Recent Advances on Natural Aryl-C-glycoside Scaffolds: Structure, Bioactivities, and Synthesis—A Comprehensive Review
Abstract
1. Introduction
2. Structures
2.1. Flavonoid C-Glycosides
2.1.1. Flavonoid C-Glucosides
2.1.2. Flavonoid C-Galactosides, C-Arabinosides, C-Xylosides, C-Mannosides, C-Fucosides, C-Boivinosides, and C-Riboside
2.2. Other Flavonoid C-Glycosides
2.3. Xanthone C-Glycosides
2.4. Phenyl C-Glycosides
2.5. Heteroaryl C-Glycosides
2.6. Other Aryl-C-Glycosides
3. Pharmacological Activity
3.1. Anticancer Activity
3.2. Anti-Inflammatory Activity
3.3. Antioxidant Activity
3.4. Antiviral Activity
3.5. Glycation Inhibitory Activity
3.6. Other Pharmacological Effects
4. Synthesis
4.1. C-Glycosylation of Arenes and De Novo Construction of the Aromatic Moiety
4.2. De Novo Construction of the Sugar Moiety
5. Conclusions and Perspectives
Funding
Institutional Review Board Statement
Informed Consent Statement
Acknowledgments
Conflicts of Interest
References
- Levy, D.E.; Tang, C. The Chemistry of C-Glycosides; Pergamon: Tarrytown, NY, USA, 1995. [Google Scholar]
- Pałasz, A.; Cież, D.; Trzewik, B.; Miszczak, K.; Tynor, G.; Bazan, B. In the Search of Glycoside-Based Molecules as Antidiabetic Agents. Top. Curr. Chem. 2019, 37, 19. [Google Scholar] [CrossRef] [PubMed]
- Bokor, É.; Kun, S.; Goyard, D.; Tóth, M.; Praly, J.-P.; Vidal, S.; Somsák, L. C-Glycopyranosyl Arenes and Hetarenes: Synthetic Methods and Bioactivity Focused on Antidiabetic Potential. Chem. Rev. 2017, 117, 1687–1764. [Google Scholar] [CrossRef] [PubMed]
- Sezaki, M.; Kondo, S.; Maeda, K.; Umezawa, H.; Ohno, M. The structure of aquayamycin. Tetrahedron 1970, 26, 5171–5190. [Google Scholar] [CrossRef]
- Bililign, T.; Griffith, B.R.; Thorson, J.S. Structure, activity, synthesis and biosynthesis of aryl-C-glycosides. Nat. Prod. Rep. 2005, 22, 742–760. [Google Scholar] [CrossRef]
- Kharel, M.K.; Pahari, P.; Shepherd, M.D.; Tibrewal, N.; Nybo, S.E.; Shaaban, K.A.; Rohr, J. Angucyclines: Biosynthesis, mode-of-action, new natural products, and synthesis. Nat. Prod. Rep. 2012, 29, 264–325. [Google Scholar] [CrossRef]
- Bajracharya, G.B. Diversity, pharmacology and synthesis of bergenin and its derivatives: Potential materials for therapeutic usages. Fitoterapia 2015, 101, 133–152. [Google Scholar] [CrossRef] [PubMed]
- Kitamura, K.; Ando, Y.; Matsumoto, T.; Suzuki, K. Total Synthesis of Aryl C-Glycoside Natural Products: Strategies and Tactics. Chem. Rev. 2018, 118, 1495–1598. [Google Scholar] [CrossRef]
- Lee, S.-S.; Lin, Y.-S.; Chen, C.-K. Three Adducts of Butenolide and Apigenin Glycoside from the Leaves of Machilus japonica. J. Nat. Prod. 2009, 72, 1249–1252. [Google Scholar] [CrossRef]
- Chen, W.; Zhang, H.; Wang, J.; Hu, X. Flavonoid Glycosides from the Bulbs of Lilium speciosum var. gloriosoides and their Potential Antiviral Activity Against RSV. Chem. Nat. Compd. 2019, 55, 461–464. [Google Scholar]
- Bai, H.-H.; Wang, N.-N.; Mi, J.; Yang, T.; Fang, D.-M.; Wu, L.-W.; Zhao, H.; Li, G.-Y. Hydroxycinnamoylmalated flavone C-glycosides from Lemna japonica. Fitoterapia 2018, 124, 211–216. [Google Scholar] [CrossRef]
- Jiang, X.-L.; Wang, L.; Wang, E.-J.; Zhang, G.-L.; Chen, B.; Wang, M.-K.; Li, F. Flavonoid glycosides and alkaloids from the embryos of Nelumbo nucifera seeds and their antioxidant activity. Fitoterapia 2018, 125, 184–190. [Google Scholar] [CrossRef] [PubMed]
- Wu, Q.-X.; Li, Y.; Shi, Y.-P. Antioxidant phenolic glucosides from Gentiana piasezkii. J. Asian Nat. Prod. Res. 2006, 8, 391–396. [Google Scholar] [CrossRef] [PubMed]
- Liu, J.-Y.; Li, S.-Y.; Feng, J.-Y.; Sun, Y.; Cai, J.-N.; Sun, X.-F.; Yang, S.-L. Flavone C-glycosides from the flowers of Trollius chinensis and their anti-complementary activity. J. Asian Nat. Prod. Res. 2013, 15, 325–331. [Google Scholar] [CrossRef] [PubMed]
- Zhou, Z.; Zhang, T.; Xiao, H.; Zhou, X.; Wu, H. A New C-Glycosylflavone from the Rhizomes of Cyperus rotundus. Chem. Nat. Compd. 2015, 51, 640–642. [Google Scholar] [CrossRef]
- Hsieh, P.-W.; Chang, F.-R.; Lee, K.-H.; Hwang, T.-L.; Chang, S.-M.; Wu, Y.-C. A New Anti-HIV Alkaloid, Drymaritin, and a New C-Glycoside Flavonoid, Diandraflavone, from Drymaria diandra. J. Nat. Prod. 2004, 67, 1175–1177. [Google Scholar] [CrossRef]
- Qiu, L.; Jiao, Y.; Xie, J.-Z.; Huang, G.-K.; Qiu, S.-L.; Miao, J.-H.; Yao, X.-S. Five new flavonoid glycosides from Nervilia fordii. J. Asian Nat. Prod. Res. 2013, 15, 589–599. [Google Scholar] [CrossRef]
- Iwao, Y.; Ishida, H.; Kimura, S.I.; Wakimoto, T.; Kondo, H.; Itai, S.; Noguchic, S. Crystal Structures of Flavone C-Glycosides from Oolong Tea Leaves: Chafuroside A Dihydrate and Chafuroside B Monohydrate. Chem. Pharm. Bull. 2019, 67, 935–939. [Google Scholar] [CrossRef]
