Effects of Protein Supplementation Strategy and Genotype on Milk Production and Nitrogen Utilisation Efficiency in Late-Lactation, Spring-Calving Grazing Dairy Cows
Abstract
Simple Summary
Abstract
1. Introduction
2. Materials and Methods
2.1. Animal Ethics
2.2. Cows, Treatments and Experimental Design
2.3. Grassland Management
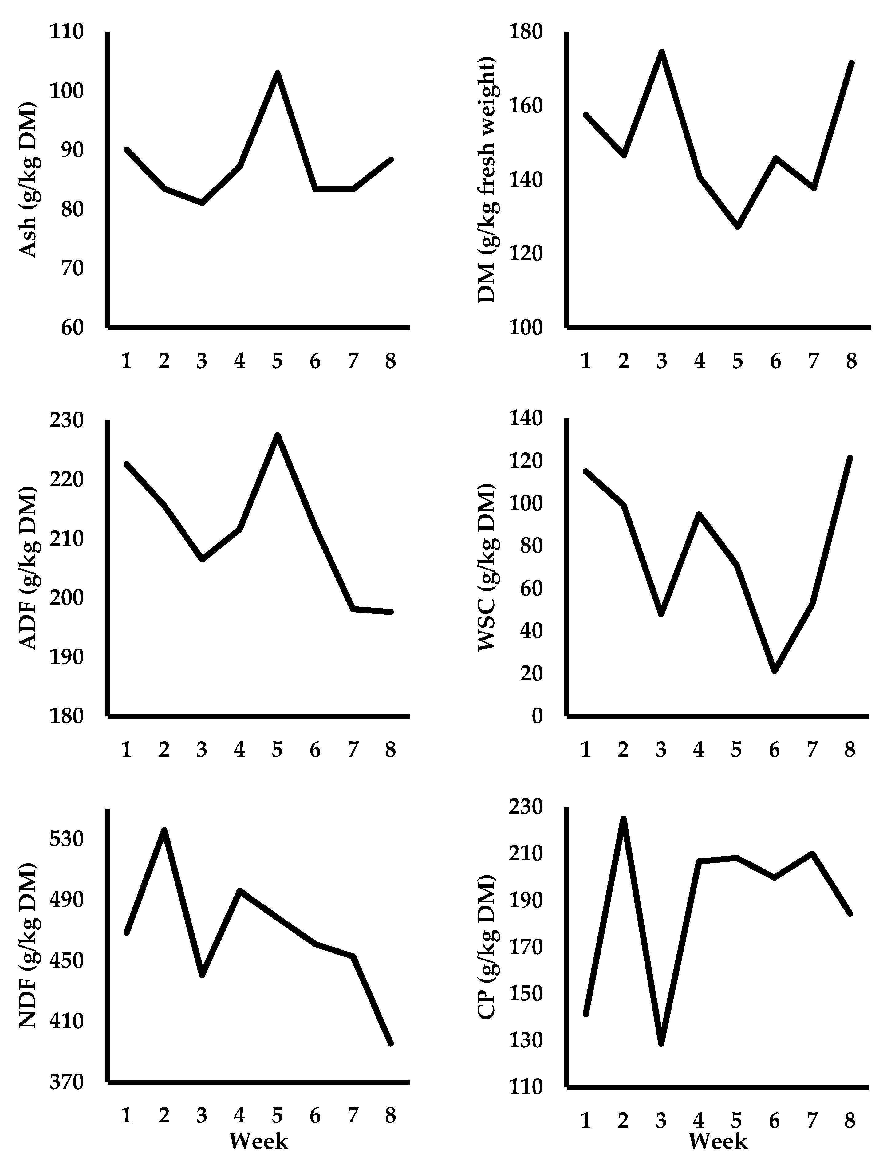
2.4. Data and Sample Collection
2.4.1. Herbage and Concentrate
2.4.2. Milk
2.4.3. Body Weight and Body Condition Score
2.4.4. Ruminal Fluid
2.4.5. Dry Matter Intake and Nitrogen Partitioning Study
2.5. Sample Analyses
2.5.1. Herbage, Concentrate and Faecal Sample Analysis
2.5.2. Milk Analysis
2.5.3. Ruminal Fluid Analysis
2.5.4. Dry Matter Intake and Nitrogen Partitioning Analysis
2.6. Statistical Analysis
- Yijk = ith cow in the jth treatment of the kth week;
- τj = fixed effect of treatment, where j = genotype (LM or HM) and PSS (LCP or HCP);
- xk = the fixed effect of week, where k = week 1–8;
- τXjk = the interaction of the jth treatment with the kth week;
- and εijk = residual error.
