An Efficient and Effective Deep Learning-Based Model for Real-Time Face Mask Detection
Abstract
:1. Introduction
- For the sake of face mask detection, a limited number of datasets are available with a limited number of images. Therefore, we applied extensive data augmentation techniques to increase the number of samples for effective training and validation output.
- We developed an efficient and effective model for face mask detection. The proposed model is based on MobileNet architecture, followed by an autoencoder to select the best optimal feature for final classification. The proposed model is developed after extensive experiments over several deep learning-based models with different parameters.
- The performance of several models is evaluated in this work using benchmark datasets, and the proposed model achieved the highest accuracy rate as compared to the state-of-the-art models. Furthermore, the efficiency of the proposed model is also evaluated on edge devices to ensure their implementation in real-world scenarios.
2. Proposed Model
2.1. Data Augmentation
2.2. Backbone Architecture
2.3. Proposed Architecture
3. Results and Discussion
3.1. Evaluation Metrics
3.2. Datasets
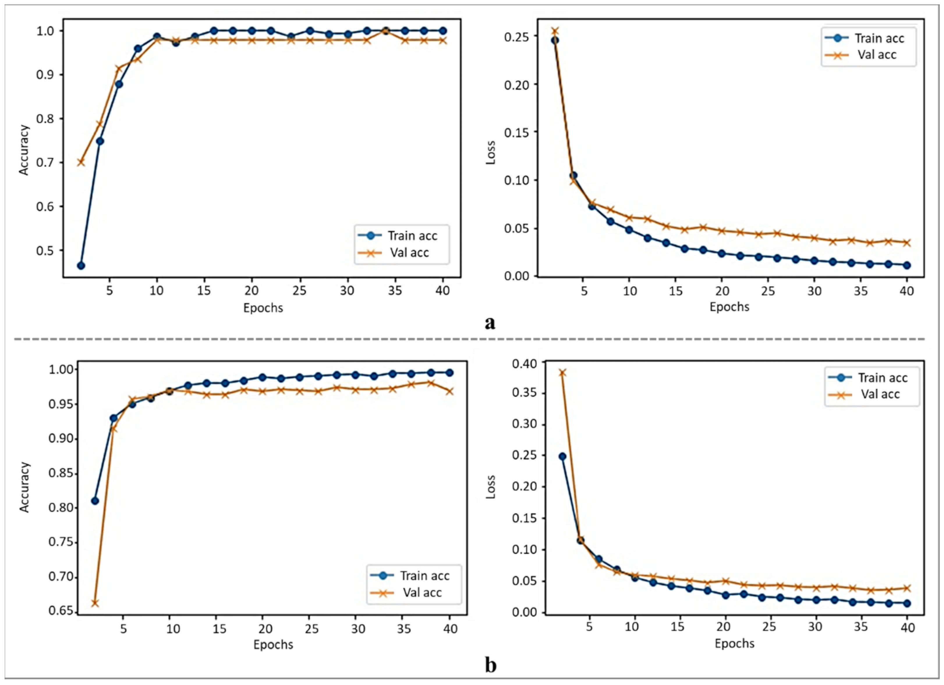
3.3. Ablation Study
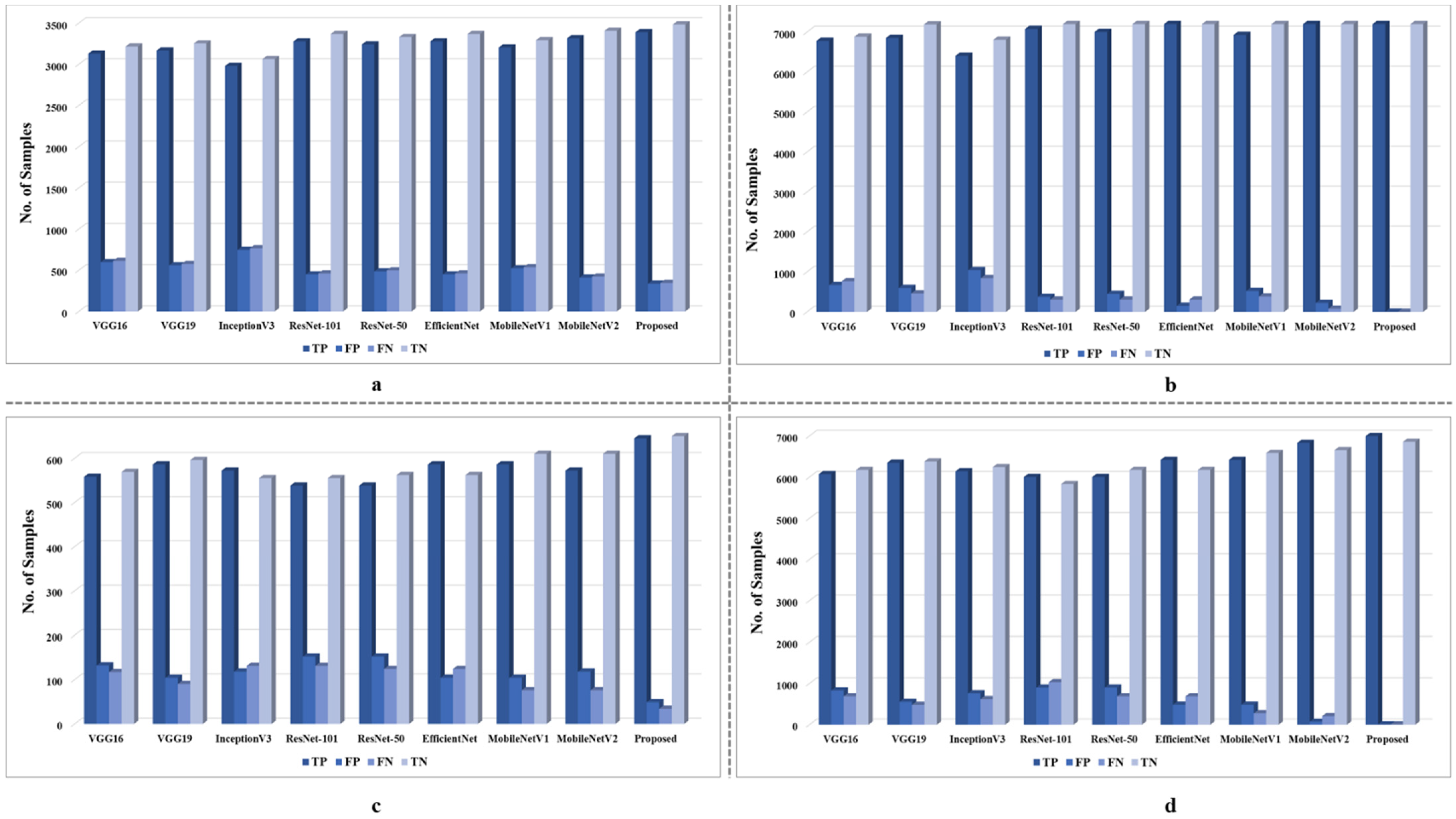
3.4. Comparison with Baselines
3.5. Evaluation Using Edge Devices
4. Conclusions
Author Contributions
Funding
Informed Consent Statement
Conflicts of Interest
References
- Loey, M.; Manogaran, G.; Taha, M.H.N.; Khalifa, N.E.M. A hybrid deep transfer learning model with machine learning methods for face mask detection in the era of the COVID-19 pandemic. Measurement 2021, 167, 108288. [Google Scholar] [CrossRef] [PubMed]
- Feng, S.; Shen, C.; Xia, N.; Song, W.; Fan, M.; Cowling, B.J. Rational use of face masks in the COVID-19 pandemic. Lancet Respir. Med. 2020, 8, 434–436. [Google Scholar] [CrossRef]
- Liu, X.; Zhang, S. COVID-19: Face masks and human-to-human transmission. Influenza Other Respir. Viruses 2020, 14, 472–473. [Google Scholar] [CrossRef]
- World Health Organization. WHO Coronavirus Disease (COVID-19) Dashboard. Available online: https://covid19.who.int (accessed on 29 July 2020).
