An Optical Sensor for Measuring Displacement between Parallel Surfaces
Abstract
1. Introduction
2. Materials and Methods
2.1. Experiment Design
2.2. Sensor Component, Design and Fabrication
2.3. Experiment Set-Up
2.4. Data Collection
2.4.1. Data Acquisition and Analysis
2.4.2. Polynomial Regression Model
2.4.3. Model Fitting

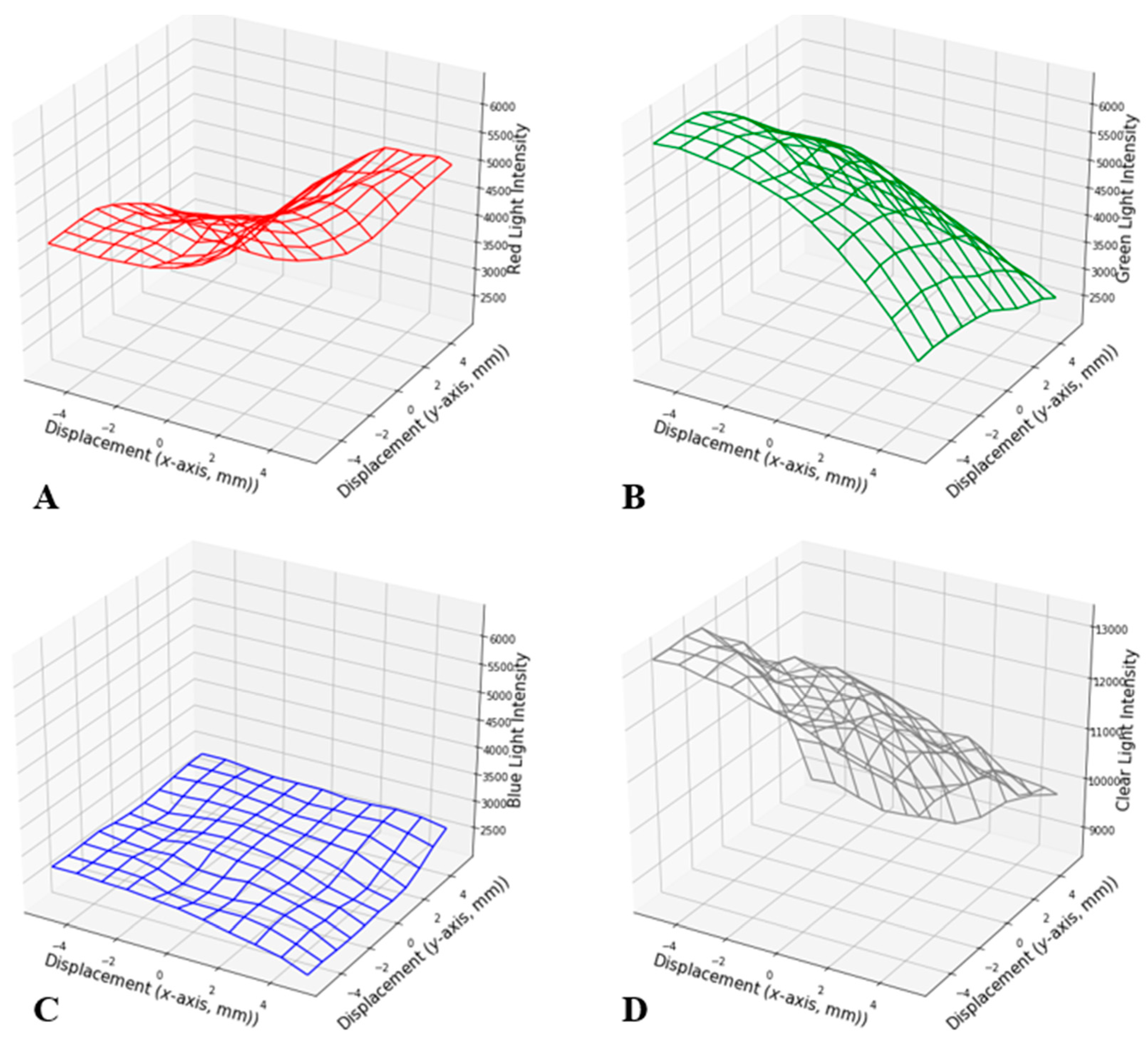
3. Results
3.1. Performance Assessment
3.2. Predicted Values vs. Actual Values
4. Discussion
5. Conclusions
Author Contributions
Funding
Institutional Review Board Statement
Informed Consent Statement
Data Availability Statement
Conflicts of Interest
References
- Hafner, B.J.; Sanders, J.E. Considerations for development of sensing and monitoring tools to facilitate treatment and care of persons with lower-limb loss: A review. J. Rehabil. Res. Dev. 2014, 51, 1–14. [Google Scholar] [CrossRef] [PubMed]
- Al-Fakih, E.A.; Abu Osman, N.A.; Mahmad Adikan, F.R. Techniques for Interface Stress Measurements within Prosthetic Sockets of Transtibial Amputees: A Review of the Past 50 Years of Research. Sensors 2016, 16, 1119. [Google Scholar] [CrossRef] [PubMed]
- Xu, K.; Qin, S. An Interdisciplinary Approach and Advanced Techniques for Enhanced 3D-Printed Upper Limb Prosthetic Socket Design: A Literature Review. Actuators 2023, 12, 223. [Google Scholar] [CrossRef]
- Sewell, P.; Noroozi, S.; Vinney, J.; Andrews, S. Developments in the trans-tibial prosthetic socket fitting process: A review of past and present research. Prosthet. Orthot. Int. 2000, 24, 97–107. [Google Scholar] [CrossRef] [PubMed]
- Merat, P.; Harvey, E.J.; Mitsis, G.D.; Chodavarapu, V.P. A Clip-on Shoe-Mounted Wearable System for Gait Analysis. In Proceedings of the NAECON 2018—IEEE National Aerospace and Electronics Conference, Dayton, OH, USA, 23–26 July 2018; pp. 366–369. [Google Scholar] [CrossRef]
- Brookhuis, R.A.; Droogendijk, H.; de Boer, M.J.; Sanders, R.G.; Lammerink, T.S.; Wiegerink, R.J.; Krijnen, G.J. Six-axis force–torque sensor with a large range for biomechanical applications. J. Micromech. Microeng. 2014, 24, 035015. [Google Scholar] [CrossRef]
- Toyama, S.; Tanaka, Y.; Shirogane, S.; Nakamura, T.; Umino, T.; Uehara, R.; Okamoto, T.; Igarashi, H. Development of Wearable Sheet-Type Shear Force Sensor and Measurement System that is Insusceptible to Temperature and Pressure. Sensors 2017, 17, 1752. [Google Scholar] [CrossRef] [PubMed]
