territorial behaviour and resource and collaboration mindset, were found to be substantially shaped by upstream structural conditions. Factors combining network influence with deeper system positioning and amenability to local action included awareness of community needs and priorities, trust and willingness to collaborate from funders, inter-organisational communication, and advocacy effectiveness. The findings support multi-level place-based approaches that address underlying beliefs and structural conditions alongside operational improvements.
Full article
(This article belongs to the Special Issue Applying Systems Science to Place-Based Systems Change Efforts: Theoretical and Methodological Advances)
►▼
Show Figures

Figure 1
Open AccessArticle
Volatility Spillovers Between China’s Financial Markets and Strategic Metal Assets: Evidence from LLM Knowledge Distillation
by
Dian Sheng, Jining Wang and Lei Wang
Systems 2026, 14(4), 406; https://doi.org/10.3390/systems14040406 - 7 Apr 2026
Abstract
This study employs a TVP-VAR-BK-DY framework to examine volatility spillovers between China’s financial markets and strategic metal assets. To capture retail investor sentiment, we construct a sentiment index using an LLM knowledge distillation framework. Building on this index, the analysis further incorporates economic
[...] Read more.
This study employs a TVP-VAR-BK-DY framework to examine volatility spillovers between China’s financial markets and strategic metal assets. To capture retail investor sentiment, we construct a sentiment index using an LLM knowledge distillation framework. Building on this index, the analysis further incorporates economic policy uncertainty to investigate the joint effects of retail investor sentiment and economic policy uncertainty on cross-market volatility spillovers. The results show that: (1) Price movements in certain assets exhibit leading effects, while metals with stronger financial characteristics generate more pronounced spillover effects. (2) The spillover structure between China’s financial markets and strategic metal assets displays substantial heterogeneity across time horizons and frequency bands. In the 1–5-day frequency band, the stock market serves as a net transmitter of volatility to the banking sector, gold, and copper. In the frequency band exceeding five days, these three assets exert reverse net spillover effects on the stock market. (3) The effects of retail investor sentiment and economic policy uncertainty on volatility spillovers differ significantly. The impact of retail investor sentiment is primarily concentrated in the 1–5-day frequency band, whereas economic policy uncertainty exhibits significant spillover effects in the frequency band exceeding six months.
Full article
Open AccessArticle
Two-Stage Robust Optimization for Coupled Multi-Agent Task Allocation in Disaster Response Under Demand Uncertainty
by
Chenxi Duan, Chongshuang Hu, Minghao Li and Jiang Jiang
Systems 2026, 14(4), 405; https://doi.org/10.3390/systems14040405 - 7 Apr 2026
Abstract
Multi-agent systems (MASs), with unmanned aerial vehicles (UAVs) as a representative embodiment, have become increasingly vital in time-sensitive disaster response scenarios, where multiple agents must collaborate to execute “observe-and-intervene” emergency tasks and jointly cope with dynamic environmental uncertainties. Existing research on task allocation
[...] Read more.
Multi-agent systems (MASs), with unmanned aerial vehicles (UAVs) as a representative embodiment, have become increasingly vital in time-sensitive disaster response scenarios, where multiple agents must collaborate to execute “observe-and-intervene” emergency tasks and jointly cope with dynamic environmental uncertainties. Existing research on task allocation mostly eliminates uncertainty through deterministic models; the few studies that directly consider uncertainty focus primarily on time uncertainty, overlooking the critical importance of demand uncertainty. To this end, this study accounts for the impact of harsh environmental conditions and incident complexity factors on intervention resource demands. We establish an uncertainty set for these demands and construct a two-stage robust optimization model to solve the coupled multi-agent task allocation problem. Compared with deterministic models, this framework enhances risk resistance while simultaneously reducing the conservatism of decisions. Furthermore, to overcome the computational challenges of large-scale instances, a Learning-Enhanced Column and Constraint Generation (LE-C&CG) algorithm is proposed. Experimental results demonstrate that LE-C&CG converges over an order of magnitude faster than standard Benders and C&CG algorithms, consistently achieving a 0% optimality gap within fractions of a second, making it highly suitable for time-critical emergency applications.
Full article
(This article belongs to the Section Artificial Intelligence and Digital Systems Engineering)
►▼
Show Figures