- Suzuki, R.; Okada, Y.; Okuyama, T. A New Flavone C-Glycoside from the Style of Zea mays L. with Glycation Inhibitory Activity. Chem. Pharm. Bull. 2003, 51, 1186–1188. [Google Scholar] [CrossRef]
- Suzuki, R.; Okada, Y.; Okuyama, T. Two Flavone C-Glycosides from the Style of Zea mays with Glycation Inhibitory Activity. J. Nat. Prod. 2003, 66, 564–565. [Google Scholar] [CrossRef]
- Li, C.-J.; Yang, J.-Z.; Yu, S.-S.; Zhao, C.-Y.; Peng, Y.; Wang, X.-L.; Zhang, D.-M. Glomexanthones A-C, three xanthonolignoid C-glycosides from Polygala glomerata Lour. Fitoterapia 2014, 93, 175–181. [Google Scholar]
- Faizi, S.; Zikr-ur-Rehman, S.; Naz, A.; Versiani, M.A.; Dar, A.; Naqvi, S. Bioassay-guided studies on Bombax ceiba leaf extract: Isolation of shamimoside, a new antioxidant xanthone C-glucoside. Chem. Nat. Compd. 2012, 48, 774–779. [Google Scholar] [CrossRef]
- Du, X.-G.; Wang, W.; Zhang, S.-P.; Pu, X.-P.; Zhang, Q.-Y.; Ye, M.; Zhao, Y.-Y.; Wang, B.-R.; Khan, I.A.; Guo, D.-A. Neuroprotective Xanthone Glycosides from Swertia punicea. J. Nat. Prod. 2010, 73, 1422–1426. [Google Scholar] [CrossRef] [PubMed]
- Ming, M.; Zhang, X.; Chen, H.-F.; Zhu, L.-J.; Zeng, D.-Q.; Yang, J.; Wu, G.-X.; Wu, Y.-Z.; Yao, X.-S. RXR alpha transcriptional inhibitors from the stems of Calophyllum membranaceum. Fitoterapia 2016, 108, 66–72. [Google Scholar] [CrossRef] [PubMed]
- Perlatti, B.; Lan, N.; Earp, C.E.; AghaAmiri, S.; Vargas, S.H.; Azhdarinia, A.; Bills, G.F.; Gloer, J.B. Arenicolins: C-Glycosylated Depsides from Penicillium arenicola. J. Nat. Prod. 2020, 83, 668–674. [Google Scholar] [CrossRef]
- Lee, B.-W.; Park, J.-G.; Ha, T.K.Q.; Pham, H.T.T.; An, J.-P.; Noh, J.-R.; Lee, C.-H.; Oh, W.-K. Constituents of the Edible Leaves of Melicope pteleifolia with Potential Analgesic Activity. J. Nat. Prod. 2019, 82, 2201–2210. [Google Scholar] [CrossRef]
- Dat, N.T.; Bae, K.; Wamiru, A.; McMahon, J.B.; Grice, S.F.J.L.; Bona, M.; Beutler, J.A.; Kim, Y.H. A Dimeric Lactone from Ardisia japonica with Inhibitory Activity for HIV-1 and HIV-2 Ribonuclease H. J. Nat. Prod. 2007, 70, 839–841. [Google Scholar] [CrossRef]
- Ito, H.; Kasajima, N.; Tokuda, H.; Nishino, H.; Yoshida, T. Dimeric Flavonol Glycoside and Galloylated C-Glucosylchromones from Kunzea ambigua. J. Nat. Prod. 2004, 67, 411–415. [Google Scholar] [CrossRef]
- Zhang, D.; Li, Y.; Li, X.; Han, X.; Wang, Z.; Zhang, W.; Dou, B.; Lu, Z.; Li, P.; Li, G. Neopetrosins A–D and Haliclorensin D, Indole-C-Mannopyranosides and a Diamine Alkaloid Isolated from the South China Sea Marine Sponge Neopetrosia chaliniformis. J. Nat. Prod. 2022, 85, 1626–1633. [Google Scholar] [CrossRef]
- Harunari, E.; Imada, C.; Igarashi, Y. Konamycins A and B and Rubromycins CA1 and CA2, Aromatic Polyketides from the Tunicate-Derived Streptomyces hyaluromycini MB-PO13T. J. Nat. Prod. 2019, 82, 1609–1615. [Google Scholar] [CrossRef]
- Chang, Y.; Xing, L.; Sun, C.; Liang, S.; Liu, T.; Zhang, X.; Zhu, T.; Pfeifer, B.A.; Che, Q.; Zhang, G.; et al. Monacycliones G–K and ent-Gephyromycin A, Angucycline Derivatives from the Marine-Derived Streptomyces sp. HDN15129. J. Nat. Prod. 2020, 83, 2749–2755. [Google Scholar] [CrossRef]
- Martin, G.D.A.; Tan, L.T.; Jensen, P.R.; Dimayuga, R.E.; Fairchild, C.R.; Raventos-Suarez, C.; Fenical, W. Marmycins A and B, Cytotoxic Pentacyclic C-Glycosides from a Marine Sediment-Derived Actinomycete Related to the Genus Streptomyces. J. Nat. Prod. 2007, 70, 1406–1409. [Google Scholar] [CrossRef] [PubMed]
- Shen, C.-C.; Cheng, J.-J.; Lay, H.-L.; Wu, S.-Y.; Ni, C.-L.; Teng, C.-M.; Chen, C.-C. Cytotoxic Apigenin Derivatives from Chrysopogon aciculatis. J. Nat. Prod. 2012, 75, 198–201. [Google Scholar] [CrossRef] [PubMed]
- Syed, A.S.; Akram, M.; Bae, O.-N.; Kim, C.Y. Isocassiaoccidentalin B, A New C-Glycosyl Flavone Containing a 3-Keto Sugar, and Other Constituents from Cassia nomame. Helv. Chim. Acta 2016, 99, 691–695. [Google Scholar] [CrossRef]
- Huang, H.; Yang, T.; Ren, X.; Liu, J.; Song, Y.; Sun, A.; Ma, J.; Wang, B.; Zhang, Y.; Huang, C.; et al. Cytotoxic Angucycline Class Glycosides from the Deep-Sea Actinomycete Streptomyces lusitanus SCSIO LR32. J. Nat. Prod. 2012, 75, 202–208. [Google Scholar] [CrossRef] [PubMed]
- Song, Y.; Liu, G.; Li, J.; Huang, H.; Zhang, X.; Zhang, H.; Ju, J. Cytotoxic and Antibacterial Angucycline- and Prodigiosin- Analogues from the Deep-Sea Derived Streptomyces sp. SCSIO 11594. Mar. Drugs 2015, 13, 1304–1316. [Google Scholar] [CrossRef] [PubMed]
