Comorbidity of Novel CRHR2 Gene Variants in Type 2 Diabetes and Depression
Abstract
1. Introduction
2. Results
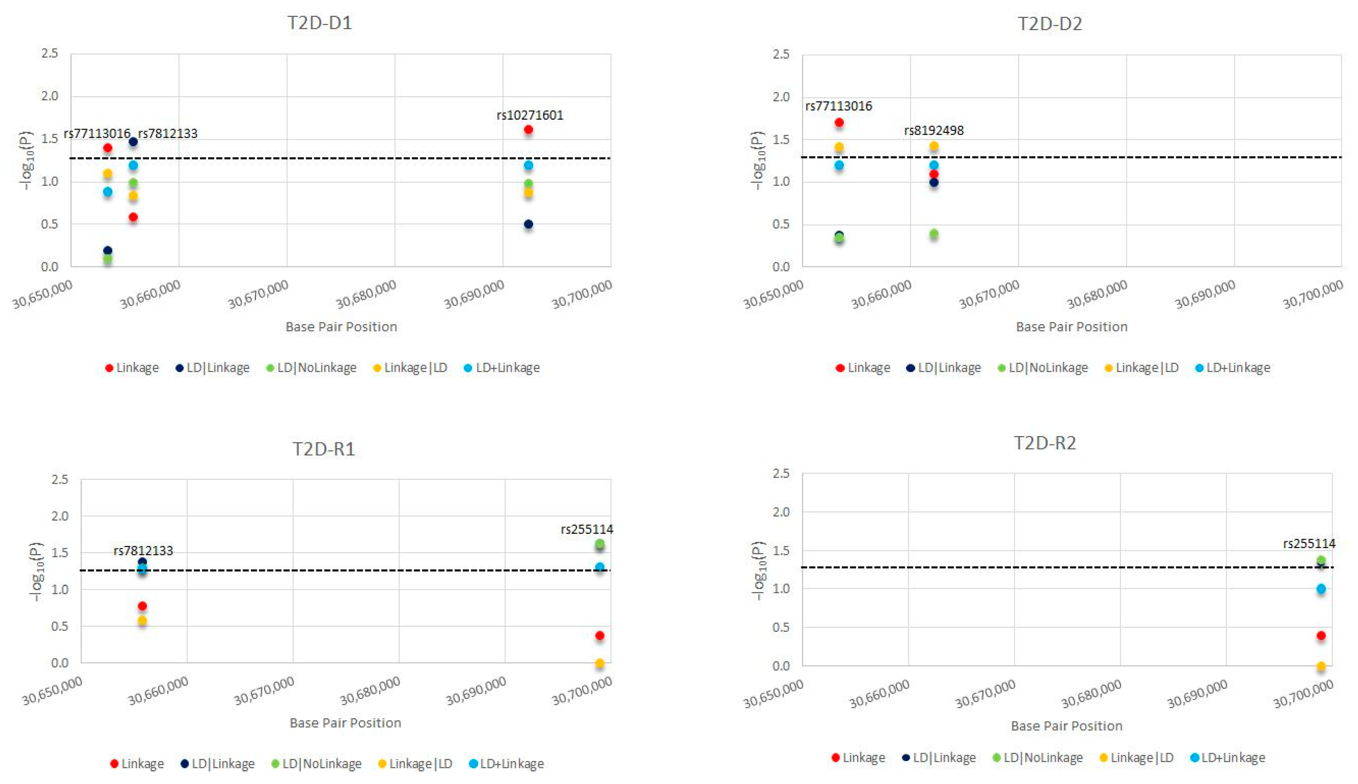
2.1. Linkage, Linkage Disequilibrium (LD, i.e., Association) Analysis, and LD among Single Nucleotide Polymorphisms (SNPs)
2.2. In-Silico Functional Predictions
3. Discussion
4. Methods and Materials
5. Conclusions
Author Contributions
Funding
Institutional Review Board Statement
Informed Consent Statement
Data Availability Statement
Acknowledgments
Conflicts of Interest
Abbreviations
| ACTH | adrenocorticotropin-releasing hormone |
| CRH | corticotropin-releasing hormone |
| D1 | dominant with complete penetrance |
| D2 | dominant with incomplete penetrance |
| HPA | hypothalamic–pituitary–adrenal axis |
| LD | linkage disequilibrium |
| MDD | Major Depressive Disorder |
| PTSD | post-traumatic stress disorder |
| R1 | recessive with complete penetrance |
| R2 | recessive with incomplete penetrance |
| SNPs | single nucleotide polymorphisms |
| T2D | type 2 diabetes |
References
- Smith, S.M.; Vale, W.W. The role of the hypothalamic-pituitary-adrenal axis in neuroendocrine responses to stress. Dialogues Clin. Neurosci. 2006, 8, 383. [Google Scholar] [CrossRef] [PubMed]
- Bonfiglio, J.J.; Inda, C.; Refojo, D.; Holsboer, F.; Arzt, E.; Silberstein, S. The Corticotropin-Releasing Hormone Network and the Hypothalamic-Pituitary-Adrenal Axis: Molecular and Cellular Mechanisms Involved. Neuroendocrinology 2011, 94, 12–20. [Google Scholar] [CrossRef] [PubMed]
- Thau, L.; Gandhi, J.; Sharma, S. Physiology, Cortisol; StatPearls: Tampa, FL, USA, 2021. [Google Scholar]
- Ortiz, R.; Kluwe, B.; Odei, J.B.; Echouffo Tcheugui, J.B.; Sims, M.; Kalyani, R.R.; Bertoni, A.G.; Golden, S.H.; Joseph, J.J. The association of morning serum cortisol with glucose metabolism and diabetes: The Jackson Heart Study. Psychoneuroendocrinology 2019, 103, 25–32. [Google Scholar] [CrossRef] [PubMed]
- Qin, D.-D.; Rizak, J.; Feng, X.-L.; Yang, S.-C.; Lü, L.-B.; Pan, L.; Yin, Y.; Hu, X.-T. Prolonged secretion of cortisol as a possible mechanism underlying stress and depressive behaviour. Sci. Rep. 2016, 6, 30187. [Google Scholar] [CrossRef]
- Mezuk, B.; Eaton, W.W.; Albrecht, S.; Golden, S.H. Depression and type 2 diabetes over the lifespan: A meta-analysis. Diabetes Care 2008, 31, 2383–2390. [Google Scholar] [CrossRef]
- Demakakos, P.; Pierce, M.B.; Hardy, R. Depressive symptoms and risk of type 2 diabetes in a national sample of middle-aged and older adults: The English longitudinal study of aging. Diabetes Care 2010, 33, 792–797. [Google Scholar] [CrossRef]
- Pan, A.; Lucas, M.; Sun, Q.; Van Dam, R.M.; Franco, O.H.; Manson, J.A.E.; Willett, W.C.; Ascherio, A.; Hu, F.B. Bidirectional association between depression and type 2 diabetes mellitus in women. Arch. Intern. Med. 2010, 170, 1884–1891. [Google Scholar] [CrossRef]