- Lin, C.-H.; Guo, B.-Y. Investigating capacitive force sensors with 3D printed flexible structures as dielectric layers. Mater. Res. Express 2023, 10, 085302. [Google Scholar] [CrossRef]
- Chen, J.; Zhao, Y.; Lin, J.; Dai, Y.; Hu, B.; Gao, S. A Flexible Insole Gait Monitoring Technique for the Internet of Health Things. IEEE Sens. J. 2021, 21, 26397–26405. [Google Scholar] [CrossRef]
- Xie, J.; Zhao, H.; Cao, J. Gait Diagnosis of Parkinson’s Disease based on Piezoresistive and Piezoelectric Hybrid Sensors. In Proceedings of the 2022 E-Health and Bioengineering Conference (EHB), Iasi, Romania, 17–18 November 2022; pp. 1–4. [Google Scholar] [CrossRef]
- Alemayoh, T.T.; Lee, J.H.; Okamoto, S. A Neural Network-Based Lower Extremity Joint Angle Estimation from Insole Data. In Proceedings of the 2023 20th International Conference on Ubiquitous Robots (UR), Honolulu, HI, USA, 25–28 June 2023; pp. 787–791. [Google Scholar] [CrossRef]
- McGeehan, M.; Hahn, M.; Karipott, S.; Ong, K.G. A wearable shear force transducer based on color spectrum analysis. Meas. Sci. Technol. 2023, 34, 015106. [Google Scholar] [CrossRef]
- McGeehan, M.A.; Hahn, M.E.; Karipott, S.S.; Shuaib, M.; Ong, K.G. Optical-based sensing of shear strain using reflective color patterns. Sens. Actuators A Phys. 2022, 335, 113372. [Google Scholar] [CrossRef]
- McGeehan, M.A.; Karipott, S.S.; Hahn, M.E.; Morgenroth, D.C.; Ong, K.G. An Optoelectronics-Based Sensor for Measuring Multi-Axial Shear Stresses. IEEE Sens. J. 2021, 21, 25641–25648. [Google Scholar] [CrossRef]
- Ajibade, A.; Akinniyi, O.; Okoye, C. Indications and Complications of Major Limb Amputations in Kano, Nigeria. Ghana. Med. J. 2013, 47, 185–188. [Google Scholar] [PubMed]
- Pascale, B.A.; Potter, B.K. Residual Limb Complications and Management Strategies. Curr. Phys. Med. Rehabil. Rep. 2014, 2, 241–249. [Google Scholar] [CrossRef]
- Janisse, D.; Janisse, E. Pedorthic management of the diabetic foot. Prosthet. Orthot. Int. 2015, 39, 40–47. [Google Scholar] [CrossRef] [PubMed]
