A Multi-Aperture Technique for Longitudinal Miniaturization of UWB 3 dB Dual-Layer SIW Coupler
Abstract
1. Introduction
2. Theoretical Formulation
2.1. Computation of Signal in Coupled Waveguide
- Excite the primary waveguide.
- 2.
- Calculate the equivalent polarization currents at the aperture.
- 3.
- Calculate the electric and magnetic current sources.
- 4.
- Calculate the forward and backward travelling signals.
2.1.1. Expression for
2.1.2. Expression for
2.2. Effect of Geometric Parameters
2.2.1. Effect of Aperture Length and Width
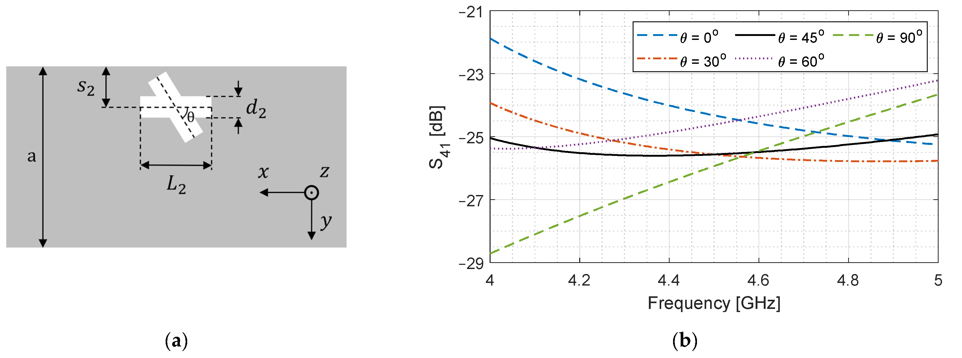
2.2.2. Effect of Aperture Rotation
2.3. Multi-Aperture Topologies
2.3.1. Apertures in the Longitudinal Direction
2.3.2. Apertures in the Transverse Direction
- In broad-wall aperture coupling using TE10 mode, has the highest contribution towards . The second highest contribution comes from , while has very little offering.
- Aperture length drastically increases , while aperture width has a relatively low effect.
- Rotating the aperture signifies the effect of while diminishing the effect of . This can be used to reduce the fluctuation in .
- Multiple apertures along the broad-wall length exponentially increase coupling. The distance between apertures does not affect , but it should be for enhanced isolation.
- Apertures in the transverse direction increase coupling by 6 dB.
3. Design Methodology
3.1. Longitudinal Slot Aperture
3.2. Cross-Slot Apertures
3.3. Combined Apertures
4. Measured Results
5. Conclusions
Author Contributions
Funding
Institutional Review Board Statement
Informed Consent Statement
Data Availability Statement
Conflicts of Interest
References
- Sun, Q.; Ban, Y.-L.; Che, Y.-X.; Nie, Z. Coexistence-mode CRLH SIW transmission line and its application for longitudinal miniaturized Butler matrix and multibeam array antenna. IEEE Trans. Antennas Propag. 2021, 69, 7593–7603. [Google Scholar] [CrossRef]
- Ren, H.; Zhang, H.; Arigong, B. Ultra-compact 3 × 3 Nolen matrix beamforming network. IET Microw. Antennas Propag. 2020, 14, 143–148. [Google Scholar] [CrossRef]
- Li, J.; Yan, L.; Liu, C.; Bai, H.; Cui, W. Design and Implementation of C-Band Large-Power Planar Butler Matrix in SRS. Sensors 2024, 24, 2132. [Google Scholar] [CrossRef] [PubMed]
- Sakhiya, R.; Chowdhury, S. A Low-Loss, 77 GHz, 8 × 8 Microstrip Butler Matrix on a High-Purity Fused-Silica (HPFS) Glass Substrate. Sensors 2023, 23, 1418. [Google Scholar] [CrossRef] [PubMed]
- Mohan, M.P.; Cai, H.; Alphones, A.; Karim, M.F. mmWave Zero Order Resonant Antenna with Patch-Like Radiation Fed by a Butler Matrix for Passive Beamforming. Sensors 2023, 23, 7973. [Google Scholar] [CrossRef]
- Lialios, D.I.; Ntetsikas, N.; Paschaloudis, K.D.; Zekios, C.L.; Georgakopoulos, S.V.; Kyriacou, G.A. Design of true time delay millimeter wave beamformers for 5G multibeam phased arrays. Electronics 2020, 9, 1331. [Google Scholar] [CrossRef]
- Cui, C.; Li, W.; Ye, X.; Hei, Y.; Shi, X. A short-time range-angle-decoupled beam pattern synthesis for frequency diverse arrays. IET Microw. Antennas Propag. 2021, 15, 855–870. [Google Scholar] [CrossRef]
- Zhang, J.; Zeng, Y.; Qi, Z.; Wang, L.; Wang, Y.; Shen, X. Two-Dimensional Barrage Jamming against SAR Using a Frequency Diverse Array Jammer. Sensors 2023, 23, 2449. [Google Scholar] [CrossRef] [PubMed]
