The SU(3)C × SU(3)L × U(1)X (331) Model: Addressing the Fermion Families Problem within Horizontal Anomalies Cancellation
Abstract
1. Introduction
2. The Particle Content of the Minimal 331 Model
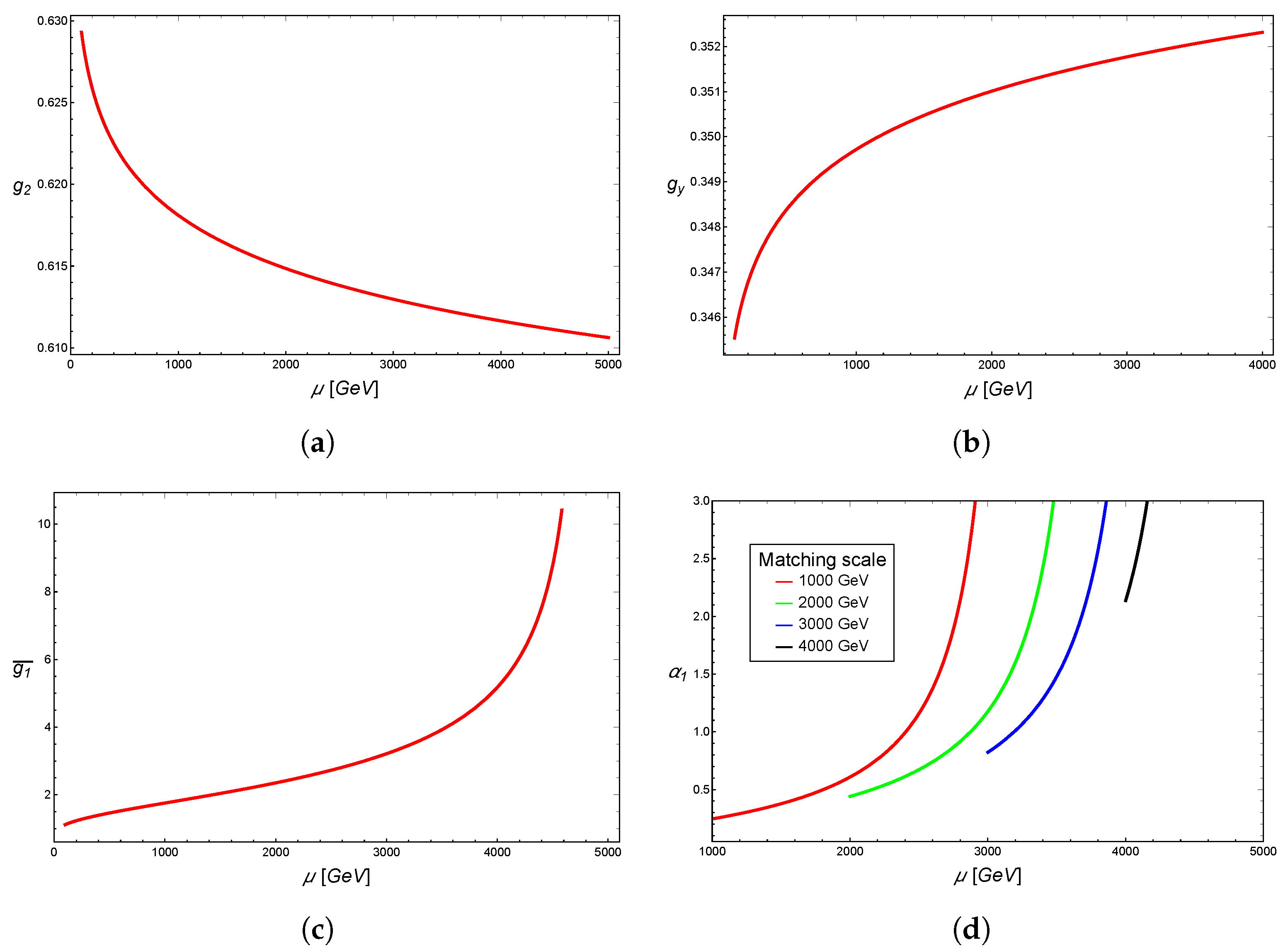
3. Cross-Family Anomaly Cancellation and the Flavor Question
4. Spontaneous Symmetry Breaking
4.1. The Breaking
4.2. The Breaking
5. Higgs Sector
6. The Yukawa Sector
6.1. The Triplet Sector
6.2. The Sextet Yukawa Coupling
6.3. Lepton Mass Matrices
7. Flavor Physics in the Minimal 331 Model
7.1. Quark Sector
7.2. Lepton Sector
8. Conclusions
Author Contributions
Funding
Acknowledgments
Conflicts of Interest
Appendix A. Rotations for the Determination of the Mass Eigenstates
- Mass matrix of the scalar sector, Basis:This matrix is diagonalized bywith
- Mass matrix of the pseudoscalar sector, Basis:The gauge fixing contributions arewhere is the rotation matrix that diagonalize the mass of the neutral gauge boson components in the basis, which is given by the following matrixThe matrix (A16) is diagonalized by the matrixwith
- Mass matrix for Charged Higgs, Basis:The gauge fixing contributions areThis matrix is diagonalized bywith
- Mass matrix for Doubly Charged Higgs, Basis:The gauge fixing contributions areThis matrix is diagonalized bywith
References
- Frampton, P.H. Chiral dilepton model and the flavor question. Phys. Rev. Lett. 1992, 69, 2889–2891. [Google Scholar] [CrossRef]
- Pisano, F.; Pleitez, V. SU(3) × U(1) model for electroweak interactions. Phys. Rev. D 1992, 46, 410–417. [Google Scholar] [CrossRef] [PubMed]
- Singer, M.; Valle, J.W.F.; Schechter, J. Canonical neutral-current predictions from the weak-electromagnetic gauge group SU(3)×U(1). Phys. Rev. D 1980, 22, 738–743. [Google Scholar] [CrossRef]
- Corianò, C.; Frampton, P.H.; Melle, D.; Kephart, T.W.; Yuan, T.C. An SU(15) approach to bifermion classification. Mod. Phys. Lett. A 2023, 38, 2350124. [Google Scholar] [CrossRef]
- Martínez, R.; Ochoa, F. The Landau pole and Z’ decays in the 331 dilepton model. Eur. Phys. J. C 2007, 51, 701–711. [Google Scholar] [CrossRef]
- Barela, M.W. On the 3-3-1 Landau pole. Nucl. Phys. B 2024, 1000, 116475. [Google Scholar] [CrossRef]
- Tully, M.B.; Joshi, G.C. The scalar sector in 331 models. Int. J. Mod. Phys. A 2003, 18, 1573–1586. [Google Scholar] [CrossRef]
- Fonseca, R.M.; Hirsch, M. Lepton number violation in 331 models. Phys. Rev. D 2016, 94, 115003. [Google Scholar] [CrossRef]