Figure 1
Open AccessArticle
Prism-Based Mapping of 6G Use Cases Integrating Technical Requirements and Multidimensional Service Classification
by
Sunhye Kim, Yoon Seo, Seung-Hoon Hwang and Byungun Yoon
Systems 2026, 14(4), 404; https://doi.org/10.3390/systems14040404 - 7 Apr 2026
Abstract
►▼
Show Figures
Purpose: With the advent of sixth-generation (6G) communication technology, systematic mapping of its use cases to associated technical requirements has become essential for accelerating standardization, guiding R&D investment, and informing policy formulation. Methods: This study consolidated 65 use case scenarios from key academic
[...] Read more.
Purpose: With the advent of sixth-generation (6G) communication technology, systematic mapping of its use cases to associated technical requirements has become essential for accelerating standardization, guiding R&D investment, and informing policy formulation. Methods: This study consolidated 65 use case scenarios from key academic and institutional 6G sources into 21 representative cases. A three-round Delphi-based expert assessment, employing a five-point Likert scale and interquartile-range-based consensus monitoring, was used to assign primary and secondary technical requirements across six core dimensions: immersive communication, massive communication, hyper-reliable low-latency communication, integrated sensing and communication, integrated artificial intelligence and communication (IAAC), and ubiquitous connectivity. A three-dimensional (3D) prism-based visualization framework was subsequently developed to represent the interdependencies among these requirements. Results: IAAC and massive communication emerged as the most critical requirements, each functioning as a primary or secondary driver across most use cases. The prism framework revealed hierarchical and complementary relationships among the six dimensions that conventional 2D wheel diagrams cannot adequately capture. Furthermore, a nine-criterion multidimensional classification framework, encompassing data transmission mode, decision-making mode, communication flow, interaction type, device type, deployment type, human activity innovation, user type, and personalization level, was developed, offering industry-specific guidance for service design. Collectively, the proposed framework supports user-centric design, informs strategic technology planning, and contributes to policy development while acknowledging existing limitations in quantitative mapping and economic analysis.
Full article

Figure 1
Open AccessArticle
Educating for Complexity: A Learning Architecture for Systems Thinking in Professional Education and Generative AI Governance
by
Liliana Pedraja-Rejas, Katherine Acosta-García, Emilio Rodríguez-Ponce and Camila Muñoz-Fritis
Systems 2026, 14(4), 403; https://doi.org/10.3390/systems14040403 - 7 Apr 2026
Abstract
Professional education increasingly requires graduates to make decisions in complex systems marked by multiple stakeholders, feedback, delays, uncertainty, and unintended consequences, yet systems thinking is still often taught as a set of disconnected tools rather than as an integrated professional practice. This conceptual
[...] Read more.
Professional education increasingly requires graduates to make decisions in complex systems marked by multiple stakeholders, feedback, delays, uncertainty, and unintended consequences, yet systems thinking is still often taught as a set of disconnected tools rather than as an integrated professional practice. This conceptual paper adopts an integrative theory-building approach to develop a unified architecture for systems thinking in professional education, drawing purposively on systems traditions, practice-based learning, assessment scholarship, and emerging work on generative artificial intelligence (GenAI). The paper proposes four iterative practices (sensemaking and boundary setting, co-modelling and causal representation, intervention reasoning, and meta-learning) as the core architecture for learning systems thinking in professional contexts. It further translates this architecture into indicative implications for curriculum sequencing, authentic tasks, and assessment, while positioning GenAI as a cross-cutting support/risk layer that can assist iteration and critique but also introduce predictable risks such as fabricated causal links, overreliance, and false mastery. To address these risks, the paper outlines governance conditions based on traceability, uncertainty checks, stakeholder validation, and process-based assessment. Overall, the framework provides a design-oriented basis for teaching, assessing, and governing systems thinking in contemporary professional education and a foundation for future empirical testing.
Full article
(This article belongs to the Special Issue Systems Thinking in Education: Learning, Design and Technology)
►▼
Show Figures

Figure 1
Open AccessArticle
Managing Tourism Destinations as Complex Adaptive Systems: An MCDM-Based Hybrid Governance Selection Model for Sustainable Regional Development
by
Eda Kaya and Yusuf Karakuş
Systems 2026, 14(4), 402; https://doi.org/10.3390/systems14040402 - 5 Apr 2026
Abstract
The purpose of this study is to determine the most suitable Destination Management Organization (DMO) model for the sustainable development of the Rize destination. Approached from the perspective of Complex Adaptive Systems (CAS), the research is of strategic importance in order to overcome
[...] Read more.
The purpose of this study is to determine the most suitable Destination Management Organization (DMO) model for the sustainable development of the Rize destination. Approached from the perspective of Complex Adaptive Systems (CAS), the research is of strategic importance in order to overcome systemic entropy threats, such as coordination deficiencies and unplanned growth, faced by the destination through a scientific model. Methodologically, a sequential exploratory mixed method integrating qualitative and quantitative methods was adopted. In the qualitative phase, system bottlenecks were identified through interviews with 15 strategic stakeholders; in the quantitative phase, Analytical Hierarchy Process (AHP) and Quality Function Deployment (QFD) analyses were applied with 271 participants. Key findings indicate that the most critical factors disrupting the system’s homeostatic balance are weak inter-institutional coordination and inadequate infrastructure. AHP results confirm that market diversification, sustainable planning, and quality standards are priority activities. The final analysis conducted using the QFD decision matrix identified the PPCP (Public–Private–Community Partnership) model, which synchronizes public oversight with private sector innovation and integrates community-based feedback mechanisms, as the most effective structure for enabling resource integration and value co-creation among actors. The model’s adaptive architecture further accommodates emergent stakeholder dynamics, including the growing role of tourists as co-creators of destination experiences through digital platforms. The study contributes to the literature by offering a rational decision support mechanism for complex system management through AHP-QFD integration and proposes a three-phase evaluation framework to ensure results-oriented governance adaptation.
Full article
(This article belongs to the Special Issue Toward Innovative Hospitality and Tourism Systems: Exploring Challenges and Opportunities)
►▼
Show Figures