- Rustad, J.K.; Musselman, D.L.; Nemeroff, C.B. The relationship of depression and diabetes: Pathophysiological and treatment implications. Psychoneuroendocrinology 2011, 36, 1276–1286. [Google Scholar] [CrossRef]
- Mezuk, B.; Heh, V.; Prom-Wormley, E.; Kendler, K.S.; Pedersen, N.L. Association between major depression and type 2 diabetes in midlife: Findings from the screening across the Lifespan twin study. Psychosom. Med. 2015, 77, 559–566. [Google Scholar] [CrossRef]
- Ji, H.-F.; Zhuang, Q.-S.; Shen, L.; Ji, H.-F.; Zhuang, Q.-S.; Shen, L. Genetic overlap between type 2 diabetes and major depressive disorder identified by bioinformatics analysis. Oncotarget 2016, 7, 17410–17414. [Google Scholar] [CrossRef]
- Amare, A.T.; Schubert, K.O.; Klingler-Hoffmann, M.; Cohen-Woods, S.; Baune, B.T. The genetic overlap between mood disorders and cardiometabolic diseases: A systematic review of genome wide and candidate gene studies. Transl. Psychiatry 2017, 7, e1007. [Google Scholar] [CrossRef] [PubMed]
- Tyrrell, J.; Mulugeta, A.; Wood, A.R.; Zhou, A.; Beaumont, R.N.; Tuke, M.A.; Jones, S.E.; Ruth, K.S.; Yaghootkar, H.; Sharp, S.; et al. Using genetics to understand the causal influence of higher BMI on depression. Int. J. Epidemiol. 2019, 48, 834–848. [Google Scholar] [CrossRef] [PubMed]
- Berge, L.I.; Riise, T. Comorbidity between Type 2 Diabetes and Depression in the Adult Population: Directions of the Association and Its Possible Pathophysiological Mechanisms. Int. J. Endocrinol. 2015, 2015, 164760. [Google Scholar] [CrossRef] [PubMed]
- Uhlén, M.; Fagerberg, L.; Hallström, B.M.; Lindskog, C.; Oksvold, P.; Mardinoglu, A.; Sivertsson, Å.; Kampf, C.; Sjöstedt, E.; Asplund, A.; et al. Tissue-based map of the human proteome. Science 2015, 347, 1260419. [Google Scholar] [CrossRef]
- Gragnoli, C. Hypothesis of the neuroendocrine cortisol pathway gene role in the comorbidity of depression, type 2 diabetes, and metabolic syndrome. Appl. Clin. Genet. 2014, 7, 43–53. [Google Scholar] [CrossRef]
- Bale, T.L.; Contarino, A.; Smith, G.W.; Chan, R.; Gold, L.H.; Sawchenko, P.E.; Koob, G.F.; Vale, W.W.; Lee, K.F. Mice deficient for corticotropin-releasing hormone receptor-2 display anxiety-like behaviour and are hypersensitive to stress. Nat. Genet. 2000, 24, 410–414. [Google Scholar] [CrossRef]
- Wiltshire, S.; Hattersley, A.T.; Hitman, G.A.; Walker, M.; Levy, J.C.; Sampson, M.; O’rahilly, S.; Frayling, T.M.; Bell, J.I.; Lathrop, G.M.; et al. A genomewide scan for loci predisposing to type 2 diabetes in a U.K. population (The diabetes UK Warren 2 repository): Analysis of 573 pedigrees provides independent replication of a susceptibility locus on chromosome 1q. Am. J. Hum. Genet. 2001, 69, 553–569. [Google Scholar] [CrossRef]
- Camp, N.J.; Lowry, M.R.; Lynn Richards, R.; Plenk, A.M.; Carter, C.; Hensel, C.H.; Abkevich, V.; Skolnick, M.H.; Shattuck, D.; Rowe, K.G.; et al. Genome-wide linkage analyses of extended Utah pedigrees identifies loci that influence recurrent, early-onset major depression and anxiety disorders. Am. J. Med. Genet.-Neuropsychiatr. Genet. 2005, 135B, 85–93. [Google Scholar] [CrossRef]