- Costantini, A.; Ghezzi, M.; Pruna, G.M. Theoretical constraints on the Higgs potential of the general 331 model. Phys. Lett. B 2020, 808, 135638. [Google Scholar] [CrossRef]
- Dorsch, G.C.; Louzi, A.A.; Sánchez-Vega, B.L.; Viglioni, A. Vacuum Stability in the one-loop approximation of a 331 Model. arXiv 2024, arXiv:2402.00155. [Google Scholar] [CrossRef]
- Foot, R.; Long, H.N.; Tran, T.A. SU(3)L⊗U(1)N and SU(4)L⊗U(1)N gauge models with right-handed neutrinos. Phys. Rev. D 1994, 50, R34–R38. [Google Scholar] [CrossRef] [PubMed]
- Ponce, W.A.; Flórez, J.B.; Sánchez, L.A. Analysis of SU(3)C⊗SU(3)L⊗U(1)X local gauge theory. Int. J. Mod. Phys. A 2002, 17, 643–659. [Google Scholar] [CrossRef]
- Tully, M.B.; Joshi, G.C. Generating neutrino mass in the 3-3-1 model. Phys. Rev. D 2001, 64, 011301. [Google Scholar] [CrossRef]
- Cao, Q.H.; Liu, Y.; Xie, K.P.; Yan, B.; Zhang, D.M. Diphoton excess, low energy theorem, and the 331 model. Phys. Rev. D 2016, 93, 075030. [Google Scholar] [CrossRef]
- Buras, A.J.; De Fazio, F.; Girrbach, J.; Carlucci, M.V. The anatomy of quark flavour observables in 331 models in the flavour precision era. J. High Energy Phys. 2013, 2013, 23. [Google Scholar] [CrossRef]
- Corcella, G.; Corianò, C.; Costantini, A.; Frampton, P.H. Exploring scalar and vector bileptons at the LHC in a 331 model. Phys. Lett. B 2018, 785, 73–83. [Google Scholar] [CrossRef]
- Corcella, G.; Corianò, C.; Costantini, A.; Frampton, P.H. Bilepton signatures at the LHC. Phys. Lett. B 2017, 773, 544–552. [Google Scholar] [CrossRef]
- Corcella, G.; Corianò, C.; Costantini, A.; Frampton, P.H. Non-leptonic decays of bileptons. Phys. Lett. B 2022, 826, 136904. [Google Scholar] [CrossRef]
- Corcella, G.; Costantini, A.; Ghezzi, M.; Panizzi, L.; Pruna, G.M.; Šalko, J. Vector-like quarks decaying into singly and doubly charged bosons at LHC. J. High Energy Phys. 2021, 2021, 108. [Google Scholar] [CrossRef]
- Calabrese, R.; Iorio, A.O.M.; Morisi, S.; Ricciardi, G.; Vignaroli, N. 331 Models and Bilepton Searches at LHC. arXiv 2024, arXiv:2312.02287. [Google Scholar] [CrossRef]
- Tonasse, M.D. Decay properties of a class of doubly charged Higgs bosons. Phys. Lett. B 2012, 718, 86–93. [Google Scholar] [CrossRef]
- Mühlleitner, M.; Spira, M. Note on doubly charged Higgs boson pair production at hadron colliders. Phys. Rev. D 2003, 68, 117701. [Google Scholar] [CrossRef]
- Pleitez, V. Challenges for the 3-3-1 models. arXiv 2022, arXiv:2112.10888. [Google Scholar] [CrossRef]
- Machado, A.C.B.; Montero, J.C.; Pleitez, V. Flavor-changing neutral currents in the minimal 3-3-1 model revisited. Phys. Rev. D 2013, 88, 113002. [Google Scholar] [CrossRef]