- McNally, D.J.; Wurms, K.V.; Labbé, C.; Quideau, S.; Bélanger, R.R. Complex C-Glycosyl Flavonoid Phytoalexins from Cucumis sativus. J. Nat. Prod. 2003, 66, 1280–1283. [Google Scholar] [CrossRef]
- Ancheeva, E.; Daletos, G.; Muharini, R.; Lin, W.H.; Teslov, L.; Proksch, P. Flavonoids from Stellaria nemorum and Stellaria holostea. Nat. Prod. Commun. 2015, 10, 437–440. [Google Scholar] [CrossRef]
- Zhang, Y.-Q.; Luo, J.-G.; Han, C.; Xu, J.-F.; Kong, L.-Y. Bioassay-guided preparative separation of angiotensin-converting enzyme inhibitory C-flavone glycosides from Desmodium styracifolium by recycling complexation high-speed counter-current chromatography. J. Pharmaceut. Biomed. 2015, 102, 276–281. [Google Scholar] [CrossRef]
- Elbandy, M.; Miyamoto, T.; Lacaille-Dubois, M.-A. Sulfated Lupane Triterpene Derivatives and a Flavone C-Glycoside from Gypsophila repens. Chem. Pharm. Bull. 2007, 55, 808–811. [Google Scholar] [CrossRef][Green Version]
- Olennikov, D.N.; Chirikova, N.K. New C, O-Glycosylflavones from Melandrium divaricatum. Chem. Nat. Compd. 2019, 55, 1032–1038. [Google Scholar] [CrossRef]
- Olennikov, D.N.; Kashchenko, N.I. New C, O-Glycosylflavones from the Genus Silene. Chem. Nat. Compd. 2020, 56, 1026–1034. [Google Scholar] [CrossRef]
- Obmann, A.; Werner, I.; Presser, A.; Zehl, M.; Swoboda, Z.; Purevsuren, S.; Narantuya, S.; Kletter, C.; Glasl, S. Flavonoid C- and O-glycosides from the Mongolian medicinal plant Dianthus versicolor Fisch. Carbohyd. Res. 2011, 346, 1868–1875. [Google Scholar] [CrossRef] [PubMed]
- Chen, J.-M.; Wei, L.-B.; Lu, C.-L.; Zhou, G.-X. A flavonoid 8-C-glycoside and a triterpenoid cinnamate from Nervilia fordii. J. Asian Nat. Prod. Res. 2013, 15, 1088–1093. [Google Scholar] [CrossRef]
- Devkota, H.P.; Fukusako, K.; Ishiguro, K.; Yahara, S. Flavone C-Glycosides from Lychnis senno and their Antioxidative Activity. Nat. Prod. Commun. 2013, 8, 1413–1414. [Google Scholar] [CrossRef]
- Xu, K.-J.; Xu, X.-M.; Deng, W.-L.; Zhang, L.; Wang, M.-K.; Ding, L.-S. Three new flavone C-glycosides from the aerial parts of Paraquilegia microphylla. J. Asian Nat. Prod. Res. 2011, 13, 409–416. [Google Scholar] [CrossRef] [PubMed]
- Alqahtani, J.; Formisano, C.; Chianese, G.; Luciano, P.; Stornaiuolo, M.; Perveen, S.; Taglialatela-Scafati, O. Glycosylated Phenols and an Unprecedented Diacid from the Saudi Plant Cissus rotundifolia. J. Nat. Prod. 2020, 83, 3298–3304. [Google Scholar] [CrossRef] [PubMed]
- Li, M.; Wang, Y.; Tsoi, B.; Jin, X.-J.; He, R.-R.; Yao, X.-J.; Dai, Y.; Kurihara, H.; Yao, X.-S. Indoleacetic acid derivatives from the seeds of Ziziphus jujuba var. spinosa. Fitoterapia 2014, 99, 48–55. [Google Scholar] [CrossRef] [PubMed]
- Olennikov, D.N.; Chirikova, N.K. New Compounds from Siberian Gentiana Species. II. Xanthone and C, O-Glycosylflavone. Chem. Nat. Compd. 2021, 57, 681–684. [Google Scholar] [CrossRef]
- Xie, Y.-Y.; Xu, Z.-L.; Wang, H.; Kano, Y.; Yuan, D. A novel spinosin derivative from Semen Ziziphi Spinosae. J. Asian Nat. Prod. Res. 2011, 13, 1151–1157. [Google Scholar] [CrossRef]
- Song, Z.; Hashi, Y.; Sun, H.; Liang, Y.; Lan, Y.; Wang, H.; Chen, S. Simultaneous determination of 19 flavonoids in commercial trollflowers by using high-performance liquid chromatography and classification of samples by hierarchical clustering analysis. Fitoterapia 2013, 91, 272–279. [Google Scholar] [CrossRef]
- Wu, L.-Z.; Wu, H.-F.; Xu, X.-D.; Yang, J.-S. Two New Flavone C-Glycosides from Trollius ledebourii. Chem. Pharm. Bull. 2011, 59, 1393–1395. [Google Scholar] [CrossRef] [PubMed]
- Zou, J.-H.; Yang, J.-S.; Dong, Y.-S.; Zhou, L.; Lin, G. Flavone C-glycosides from flowers of Trollius ledebouri. Phytochemistry 2005, 66, 1121–1125. [Google Scholar] [CrossRef] [PubMed]
- Song, Z.; Wang, H.; Ren, B.; Zhang, B.; Hashi, Y.; Chen, S. On-line study of flavonoids of Trollius chinensis Bunge binding to DNA with ethidium bromide using a novel combination of chromatographic, mass spectrometric and fluorescence techniques. J. Chromatogr. A 2013, 1282, 102–112. [Google Scholar] [CrossRef] [PubMed]
- Kanchanapoom, T. Aromatic diglycosides from Cladogynos orientalis. Phytochemistry 2007, 68, 692–696. [Google Scholar] [CrossRef] [PubMed]
- Le Moullec, A.; Juvik, O.J.; Fossen, T. First identification of natural products from the African medicinal plant Zamioculcas zamiifolia—A drought resistant survivor through millions of years. Fitoterapia 2015, 106, 280–285. [Google Scholar] [CrossRef]
- Tang, L.; Xu, X.-M.; Rinderspacher, K.A.; Cai, C.-Q.; Ma, Y.; Long, C.-L.; Feng, J.-C. Two new compounds from Comastoma pedunlulatum. J. Asian Nat. Prod. Res. 2011, 13, 895–900. [Google Scholar] [CrossRef]