- Leak, T.S.; Langefeld, C.D.; Keene, K.L.; Gallagher, C.J.; Lu, L.; Mychaleckyj, J.C.; Rich, S.S.; Freedman, B.I.; Bowden, D.W.; Sale, M.M. Chromosome 7p linkage and association study for diabetes related traits and type 2 diabetes in an African-American population enriched for nephropathy. BMC Med. Genet. 2010, 11, 22. [Google Scholar] [CrossRef]
- Ishitobi, Y.; Nakayama, S.; Yamaguchi, K.; Kanehisa, M.; Higuma, H.; Maruyama, Y.; Ninomiya, T.; Okamoto, S.; Tanaka, Y.; Tsuru, J.; et al. Association of CRHR1 and CRHR2 with major depressive disorder and panic disorder in a Japanese population. Am. J. Med. Genetics. Part B Neuropsychiatr. Genet. Off. Publ. Int. Soc. Psychiatr. Genet. 2012, 159B, 429–436. [Google Scholar] [CrossRef]
- Cruceanu, C.; Schmouth, J.F.; Torres-Platas, S.G.; Lopez, J.P.; Ambalavanan, A.; Darcq, E.; Gross, F.; Breton, B.; Spiegelman, D.; Rochefort, D.; et al. Rare susceptibility variants for bipolar disorder suggest a role for G protein-coupled receptors. Mol. Psychiatry 2018, 23, 2050–2056. [Google Scholar] [CrossRef] [PubMed]
- Zhang, K.; Wang, L.; Li, G.; Cao, C.; Fang, R.; Liu, P.; Luo, S.; Zhang, X. Correlation between hypothalamic-pituitary-adrenal axis gene polymorphisms and posttraumatic stress disorder symptoms. Horm. Behav. 2020, 117, 104604. [Google Scholar] [CrossRef] [PubMed]
- Mahajan, A.; Taliun, D.; Thurner, M.; Robertson, N.R.; Torres, J.M.; Rayner, N.W.; Payne, A.J.; Steinthorsdottir, V.; Scott, R.A.; Grarup, N.; et al. Fine-mapping type 2 diabetes loci to single-variant resolution using high-density imputation and islet-specific epigenome maps. Nat. Genet. 2018, 50, 1505–1513. [Google Scholar] [CrossRef] [PubMed]
- Schatzberg, A.F.; Keller, J.; Tennakoon, L.; Lembke, A.; Williams, G.; Kraemer, F.B.; Sarginson, J.E.; Lazzeroni, L.C.; Murphy, G.M. HPA Axis Genetic Variation, Cortisol, and Psychosis in Major Depression. Mol. Psychiatry 2014, 19, 220–227. [Google Scholar] [CrossRef]
- Ng, P.C.; Henikoff, S. SIFT: Predicting amino acid changes that affect protein function. Nucleic Acids Res. 2003, 31, 3812–3814. [Google Scholar] [CrossRef]
- Adzhubei, I.; Jordan, D.M.; Sunyaev, S.R. Predicting functional effect of human missense mutations using PolyPhen-2. Curr. Protoc. Hum. Genet. 2013, 76, 7–20. [Google Scholar] [CrossRef]
- Schwarz, J.M.; Rödelsperger, C.; Schuelke, M.; Seelow, D. MutationTaster evaluates disease-causing potential of sequence alterations. Nat. Methods 2010, 7, 575–576. [Google Scholar] [CrossRef]
- Jaganathan, K.; Kyriazopoulou Panagiotopoulou, S.; McRae, J.F.; Darbandi, S.F.; Knowles, D.; Li, Y.I.; Kosmicki, J.A.; Arbelaez, J.; Cui, W.; Schwartz, G.B.; et al. Predicting Splicing from Primary Sequence with Deep Learning. Cell 2019, 176, 535–548.e24. [Google Scholar] [CrossRef]