3. Results
3.1. Dry Matter Intake, Milk Production and Milk Composition (Table 3)
| Genotype | Lower Milk Genotype | Higher Milk Genotype | Significance | |||||
|---|---|---|---|---|---|---|---|---|
| PSS | LCP (n = 12) | HCP (n = 12) | LCP (n = 12) | HCP (n = 12) | SEM | Genotype | PSS | Interaction |
| Dry matter intake | ||||||||
| Herbage, kg/d | 15.67 a | 14.11 b | 15.37 a | 14.69 c | 0.148 | NS | <0.001 | <0.01 |
| Total, kg/d | 19.27 a | 17.71 b | 18.97 a | 18.29 c | 0.148 | NS | <0.001 | <0.01 |
| Milk production, kg/d | ||||||||
| Milk yield | 17.20 | 18.40 | 17.78 | 20.35 | 0.690 | NS | <0.01 | NS |
| Fat | 0.83 | 0.87 | 0.84 | 0.89 | 0.028 | NS | NS | NS |
| Protein | 0.70 | 0.75 | 0.71 | 0.79 | 0.023 | NS | <0.01 | NS |
| Casein | 0.54 | 0.59 | 0.56 | 0.63 | 0.018 | NS | <0.01 | NS |
| Fat + protein | 1.52 | 1.62 | 1.55 | 1.68 | 0.049 | NS | <0.05 | NS |
| Lactose | 0.74 | 0.79 | 0.76 | 0.87 | 0.030 | NS | <0.01 | NS |
| Milk composition, % | ||||||||
| Fat | 4.78 | 4.69 | 4.70 | 4.57 | 0.092 | NS | NS | NS |
| Protein | 4.05 | 4.11 | 4.02 | 4.04 | 0.043 | NS | NS | NS |
| Casein | 3.20 | 3.26 | 3.17 | 3.20 | 0.038 | NS | NS | NS |
| Lactose | 4.28 | 4.29 | 4.25 | 4.31 | 0.022 | NS | NS | NS |
| MUN, mg/dL milk 2 | 31 | 32 | 29 | 32 | 0.9 | NS | <0.05 | NS |
| SCC, × 103 cells/mL 3 | 88 | 74 | 81 | 71 | 10.9 | NS | NS | NS |
3.2. Ruminal Fermentation (Table 4)
| Genotype | Lower Milk Genotype | Higher Milk Genotype | Significance | |||||
|---|---|---|---|---|---|---|---|---|
| PSS | LCP (n = 12) | HCP (n = 12) | LCP (n = 12) | HCP (n = 12) | SEM | Genotype | PSS | Interaction |
| Ruminal pH | 6.66 | 6.62 | 6.64 | 6.55 | 0.046 | NS | NS | NS |
| Ruminal NH3-N, mmol/L | 4.76 | 5.09 | 5.01 | 5.28 | 0.222 | NS | NS | NS |
| VFA 1 | ||||||||
| Total VFA, mmol/L | 111.21 | 113.07 | 114.52 | 118.41 | 4.301 | NS | NS | NS |
| Acetic: propionic | 3.7 | 3.33 | 3.52 | 3.19 | 0.062 | <0.05 | <0.001 | NS |
| Acetic, mmol/L | 72.81 | 71.92 | 74.21 | 74.30 | 2.755 | NS | NS | NS |
| Propionic, mmol/L | 19.85 | 21.35 | 20.96 | 23.76 | 0.857 | <0.05 | <0.01 | NS |
| Butyric, mmol/L | 14.48 | 15.00 | 15.22 | 15.85 | 0.548 | NS | NS | NS |
| Isobutyric, mmol/L | 1.13 | 1.09 | 1.18 | 1.18 | 0.041 | NS | NS | NS |
| Valeric, mmol/L | 1.20 a | 1.27 a | 1.24 a | 1.54 b | 0.055 | <0.01 | <0.01 | <0.05 |
| Isovaleric, mmol/L | 1.50 | 1.51 | 1.50 | 1.65 | 0.092 | NS | NS | NS |
3.3. Nitrogen Partitioning (Table 5)
| Genotype | Lower Milk Genotype | Higher Milk Genotype | Significance | |||||
|---|---|---|---|---|---|---|---|---|
| PSS | LCP (n = 12) | HCP (n = 12) | LCP (n = 12) | HCP (n = 12) | SEM | Genotype | PSS | Interaction |
| Intake, kg/d | ||||||||