- Ebrahimi, S.N.; Gafner, F.; Dell’Acqua, G.; Schweikert, K.; Hamburger, M. Flavone 8-C-Glycosides from Haberlea rhodopensis Friv. (Gesneriaceae). Helv. Chim. Acta 2011, 94, 38–45. [Google Scholar] [CrossRef]
- Li, Z.-L.; Li, D.-Y.; Hua, H.-M.; Chen, X.-H.; Kim, C.-S. Three new acylated flavone C-glycosides from the flowers of Trollius chinensis. J. Asian Nat. Prod. Res. 2009, 11, 426–432. [Google Scholar] [CrossRef]
- Zou, J.-H.; Yang, J.; Zhou, L. Acylated Flavone C-Glycosides from Trollius ledebouri. J. Nat. Prod. 2004, 67, 664–667. [Google Scholar] [CrossRef]
- Dong, F.-Y.; Guan, L.-N.; Zhang, Y.-H.; Cui, Z.-H.; Wang, L.; Wang, W. Acylated flavone C-glycosides from Hemistepta lyrate. J. Asian Nat. Prod. Res. 2010, 12, 776–780. [Google Scholar] [CrossRef]
- Chen, Y.; Yan, X.; Lu, F.; Jiang, X.; Friesen, J.B.; Pauli, G.F.; Chen, S.-N.; Li, D.-P. Preparation of flavone di-C-glycoside isomers from Jian-Gu injection (Premna fulva Craib.) using recycling counter-current chromatography. J. Chromatogr. A 2019, 1599, 180–186. [Google Scholar] [CrossRef] [PubMed]
- Dong, Q.; Huang, Y.; Qiao, S.-Y. Studies on chemical constituents from Stellaria media I. China J. Chin. Mater. Med. 2007, 32, 1048–1051. [Google Scholar]
- Feng, X.; Jiang, D.; Shan, Y.; Dai, T.; Dong, Y.; Cao, W. New flavonoid-C-Glycosides from Triticum aestivum. Chem. Nat. Compd. 2008, 44, 171–173. [Google Scholar] [CrossRef]
- Pan, Y.-X.; Zhou, C.-X.; Zhang, S.-L.; Zheng, X.-X.; Zhao, Y. Constituents from Ranunculus sieboldii Miq. J. Chin. Pharm. Sci. 2004, 13, 92–96. [Google Scholar]
- Zheleva-Dimitrova, D.; Nedialkov, P.; Giresser, U. A Validated HPLC Method for Simultaneous Determination of Caffeoyl Phenylethanoid Glucosides and Flavone 8-C-glycosides in Haberlea rhodopensis. Nat. Prod. Commun. 2016, 11, 791–792. [Google Scholar] [CrossRef]
- Pacifico, S.; Scognamiglio, M.; D’Abrosca, B.; Piccolella, S.; Tsafantakis, N.; Gallicchio, M.; Ricci, A.; Fiorentino, A. Spectroscopic Characterization and Antiproliferative Activity on HepG2 Human Hepatoblastoma Cells of Flavonoid C-Glycosides from Petrorhagia velutina. J. Nat. Prod. 2010, 73, 1973–1978. [Google Scholar] [CrossRef]
- Zheng, J.-X.; Zheng, Y.; Dai, Y.; Wang, N.-L.; Fang, Y.-X.; Du, Z.-Y.; Zhao, S.-Q.; Zhang, K.; Wu, L.-Y.; Fan, M. Flavone Di-C-Glycosides from Selaginella uncinate and Their Antioxidative Activities. Chem. Nat. Compd. 2016, 52, 306–308. [Google Scholar] [CrossRef]
- Xie, C.; Veitch, N.C.; Houghton, P.J.; Simmonds, M.S.J. Flavone C-Glycosides from Viola yedoensis MAKINO. Chem. Pharm. Bull. 2003, 51, 1204–1207. [Google Scholar] [CrossRef]
- Anh, N.H.; Yen, D.T.H.; Cuong, N.T.; Tai, B.H.; Yen, P.H.; Chinh, P.T.; Cuong, P.V.; Nam, N.H.; Kiem, P.V.; Cho, S.-H.; et al. Three new chromanes and one new flavone C-glycoside from Mallotus apelta. J. Asian Nat. Prod. Res. 2022, 24, 1–9. [Google Scholar] [CrossRef]
- Lam, S.-H.; Hung, H.-Y.; Yang, M.-L.; Chen, H.-H.; Kuo, P.-C.; Wu, T.-S. Chemical Constituents from Phalaenopsis Hybrids and Their Bioactivities. Nat. Prod. Commun. 2019, 14. [Google Scholar] [CrossRef]
- Hu, H.-B.; Zhu, J.-H. Flavonoid Constituents from the Roots of Acanthopanax brachypus. Chem. Pharm. Bull. 2011, 59, 135–139. [Google Scholar] [CrossRef] [PubMed][Green Version]
- Li, G.-H.; Zhang, Q.-W.; Wang, L.; Zhang, X.-Q.; Ye, W.-C.; Wang, Y.-T. New Isoflavone C-Glycosides from Pueraria lobata. Helv. Chim. Acta 2011, 94, 423–428. [Google Scholar] [CrossRef]
- Ukida, K.; Doi, T.; Sugimoto, S.; Matsunami, K.; Otsuka, H.; Takeda, Y. Schoepfiajasmins A–H: C-Glycosyl Dihydrochalcones, Dihydrochalcone Glycoside, C-Glucosyl Flavanones, Flavanone Glycoside and Flavone Glycoside from the Branches of Schoepfia jasminodora. Chem. Pharm. Bull. 2013, 61, 1136–1142. [Google Scholar] [CrossRef] [PubMed]
- Zheng, X.-K.; Cao, Y.-G.; Ke, Y.-Y.; Zhang, Y.-L.; Li, F.; Gong, J.-H.; Zhao, X.; Kuang, H.-X.; Feng, W.-S. Phenolic constituents from the root bark of Morus alba L. and their cardioprotective activity in vitro. Phytochemistry 2017, 135, 128–134. [Google Scholar] [CrossRef]
- Ateba, S.B.; Njamen, D.; Gatterer, C.; Scherzer, T.; Zehl, M.; Kählig, H.; Krenn, L. Rare phenolic structures found in the aerial parts of Eriosema laurentii De Wild. Phytochemistry 2016, 128, 5–11. [Google Scholar] [CrossRef]
- Shimokawa, Y.; Akao, Y.; Hirasawa, Y.; Awang, K.; Hadi, A.H.A.; Sato, S.; Aoyama, C.; Takeo, J.; Shiro, M.; Morita, H. Gneyulins A and B, Stilbene Trimers, and Noidesols A and B, Dihydroflavonol-C-Glucosides, from the Bark of Gnetum gnemonoides. J. Nat. Prod. 2010, 73, 763–767. [Google Scholar] [CrossRef]