- Dayem Ullah, A.Z.; Oscanoa, J.; Wang, J.; Nagano, A.; Lemoine, N.R.; Chelala, C. SNPnexus: Assessing the functional relevance of genetic variation to facilitate the promise of precision medicine. Nucleic Acids Res. 2018, 46, W109–W113. [Google Scholar] [CrossRef]
- Xu, Z.; Taylor, J.A. SNPinfo: Integrating GWAS and candidate gene information into functional SNP selection for genetic association studies. Nucleic Acids Res. 2009, 37 (Suppl. 2), W600–W605. [Google Scholar] [CrossRef]
- Boyle, A.P.; Hong, E.L.; Hariharan, M.; Cheng, Y.; Schaub, M.A.; Kasowski, M.; Karczewski, K.J.; Park, J.; Hitz, B.C.; Weng, S.; et al. Annotation of functional variation in personal genomes using RegulomeDB. Genome Res. 2012, 22, 1790–1797. [Google Scholar] [CrossRef] [PubMed]
- Liu, C.; Zhang, F.; Li, T.; Lu, M.; Wang, L.; Yue, W.; Zhang, D. MirSNP, a database of polymorphisms altering miRNA target sites, identifies miRNA-related SNPs in GWAS SNPs and eQTLs. BMC Genom. 2012, 13, 661. [Google Scholar] [CrossRef] [PubMed]
- Griss, J.; Viteri, G.; Sidiropoulos, K.; Nguyen, V.; Fabregat, A.; Hermjakob, H. ReactomeGSA-Efficient Multi-Omics Comparative Pathway Analysis. Mol. Cell. Proteom. 2020, 19, 2115–2124. [Google Scholar] [CrossRef] [PubMed]
- Cai, Y.; Zhang, Y.; Loh, Y.P.; Tng, J.Q.; Lim, M.C.; Cao, Z.; Raju, A.; Lieberman Aiden, E.; Li, S.; Manikandan, L.; et al. H3K27me3-rich genomic regions can function as silencers to repress gene expression via chromatin interactions. Nat. Commun. 2021, 12, 719. [Google Scholar] [CrossRef] [PubMed]
- Goldney, R.D.; Phillips, P.J.; Fisher, L.J.; Wilson, D.H. Diabetes, Depression, and Quality of Life. Diabetes Care 2004, 27, 1066–1070. [Google Scholar] [CrossRef]
- Prestele, S.; Aldenhoff, J.; Reiff, J. The HPA-axis as a possible link between depression, diabetes mellitus and cognitive dysfunction. Fortschr. Neurol.-Psychiatr. 2003, 71, 24–36. [Google Scholar] [CrossRef]
- Lyra e Silva, N.d.M.; Lam, M.P.; Soares, C.N.; Munoz, D.P.; Milev, R.; De Felice, F.G. Insulin Resistance as a Shared Pathogenic Mechanism Between Depression and Type 2 Diabetes. Front. Psychiatry 2019, 10, 57. [Google Scholar] [CrossRef]
- Hellwege, J.N.; Edwards, D.R.V.; Acra, S.; Chen, K.; Buchowski, M.S.; Edwards, T.L. Association of gene coding variation and resting metabolic rate in a multi-ethnic sample of children and adults. BMC Obes. 2017, 4, 12. [Google Scholar] [CrossRef]
- Roy, A.; Hodgkinson, C.A.; DeLuca, V.; Goldman, D.; Enoch, M.A. Two HPA axis genes, CRHBP and FKBP5, interact with childhood trauma to increase the risk for suicidal behavior. J. Psychiatr. Res. 2012, 46, 72–79. [Google Scholar] [CrossRef]
- Keck, M.E.; Kern, N.; Erhardt, A.; Unschuld, P.G.; Ising, M.; Salyakina, D.; Müller, M.B.; Knorr, C.C.; Lieb, R.; Hohoff, C.; et al. Combined effects of exonic polymorphisms in CRHR1 and AVPR1B genes in a case/control study for panic disorder. Am. J. Med. Genet. Part B Neuropsychiatr. Genet. 2008, 147, 1196–1204. [Google Scholar] [CrossRef]