- John, C.C.; Ponnusamy, V.; Chandrasekaran, S.K.; Nandakumar, R. A survey on mathematical, machine learning and deep learning models for COVID-19 transmission and diagnosis. IEEE Rev. Biomed. Eng. 2021, 15, 325–340. [Google Scholar] [CrossRef] [PubMed]
- Varsavsky, T.; Graham, M.S.; Canas, L.S.; Ganesh, S.; Pujol, J.C.; Sudre, C.H.; Murray, B.; Modat, M.; Cardoso, M.J.; Astley, C.M.; et al. Detecting COVID-19 infection hotspots in England using large-scale self-reported data from a mobile application: A prospective, observational study. Lancet Public Health 2021, 6, e21–e29. [Google Scholar] [CrossRef]
- Ilyas, M.; Rehman, H.; Naït-Ali, A. Detection of covid-19 from chest X-ray images using artificial intelligence: An early review. arXiv 2020, arXiv:2004.05436. [Google Scholar]
- Jabra, M.B.; Koubaa, A.; Benjdira, B.; Ammar, A.; Hamam, H. COVID-19 diagnosis in chest X-rays using deep learning and majority voting. Appl. Sci. 2021, 11, 2884. [Google Scholar] [CrossRef]
- Martinez, M.; Yang, K.; Constantinescu, A.; Stiefelhagen, R. Helping the blind to get through COVID-19: Social distancing assistant using real-time semantic segmentation on RGB-D video. Sensors 2020, 20, 5202. [Google Scholar] [CrossRef]
- Altmann, D.M.; Douek, D.C.; Boyton, R.J. What policy makers need to know about COVID-19 protective immunity. Lancet 2020, 395, 1527–1529. [Google Scholar] [CrossRef]
- Schnitzer, M.; Schöttl, S.E.; Kopp, M.; Barth, M. COVID-19 stay-at-home order in Tyrol, Austria: Sports and exercise behaviour in change? Public Health 2020, 185, 218–220. [Google Scholar] [CrossRef]
- Alsunaidi, S.; Almuhaideb, A.; Ibrahim, N.; Shaikh, F.; Alqudaihi, K.; Alhaidari, F.; Khan, I.; Aslam, N.; Alshahrani, M. Applications of Big Data Analytics to Control COVID-19 Pandemic. Sensors 2021, 21, 2282. [Google Scholar] [CrossRef] [PubMed]
- Agarwal, K.M.; Mohapatra, S.; Sharma, P.; Sharma, S.; Bhatia, D.; Mishra, A. Study and overview of the novel corona virus disease (COVID-19). Sens. Int. 2020, 1, 100037. [Google Scholar] [CrossRef] [PubMed]
- Yadav, S. Deep Learning based Safe Social Distancing and Face Mask Detection in Public Areas for COVID-19 Safety Guidelines Adherence. Int. J. Res. Appl. Sci. Eng. Technol. 2020, 8, 1368–1375. [Google Scholar] [CrossRef]
- Nagrath, P.; Jain, R.; Madan, A.; Arora, R.; Kataria, P.; Hemanth, J. SSDMNV2: A real time DNN-based face mask detection system using single shot multibox detector and MobileNetV2. Sustain. Cities Soc. 2020, 66, 102692. [Google Scholar] [CrossRef] [PubMed]
- Abbas, A.; Abdelsamea, M.M.; Gaber, M.M. Classification of COVID-19 in chest X-ray images using DeTraC deep convolutional neural network. Appl. Intell. 2021, 51, 854–864. [Google Scholar] [CrossRef]
- Qin, B.; Li, D. Identifying Facemask-Wearing Condition Using Image Super-Resolution with Classification Network to Prevent COVID-19. Sensors 2020, 20, 5236. [Google Scholar] [CrossRef]
- Ejaz, M.S.; Islam, M.R.; Sifatullah, M.; Sarker, A. Implementation of principal component analysis on masked and non-masked face recognition. In Proceedings of the 2019 1st International Conference on Advances in Science, Engineering and Robotics Technology (ICASERT), Dhaka, Bangladesh, 3–5 May 2019; pp. 1–5. [Google Scholar]
- Adjabi, I.; Ouahabi, A.; Benzaoui, A.; Taleb-Ahmed, A. Past, Present, and Future of Face Recognition: A Review. Electronics 2020, 9, 1188. [Google Scholar] [CrossRef]