- Tsujimoto, T.; Nishihara, M.; Osumi, Y.; Hakamatsuka, T.; Goda, Y.; Uchiyama, N.; Ozekia, Y. Structural Analysis of Polygalaxanthones, C-Glucosyl Xanthones of Polygala tenuifolia Roots. Chem. Pharm. Bull. 2019, 67, 1242–1247. [Google Scholar] [CrossRef]
- Abdel-Mageed, W.M.; Bayoumi, S.A.H.; Chen, C.; Vavricka, C.J.; Li, L.; Malik, A.; Dai, H.; Song, F.; Wang, L.; Zhang, J.; et al. Benzophenone C-glucosides and gallotannins from mango tree stem bark with broad-spectrum anti-viral activity. Bioorg. Med. Chem. 2014, 22, 2236–2243. [Google Scholar] [CrossRef]
- Achari, B.; Dutta, P.K.; Roy, S.K.; Chakraborty, P.; Sengupta, J.; Bandyopadhyay, D.; Maity, J.K.; Khan, I.A.; Ding, Y.; Ferreira, D. Fluorescent Pigment and Phenol Glucosides from the Heartwood of Pterocarpus marsupium. J. Nat. Prod. 2012, 75, 655–660. [Google Scholar] [CrossRef]
- Zou, J.; Jin, D.; Chen, W.; Wang, J.; Liu, Q.; Zhu, X.; Zhao, W. Selective Cyclooxygenase-2 Inhibitors from Calophyllum membranaceum. J. Nat. Prod. 2005, 68, 1514–1518. [Google Scholar] [CrossRef]
- Zhuravleva, O.I.; Afiyatullov, S.S.; Denisenko, V.A.; Ermakova, S.P.; Slinkina, N.N.; Dmitrenok, P.S.; Kim, N.Y. Secondary metabolites from a marine-derived fungus Aspergillus carneus Blochwitz. Phytochemistry 2012, 80, 123–131. [Google Scholar] [CrossRef] [PubMed]
- Zhu, L.-J.; Yi, S.; Li, X.; Chen, H.-F.; Ming, M.; Zhang, X.; Yao, X.-S. C-glycosides from the stems of Calophyllum membranaceum. J. Asian Nat. Prod. Res. 2018, 20, 49–54. [Google Scholar] [CrossRef] [PubMed]
- Bringmann, G.; Lang, G.; Steffens, S.; Günther, E.; Schaumann, K. Evariquinone, isoemericellin, and stromemycin from a sponge derived strain of the fungus Emericella variecolor. Phytochemistry 2003, 63, 437–443. [Google Scholar] [CrossRef]
- Wu, Y.; Zhang, Z.-X.; Hu, H.; Li, D.; Qiu, G.; Hu, X.; He, X. Novel indole C-glycosides from Isatis indigotica and their potential cytotoxic activity. Fitoterapia 2011, 82, 288–292. [Google Scholar] [CrossRef] [PubMed]
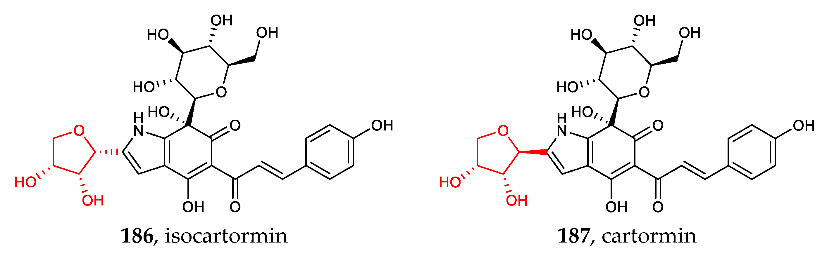
- Li, F.; He, Z.; Ye, Y. Isocartormin, a novel quinochalcone C-glycoside from Carthamus tinctorius. Acta Pharm. Sin. B 2017, 7, 527–531. [Google Scholar] [CrossRef]
- Marrassini, C.; Davicino, R.; Acevedo, C.; Anesini, C.; Gorzalczany, S.; Ferraro, G. Vicenin-2, a Potential Anti-inflammatory Constituent of Urtica circularis. J. Nat. Prod. 2011, 74, 1503–1507. [Google Scholar] [CrossRef] [PubMed]
- Zhang, M.; Li, F.-D.; Li, K.; Wang, Z.-L.; Wang, Y.-X.; He, J.-B.; Su, H.-F.; Zhang, Z.-Y.; Chi, C.-B.; Shi, X.-M.; et al. Functional Characterization and Structural Basis of an Efficient Di-C-glycosyltransferase from Glycyrrhiza glabra. J. Am. Chem. Soc. 2020, 142, 3506–3512. [Google Scholar] [CrossRef]
- Bennett, C.S.; Galan, M.C. Methods for 2-Deoxyglycoside Synthesis. Chem. Rev. 2018, 118, 7931–7985. [Google Scholar] [CrossRef]
- Yang, Y.; Yu, B. Recent Advances in the Chemical Synthesis of C-Glycosides. Chem. Rev. 2017, 117, 12281–12356. [Google Scholar] [CrossRef]
- Liao, H.; Ma, J.; Yao, H.; Liu, X.-W. Recent progress of C-glycosylation methods in the total synthesis of natural products and pharmaceuticals. Org. Biomol. Chem. 2018, 16, 1791–1806. [Google Scholar] [CrossRef]
- Lee, D.Y.W.; He, M. Recent Advances in Aryl C-Glycoside Synthesis. Curr. Top. Med. Chem. 2005, 5, 1333–1350. [Google Scholar] [CrossRef] [PubMed]
- Suzuki, K. Lessons from Total Synthesis of Hybrid Natural Products. Chem. Rec. 2010, 10, 291–307. [Google Scholar] [CrossRef] [PubMed]
- Furuta, T.; Nakayama, M.; Suzuki, H.; Tajimi, H.; Inai, M.; Nukaya, H.; Wakimoto, T.; Kan, T. Concise Synthesis of Chafurosides A and B. Org. Lett. 2009, 11, 2233–2236. [Google Scholar] [CrossRef] [PubMed]
- O’Keefe, B.M.; Mans, D.M.; Kaelin, D.E.; Martin, S.F. Total Synthesis of Isokidamycin. J. Am. Chem. Soc. 2010, 132, 15528–15530. [Google Scholar] [CrossRef] [PubMed]
- Misawa, K.; Takahashi, Y.; Sato, S. First Synthesis of Saponarin, 6-C- and 7-O-Di-β-d-glucosylapigenin. Chem. Pharm. Bull. 2013, 61, 776–780. [Google Scholar] [CrossRef] [PubMed]
- Nakayama, R.; Tanzer, E.-M.; Kusumi, T.; Ohmori, K.; Suzuki, K. Total Synthesis of the Proposed Structure of Ardimerin, and Proposal for its Structural Revision. Helv. Chim. Acta 2016, 99, 944–960. [Google Scholar] [CrossRef]
- Kitamura, K.; Ando, Y.; Matsumoto, T.; Suzuki, K. Synthesis of the Pluramycins 1: Two Designed Anthrones as Enabling Platforms for Flexible Bis-C-Glycosylation. Angew. Chem. Int. Ed. 2014, 53, 1258–1261. [Google Scholar] [CrossRef]