Figure 1
Open AccessArticle
Emission-Reduction Decision-Making in a Shipping Logistics Service Supply Chain Under Carbon Cap-And-Trade Mechanisms: Based on Two-Way Cost Sharing of AI Technology
by
Guangsheng Zhang, Ran Yan, Zhaomin Zhang, Shiguan Liao and Tianlong Luo
Systems 2026, 14(4), 401; https://doi.org/10.3390/systems14040401 (registering DOI) - 5 Apr 2026
Abstract
Under the background of the carbon cap and trading mechanism, the shipping logistics service supply chain faces pressure to reduce carbon emissions, and artificial intelligence technology provides a new technological path for emission reduction. In the context of a carbon cap-and-trade system, this
[...] Read more.
Under the background of the carbon cap and trading mechanism, the shipping logistics service supply chain faces pressure to reduce carbon emissions, and artificial intelligence technology provides a new technological path for emission reduction. In the context of a carbon cap-and-trade system, this study examines a shipping logistics service supply chain comprising a service provider and a service integrator, where the provider adopts AI technologies for direct emission reduction and the integrator contributes indirectly. It investigates optimal decision-making under two models: a single emission-reduction model (only provider uses AI) and a joint-emission-reduction model (both adopt AI), while also exploring one-way and two-way cost-sharing contracts between them. The study establishes these models to analyze the impact of cost-sharing contracts on emission reduction levels, total service volume, and profits, and further examines how government regulation of carbon trading prices can promote reduction. Findings reveal that cost-sharing contracts effectively enhance emission reduction, output, and member benefits; one-way contracts are conducive to operations, while two-way contracts are effective only within a small cost-sharing ratio range. The joint model outperforms the single model under specific parameter thresholds, and cost-sharing ratios influence decentralized versus centralized decision-making. Government carbon price regulation can encourage reduction but must consider its effects on low-carbon logistics volume and profits.
Full article
(This article belongs to the Section Supply Chain Management)
►▼
Show Figures

Figure 1
Open AccessArticle
Organisational Viability in Artisan Dairy Short Food Supply Chains: A Cybernetic Diagnosis Using the Viable System Model
by
David Ernesto Salinas-Navarro, Eliseo Vilalta-Perdomo, Rosario Michel-Villarreal and Ah-Reum Cho
Systems 2026, 14(4), 400; https://doi.org/10.3390/systems14040400 - 4 Apr 2026
Abstract
Short food supply chains (SFSCs) for artisan dairy products promote rural development, cultural preservation, and consumer trust but face challenges not found in mainstream chains. This study focuses on queso Tenate, a traditional cow-milk cheese from central Mexico, and examines how its
[...] Read more.
Short food supply chains (SFSCs) for artisan dairy products promote rural development, cultural preservation, and consumer trust but face challenges not found in mainstream chains. This study focuses on queso Tenate, a traditional cow-milk cheese from central Mexico, and examines how its SFSC organisational structure influences its capacity to ensure food safety, quality consistency, market delivery, and viability. Using a single-case exploratory design, the study applies the Viable System Model (VSM) as a diagnostic framework to map systemic functions within an artisan dairy enterprise. Data were collected through VSM-informed interviews and observations of production and retail practices. The findings show that food safety, quality performance, and market delivery reliability are structurally mediated by systemic coherence, not product characteristics alone. While strong relational coordination and shared identity sustain viability, several functions—particularly coordination, audit, and intelligence—remain person-dependent. This study identifies structural implications for strengthening regulatory coordination and monitoring practices without undermining relational management or artisan identity. The primary contributions are as follows: (i) extending SFSC research through a systemic diagnosis of an artisan dairy chain in an emerging economy; (ii) linking VSM-based organisational study to food safety, quality consistency, and market performance; and (iii) positioning VSM as a conversational tool for SFSC viability. Limitations include the single-case design, reliance on qualitative data, and absence of longitudinal measurements. Future research should compare VSM applications across multiple SFSCs, integrate quantitative analyses, and explore its use as a management tool. The study highlights the role of systemic coherence in ensuring SFSC sustainability and cultural embeddedness.
Full article
(This article belongs to the Section Systems Practice in Social Science)
►▼
Show Figures