- Hernandez-Ortega, J.; Galbally, J.; Fierrez, J.; Beslay, L. Biometric quality: Review and application to face recognition with faceqnet. arXiv 2020, arXiv:2006.03298. [Google Scholar]
- Kaur, P.; Krishan, K.; Sharma, S.K.; Kanchan, T. Facial-recognition algorithms: A literature review. Med. Sci. Law 2020, 60, 131–139. [Google Scholar] [CrossRef]
- Din, N.U.; Javed, K.; Bae, S.; Yi, J. A Novel GAN-Based Network for Unmasking of Masked Face. IEEE Access 2020, 8, 44276–44287. [Google Scholar] [CrossRef]
- Ge, S.; Li, J.; Ye, Q.; Luo, Z. Detecting masked faces in the wild with LLE-CNNS. In Proceedings of the IEEE Conference on Computer Vision and Pattern Recognition, Honolulu, HI, USA, 21–26 July 2017; pp. 2682–2690. [Google Scholar]
- Teboulbi, S.; Messaoud, S.; Hajjaji, M.A.; Mtibaa, A. Real-Time Implementation of AI-Based Face Mask Detection and Social Distancing Measuring System for COVID-19 Prevention. Sci. Program. 2021, 2021, 8340779. [Google Scholar] [CrossRef]
- Boulila, W.; Alzahem, A.; Almoudi, A.; Afifi, M.; Alturki, I.; Driss, M. A Deep Learning-based Approach for Real-time Facemask Detection. In Proceedings of the 2021 20th IEEE International Conference on Machine Learning and Applications (ICMLA), Pasadena, CA, USA, 13–16 December 2021. [Google Scholar]
- Sethi, S.; Kathuria, M.; Kaushik, T. Face mask detection using deep learning: An approach to reduce risk of Coronavirus spread. J. Biomed. Inform. 2021, 120, 103848. [Google Scholar] [CrossRef] [PubMed]
- Hussain, G.K.J.; Priya, R.; Rajarajeswari, S.; Prasanth, P.; Niyazuddeen, N. The Face Mask Detection Technology for Image Analysis in the Covid-19 Surveillance System, 1st ed.; IOP Publishing: Bristol, UK, 2021; Volume 1916, p. 012084. [Google Scholar]
- Ullah, W.; Ullah, A.; Hussain, T.; Khan, Z.; Baik, S. An Efficient Anomaly Recognition Framework Using an Attention Residual LSTM in Surveillance Videos. Sensors 2021, 21, 2811. [Google Scholar] [CrossRef] [PubMed]
- Yar, H.; Hussain, T.; Khan, Z.A.; Koundal, D.; Lee, M.Y.; Baik, S.W. Vision sensor-based real-time fire detection in resource-constrained IoT environments. Comput. Intell. Neurosci. 2021, 2021, 5195508. [Google Scholar] [CrossRef] [PubMed]
- Khan, Z.A.; Hussain, T.; Baik, S.W. Boosting energy harvesting via deep learning-based renewable power generation prediction. J. King Saud Univ. Sci. 2022, 34, 101815. [Google Scholar] [CrossRef]
- Khan, Z.A.; Hussain, T.; Ullah, A.; Rho, S.; Lee, M.; Baik, S.W. Towards Efficient Electricity Forecasting in Residential and Commercial Buildings: A Novel Hybrid CNN with a LSTM-AE based Framework. Sensors 2020, 20, 1399. [Google Scholar] [CrossRef] [Green Version]
- Zhang, Y.-D.; Dong, Z.; Chen, X.; Jia, W.; Du, S.; Muhammad, K.; Wang, S.H. Image based fruit category classification by 13-layer deep convolutional neural network and data augmentation. Multimed. Tools Appl. 2019, 78, 3613–3632. [Google Scholar] [CrossRef]
- Brunelli, R.; Poggio, T. Face recognition: Features versus templates. IEEE Trans. Pattern Anal. Mach. Intell. 1993, 15, 1042–1052. [Google Scholar] [CrossRef]
- Ullah, A.; Muhammad, K.; Haq, I.U.; Baik, S.W. Action recognition using optimized deep autoencoder and CNN for surveillance data streams of non-stationary environments. Future Gener. Comput. Syst. 2019, 96, 386–397. [Google Scholar] [CrossRef]
- Face Mask Detection Dataset. Available online: https://www.kaggle.com/omkargurav/face-mask-dataset (accessed on 12 December 2021).