| Total feed N | 0.689 a | 0.658 b | 0.678 ac | 0.681 ac | 0.0058 | NS | <0.05 | <0.01 |
| Cow body weight, kg | 644 | 590 | 618 | 575 | 12.9 | NS | <0.001 | NS |
| Milk yield, kg/day | 19.45 | 21.30 | 20.35 | 22.19 | 0.919 | NS | NS | NS |
| N excreted, kg/d | ||||||||
| Milk | 0.131 | 0.131 | 0.132 | 0.132 | 0.0008 | NS | NS | NS |
| Faeces | 0.042 | 0.034 | 0.041 | 0.036 | 0.0023 | NS | <0.01 | NS |
| Urine | 0.504 | 0.509 | 0.503 | 0.508 | 0.0027 | NS | <0.05 | NS |
| N excreted as a proportion of total feed N intake, % 1 | ||||||||
| Milk | 0.195 | 0.195 | 0.196 | 0.197 | 0.0015 | NS | NS | NS |
| Faeces | 0.061 | 0.052 | 0.061 | 0.053 | 0.0032 | NS | <0.01 | NS |
| Urine | 0.744 | 0.751 | 0.743 | 0.750 | 0.0042 | NS | <0.05 | NS |
| N excreted, % 2 | 80.9 | 80.5 | 80.4 | 80.3 | 0.15 | NS | NS | NS |
4. Discussion
4.1. DMI, Milk Production and Milk Composition
4.2. Ruminal Fermentation
4.3. Nitrogen Partitioning
5. Conclusions
Author Contributions
Funding
Institutional Review Board Statement
Data Availability Statement
Acknowledgments
Conflicts of Interest
References
- Downey, L.; Doyle, P.T. Cow nutrition and dairy product manufacture-Implications of seasonal pasture-based milk production systems. Aust. J. Dairy Tech. 2007, 62, 3. [Google Scholar]
- Kennedy, E.; McEvoy, M.; Murphy, J.; O’Donovan, M. Effect of restricted access time to pasture on dairy cow milk production, grazing behavior, and dry matter intake. J. Dairy Sci. 2009, 92, 168–176. [Google Scholar] [CrossRef] [PubMed]
- O’Brien, B.; Crosse, S.; Dillon, P. Effects of offering a concentrate or silage supplement to grazing dairy cows in late lactation on animal performance and on milk processability. Ir. J. Agric. Food Res. 1996, 35, 113–125. [Google Scholar]
- McKay, Z.C.; Lynch, M.B.; Mulligan, F.J.; Rajauria, G.; Miller, C.; Pierce, K.M. The effect of concentrate supplementation type on milk production, dry matter intake, rumen fermentation, and nitrogen excretion in late-lactation, spring-calving grazing dairy cows. J. Dairy Sci. 2019, 102, 5042–5053. [Google Scholar] [CrossRef]
- Mackle, T.R.; Bryant, A.M.; Petch, S.F.; Hooper, R.J.; Auldist, M.J. Variation in the composition of milk protein from pasture-fed dairy cows in late lactation and the effect of grain and silage supplementation. N. Z. J. Agric. Res. 1999, 42, 147–154. [Google Scholar] [CrossRef]
- O’Neill, B.; Deighton, M.; O’Loughlin, B.; Galvin, N.; O’Donovan, M.; Lewis, E. The effects of supplementing grazing dairy cows with partial mixed ration on enteric methane emissions and milk production during mid to late lactation. J. Dairy Sci. 2012, 95, 6582–6590. [Google Scholar] [CrossRef]