- Mochumbe, S.E.; Yang, Y. Design of a Load Modulated Balanced Amplifier with a Two-Stage Control Power Amplifier. J. Electromagn. Eng. Sci. 2023, 23, 294–301. [Google Scholar] [CrossRef]
- Yan, D.; Xing, L.; Xu, Q.; Zhang, G.; Zhu, J. A multi-aperture coupling liquid attenuator. IET Microw. Antennas Propag. 2021, 15, 1754–1761. [Google Scholar] [CrossRef]
- Hussein, Y.M.; Rahim, M.K.A.; Murad, N.A.; Hanoosh, H.O. Low Loss Wideband 4 × 4 Butler Matrix Networks Based on Substrate Integrated Waveguide for 5G Applications. IEEE Access 2023, 12, 7896–7910. [Google Scholar] [CrossRef]
- Liu, B.; Hong, W.; Wang, Y.Q.; Lai, Q.H.; Wu, K. Half mode substrate integrated waveguide (HMSIW) 3-dB coupler. IEEE Microw. Wirel. Compon. Lett. 2007, 17, 22–24. [Google Scholar] [CrossRef]
- Qiu, L.L.; Zhu, L.; Ouyang, Z.A.; Deng, L. Wideband Butler matrix based on dual-layer HMSIW for enhanced miniaturization. IEEE Microw. Wirel. Compon. Lett. 2021, 32, 25–28. [Google Scholar] [CrossRef]
- Liu, S.; Xu, F. Compact multilayer half mode substrate integrated waveguide 3-dB coupler. IEEE Microw. Wirel. Compon. Lett. 2018, 28, 564–566. [Google Scholar] [CrossRef]
- Deng, H.W.; Sun, L.; Zhu, J.M.; Han, Y.K.; Xue, Y.F. High CM suppression balanced SIW BPF and HMSIW directional coupler utilising perfect electric conductor/perfect magnetic conductor characteristic. IET Microw. Antennas Propag. 2020, 14, 1061–1068. [Google Scholar] [CrossRef]
- Wu, Z.M.; Ji, L.; Li, X.C.; Zhu, H.B.; Mao, J.F. A slow wave folded ridge HMSIW using spoof surface plasmon polaritons structure and its application in coupler design. IEEE Trans. Compon. Packag. Manuf. Technol. 2023, 13, 594–603. [Google Scholar] [CrossRef]
- Peng, Y.; Sun, L. A Compact HMSIW Coupler Based on Slow Wave Structures. In Proceedings of the 2022 IEEE Latin American Electron Devices Conference (LAEDC), Cancun, Mexico, 4–6 July 2022; IEEE: New York, NY, USA, 2022. [Google Scholar]
- Hu, X.; Xu, F. A six-port network based on substrate integrated waveguide coupler with metal strips. IET Microw. Antennas Propag. 2022, 16, 18–28. [Google Scholar] [CrossRef]
- Li, T.; Dou, W. Substrate integrated waveguide 3 dB directional coupler based on air-filled vias. Electron. Lett. 2017, 53, 611–613. [Google Scholar] [CrossRef]
- Wang, L.; Wang, G.; Sidén, J. High-performance tight coupling microstrip directional coupler with fragment-type compensated structure. IET Microw. Antennas Propag. 2017, 11, 1057–1063. [Google Scholar] [CrossRef]
- Zhang, X.-Y.; Lee, J.-C. A Dual-Band Branch-Line Coupler with Ultra-Wideband Harmonic Suppression. J. Electromagn. Eng. Sci. 2023, 23, 57–62. [Google Scholar] [CrossRef]
- Ali, A.; Aubert, H.; Fonseca, N.; Coccetti, F. Wideband two-layer SIW coupler: Design and experiment. Electron. Lett. 2009, 45, 687–689. [Google Scholar] [CrossRef]
- Liu, S.; Xu, F. Minimized multi-layer substrate integrated waveguide 3-dB small aperture coupler. Microw. Opt. Technol. Lett. 2017, 59, 3201–3205. [Google Scholar] [CrossRef]
- Bilal, A.; Shah, Y.H.; Bhattacharjee, S.; Cho, C.-S. A Multi-Aperture Technique for Longitudinal Miniaturization of UWB 3-dB SIW Coupler. In Proceedings of the 2023 Korea Information and Communication Equipment Society Summer Conference Proceedings, Jeju, Republic of Korea, 21–24 June 2023; pp. 83–84. [Google Scholar]