- Delea, S.; Buckley, C.; Hanrahan, A.; McGreal, G.; Desmond, D.; McHugh, S. Management of diabetic foot disease and amputation in the Irish health system: A qualitative study of patients’ attitudes and experiences with health services. BMC Health Serv. Res. 2015, 15, 251. [Google Scholar] [CrossRef] [PubMed]
- Dickinson, A.S.; Steer, J.W.; Worsley, P.R. Finite element analysis of the amputated lower limb: A systematic review and recommendations. Med. Eng. Phys. 2017, 43, 1–18. [Google Scholar] [CrossRef] [PubMed]
- Singh, G.; Chawla, S. Amputation in Diabetic Patients. Med. J. Armed Forces India 2006, 62, 36–39. [Google Scholar] [CrossRef] [PubMed]
- Lin, C.; Liu, J.; Sun, H. Risk factors for lower extremity amputation in patients with diabetic foot ulcers: A meta-analysis. PLoS ONE 2020, 15, e0239236. [Google Scholar] [CrossRef] [PubMed]








| Metric | Dataset (1 mm) | Dataset (0.1 mm) |
|---|---|---|
| R2 | 0.972 | 0.980 |
| RMSE | 0.285 | 0.016 |
| MAE | 0.359 | 0.081 |
| Degree of polynomial | 6 | 11 |
Disclaimer/Publisher’s Note: The statements, opinions and data contained in all publications are solely those of the individual author(s) and contributor(s) and not of MDPI and/or the editor(s). MDPI and/or the editor(s) disclaim responsibility for any injury to people or property resulting from any ideas, methods, instructions or products referred to in the content. |
© 2024 by the authors. Licensee MDPI, Basel, Switzerland. This article is an open access article distributed under the terms and conditions of the Creative Commons Attribution (CC BY) license (https://creativecommons.org/licenses/by/4.0/).
Share and Cite
Ahamed, S.J.; McGeehan, M.; Ong, K.G. An Optical Sensor for Measuring Displacement between Parallel Surfaces. Sensors 2024, 24, 3498. https://doi.org/10.3390/s24113498
Ahamed SJ, McGeehan M, Ong KG. An Optical Sensor for Measuring Displacement between Parallel Surfaces. Sensors. 2024; 24(11):3498. https://doi.org/10.3390/s24113498
Chicago/Turabian StyleAhamed, Suhana Jamil, Michael McGeehan, and Keat Ghee Ong. 2024. "An Optical Sensor for Measuring Displacement between Parallel Surfaces" Sensors 24, no. 11: 3498. https://doi.org/10.3390/s24113498
APA StyleAhamed, S. J., McGeehan, M., & Ong, K. G. (2024). An Optical Sensor for Measuring Displacement between Parallel Surfaces. Sensors, 24(11), 3498. https://doi.org/10.3390/s24113498