- Patton, D.; Pierce, K.; Horan, B. Effect of stocking rate on milk and pasture productivity and supplementary feed use for spring calving pasture fed dairy systems. J. Dairy Sci. 2016, 99, 5904–5915. [Google Scholar] [CrossRef]
- Mulligan, F.; Dillon, P.; Callan, J.; Rath, M.; O’Mara, F. Supplementary concentrate type affects nitrogen excretion of grazing dairy cows. J. Dairy Sci. 2004, 87, 3451–3460. [Google Scholar] [CrossRef]
- Burke, F.; O’Donovan, M.; Murphy, J.; O’Mara, F.; Mulligan, F. Effect of pasture allowance and supplementation with maize silage and concentrates differing in crude protein concentration on milk production and nitrogen excretion by dairy cows. Livest. Sci. 2008, 114, 325–335. [Google Scholar] [CrossRef]
- Castillo, A. Improving Nitrogen Utilisation in dairy Cows. Ph.D. Thesis, University of Reading, Reading, UK, 2001. [Google Scholar]
- Tamminga, S. Nutrition Management of Dairy Cows as a Contribution to Pollution Control. J. Dairy Sci. 1992, 75, 345–357. [Google Scholar] [CrossRef]
- EPA Water Quality in 2020. An Indicators Report. Available online: https://www.epa.ie/publications/monitoring--assessment/freshwater--marine/EPA_Water_Quality_2020_indicators-report.pdf (accessed on 19 August 2021).
- Pakro, N.; Dillon, P. Preferential flow, nitrogen transformations and 15N balance under urine-affected areas of irrigated and non-irrigated clover-based pastures. J. Contam. Hydrol. 1995, 20, 329–347. [Google Scholar] [CrossRef]
- Varel, V.H.; Nienaber, J.A.; Freetly, H.C. Conservation of nitrogen in cattle feedlot waste with urease inhibitors. J. Anim. Sci. 1999, 77, 1162–1168. [Google Scholar] [CrossRef]
- Whelan, S.J.; Pierce, K.M.; McCarney, C.; Flynn, B.; Mulligan, F.J. Effect of supplementary concentrate type on nitrogen partitioning in early lactation dairy cows offered perennial ryegrass-based pasture. J. Dairy Sci. 2012, 95, 4468–4477. [Google Scholar] [CrossRef] [PubMed]
- Das, L.K.; Kundu, S.; Kumar, D.; Datt, C. Metabolizable protein systems in ruminant nutrition: A review. Vet. World 2014, 7, 622–629. [Google Scholar] [CrossRef]
- Murphy, J.J.; Bohane, D.C.; Fitzgerald, J.J.; Kavanagh, S.; O’Mara, F.P.; Evaluation and Refinement of the French Protein. System (PDI) under Irish Conditions. Available online: https://t-stor.teagasc.ie/bitstream/handle/11019/1344/EOPR%204940.pdf?sequence=3&isAllowed=y (accessed on 1 September 2021).
- Wattiaux, M.A. Predicted Transmitting Ability and Reliability; Babcock Institute for International Dairy Research and Development Dairy Essentials; London, UK, 2011; pp. 61–64. Available online: http://bizplan-uz.com/learning/course/?COURSE_ID=6&TYPE=Y#CH460 (accessed on 1 September 2021).