- Promberger, C.; Schatt, S.; Schwab, F. Flavor-changing neutral current effects and CP violation in the minimal 3-3-1 model. Phys. Rev. D 2007, 75, 115007. [Google Scholar] [CrossRef]
- Machado, A.C.B.; Montaño, J.; Pleitez, V. Lepton flavor violating processes in the minimal 3-3-1 model with sterile neutrinos. J. Phys. Nucl. Part. Phys. 2019, 46, 115005. [Google Scholar] [CrossRef]
- Gómez Dumm, D. Leptophobic character of the Z’ in an SU(3)C ×SU(3)L × U(1)X model. Phys. Lett. B 1997, 411, 313–320. [Google Scholar] [CrossRef]
- Staub, F. Automatic Calculation of supersymmetric Renormalization Group Equations and Self Energies. Comput. Phys. Commun. 2011, 182, 808–833. [Google Scholar] [CrossRef]
- Staub, F. SARAH 4: A tool for (not only SUSY) model builders. Comput. Phys. Commun. 2014, 185, 1773–1790. [Google Scholar] [CrossRef]

| 0 | |||
| 0 | |||
| 0 | |||
| 0 | |||
| 1 | |||
| 0 | |||
| 0 |
| Anomaly | |
|---|---|
| Equal number of 3L and L representations | |
Disclaimer/Publisher’s Note: The statements, opinions and data contained in all publications are solely those of the individual author(s) and contributor(s) and not of MDPI and/or the editor(s). MDPI and/or the editor(s) disclaim responsibility for any injury to people or property resulting from any ideas, methods, instructions or products referred to in the content. |
© 2024 by the authors. Licensee MDPI, Basel, Switzerland. This article is an open access article distributed under the terms and conditions of the Creative Commons Attribution (CC BY) license (https://creativecommons.org/licenses/by/4.0/).
Share and Cite
Corianò, C.; Melle, D. The SU(3)C × SU(3)L × U(1)X (331) Model: Addressing the Fermion Families Problem within Horizontal Anomalies Cancellation. Entropy 2024, 26, 420. https://doi.org/10.3390/e26050420
Corianò C, Melle D. The SU(3)C × SU(3)L × U(1)X (331) Model: Addressing the Fermion Families Problem within Horizontal Anomalies Cancellation. Entropy. 2024; 26(5):420. https://doi.org/10.3390/e26050420
Chicago/Turabian StyleCorianò, Claudio, and Dario Melle. 2024. "The SU(3)C × SU(3)L × U(1)X (331) Model: Addressing the Fermion Families Problem within Horizontal Anomalies Cancellation" Entropy 26, no. 5: 420. https://doi.org/10.3390/e26050420
APA StyleCorianò, C., & Melle, D. (2024). The SU(3)C × SU(3)L × U(1)X (331) Model: Addressing the Fermion Families Problem within Horizontal Anomalies Cancellation. Entropy, 26(5), 420. https://doi.org/10.3390/e26050420