- Yao, C.-H.; Tsai, C.-H.; Lee, J.-C. Total Synthesis of the Naturally Occurring Glycosylflavone Aciculatin. J. Nat. Prod. 2016, 79, 1719–1723. [Google Scholar] [CrossRef]
- Kusumi, S.; Tomono, S.; Okuzawa, S.; Kaneko, E.; Ueda, T.; Sasaki, K.; Takahashi, D.; Toshima, K. Total Synthesis of Vineomycin B2. J. Am. Chem. Soc. 2013, 135, 15909–15912. [Google Scholar] [CrossRef]
- Chen, Q.; Zhong, Y.; O’Doherty, G.A. Convergent de novo synthesis of vineomycinone B2 methyl ester. Chem. Commun. 2013, 49, 6806–6808. [Google Scholar] [CrossRef]
- Chen, C.-L.; Sparks, S.M.; Martin, S.F. C-Aryl Glycosides via Tandem Intramolecular Benzyne–Furan Cycloadditions. Total Synthesis of Vineomycinone B2 Methyl Ester. J. Am. Chem. Soc. 2006, 128, 13696–13697. [Google Scholar] [CrossRef] [PubMed]
- Mitra, P.; Behera, B.; Maiti, T.K.; Mal, D. Angucycline C5 Glycosides: Regio- and Stereocontrolled Synthesis and Cytotoxicity. J. Org. Chem. 2013, 78, 9748–9757. [Google Scholar] [CrossRef]
- Ohba, K.; Nakata, M. Total Synthesis of Paecilomycin B. Org. Lett. 2015, 17, 2890–2893. [Google Scholar] [CrossRef] [PubMed]
- Ohba, K.; Nataka, M. Convergent Total Synthesis of Paecilomycin B and 6′-epi-Paecilomycin B by a Barbier-Type Reaction Using 2,4,6-Triisopropylphenyllithium. J. Org. Chem. 2018, 83, 7019–7032. [Google Scholar] [CrossRef] [PubMed]
- Yepremyan, A.; Salehani, B.; Minehan, T.G. Concise Total Syntheses of Aspalathin and Nothofagin. Org. Lett. 2010, 12, 1580–1583. [Google Scholar] [CrossRef] [PubMed]
- Wu, F.; Zhang, J.; Song, F.; Wang, S.; Guo, H.; Wei, Q.; Dai, H.; Chen, X.; Xia, X.; Liu, X.; et al. Chrysomycin A Derivatives for the Treatment of Multi-Drug-Resistant Tuberculosis. ACS Cent. Sci. 2020, 6, 928–938. [Google Scholar] [CrossRef]
- Ho, T.C.; Kamimura, H.; Ohmori, K.; Suzuki, K. Total Synthesis of (+)-Vicenin-2. Org. Lett. 2016, 18, 4488–4490. [Google Scholar] [CrossRef]
- Mavlan, M.; Ng, K.; Panesar, H.; Yepremyan, A.; Minehan, T.G. Synthesis of 3,3′-Di-O-methyl Ardimerin and Exploration of Its DNA Binding Properties. Org. Lett. 2014, 16, 2212–2215. [Google Scholar] [CrossRef]
- Ben, A.; Hsu, D.-S.; Matsumoto, T.; Suzuki, K. Total synthesis and structure revision of deacetylravidomycin M. Tetrahedron 2011, 67, 6460–6468. [Google Scholar] [CrossRef]
- Acharya, P.P.; Khatri, H.R.; Janda, S.; Zhu, J. Synthesis and antitumor activities of aquayamycin and analogues of derhodinosylurdamycin A. Org. Biomol. Chem. 2019, 17, 2691–2704. [Google Scholar] [CrossRef]
- Yuan, Y.; Men, H.; Lee, C. Total Synthesis of Kendomycin: A Macro-C-Glycosidation Approach. J. Am. Chem. Soc. 2004, 126, 14720–14721. [Google Scholar] [CrossRef] [PubMed]
- Anand, N.; Upadhyaya, K.; Ajay, A.; Mahar, R.; Shukla, S.K.; Kumar, B.; Tripathi, R.P. A Strategy for the Synthesis of Anthraquinone-Based Aryl-C-glycosides. J. Org. Chem. 2013, 78, 4685–4696. [Google Scholar] [CrossRef]
- Gong, H.; Gagné, M.R. Diastereoselective Ni-Catalyzed Negishi Cross-Coupling Approach to Saturated, Fully Oxygenated C-Alkyl and C-Aryl Glycosides. J. Am. Chem. Soc. 2008, 130, 12177–12183. [Google Scholar] [CrossRef]
- Nicolas, L.; Angibaud, P.; Stansfield, I.; Bonnet, P.; Meerpoel, L.; Reymond, S.; Cossy, J. Diastereoselective Metal-Catalyzed Synthesis of C-Aryl and C-Vinyl Glycosides. Angew. Chem. Int. Ed. 2012, 51, 11101–11104. [Google Scholar] [CrossRef] [PubMed]
- Zhu, F.; Rourke, M.J.; Yang, T.; Rodriguez, J.; Walczak, M.A. Highly Stereospecific Cross-Coupling Reactions of Anomeric Stannanes for the Synthesis of C-Aryl Glycosides. J. Am. Chem. Soc. 2016, 138, 12049–12052. [Google Scholar] [CrossRef] [PubMed]
- Zhu, F.; Rodriguez, J.; Yang, T.; Kevlishvili, I.; Miller, E.; Yi, D.; O’Neill, S.; Rourke, M.J.; Liu, P.; Walczak, M.A. Glycosyl Cross-Coupling of Anomeric Nucleophiles: Scope, Mechanism, and Applications in the Synthesis of Aryl C-Glycosides. J. Am. Chem. Soc. 2017, 139, 17908–17922. [Google Scholar] [CrossRef] [PubMed]
- Yi, D.; Zhu, F.; Walczak, M.A. Glycosyl Cross-Coupling with Diaryliodonium Salts: Access to Aryl C-Glycosides of Biomedical Relevance. Org. Lett. 2018, 20, 1936–1940. [Google Scholar] [CrossRef]
- Xiong, D.-C.; Zhang, L.-H.; Ye, X.-S. Oxidant-Controlled Heck-Type C-Glycosylation of Glycals with Arylboronic Acids: Stereoselective Synthesis of Aryl 2-Deoxy-C-glycosides. Org. Lett. 2009, 11, 1709–1712. [Google Scholar] [CrossRef]
- Li, H.-H.; Ye, X.-S. Regio- and stereo-selective synthesis of aryl 2-deoxy-C-glycopyranosides by palladium-catalyzed Heck coupling reactions of glycals and aryl iodides. Org. Biomol. Chem. 2009, 7, 3855–3861. [Google Scholar] [CrossRef]