- Kennedy, J.; Dillon, P.; Delaby, L.; Faverdin, P.H.; Stakelum, G.; Rath, M. Effect of Genetic Merit and Concentrate Supplementation on Grass Intake and Milk Production with Holstein Friesian Dairy Cows. J. Dairy Sci. 2003, 86, 610–621. [Google Scholar] [CrossRef] [PubMed]
- Horan, B.; Faverdin, P.; Delaby, L.; Rath, M.; Dillon, P. The effect of strain of Holstein-Friesian dairy cow and pasture-based system on grass intake and milk production. Anim. Sci. 2006, 82, 435–444. [Google Scholar] [CrossRef]
- Cheng, L.; Woodward, S.; Dewhurst, R.; Zhou, H.; Edwards, G. Nitrogen partitioning, energy use efficiency and isotopic fractionation measurements from cows differing in genetic merit fed low-quality pasture in late lactation. Anim. Prod. Sci. 2014, 54, 1651–1656. [Google Scholar] [CrossRef]
- Whelan, S.J.; Pierce, K.M.; Flynn, B.; Mulligan, F.J. Effect of supplemental concentrate type on milk production and metabolic status in early-lactation dairy cows grazing perennial ryegrass-based pasture. J. Dairy Sci. 2012, 95, 4541–4549. [Google Scholar] [CrossRef]
- Edmonson, A.; Lean, I.; Weaver, L.; Farver, T.; Webster, G. A body condition scoring chart for Holstein dairy cows. J. Dairy Sci. 1989, 72, 68–78. [Google Scholar] [CrossRef]
- Dove, H.; Mayes, R.W. Protocol for the analysis of n-alkanes and other plant-wax compounds and for their use as markers for quantifying the nutrient supply of large mammalian herbivores. Nat. Protoc. 2006, 1, 1680. [Google Scholar] [CrossRef] [PubMed]
- AOAC. Moisture in animal feed. In Official Methods of Analysis, 18th ed.; Method number 960.15; AOAC International: Gaithersburg, MD, USA, 2005. [Google Scholar]
- AOAC. Ash in animal feed. In Official Methods of Analysis, 18th ed.; Method number 942.05; AOAC International: Gaithersburg, MD, USA, 2005. [Google Scholar]
- AOAC. Crude protein in animal feed. In Official Methods of Analysis, 18th ed.; Method number 990.03; AOAC International: Gaithersburg, MD, USA, 2005. [Google Scholar]
- Van Soest, P.J.; Robertson, J.B.; Lewis, B.A. Methods for dietary fiber, neutral detergent fiber, and nonstarch polysaccharides in relation to animal nutrition. J. Dairy Sci. 1991, 74, 3583–3597. [Google Scholar] [CrossRef] [PubMed]
- Dubois, M.; Gilles, K.A.; Hamilton, J.K.; Rebers, P.; Smith, F. Colorimetric method for determination of sugars and related substances. Anal. Chem. 1956, 28, 350–356. [Google Scholar] [CrossRef]
- Soyeurt, H.; Dardenne, P.; Dehareng, F.; Lognay, G.; Veselko, D.; Marlier, M.; Bertozzi, C.; Mayeres, P.; Gengler, N. Estimating fatty acid content in cow milk using mid-infrared spectrometry. J. Dairy Sci. 2006, 89, 3690–3695. [Google Scholar] [CrossRef] [PubMed]
- Mayes, R.; Lamb, C.; Colgrove, P.M. The use of dosed and herbage n-alkanes as markers for the determination of herbage intake. J. Agric. Sci. 1986, 107, 161–170. [Google Scholar] [CrossRef]
- Fahey, A.G.; Marchant-Forde, R.M.; Cheng, H.W. Relationship between body weight and beak characteristics in one-day-old white leghorn chicks: Its implications for beak trimming. Poultry Sci. 2007, 86, 1312–1315. [Google Scholar] [CrossRef]
- DAFM 2022 Nitrates Derogation Terms & Conditions. Available online: file:///C:/Users/UCD/Downloads/219208_7cf25a1b-fa06-44ee-b595-29dc9968744e.pdf (accessed on 18 May 2022).