Figure 1
Open AccessArticle
Evolution of Driver Strategies Under Platform-Led Incentives: A Stackelberg–Evolutionary Game Model with Large-Scale Ride-Hailing Data
by
Wenbo Su, Jingu Mou, Zhengfeng Huang, Yibing Wang, Hongzhao Dong, Manel Grifoll and Pengjun Zheng
Systems 2026, 14(4), 399; https://doi.org/10.3390/systems14040399 - 4 Apr 2026
Abstract
Online ride-hailing platforms increasingly rely on differentiated incentive mechanisms to regulate driver participation and balance supply and demand. However, drivers’ adaptive responses to such incentives introduce dynamic feedback and uncertainty that static equilibrium models fail to capture. This study develops a dual-layer Stackelberg–evolutionary
[...] Read more.
Online ride-hailing platforms increasingly rely on differentiated incentive mechanisms to regulate driver participation and balance supply and demand. However, drivers’ adaptive responses to such incentives introduce dynamic feedback and uncertainty that static equilibrium models fail to capture. This study develops a dual-layer Stackelberg–evolutionary game framework in which the platform acts as a strategic leader setting the order allocation rates and prices, while heterogeneous drivers adapt their working-hour strategies through evolutionary dynamics. Using operational data from Ningbo, China, we calibrated the demand elasticity and driver cost parameters and identified endogenous fatigue-cost thresholds that govern regime shifts in strategy dominance. Simulation results show that uniform incentives tend to drive the system toward single-strategy lock-in, whereas differentiated order allocation and pricing effectively sustain multi-strategy coexistence and mitigate extreme supply polarization. The findings reveal how platform-led differentiation reshapes the evolutionary fitness landscape of drivers, providing actionable guidance for incentive design aimed at stabilizing supply structures, improving platform revenue, and protecting driver welfare.
Full article
(This article belongs to the Section Systems Theory and Methodology)
►▼
Show Figures

Figure 1
Open AccessArticle
Conceptualisation of Sustainable Development in the Context of SME Sector Enterprises
by
Barbara Siuta-Tokarska and Jadwiga Adamczyk
Systems 2026, 14(4), 398; https://doi.org/10.3390/systems14040398 - 4 Apr 2026
Abstract
The issue of sustainable socio-economic development in the context of SMEs fits within the broader stream of research on strategic management of organizations operating under conditions of dynamic environmental change. From the perspective of strategic management, this implies the necessity of adopting an
[...] Read more.
The issue of sustainable socio-economic development in the context of SMEs fits within the broader stream of research on strategic management of organizations operating under conditions of dynamic environmental change. From the perspective of strategic management, this implies the necessity of adopting an approach that not only responds to current market needs, but also incorporates social responsibility, resource efficiency, and organizational resilience. Consequently, sustainable development becomes a key element shaping strategic decision-making in SMEs, strengthening their adaptability and capacity to create long-term value. This study is conceptual and theoretical in nature, focusing on the interpretation of notions and the specificity of sustainable socio-economic development in the context of enterprises in the SME sector. The conducted research has resulted in filling the identified research gap and solving the research problem, including the development of a theoretical model presented as a conceptual illustration entitled “From the Idea to the Paradigm of Sustainable Socio-Economic Development in the SMEs.” The study also led to the identification of four orders of sustainable socio-economic development—environmental, social, economic, and institutional-political—in the context of enterprises in the SME sector.
Full article
(This article belongs to the Special Issue Strategic Management in Enterprises: From the Industry and Society 4.0 to 5.0 Era)
►▼
Show Figures

Figure 1
Open AccessArticle
One Size Does Not Fit All: A Configurational Analysis of Asymmetric Paths to Organizational Resilience for SMEs and Large Enterprises
by
An Chin Cheng
Systems 2026, 14(4), 397; https://doi.org/10.3390/systems14040397 - 4 Apr 2026
Abstract
The escalation of geopolitical tensions has forced global manufacturers to reconfigure their supply chains. While Digital Transformation (DT) is widely touted as a primary driver of resilience, traditional variance-based research often assumes a symmetric, linear relationship that applies universally across firms. This study
[...] Read more.
The escalation of geopolitical tensions has forced global manufacturers to reconfigure their supply chains. While Digital Transformation (DT) is widely touted as a primary driver of resilience, traditional variance-based research often assumes a symmetric, linear relationship that applies universally across firms. This study challenges this assumption through the lens of Complexity Theory. Viewing supply chains as Complex Adaptive Systems (CASs), we employ Fuzzy-Set Qualitative Comparative Analysis (fsQCA) on a stratified sample of 928 manufacturers in a geopolitical high-risk zone (Taiwan). We identify equifinal pathways to Organizational Resilience, revealing a fundamental asymmetry between organizational types. The results suggest that while large enterprises rely on a resource-intensive strategy—which we term the “Digital Fortress” configurational metaphor (combining high digital maturity and agility as a core condition)—SMEs can achieve high resilience through an “Agile Dodger” configuration, leveraging operational agility and niche positioning without necessitating high digital maturity. This study contributes to the systems literature by mapping the “topology of resilience” and offering tailored configurational pathways that complement traditional variance-based perspectives in volatile ecosystems.
Full article
(This article belongs to the Special Issue Supply Chain and Business Model Innovation in the Digital Era)
►▼
Show Figures