- Oumina, A.; El Makhfi, N.; Hamdi, M. Control the covid-19 pandemic: Face mask detection using transfer learning. In Proceedings of the 2020 IEEE 2nd International Conference on Electronics, Control, Optimization and Computer Science (ICECOCS), Kenitra, Morocco, 2–3 December 2020. [Google Scholar]
- Simonyan, K.; Zisserman, A. Very deep convolutional networks for large-scale image recognition. arXiv 2014, arXiv:1409.1556. [Google Scholar]
- Szegedy, C.; Vanhoucke, V.; Ioffe, S.; Shlens, J.; Wojna, Z. Rethinking the Inception Architecture for Computer Vision. In Proceedings of the IEEE Conference on Computer Vision and Pattern Recognition (CVPR), Las Vegas, NV, USA, 27–30 June 2016; pp. 2818–2826. [Google Scholar]
- Zoph, B.; Vasudevan, V.; Shlens, J.; Le, Q.V. Learning transferable architectures for scalable image recognition. In Proceedings of the 2018 IEEE/CVF Conference on Computer Vision and Pattern Recognition (CVPR), Salt Lake City, UT, USA, 18–23 June 2018. [Google Scholar]
- Howard, A.G.; Zhu, M.; Chen, B.; Kalenichenko, D.; Wang, W.; Weyand, T.; Andreetto, M.; Adam, H. Mobilenets: Efficient convolutional neural networks for mobile vision applications. arXiv 2017, arXiv:1704.04861. [Google Scholar]
- Sandler, M.; Howard, A.; Zhu, M.; Zhmoginov, A.; Chen, L. MobileNetV2: Inverted residuals and linear bottlenecks. In Proceedings of the IEEE/CVF Conference on Computer Vision and Pattern Recognition (CVPR), Salt Lake City, UT, USA, 18–23 June 2018; pp. 4510–4520. [Google Scholar]
- He, K.; Zhang, X.; Ren, S.; Sun, J. Deep residual learning for image recognition. In Proceedings of the 2016 IEEE Conference on Computer Vision and Pattern Recognition (CVPR), Las Vegas, NV, USA, 27–30 June 2016; IEEE Computer Society: Washington, DC, USA, 2015; pp. 770–778. [Google Scholar]
- Tan, M.; Le, Q. Efficientnet: Rethinking Model Scaling for Convolutional Neural Networks; PMLR: Long Beach, CA, USA, 2019; pp. 6105–6114. [Google Scholar]
- Militante, S.V.; Dionisio, N.V. Real-time facemask recognition with alarm system using deep learning. In Proceedings of the 2020 11th IEEE Control and System Graduate Research Colloquium (ICSGRC), Shah Alam, Malaysia, 8 August 2020. [Google Scholar]
- Chen, Q.; Sang, L. Face-mask recognition for fraud prevention using Gaussian mixture model. J. Vis. Commun. Image Represent. 2018, 55, 795–801. [Google Scholar] [CrossRef]
- Hariri, W. Efficient masked face recognition method during the covid-19 pandemic. arXiv 2021, arXiv:2105.03026. [Google Scholar] [CrossRef] [PubMed]




| S. No | Technique | Parameter |
|---|---|---|
| 1 | Rotation (degree angle) | −15–15 |
| 2 | Flip | Right, left |
| 3 | Gaussian Blur (value of sigma) | 0.25, 0.50, 0.75, 1.0 |
| 4 | Sharping (value of lightness) | 0.50, 1.00, 1.50, 2.00 |
| 5 | Emboss (value of strength) | 0.50, 1.00, 1.50, 2.0 |
| 6 | Skew (Tilt) | Right, left |