- Yepremyan, A.; Minehan, T.G. Total synthesis of indole-3-acetonitrile-4-methoxy-2-C-β-D-glucopyranoside. Proposal for structural revision of the natural product. Org. Biomol. Chem. 2012, 10, 5194–5196. [Google Scholar] [CrossRef]
- Denmark, S.E.; Regens, C.S.; Kobayashi, T. Total Synthesis of Papulacandin D. J. Am. Chem. Soc. 2007, 129, 2774–2776. [Google Scholar] [CrossRef] [PubMed]
- Wei, Y.; Ben-zvi, B.; Diao, T. Diastereoselective Synthesis of Aryl C-Glycosides from Glycosyl Esters via C-O Bond Homolysis. Angew. Chem. Int. Ed. 2021, 60, 9433–9438. [Google Scholar] [CrossRef]
- Wang, Q.; Sun, Q.; Jiang, Y.; Zhang, H.; Yu, L.; Tian, C.; Chen, G.; Koh, M.J. Iron-catalysed reductive cross-coupling of glycosyl radicals for the stereoselective synthesis of C-glycosides. Nat. Synth. 2022, 1, 235–244. [Google Scholar] [CrossRef]
- Adak, L.; Kawamura, S.; Toma, G.; Takenaka, T.; Isozaki, K.; Takaya, H.; Orita, A.; Li, H.C.; Shing, T.K.M.; Nakamura, M. Synthesis of Aryl C-Glycosides via Iron-Catalyzed Cross Coupling of Halosugars: Stereoselective Anomeric Arylation of Glycosyl Radicals. J. Am. Chem. Soc. 2017, 139, 10693–10701. [Google Scholar] [CrossRef] [PubMed]
- Tang, S.; Zheng, Q.; Xiong, D.-C.; Jiang, S.; Li, Q.; Ye, X.-S. Stereocontrolled Synthesis of 2-Deoxy-C-glycopyranosyl Arenes Using Glycals and Aromatic Amines. Org. Lett. 2018, 20, 3079–3082. [Google Scholar] [CrossRef] [PubMed]
- Singh, A.K.; Kanaujiya, V.K.; Tiwari, V.; Sabiah, S.; Kandasamy, J. Development of Routes for the Stereoselective Preparation of β-Aryl-C-glycosides via C-1 Aryl Enones. Org. Lett. 2020, 22, 7650–7655. [Google Scholar] [CrossRef]
- Liu, J.; Gong, H. Stereoselective Preparation of α-C-Vinyl/Aryl Glycosides via Nickel-Catalyzed Reductive Coupling of Glycosyl Halides with Vinyl and Aryl Halides. Org. Lett. 2018, 20, 7991–7995. [Google Scholar] [CrossRef]
- Mou, Z.-D.; Wang, J.-X.; Zhang, X.; Niu, D. Stereoselective Preparation of C-Aryl Glycosides via Visible-Light-Induced Nickel-Catalyzed Reductive Cross-Coupling of Glycosyl Chlorides and Aryl Bromides. Adv. Synth. Catal. 2021, 363, 3025–3029. [Google Scholar] [CrossRef]
- Yu, C.; Liu, Y.; Xie, X.; Hu, S.; Zhang, S.; Zeng, M.; Zhang, D.; Wang, J.; Liu, H. Ir(I)-Catalyzed C-H Glycosylation for Synthesis of 2-Indolyl-C-Deoxyglycosides. Adv. Synth. Catal. 2021, 363, 4926–4931. [Google Scholar] [CrossRef]
- Ghouilem, J.; Tran, C.; Grimblat, N.; Retailleau, P.; Alami, M.; Gandon, V.; Messaoudi, S. Diastereoselective Pd-Catalyzed Anomeric C(sp3) −H Activation: Synthesis of α-(Hetero)aryl C-Glycosides. ACS Catal. 2021, 11, 1818–1826. [Google Scholar] [CrossRef]
- Liu, M.; Niu, Y.; Wu, Y.-F.; Ye, X.-S. Ligand-Controlled Monoselective C-Aryl Glycoside Synthesis via Palladium-Catalyzed C–H Functionalization of N-Quinolyl Benzamides with 1-Iodoglycals. Org. Lett. 2016, 18, 1836–1839. [Google Scholar] [CrossRef] [PubMed]
- Ahmed, M.M.; O’Doherty, G.A. De novo synthesis of a galacto-papulacandin moiety via an iterative dihydroxylation strategy. Tetrahedron Lett. 2005, 46, 4151–4155. [Google Scholar] [CrossRef]
- Balachari, D.; O’Doherty, G.A. Enantioselective Synthesis of the Papulacandin Ring System: Conversion of the Mannose Diastereoisomer into a Glucose Stereoisomer. Org. Lett. 2000, 2, 4033–4036. [Google Scholar] [CrossRef] [PubMed]
- Balachari, D.; O’Doherty, G.A. Sharpless Asymmetric Dihydroxylation of 5-Aryl-2-vinylfurans: Application to the Synthesis of the Spiroketal Moiety of Papulacandin D. Org. Lett. 2000, 2, 863–866. [Google Scholar] [CrossRef]
- Liu, C.-F.; Xiong, D.-C.; Ye, X.-S. “Ring Opening–Ring Closure” Strategy for the Synthesis of Aryl-C-glycosides. J. Org. Chem. 2014, 79, 4676–4686. [Google Scholar] [CrossRef]
- Mainkar, P.S.; Johny, K.; Rao, T.P.; Chandrasekhar, S. Synthesis of O-Spiro-C-Aryl Glycosides Using Organocatalysis. J. Org. Chem. 2012, 77, 2519–2525. [Google Scholar] [CrossRef]
- Moral, J.A.; Moon, S.-J.; Rodriguez-Torres, S.; Minehan, T.G. A Sequential Indium-Mediated Aldehyde Allylation/Palladium-Catalyzed Cross-Coupling Reaction in the Synthesis of 2-Deoxy-β-C-Aryl Glycosides. Org. Lett. 2009, 11, 3734–3737. [Google Scholar] [CrossRef]
- Hauser, F.M.; Hu, X. A New Route to C-Aryl Glycosides. Org. Lett. 2002, 4, 977–978. [Google Scholar] [CrossRef]
- Pichlmair, S.; Marques, M.M.B.; Green, M.P.; Martin, H.J.; Mulzer, J. A Novel Approach toward the Synthesis of Kendomycin: Selective Synthesis of a C-Aryl Glycoside as a Single Atropisomer. Org. Lett. 2003, 5, 4657–4659. [Google Scholar] [CrossRef]




