Figure 1
Open AccessArticle
A Spatial and Cluster-Based Framework for Identifying Railroad Trespassing Hotspots
by
Habeeb Mohammed, Rongfang Liu and Steven Jiang
Systems 2026, 14(4), 396; https://doi.org/10.3390/systems14040396 - 3 Apr 2026
Abstract
Rail trespassing remains a persistent safety challenge at the system level in the United States, with a 24% increase in incidents within the last decade (2016–2025). Identifying hotspots proactively is difficult due to limited incident data and strong spatial dependencies within the built
[...] Read more.
Rail trespassing remains a persistent safety challenge at the system level in the United States, with a 24% increase in incidents within the last decade (2016–2025). Identifying hotspots proactively is difficult due to limited incident data and strong spatial dependencies within the built environment. This study thus creates a ZIP-code–level geospatial analytics framework to identify current and emerging trespassing hotspots across North Carolina by combining land-use composition, rail exposure metrics, and historical Federal Railroad Administration (FRA) trespassing records. Geospatial layers were integrated within a GIS workflow to derive attributes such as rail miles, grade crossings, population density, and land-use types. Exploratory spatial analysis showed significant clustering of trespassing incidents, with Global Moran’s I indicating positive spatial autocorrelation across multiple neighborhood sizes. Permutation z-scores confirmed non-random hotspot formation along major rail corridors. A k-means clustering method also identified four structural risk environments, and a Composite Risk Index (CRI) was developed from weighted, standardized exposure and land-use variables to quantify latent risk, independent of raw casualty counts. Results indicate that clusters characterized by higher rail infrastructure exposure and mixed land-use environments exhibit the highest CRI values and elevated hotspot probabilities. In contrast, clusters with limited rail infrastructure, including predominantly commercial and rural ZIP codes, show substantially lower risk levels. The findings highlight that trespassing risk is more strongly associated with structural exposure conditions than with isolated historical incident counts. The resulting risk surfaces and hotspots provide an interpretable and scalable framework for statewide safety planning, early hotspot detection, and targeted interventions by transportation agencies.
Full article
(This article belongs to the Special Issue Multimodal and Intermodal Transportation Systems in the AI Era)
►▼
Show Figures

Figure 1
Open AccessArticle
An XGBoost Approach to Identifying Hinterland Drivers of Inland Port Development
by
Eugen Rosca, Cristina Oprea, Mircea Rosca, Stefan Burciu, Alina Roman and Florin Rusca
Systems 2026, 14(4), 395; https://doi.org/10.3390/systems14040395 - 3 Apr 2026
Abstract
Inland ports play a strategic role in enhancing multimodal connectivity and promoting sustainable freight transport within European corridors. However, the drivers of inland port development remain insufficiently understood, particularly with respect to nonlinear dynamics, interaction effects, and regional heterogeneity. This study investigates the
[...] Read more.
Inland ports play a strategic role in enhancing multimodal connectivity and promoting sustainable freight transport within European corridors. However, the drivers of inland port development remain insufficiently understood, particularly with respect to nonlinear dynamics, interaction effects, and regional heterogeneity. This study investigates the socio-economic, infrastructural, and spatial determinants of inland port throughput using an interpretable machine learning framework. An XGBoost model is built up to estimate eighteen ports’ throughput along the Romanian Danube, over the period 2010–2024. SHAP (Shapley Additive Explanations) values are employed to quantify global importance, nonlinear marginal effects, and interaction structures. Results show that spatial accessibility and road infrastructure are the most influential drivers, while economic sectoral structure and road infrastructure exert nonlinear and scale-dependent effects. Interaction analysis reveals that inland port development is synergy-driven rather than additive, with the strongest complementarities observed between spatial accessibility, multimodal infrastructure, and sectoral structure. Additionally, Kruskal–Wallis tests on SHAP contributions indicate significant heterogeneity across port administrations, suggesting that governance and regional context modulate the realization of economic and infrastructural potential. The findings contribute to port–hinterland interaction analysis by demonstrating that inland port performance emerges from multi-scale, nonlinear, and regionally mediated dynamics. Methodologically, the study illustrates the value of interpretable machine learning for transport systems research. Policy implications emphasize coordinated multimodal investments, accessibility enhancement, and region-specific development strategies to strengthen inland waterway integration within the European transport sector.
Full article
(This article belongs to the Special Issue AI Applications in Transportation and Logistics)
►▼
Show Figures