- Bilal, A.; Shah, Y.H.; Bhattacharjee, S.; Cho, C.S. Design of a Multilayer Longitudinally Compact UWB 3-dB Microwave Coupler using Multiple Apertures. In Proceedings of the 2023 IEEE International Radar Conference (RADAR), Sydney, Australia, 6–10 November 2023; IEEE: New York, NY, USA, 2023. [Google Scholar]
- Dogan, S.E.; Johnson, J.T.; Burkholder, R.J. On the Electromagnetic Fields Excited in a Finite-Length Circular Cylindrical Cavity by Plane Wave Incidence on a Longitudinal Aperture. IEEE Trans. Electromagn. Compat. 2023, 65, 1972–1980. [Google Scholar] [CrossRef]
- Pozar, D.M. Microwave Engineering; John Wiley & Sons: Hoboken, NJ, USA, 2011; pp. 210–213. [Google Scholar]
- Rambabu, K.; Thiart, H.A.; Bornemann, J. Simplified analysis for the initial design of rectangular waveguide cross-slot couplers. IEE Proc.-Microw. Antennas Propag. 2005, 152, 226–230. [Google Scholar] [CrossRef]



















| Frequency | |||||
|---|---|---|---|---|---|
| 4–5 GHz | 42 | 11 | 9 | 9 | 6 |
| Frequency | |||||
|---|---|---|---|---|---|
| 4–5 GHz | 42 | 11 | 18 | 9 | 11 |
| 42 | 11 | 21 | 5 | 11.5 | 18 | 5 |
| Parameter | |||||||||||
| Value | 36 | 12 | 11 | 3 | 1 | 1 | 3 | 35 | 7 | 8 | 0.5 |
| Parameter | |||||||||||
| Value | 0.8 | 10 | 2.6 | 9 | 10 | 78 | 14 | 2 | 20 | 1.6 |
| Ref. | FBW | Magnitude (dB) | ) |
|---|---|---|---|
| [12] | 25% | −4.1 ± 0.5 | 1.3 × 0.8 |
| [13] | 21% | Not Given | 0.94 × 0.32 |
| [14] | 34.5% | −4.4 ± 0.5 | 1.39 × 0.47 |
| [17] | 28.32% | −3.67 ± 0.5 | 0.517 × 1.01 |
| [20] | 21.5% | −3.2 ± 0.3 | 0.6 × 0.26 |
| [22] | 8% | Not Given | 0.78 × 0.71 |
| [23] | 35.3% | −4.4 ± 0.5 | 1.3 × 0.9 |
| This Work | 37% | −4.3 ± 0.5 | 0.63 × 0.53 |
Disclaimer/Publisher’s Note: The statements, opinions and data contained in all publications are solely those of the individual author(s) and contributor(s) and not of MDPI and/or the editor(s). MDPI and/or the editor(s) disclaim responsibility for any injury to people or property resulting from any ideas, methods, instructions or products referred to in the content. |
© 2024 by the authors. Licensee MDPI, Basel, Switzerland. This article is an open access article distributed under the terms and conditions of the Creative Commons Attribution (CC BY) license (https://creativecommons.org/licenses/by/4.0/).
Share and Cite
Bilal, A.; Hadee, A.; Shah, Y.H.; Bhattacharjee, S.; Cho, C.S. A Multi-Aperture Technique for Longitudinal Miniaturization of UWB 3 dB Dual-Layer SIW Coupler. Sensors 2024, 24, 3376. https://doi.org/10.3390/s24113376
Bilal A, Hadee A, Shah YH, Bhattacharjee S, Cho CS. A Multi-Aperture Technique for Longitudinal Miniaturization of UWB 3 dB Dual-Layer SIW Coupler. Sensors. 2024; 24(11):3376. https://doi.org/10.3390/s24113376
Chicago/Turabian StyleBilal, Ahmad, Abdul Hadee, Yash H. Shah, Sohom Bhattacharjee, and Choon Sik Cho. 2024. "A Multi-Aperture Technique for Longitudinal Miniaturization of UWB 3 dB Dual-Layer SIW Coupler" Sensors 24, no. 11: 3376. https://doi.org/10.3390/s24113376
APA StyleBilal, A., Hadee, A., Shah, Y. H., Bhattacharjee, S., & Cho, C. S. (2024). A Multi-Aperture Technique for Longitudinal Miniaturization of UWB 3 dB Dual-Layer SIW Coupler. Sensors, 24(11), 3376. https://doi.org/10.3390/s24113376