| Entry | Name | Carbohydrate | Bioactivities | Source | Ref. |
|---|---|---|---|---|---|
| 1 | Apigenosylide B (16) | β-D-glucose | α-glucosidase inhibitory activity | Machilus japonica | [9] |
| 2 | Speciflavoside A (32) | β-D-glucose | antiviral activity | Lilium speciosum var. gloriosoides Baker | [10] |
| 3 | Compounds 34–36 | β-D-glucose | cytotoxicity activity | Lemna japonica | [11] |
| 4 | Nelumboside B (40) | β-D-glucose | antioxidant activity | Nelumbo nucifera | [12] |
| 5 | Compound 42 | β-D-glucose | antioxidant activity | Gentiana piasezkii | [13] |
| 6 | Compounds 45–46 | β-D-glucose | anti-complementary activity | Trollius chinensis | [14] |
| 7 | Compound 68 | β-D-glucose | macrophage respiratory burst inhibitory activity | Cyperus rotundus | [15] |
| 8 | Diandraflavone (81) | β-D-glucose | selective inhibition on superoxide anion | Drymaria diandra | [16] |
| 9 | Nervilifordin J (94) | β-D-galactose | anti-inflammatory activity | Nervilia fordii | [17] |
| 10 | Chafurosides A–B (107–108) | β-D-mannose | anti-inflammation | oolong tea | [18] |
| 11 | Compound 109 | β-L-fucose | glycation inhibitory activity | the style of Zea mays L. | [19] |
| 12 | Compound 112 | β-L-boivinose | glycation inhibitory activity | the Style of Zea mays | [20] |
| 13 | Glomexanthones A–C (131, 129, 132) | β-D-glucose | neuroprotective effects | Polygala glomerata | [21] |
| 14 | Shamimoside (135) | β-D-glucose | antioxidant activity | Bombax ceiba | [22] |
| 15 | Compound 136 | β-D-glucose | neuroprotective activity | Swertia punicea | [23] |
| 16 | Calophymembranside C (141) | β-D-glucose | transcriptional inhibitory activity of RXRα | Calophyllum membranaceum | [24] |
| 17 | Arenicolin A (152) | β-D-glucose | anticancer activity | Penicillium arenicola | [25] |
| 18 | Compound 155 | β-D-glucose | antipyretic activity | Melicope pteleifolia | [26] |
| 19 | Ardimerin digallate (169) | β-D-glucose | inhibitory activity on HIV-1 and HIV-2 ribonuclease H | Ardisia japonica | [27] |
| 20 | Kunzeachromones A–F (172–177) | β-D-glucose | antivirus activity | Kunzea ambigua. | [28] |
| 21 | Neopetrosins A–D (180–183) | α-D-mannose | hepatoprotective activity | Neopetrosia chaliniformis | [29] |
| 22 | Konamycins A–B (188–189) | β-D-amicetose | radical scavenging activity | Streptomyces hyaluromycini MB-PO13T | [30] |
| 23 | Monacyclinones I, J (195, 192) | α-L-amino sugar | anticancer activity | Streptomyces sp. HDN15129 | [31] |
| 24 | Marmycins A and B (198–199) | α-L-amino sugar | anticancer activity | actinomycete related to the genus Streptomyces | [32] |
| 25 | Aciculatin (200) | β-D-digitoxopyranose | cytotoxic, anti-inflammatory, anti-arthritis activity | Chrysopogon aciculatus | [33] |
| 26 | Compound 201 | β-D-digitoxopyranose | anticancer activity | Chrysopogon aciculatis | [33] |
| 27 | Compound 202 | β-D-boivinopyranose | anticancer activity | Chrysopogon aciculatis | [33] |
| 28 | Aciculatinone (204) | 3-keto-β-D-digitoxopyranose | anticancer activity | Chrysopogon aciculatis | [33] |
| 29 | Isocassiaoccidentalin B (206) | β-D-6-Deoxy-ribo-hexos-3-ulose | free-radical scavenging activity | Cassia nomame | [34] |
| 30 | Grincamycins B–D (207–209) | β-D-olivose | anticancer activity | Streptomyces lusitanus SCSIO LR32 | [35] |
| 31 | Marangucyclines A–B (210–211) | β-D-olivose | anticancer activity | Streptomyces sp. SCSIO 11594 | [36] |
Publisher’s Note: MDPI stays neutral with regard to jurisdictional claims in published maps and institutional affiliations. |
© 2022 by the author. Licensee MDPI, Basel, Switzerland. This article is an open access article distributed under the terms and conditions of the Creative Commons Attribution (CC BY) license (https://creativecommons.org/licenses/by/4.0/).
Share and Cite
Liu, C.-F. Recent Advances on Natural Aryl-C-glycoside Scaffolds: Structure, Bioactivities, and Synthesis—A Comprehensive Review. Molecules 2022, 27, 7439. https://doi.org/10.3390/molecules27217439
Liu C-F. Recent Advances on Natural Aryl-C-glycoside Scaffolds: Structure, Bioactivities, and Synthesis—A Comprehensive Review. Molecules. 2022; 27(21):7439. https://doi.org/10.3390/molecules27217439
Chicago/Turabian StyleLiu, Chen-Fu. 2022. "Recent Advances on Natural Aryl-C-glycoside Scaffolds: Structure, Bioactivities, and Synthesis—A Comprehensive Review" Molecules 27, no. 21: 7439. https://doi.org/10.3390/molecules27217439
APA StyleLiu, C.-F. (2022). Recent Advances on Natural Aryl-C-glycoside Scaffolds: Structure, Bioactivities, and Synthesis—A Comprehensive Review. Molecules, 27(21), 7439. https://doi.org/10.3390/molecules27217439