Figure 1
Open AccessArticle
Mapping Cross-Market Tail Spillovers: A Multilayer LASSO-Quantile Network Approach
by
Jiyi Xu and Yong Li
Systems 2026, 14(4), 394; https://doi.org/10.3390/systems14040394 - 3 Apr 2026
Abstract
This study investigates the dynamic patterns of global financial risk transmission across 11 major economies and four key asset classes (stocks, bonds, foreign exchange, and gold) using daily data spanning 2012 to 2025. To capture the non-linearities of extreme market stress, we construct
[...] Read more.
This study investigates the dynamic patterns of global financial risk transmission across 11 major economies and four key asset classes (stocks, bonds, foreign exchange, and gold) using daily data spanning 2012 to 2025. To capture the non-linearities of extreme market stress, we construct a multilayer directed network based on least absolute shrinkage and selection operator (LASSO) penalized quantile regression at the 5% lower tail. We estimate tail risk spillovers using a one-year rolling window approach and identify systemically important nodes via an extended PageRank algorithm applied to the resulting adjacency tensors. Empirical results suggest that the rankings of systemically important countries undergo significant re-orderings during crisis periods. We find robust statistical evidence that the Herfindahl–Hirschman Index (HHI) of risk concentration provides forward-looking information regarding structural polarization and systemic fragility. These observed associations remain consistent across alternative quantile thresholds, varying lag lengths, and alternative rolling window specifications. Our results provide granular insights for policymakers monitoring cross-asset contagion and provides a framework for institutional investors to assess potential tail-risk hedging strategies within an increasingly interconnected multilayer architecture.
Full article
(This article belongs to the Section Complex Systems and Cybernetics)
►▼
Show Figures

Figure 1
Open AccessArticle
Opinion Quality Dynamic Management and Consensus Model with Quality Threshold for Group Decision Making
by
Yanling Lu, Zhiying Wang and Yejun Xu
Systems 2026, 14(4), 393; https://doi.org/10.3390/systems14040393 - 3 Apr 2026
Abstract
In group decision making (GDM), experts from a variety of fields collaborate to select the best alternative. Due to external influences or a lack of sufficient knowledge, experts may sometimes offer low-quality opinions on alternatives. In existing GDM problems, the opinion quality and
[...] Read more.
In group decision making (GDM), experts from a variety of fields collaborate to select the best alternative. Due to external influences or a lack of sufficient knowledge, experts may sometimes offer low-quality opinions on alternatives. In existing GDM problems, the opinion quality and the consensus with a quality threshold have never been explored simultaneously. To fill this gap, this paper proposes a novel GDM framework integrating opinion quality dynamic management and an improved minimum cost consensus model (MCCM) with a quality threshold in GDM. Firstly, opinion quality dynamic evaluations and management mechanisms are designed to improve the opinions of experts to some extent. Afterwards, the weights of the experts are determined by combining their social reputation and opinion quality. Furthermore, the impact of opinion quality is considered in the consensus, and an improved MCCM with a quality threshold is proposed to promote the consensus. A case study on selecting AI enterprises for an investment is provided to verify the applicability of the proposed opinion-quality-based GDM. Ultimately, the quantitative results show that the proposed model achieves a consensus cost of 411, which is 67.5% lower than the benchmark method M2. The proposed GDM framework only requires two iterations and satisfies the predefined opinion quality threshold and consensus level. The optimal alternative remains stable under various parameter settings, verifying the robustness and superiority of the proposed model.
Full article
(This article belongs to the Special Issue Decision Making in Uncertain Environments via Advanced Analytical Methods: Second Edition)
►▼
Show Figures

Figure 1
Open AccessArticle
E-Waste Collection System Optimization via GIS-Based Network Analysis in Yaoundé, Cameroon
by
Yannick Esopere and Helmut Yabar
Systems 2026, 14(4), 392; https://doi.org/10.3390/systems14040392 - 3 Apr 2026
Abstract
The recent proliferation of electronic waste (E-waste) in developing countries has become a pressing environmental and socio-economic issue, particularly in urban areas where informal waste management practices dominate. The current E-waste collection system in Yaoundé comprises three streams: informal, formal, and municipal solid
[...] Read more.
The recent proliferation of electronic waste (E-waste) in developing countries has become a pressing environmental and socio-economic issue, particularly in urban areas where informal waste management practices dominate. The current E-waste collection system in Yaoundé comprises three streams: informal, formal, and municipal solid waste collection. However, transitioning to a prospective, integrated system requires optimizing E-waste collection. Given that the current formal collection (CFC) scenario has only 3 formal collection points, this study employs a survey-based approach and GIS network analysis to allocate 8 additional collection points to maximize formal collection coverage and quantity in Yaoundé. The applied methodologies included the consumer and use model and GIS-based location-allocation, service-area, and route-optimization analyses. The results indicate a 52.81% increase in formal collection quantity for the maximized formal collection (MFC) scenario. Furthermore, Route 1 proved to be the most cost-effective, with a fuel consumption cost of 806,472.25 FCFA/year. Additionally, Route 1 yielded the lowest GHG emissions, at 2610.32 kg CO2 eq/year, compared with Routes 2 and 3. Finally, transitioning from the current business-as-usual (BAU) to a prospective integrated E-waste management (IEM) system resulted in a 13.83% potential reduction in emissions. This emission reduction contributed 3.04% to Cameroon’s nationally determined contributions (NDCs) 2030 target for greenhouse gas (GHG) emission reduction in the waste sector. The study’s outcome proves informative for decision-making in optimizing E-waste management systems in developing economies.
Full article
(This article belongs to the Topic Sustainable Development and Coordinated Governance of Urban and Rural Areas Under the Guidance of Ecological Wisdom—2nd Edition)
►▼
Show Figures