| 7 | Shear | x-axis and y-axis, 10 degrees |
| Layer | Repetition | Size of Stride |
|---|---|---|
| Convolution 3 × 3 | 1 | 2 |
| Bottleneck | 1 | 1 |
| 2 | 2 | |
| 3 | 2 | |
| 4 | 2 | |
| 3 | 1 | |
| 3 | 2 | |
| 1 | 1 | |
| Convolution 1 × 1 | 1 | 1 |
| Pooling 7 × 7 | 1 | - |
| Convolution 1 × 1 | 1 | - |
| Type of Layer | Output Shape | Params. |
|---|---|---|
| MobileNetV2 | 7 × 7 × 1280 | 2,257,984 |
| Global average pooling | 1280 | - |
| Encoder1 | 640 | 819,840 |
| Encoder1 | 320 | 205,120 |
| Dense | 64 | 20,544 |
| Dense | 32 | 2080 |
| Dense | 2 | 66 |
| Total params. | 3,305,634 |
| Dataset | Original | Augmented | ||
|---|---|---|---|---|
| Mask | Normal | Mask | Normal | |
| FMD | 3725 | 3828 | 7450 | 7656 |
| FM | 690 | 686 | 6900 | 6860 |
| Dataset | Data Type | Model | Precision | Recall | F1-Score | Accuracy |
|---|---|---|---|---|---|---|
| FMD | Original data | VGG16 | 0.8295 | 0.8431 | 0.8363 | 0.8397 |
| VGG19 | 0.8389 | 0.8527 | 0.8457 | 0.849 | ||
| InceptionV3 | 0.7893 | 0.8011 | 0.7951 | 0.7993 | ||
| ResNet-101 | 0.8698 | 0.884 | 0.8769 | 0.8795 | ||
| ResNet-50 | 0.8792 | 0.8585 | 0.8687 | 0.8689 | ||
| EfficientNet | 0.8094 | 0.9178 | 0.8602 | 0.8702 | ||
| MobileNetV1 | 0.8698 | 0.8493 | 0.8594 | 0.8596 | ||
| MobileNetV2 | 0.8792 | 0.8948 | 0.8869 | 0.8894 | ||
| Proposed | 0.9098 | 0.9076 | 0.9087 | 0.9098 | ||
| Augmented data | VGG16 | 0.9099 | 0.8985 | 0.9042 | 0.9048 | |
| VGG19 | 0.9199 | 0.9371 | 0.9284 | 0.93 | ||
| InceptionV3 | 0.8599 | 0.8838 | 0.8717 | 0.8751 | ||
| ResNet-101 | 0.9499 | 0.9584 | 0.9542 | 0.955 | ||
| ResNet-50 | 0.9399 | 0.958 | 0.9488 | 0.95 | ||
| EfficientNet | 0.9799 | 0.9596 | 0.9696 | 0.9697 | ||
| MobileNetV1 | 0.9299 | 0.9476 | 0.9387 | 0.9401 | ||
| MobileNetV2 | 0.9699 | 0.9895 | 0.9796 | 0.9801 | ||
| Proposed | 0.9997 | 1.0 | 0.9999 | 0.9999 | ||
| FM | Original data | VGG16 | 0.8087 | 0.8267 | 0.8176 | 0.819 |
| VGG19 | 0.8493 | 0.8669 | 0.858 | 0.859 | ||
| InceptionV3 | 0.829 | 0.8137 | 0.8212 | 0.819 | ||
| ResNet-101 | 0.7797 | 0.8042 | 0.7918 | 0.7943 | ||
| ResNet-50 | 0.7797 | 0.8127 | 0.7959 | 0.7994 | ||
| EfficientNet | 0.8493 | 0.8254 | 0.8371 | 0.8343 | ||
| MobileNetV1 | 0.829 | 0.8827 | 0.855 | 0.859 | ||
| MobileNetV2 | 0.8493 | 0.8852 | 0.8669 | 0.8692 | ||
| Proposed | 0.9348 | 0.9499 | 0.9423 | 0.9426 | ||
| Augmented data | VGG16 | 0.8799 | 0.8983 | 0.889 | 0.8898 | |
| VGG19 | 0.9199 | 0.9296 | 0.9247 | 0.9249 | ||
| InceptionV3 | 0.8899 | 0.9086 | 0.8991 | 0.8999 | ||
| ResNet-101 | 0.8699 | 0.8535 | 0.8616 | 0.8599 | ||
| ResNet-50 | 0.8699 | 0.8973 | 0.8834 | 0.8848 | ||
| EfficientNet | 0.9299 | 0.9033 | 0.9164 | 0.9149 | ||
| MobileNetV1 | 0.9299 | 0.9589 | 0.9442 | 0.9448 | ||
| MobileNetV2 | 0.9899 | 0.9707 | 0.9802 | 0.9799 | ||
| Proposed | 0.9993 | 0.9994 | 0.9994 | 0.9994 |
| Data Type | Model | Precision | Recall | F1-Score | Accuracy |