- Hynes, D.; Stergiadis, S.; Gordon, A.; Yan, T. Effects of crude protein level in concentrate supplements on animal performance and nitrogen utilization of lactating dairy cows fed fresh-cut perennial grass. J. Dairy Sci. 2016, 99, 8111–8120. [Google Scholar] [CrossRef]
- Doran, M.J.; Mulligan, F.J.; Lynch, M.B.; Fahey, A.G.; Ryan, N.J.; McDonnell, C.; McCabe, S.; Pierce, K.M. Effect of supplement crude protein concentration on milk production over the main grazing season and on nitrogen excretion in late-lactation grazing dairy cows. J. Dairy Sci. 2021, 105, 347–360. [Google Scholar] [CrossRef]
- Kendall, C.; Leonardi, C.; Hoffman, P.; Combs, D. Intake and milk production of cows fed diets that differed in dietary neutral detergent fiber and neutral detergent fiber digestibility. J. Dairy Sci. 2009, 92, 313–323. [Google Scholar] [CrossRef] [PubMed]
- Vazquez, O.; Smith, T. Factors affecting pasture intake and total dry matter intake in grazing dairy cows. J. Dairy Sci. 2000, 83, 2301–2309. [Google Scholar] [CrossRef]
- Buckley, F.; Dillon, P.; Rath, M.; Veerkamp, R. The relationship between genetic merit for yield and live weight, condition score, and energy balance of spring calving Holstein Friesian dairy cows on grass based systems of milk production. J. Dairy Sci. 2000, 83, 1878–1886. [Google Scholar] [CrossRef]
- PennState Extension Soybeans and Soybean Byproducts for Dairy Cattle. Available online: https://extension.psu.edu/soybeans-and-soybean-byproducts-for-dairy-cattle (accessed on 4 January 2022).
- National Research Council. Nutrient Requirements of Dairy Cattle: 2001; National Academies Press: Cambridge, MA, USA, 2001. [Google Scholar]
- Savari, M.; Khorvash, M.; Amanlou, H.; Ghorbani, G.; Ghasemi, E.; Mirzaei, M. Effects of rumen-degradable protein: Rumen-undegradable protein ratio and corn processing on production performance, nitrogen efficiency, and feeding behavior of Holstein dairy cows. J. Dairy Sci. 2018, 101, 1111–1122. [Google Scholar] [CrossRef] [PubMed]
- DairyNZ Ryegrass as a Feed. Available online: https://www.dairynz.co.nz/feed/nutrition/ryegrass-as-a-feed/ (accessed on 4 January 2022).
- Jonker, J.; Kohn, R.; Erdman, R. Using milk urea nitrogen to predict nitrogen excretion and utilization efficiency in lactating dairy cows. J. Dairy Sci. 1998, 81, 2681–2692. [Google Scholar] [CrossRef]
- Nousiainen, J.; Shingfield, K.; Huhtanen, P. Evaluation of milk urea nitrogen as a diagnostic of protein feeding. J. Dairy Sci. 2004, 87, 386–398. [Google Scholar] [CrossRef] [PubMed]
- Barros, T.; Quaassdorff, M.; Aguerre, M.; Colmenero, J.O.; Bertics, S.; Crump, P.; Wattiaux, M. Effects of dietary crude protein concentration on late-lactation dairy cow performance and indicators of nitrogen utilization. J. Dairy Sci. 2017, 100, 5434–5448. [Google Scholar] [CrossRef] [PubMed]
- Doran, M.J.; Mulligan, F.J.; Lynch, M.B.; O’Sullivan, M.; Fahey, A.G.; McKay, Z.C.; Brady, E.L.; Grace, C.; O’Rourke, M.; Pierce, K.M. Effects of genotype and concentrate supplementation on milk composition and selected milk processability parameters in late-lactation spring-calving grazing dairy cows. Int. Dairy J. 2020, 114, 104942. [Google Scholar] [CrossRef]