- Challis, B.G.; Luan, J.; Keogh, J.; Wareham, N.J.; Farooqi, I.S.; O’Rahilly, S. Genetic variation in the corticotrophin-releasing factor receptors: Identification of single-nucleotide polymorphisms and association studies with obesity in UK Caucasians. Int. J. Obes. 2004, 28, 442–446. [Google Scholar] [CrossRef] [PubMed][Green Version]
- Sukhareva, E.V. The role of the corticotropin-releasing hormone and its receptors in the regulation of stress response. Vavilovskii Zhurnal Genet. I Sel. 2021, 25, 216–223. [Google Scholar] [CrossRef] [PubMed]
- Moreno-Ramos, O.A.; Lattig, M.C.; González Barrios, A.F. Modeling of the hypothalamic-pituitary-adrenal axis-mediated interaction between the serotonin regulation pathway and the stress response using a Boolean approximation: A novel study of depression. Theor. Biol. Med. Model. 2013, 10, 59. [Google Scholar] [CrossRef]
- Donner, N.C.; Siebler, P.H.; Johnson, D.T.; Villarreal, M.D.; Mani, S.; Matti, A.J.; Lowry, C.A. Serotonergic systems in the balance: CRHR1 and CRHR2 differentially control stress-induced serotonin synthesis. Psychoneuroendocrinology 2016, 63, 178–190. [Google Scholar] [CrossRef] [PubMed]
- Coste, S.C.; Kesterson, R.A.; Heldwein, K.A.; Stevens, S.L.; Heard, A.D.; Hollis, J.H.; Murray, S.E.; Hill, J.K.; Pantely, G.A.; Hohimer, A.R.; et al. Abnormal adaptations to stress and impaired cardiovascular function in mice lacking corticotropin-releasing hormone receptor-2. Nat. Genet. 2000, 24, 403–409. [Google Scholar] [CrossRef]
- Simpson, S.J.S.; Smith, L.I.F.; Jones, P.M.; Bowe, J.E. UCN2: A new candidate influencing pancreatic β-cell adaptations in pregnancy. J. Endocrinol. 2020, 245, 247–257. [Google Scholar] [CrossRef]
- Saklayen, M.G. The Global Epidemic of the Metabolic Syndrome. Curr. Hypertens. Rep. 2018, 20, 12. [Google Scholar] [CrossRef]
- Hamshere, M.L.; Schulze, T.G.; Schumacher, J.; Corvin, A.; Owen, M.J.; Jamra, R.A.; Propping, P.; Maier, W.; Orozco Y Diaz, G.; Mayoral, F.; et al. Mood-incongruent psychosis in bipolar disorder: Conditional linkage analysis shows genome-wide suggestive linkage at 1q32.3, 7p13 and 20q13.31. Bipolar Disord. 2009, 11, 610–620. [Google Scholar] [CrossRef]
- Kremeyer, B.; García, J.; Müller, H.; Burley, M.W.; Herzberg, I.; Parra, M.V.; Duque, C.; Vega, J.; Montoya, P.; López, M.C.; et al. Genome-wide linkage scan of bipolar disorder in a Colombian population isolate replicates loci on chromosomes 7p21-22, 1p31, 16p12 and 21q21-22 and identifies a novel locus on chromosome 12q. Hum. Hered. 2011, 70, 255–268. [Google Scholar] [CrossRef]
- Pérusse, L.; Rankinen, T.; Zuberi, A.; Chagnon, Y.C.; Weisnagel, S.J.; Argyropoulos, G.; Walts, B.; Snyder, E.E.; Bouchard, C. The human obesity gene map: The 2004 update. Obes. Res. 2005, 13, 381–490. [Google Scholar] [CrossRef]
- Tam, C.H.; Lam, V.K.; So, W.Y.; Ma, R.C.; Chan, J.C.; Ng, M.C. Genome-wide linkage scan for factors of metabolic syndrome in a Chinese population. BMC Genet. 2010, 11, 14. [Google Scholar] [CrossRef] [PubMed]