Figure 1
Open AccessArticle
Building Resilient SMEs in Qatar: The Strategic Role of Technology and Learning Culture in Driving Performance
by
Mohamed Mohd Ali Al Haifi, Abdullah Kaid Al-Swidi and Mohd Nishat Faisal
Systems 2026, 14(4), 391; https://doi.org/10.3390/systems14040391 - 3 Apr 2026
Abstract
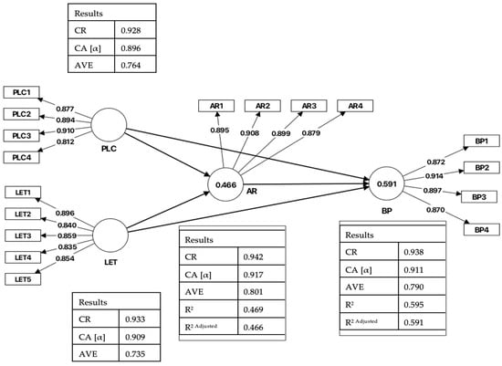
This study investigates the impact of leading-edge technology and a proactive learning culture on business performance in Qatari SMEs, emphasising the mediating role of adaptive resilience. Grounded in Dynamic Capabilities Theory, data from 343 SMEs were analysed using Partial Least Squares Structural Equation
[...] Read more.
This study investigates the impact of leading-edge technology and a proactive learning culture on business performance in Qatari SMEs, emphasising the mediating role of adaptive resilience. Grounded in Dynamic Capabilities Theory, data from 343 SMEs were analysed using Partial Least Squares Structural Equation Modelling (PLS-SEM). The findings validated the model and demonstrated strong predictive power, explaining 59.5% of the variance in business performance and 46.9% of the variance in adaptive resilience. Both leading-edge technology and a proactive learning culture significantly enhance adaptive resilience, which in turn substantially influences business performance. Although these factors also have direct effects on performance, their indirect impact through adaptive resilience is more pronounced, positioning adaptive resilience as a critical mediator. The results advance theoretical understanding by identifying resilience as a strategic capability and provide practical guidance for SME leaders to integrate learning and technological adaptability into their core strategies. Future research should examine these dynamics longitudinally and across diverse economic settings.
Full article
(This article belongs to the Section Systems Practice in Social Science)
►▼
Show Figures

Figure 1
Open AccessArticle
Sustainability-Driven Digital Transformation and Customer Experience in Emerging Markets: The Interplay of Business Model Innovation and Value Co-Creation
by
Asad Abbas Jaffari, Asif Muzaffar, Saba Shaikh and Asad Hassan Butt
Systems 2026, 14(4), 390; https://doi.org/10.3390/systems14040390 - 3 Apr 2026
Abstract
Service industries are fast turning digital, and they are disrupting the manner in which firms organize and relate to their customers. Nevertheless, mechanisms that allow digital capabilities to be converted to better customer experience remain poorly understood, especially in the emerging economies. This
[...] Read more.
Service industries are fast turning digital, and they are disrupting the manner in which firms organize and relate to their customers. Nevertheless, mechanisms that allow digital capabilities to be converted to better customer experience remain poorly understood, especially in the emerging economies. This paper presents the dual-mediation model to investigate the effects of Digital Supply Chain Integration (DSCI) and capabilities of digital customer engagement (DCEC) on Customer Experience Outcomes (CXO) based on Sustainable Business Model Innovation (SBMI) and Customer Value Co-Creation (CVC) with references to Dynamic Capabilities Theory and Service-Dominant Logic. The data were collected by a cross-sectional survey of 360 managers of the banking, telecom, healthcare, and hospitality organizations in Pakistan and analyzed with the help of Partial Least Squares Structural Equation Modeling (PLS-SEM). The findings indicate that the customer experience is enhanced well beyond what is feasible alone by means of Sustainable Business Model Innovation due to the Digital Supply Chain Integration, whereas customer experience is enhanced by the Digital Customer Engagement Capabilities through Customer Value Co-Creation. The results also show that the mechanisms of co-creation have the largest impact on the outcome of customer experience. The research is an addition to the body of literature on digital transformation because it illustrates how digital integration, innovation that is focused on sustainability, and relational co-creation can collectively convert digital capabilities into experiential value. The results also provide practical factors that should be considered by service companies when embarking on digital transformation programs to align the programs with sustainability and customer engagement mechanisms.
Full article
(This article belongs to the Special Issue From Supply Chains to Customer Experience: Business Model Innovation in the Digital Era)
►▼
Show Figures