|---|---|---|---|---|---|
| Original data | VGG16 | 0.8798 | 0.2894 | 0.4355 | 0.8884 |
| VGG19 | 0.8998 | 0.3333 | 0.4864 | 0.9071 | |
| InceptionV3 | 0.9198 | 0.3897 | 0.5475 | 0.9221 | |
| ResNet-101 | 0.8898 | 0.31 | 0.4598 | 0.8965 | |
| ResNet-50 | 0.9298 | 0.4246 | 0.5829 | 0.9394 | |
| EfficientNet | 0.9098 | 0.3596 | 0.5155 | 0.9173 | |
| MobileNetV1 | 0.9198 | 0.3897 | 0.5475 | 0.9245 | |
| MobileNetV2 | 0.9298 | 0.4246 | 0.5829 | 0.9328 | |
| Proposed | 0.9498 | 0.5134 | 0.6665 | 0.9516 | |
| Balanced data | VGG16 | 0.9298 | 0.4246 | 0.5829 | 0.9334 |
| VGG19 | 0.9498 | 0.5134 | 0.6665 | 0.9529 | |
| InceptionV3 | 0.9398 | 0.4652 | 0.6224 | 0.9422 | |
| ResNet-101 | 0.9898 | 0.846 | 0.9123 | 0.9934 | |
| ResNet-50 | 0.9798 | 0.7312 | 0.8374 | 0.9881 | |
| EfficientNet | 0.9898 | 0.846 | 0.9123 | 0.9935 | |
| MobileNetV1 | 0.9798 | 0.7312 | 0.8374 | 0.9874 | |
| MobileNetV2 | 0.9993 | 0.9973 | 0.9983 | 0.9998 | |
| Proposed | 0.9998 | 0.9998 | 0.9998 | 1 |
| Model | Precision | Recall | F1-Score | Accuracy |
|---|---|---|---|---|
| Militante et al. [44] | 0.975 | 0.945 | 0.955 | 0.96 |
| Chen et al. [45] | - | - | - | 0.9480 |
| Hariri et al. [46] | - | - | - | 0.913 |
| Oumina et al. [36] | 0.9484 | 0.9508 | - | 0.9711 |
| Loey et al. [1] | 0.9963 | 0.9963 | 0.9945 | 0.9964 |
| Proposed | 0.9996 | 0.9997 | 0.9997 | 0.9998 |
| Setting | Memory | Model |
|---|---|---|
| Raspberry Pi | 4 GB | Raspberry Pi 4 B+ |
| CPU | 32 GB | AMD Ryzen 5 5600X 6-Core Processor |
| GPU | 8 GB | RTX 2070 |
Publisher’s Note: MDPI stays neutral with regard to jurisdictional claims in published maps and institutional affiliations. |
© 2022 by the authors. Licensee MDPI, Basel, Switzerland. This article is an open access article distributed under the terms and conditions of the Creative Commons Attribution (CC BY) license (https://creativecommons.org/licenses/by/4.0/).
Share and Cite
Habib, S.; Alsanea, M.; Aloraini, M.; Al-Rawashdeh, H.S.; Islam, M.; Khan, S. An Efficient and Effective Deep Learning-Based Model for Real-Time Face Mask Detection. Sensors 2022, 22, 2602. https://doi.org/10.3390/s22072602
Habib S, Alsanea M, Aloraini M, Al-Rawashdeh HS, Islam M, Khan S. An Efficient and Effective Deep Learning-Based Model for Real-Time Face Mask Detection. Sensors. 2022; 22(7):2602. https://doi.org/10.3390/s22072602
Chicago/Turabian StyleHabib, Shabana, Majed Alsanea, Mohammed Aloraini, Hazim Saleh Al-Rawashdeh, Muhammad Islam, and Sheroz Khan. 2022. "An Efficient and Effective Deep Learning-Based Model for Real-Time Face Mask Detection" Sensors 22, no. 7: 2602. https://doi.org/10.3390/s22072602
APA StyleHabib, S., Alsanea, M., Aloraini, M., Al-Rawashdeh, H. S., Islam, M., & Khan, S. (2022). An Efficient and Effective Deep Learning-Based Model for Real-Time Face Mask Detection. Sensors, 22(7), 2602. https://doi.org/10.3390/s22072602