- Toriya, M.; Maekawa, F.; Maejima, Y.; Onaka, T.; Fujiwara, K.; Nakagawa, T.; Nakata, M.; Yada, T. Long-term infusion of brain-derived neurotrophic factor reduces food intake and body weight via a corticotrophin-releasing hormone pathway in the paraventricular nucleus of the hypothalamus. J. Neuroendocrinol. 2010, 22, 987–995. [Google Scholar] [CrossRef] [PubMed]
- Villafuerte, S.M.; Del-Favero, J.; Adolfsson, R.; Souery, D.; Massat, I.; Mendlewicz, J.; Van Broeckhoven, C.; Claes, S. Gene-based SNP genetic association study of the corticotropin-releasing hormone receptor-2 (CRHR2) in major depression. Am. J. Med. Genet. 2002, 114, 222–226. [Google Scholar] [CrossRef] [PubMed]
- Buttenschon, H.N.; Krogh, J.; Nielsen, M.N.; Kaerlev, L.; Nordentoft, M.; Mors, O. Association analyses of depression and genes in the hypothalamus-pituitary-adrenal axis. Acta Neuropsychiatr. 2017, 29, 59–64. [Google Scholar] [CrossRef]
- Humphreys, K.L.; Moore, S.R.; Davis, E.G.; MacIsaac, J.L.; Lin, D.T.S.; Kobor, M.S.; Gotlib, I.H. DNA methylation of HPA-axis genes and the onset of major depressive disorder in adolescent girls: A prospective analysis. Transl. Psychiatry 2019, 9, 245. [Google Scholar] [CrossRef] [PubMed]
- De Luca, V.; Tharmalingam, S.; Kennedy, J.L. Association study between the corticotropin-releasing hormone receptor 2 gene and suicidality in bipolar disorder. Eur. Psychiatry J. Assoc. Eur. Psychiatr. 2007, 22, 282–287. [Google Scholar] [CrossRef]
- McCann, S.M.; Antunes-Rodrigues, J.; Franci, C.R.; Anselmo-Franci, J.A.; Karanth, S.; Rettori, V. Role of the hypothalamic pituitary adrenal axis in the control of the response to stress and infection. Braz. J. Med. Biol. Res. 2000, 33, 1121–1131. [Google Scholar] [CrossRef]
- Gragnoli, C. Proteasome Modulator 9 and Macrovascular Pathology of T2D. Cardiovasc. Diabetol. 2011, 10, 32. [Google Scholar] [CrossRef]
- Gragnoli, C. Proteasome modulator 9 SNPs are linked to hypertension in type 2 diabetes families. Cardiovasc. Diabetol. 2011, 10, 77. [Google Scholar] [CrossRef]
- Amerian Psychiatric Association. Diagnostic and Statistical Manual of Mental Disorders; Amerian Psychiatric Association: Washington, DC, USA, 2000. [Google Scholar]
- Purcell, S.; Neale, B.; Todd-Brown, K.; Thomas, L.; Ferreira, M.A.; Bender, D.; Maller, J.; Sklar, P.; de Bakker, P.I.; Daly, M.J.; et al. PLINK: A tool set for whole-genome association and population-based linkage analyses. Am. J. Hum. Genet. 2007, 81, 559–575. [Google Scholar] [CrossRef]
- Hiekkalinna, T.; Schaffer, A.A.; Lambert, B.; Norrgrann, P.; Goring, H.H.; Terwilliger, J.D. Pseudomarker: A powerful program for joint linkage and/or linkage disequilibrium analysis on mixtures of singletons and related individuals. Hum. Hered. 2011, 71, 256–266. [Google Scholar] [CrossRef] [PubMed]
- LDmatrix Function-RDocumentation. Available online: https://www.rdocumentation.org/packages/LDlinkR/versions/1.1.2/topics/LDmatrix (accessed on 28 September 2021).