- Katongole, C.B.; Yan, T. Effect of varying dietary crude protein level on feed intake, nutrient digestibility, milk production, and nitrogen use efficiency by lactating Holstein-Friesian cows. Animals 2020, 10, 2439. [Google Scholar] [CrossRef]
- Coffey, E.; Delaby, L.; Fitzgerald, S.; Galvin, N.; Pierce, K.; Horan, B. Effect of stocking rate and animal genotype on dry matter intake, milk production, body weight, and body condition score in spring-calving, grass-fed dairy cows. J. Dairy Sci. 2017, 100, 7556–7568. [Google Scholar] [CrossRef]
- O’Sullivan, M.; Horan, B.; Pierce, K.; McParland, S.; O’Sullivan, K.; Buckley, F. Milk production of Holstein-Friesian cows of divergent Economic Breeding Index evaluated under seasonal pasture-based management. J. Dairy Sci. 2019, 102, 2560–2577. [Google Scholar] [CrossRef]
- Brady, E.; Pierce, K.; Lynch, M.; Fahey, A.; Mulligan, F. The effect of nutritional management in early lactation and dairy cow genotype on milk production, metabolic status, and uterine recovery in a pasture-based system. J. Dairy Sci. 2021, 104, 5522–5538. [Google Scholar] [CrossRef]
- Aschenbach, J.R.; Kristensen, N.B.; Donkin, S.S.; Hammon, H.M.; Penner, G.B. Gluconeogenesis in dairy cows: The secret of making sweet milk from sour dough. IUBMB Life 2010, 62, 869–877. [Google Scholar] [CrossRef]
- Lin, Y.; Sun, X.; Hou, X.; Qu, B.; Gao, X.; Li, Q. Effects of glucose on lactose synthesis in mammary epithelial cells from dairy cow. BMC Vet. Res. 2016, 12, 81. [Google Scholar] [CrossRef] [PubMed]
- Andries, J.; Buysse, F.; De Brabander, D.; Cottyn, B. Isoacids in ruminant nutrition: Their role in ruminal and intermediary metabolism and possible influences on performances—A review. Anim. Feed Sci. Technol. 1987, 18, 169–180. [Google Scholar] [CrossRef]
- Rulquin, H.; Delaby, L. Effects of the energy balance of dairy cows on lactational responses to rumen-protected methionine. J. Dairy Sci. 1997, 80, 2513–2522. [Google Scholar] [CrossRef] [PubMed]
- Cromwell, G.L. Soybean meal-the” gold standard. Farmer’s Pride KPPA News 1999, 11, 1–15. [Google Scholar]
- Reid, M.; O’Donovan, M.; Murphy, J.P.; Fleming, C.; Kennedy, E.; Lewis, E. The effect of high and low levels of supplementation on milk production, nitrogen utilization efficiency, and milk protein fractions in late-lactation dairy cows. J. Dairy Sci. 2015, 98, 5529–5544. [Google Scholar] [CrossRef]
- Keim, J.P.; Anrique, R. Nutritional strategies to improve nitrogen use efficiency by grazing dairy cows. Chil. J. Agric. Res. 2011, 71, 623–633. [Google Scholar] [CrossRef]
- Parsons, A.J.; Edwards, G.R.; Newton, P.C.D.; Chapman, D.F.; Caradus, J.R.; Rasmussen, S.; Rowarth, J.S. Past lessons and future prospects: Plant breeding for yield and persistence in cool-temperate pastures. Grass Forage Sci. 2011, 66, 153–172. [Google Scholar] [CrossRef]





| Item | Lower Milk Genotype | National Percentile | Higher Milk Genotype | National Percentile |
|---|---|---|---|---|
| Genetic parameter | ||||
| Milk kg | −60 | Bottom 20% | 130 | Top 20% |
| Fat kg | 6 | Top 40% | 10 | Top 5% |
| Protein kg | 3 | Bottom 40% | 7 | Top 10% |