Figure 1
Open AccessArticle
Exploring Systems Theory in a Place-Based Preventive Health Project
by
Susan Banks, Miriam van den Berg, Robin Krabbe and Thérèse Murray
Systems 2026, 14(4), 389; https://doi.org/10.3390/systems14040389 - 2 Apr 2026
Abstract
Tasmania has some of Australia’s worst potentially preventable hospitalisation (PPH) rates linked to chronic illness. This means that people are living with increasing pain and incapacity. PPHs are also an unnecessary social and financial cost and signal a failure to address the drivers
[...] Read more.
Tasmania has some of Australia’s worst potentially preventable hospitalisation (PPH) rates linked to chronic illness. This means that people are living with increasing pain and incapacity. PPHs are also an unnecessary social and financial cost and signal a failure to address the drivers of chronic illness, disproportionally experienced by people with poor access to the social determinants of health. Systems thinking (ST) is increasingly being applied to understanding such problems and designing solutions from a whole system perspective. This case study describes a novel, exploratory application of ST tools in four communities with high chronic disease risk to better understand and develop place-based interventions in the prevention approach known as ‘Anticipatory Care’ (AC). With community members, recruited through four community bodies, we used causal loop diagrams (CLDs) to implement three of the WHO’s recommended steps to ST in health systems: collectively brainstorm, conceptualise effects, and adapt and redesign. Community stakeholders developed CLDs to understand the locally relevant AC system, determine boundaries and priorities, and identify barriers to and opportunities for change. Opportunities focused on the relationship between safe access, place, belonging, relationships and culture, health information, and health services. At the project’s end, a second set of CLDs identified indicators of changes to local AC systems. Given a ‘blank slate’ for chronic disease prevention, communities developed unique, place-based responses orientated towards strengthening resources, connections, and collaboration. We argue that ST can be used to support community understanding of the behaviour of the local chronic disease prevention system, surface the interdependence of system parts, and identify formerly unrecognised opportunities for and consequences of intervention. The impact of place-based approaches is constrained by structural forces, including policies, norms, institutions, and resourcing.
Full article
(This article belongs to the Special Issue Applying Systems Science to Place-Based Systems Change Efforts: Theoretical and Methodological Advances)
►▼
Show Figures

Figure 1
Highly Accessed Articles
Latest Books
E-Mail Alert
News
Topics
Topic in
AI, Applied Sciences, Systems, JTAER, Healthcare
Data Science and Intelligent Management
Topic Editors: Dongxiao Gu, Jiantong Zhang, Jia LiDeadline: 30 April 2026
Topic in
Actuators, Algorithms, BDCC, Future Internet, JMMP, Machines, Robotics, Systems
Smart Product Design and Manufacturing on Industrial Internet
Topic Editors: Pingyu Jiang, Jihong Liu, Ying Liu, Jihong YanDeadline: 30 June 2026
Topic in
Economies, Systems, Urban Science
Sustainability Efforts and Importance of Change Management, 2nd Edition
Topic Editors: Throstur Olaf Sigurjonsson, José Manuel Ruano de la FuenteDeadline: 23 July 2026
Topic in
Applied Sciences, Buildings, CivilEng, Infrastructures, Safety, Systems
Advancing Construction Safety and Health: Innovations and Strategies
Topic Editors: Hadi Sarvari, David J. Edwards, Timothy Olawumi, Frank GhansahDeadline: 15 August 2026
Special Issues
Special Issue in
Systems
Management and Simulation of Digitalized Smart Manufacturing Systems
Guest Editors: Mohammed M. Mabkhot, Pedro Ferreira, Dorota StadnickaDeadline: 10 April 2026
Special Issue in
Systems
Systems Approach to the Safety Aspects of Sustainable Transport Systems
Guest Editors: Mohammad Rajabalinejad, Nils RosmullerDeadline: 30 April 2026
Special Issue in
Systems
Generative AI Transformation in Education: Current Issues and Challenges
Guest Editors: Gila Kurtz, Antonella PoceDeadline: 30 April 2026
Special Issue in
Systems
Cognitive and Practical Perspectives on Resilience, Organization and Entangled Systems
Guest Editor: Rasmus Gahrn-AndersenDeadline: 30 April 2026
Topical Collections
Topical Collection in
Systems
Collected papers from ISSS
Collection Editors: Javier Calvo-Amodio, David Rousseau