- Gordon, D.; Finch, S.J.; Kim, W. Heterogeneity in Statistical Genetics; Springer: Berlin/Heidelberg, Germany, 2020. [Google Scholar] [CrossRef]





| Disease | Model 1 | SNP | Position | Ref | Alt | Risk Allele | Consequence | LD Block | Reported in MDD or T2D |
|---|---|---|---|---|---|---|---|---|---|
| MDD | D1, D2, R2 | rs2284220 | chr7:30678487 | G | A | G | Intronic | Set01 | Novel |
| D2, R2 | rs1003929 | chr7:30679433 | T | C | C | Intronic | Set01 | Novel | |
| R1 | rs117157639 | chr7:30688084 | C | G | C | Intronic | Independent | Novel | |
| D1, R1, R2 | rs10271601 | chr7:30692377 | C | T | T | Intronic | Independent | Novel | |
| D1, R1 | rs255114 | chr7:30698941 | C | T | C | Intronic | Independent | Novel | |
| T2D | D1, D2 | rs77113016 | chr7:30653465 | C | T | C | Missense | - | Novel |
| D1, R1 | rs7812133 | chr7:30655790 | G | A | G | Intronic | Independent | Studied with MDD but no association [25] | |
| D2 | rs8192498 | chr7:30662196 | C | T | T | Missense | Independent | Novel | |
| D1 | rs10271601 | chr7:30692377 | C | T | T | Intronic | Independent | Novel | |
| R1, R2 | rs255114 | chr7:30698941 | C | T | C | Intronic | Independent | Novel |
Publisher’s Note: MDPI stays neutral with regard to jurisdictional claims in published maps and institutional affiliations. |
© 2022 by the authors. Licensee MDPI, Basel, Switzerland. This article is an open access article distributed under the terms and conditions of the Creative Commons Attribution (CC BY) license (https://creativecommons.org/licenses/by/4.0/).
Share and Cite
Amin, M.; Ott, J.; Gordon, D.; Wu, R.; Postolache, T.T.; Vergare, M.; Gragnoli, C. Comorbidity of Novel CRHR2 Gene Variants in Type 2 Diabetes and Depression. Int. J. Mol. Sci. 2022, 23, 9819. https://doi.org/10.3390/ijms23179819
Amin M, Ott J, Gordon D, Wu R, Postolache TT, Vergare M, Gragnoli C. Comorbidity of Novel CRHR2 Gene Variants in Type 2 Diabetes and Depression. International Journal of Molecular Sciences. 2022; 23(17):9819. https://doi.org/10.3390/ijms23179819
Chicago/Turabian StyleAmin, Mutaz, Jurg Ott, Derek Gordon, Rongling Wu, Teodor T. Postolache, Michael Vergare, and Claudia Gragnoli. 2022. "Comorbidity of Novel CRHR2 Gene Variants in Type 2 Diabetes and Depression" International Journal of Molecular Sciences 23, no. 17: 9819. https://doi.org/10.3390/ijms23179819
APA StyleAmin, M., Ott, J., Gordon, D., Wu, R., Postolache, T. T., Vergare, M., & Gragnoli, C. (2022). Comorbidity of Novel CRHR2 Gene Variants in Type 2 Diabetes and Depression. International Journal of Molecular Sciences, 23(17), 9819. https://doi.org/10.3390/ijms23179819