| Fat % | 0.13 | Top 5% | 0.08 | Top 20% |
| Protein % | 0.08 | Top 5% | 0.06 | Top 10% |
| Item | LCP 1 | HCP 2 | Herbage |
|---|---|---|---|
| Chemical composition, g/kg dry matter unless stated 3 | |||
| Dry matter, g/kg | 866 | 869 | 156 |
| Ash | 124 | 84 | 88 |
| Crude protein | 137 | 188 | 201 |
| Neutral detergent fibre | 212 | 192 | 498 |
| Acid detergent fibre | 136 | 109 | 223 |
| Water soluble carbohydrates | - | - | 83 |
| Ether extract | 29 | 35 | 42 |
| Starch | 260 | 269 | - |
| Ingredient inclusion level of concentrates, g/kg 4 | |||
| Barley | 221 | 225 | |
| Maize | 234 | 231 | |
| Maize distiller grain with solubles | - | 100 | |
| Sugar beet pulp pellets 8 mm | 227 | 40 | |
| Soyabean meal | - | 220 | |
| Soya hulls | 50 | 50 | |
| Soyabean oil | 9 | 9 | |
| SoyPass® 5 | 125 | - | |
| Palm oil blend | 6 | 6 | |
| Monocalcium diphosphate | 23 | 16 | |
| Sugarcane molasses | 45 | 45 | |
| Calcium carbonate | 13 | 16 | |
| Sodium chloride | 18 | 18 | |
| Magnesium oxide | 16 | 15 | |
| Gain cattle premix 6 | 6 | 6 | |
| Metabolisable protein, g/kg 7 | |||
| PDIE 8 | 115 | 115 | 85 |
| PDIN 9 | 94 | 128 | 151 |
| PDIA 10 | 61 | 63 | 54 |
Disclaimer/Publisher’s Note: The statements, opinions and data contained in all publications are solely those of the individual author(s) and contributor(s) and not of MDPI and/or the editor(s). MDPI and/or the editor(s) disclaim responsibility for any injury to people or property resulting from any ideas, methods, instructions or products referred to in the content. |
© 2023 by the authors. Licensee MDPI, Basel, Switzerland. This article is an open access article distributed under the terms and conditions of the Creative Commons Attribution (CC BY) license (https://creativecommons.org/licenses/by/4.0/).
Share and Cite
Doran, M.J.; Mulligan, F.J.; Lynch, M.B.; Fahey, A.G.; Markiewicz-Keszycka, M.; Rajauria, G.; Pierce, K.M. Effects of Protein Supplementation Strategy and Genotype on Milk Production and Nitrogen Utilisation Efficiency in Late-Lactation, Spring-Calving Grazing Dairy Cows. Animals 2023, 13, 570. https://doi.org/10.3390/ani13040570
Doran MJ, Mulligan FJ, Lynch MB, Fahey AG, Markiewicz-Keszycka M, Rajauria G, Pierce KM. Effects of Protein Supplementation Strategy and Genotype on Milk Production and Nitrogen Utilisation Efficiency in Late-Lactation, Spring-Calving Grazing Dairy Cows. Animals. 2023; 13(4):570. https://doi.org/10.3390/ani13040570
Chicago/Turabian StyleDoran, M. J., Finbar J. Mulligan, Mary B. Lynch, Alan G. Fahey, Maria Markiewicz-Keszycka, Gaurav Rajauria, and Karina M. Pierce. 2023. "Effects of Protein Supplementation Strategy and Genotype on Milk Production and Nitrogen Utilisation Efficiency in Late-Lactation, Spring-Calving Grazing Dairy Cows" Animals 13, no. 4: 570. https://doi.org/10.3390/ani13040570
APA StyleDoran, M. J., Mulligan, F. J., Lynch, M. B., Fahey, A. G., Markiewicz-Keszycka, M., Rajauria, G., & Pierce, K. M. (2023). Effects of Protein Supplementation Strategy and Genotype on Milk Production and Nitrogen Utilisation Efficiency in Late-Lactation, Spring-Calving Grazing Dairy Cows. Animals, 13(4), 570. https://doi.org/10.3390/ani13040570

