Thermal Reading of Texts Buried in Historical Bookbindings
Abstract
1. Introduction
2. Thermal Reading of Buried Texts: Signal Theory
2.1. Thermography and Texts Buried in Historical Bookbinding
2.2. PT Theory
3. Samples and Experimental Setup
3.1. Samples
3.2. Experimental Setup
4. Results and Discussion
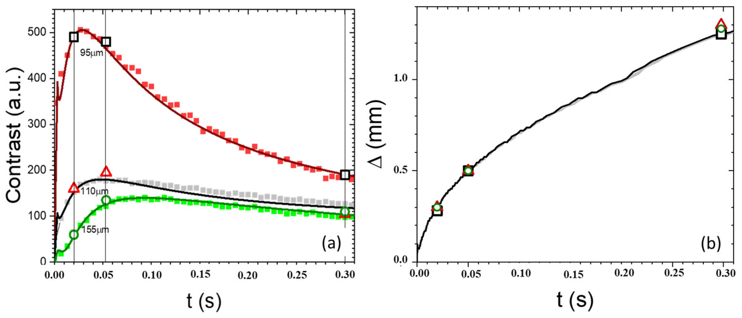
- The excellent agreement between the theoretical values and the experimental data confirms the soundness of the proposed theoretical model for the PT signal. It also supports its capability to provide reliable indications of the values of the depth of the buried ink layer and of the parameters affecting the readability of the buried texts, once the values of the optical and thermal parameters of the involved paper layers are known, as well as the parameters affecting the readability of the buried texts.
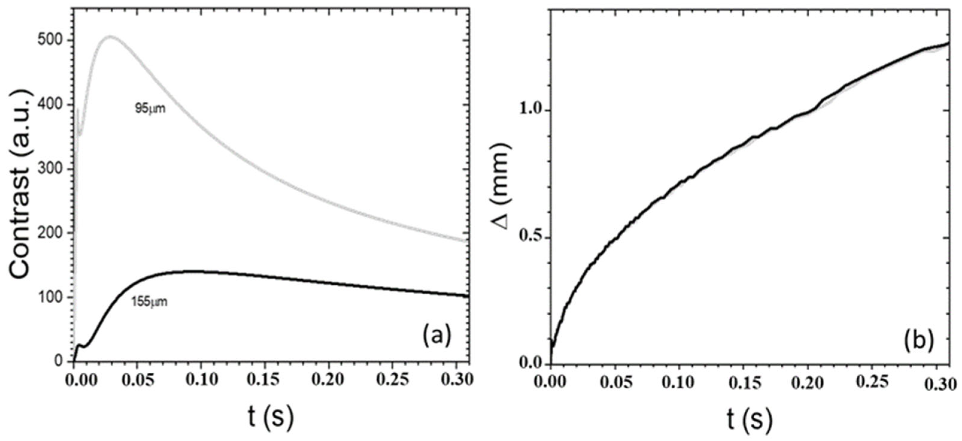
- With the increasing depth of the buried ink layer, the peak contrast value decreases, and its occurrence is shifted to longer delay times.
- The time dependence of the distortion index shows that it is related only to the delay time of the detection of a particular subsurface text, irrespective of its depth, as confirmed by the superposition of the values corresponding to texts buried at different depths of the theoretical and experimental values obtained from Figure 7, Figure 8 and Figure 9.
- For the sufficiently shallow text (95 μm deep), the best readability is obtained in the earliest thermograms obtained at the earliest delay times (Figure 7a) because of the highest achieved contrast and smallest distortion.
- For the deepest text (155 μm), the largest contrast can be obtained at longer delay times (Figure 8b,c), thus compromising the possibility of optimal readability because of the corresponding increase in distortion.
5. Conclusions
Author Contributions
Funding
Institutional Review Board Statement
Informed Consent Statement
Data Availability Statement
Acknowledgments
Conflicts of Interest
References
- Moropoulou, A.; Labropoulos, K.C.; Delegou, E.T.; Karoglou, M.; Bakolas, A. Non-destructive techniques as a tool for the protection of built cultural heritage. Constr. Build. Mater. 2013, 48, 1222–1239. [Google Scholar] [CrossRef]
- Leucci, G. Nondestructive Testing for Archaeology and Cultural Heritage: A Practical Guide and New Perspectives; Springer: Berlin/Heidelberg, Germany, 2018. [Google Scholar]
- Lehmann, E.H.; Vontobel, P.; Deschler-Erb, E.; Soares, M. Non-invasive studies of objects from cultural heritage. Nucl. Instrum. Methods Phys. Res. Sect. A Accel. Spectrometers Detect. Assoc. Equip. 2005, 542, 68–75. [Google Scholar] [CrossRef]
- Grinzato, E. IR thermography applied to the cultural heritage conservation. In Proceedings of the 18th World Conference on Nondestructive Testing, Durban, South Africa, 16–20 April 2012; Volume 16. [Google Scholar]
- Mercuri, F.; Orazi, N.; Paoloni, S.; Cicero, C.; Zammit, U. Pulsed thermography applied to the study of cultural heritage. Appl. Sci. 2017, 7, 1010. [Google Scholar] [CrossRef]
- Garrido, I.; Lagüela, S.; Sfarra, S.; Arias, P. Development of thermal principles for the automation of the thermographic monitoring of cultural heritage. Sensors 2020, 20, 3392. [Google Scholar] [CrossRef] [PubMed]
- Dritsa, V.; Orazi, N.; Yao, Y.; Paoloni, S.; Koui, M.; Sfarra, S. Thermographic imaging in cultural heritage: A short review. Sensors 2022, 22, 9076. [Google Scholar] [CrossRef] [PubMed]
- Maldague, X.P. Nondestructive Evaluation of Materials by Infrared Thermography; Springer Science & Business Media: Berlin/Heidelberg, Germany, 2012. [Google Scholar]
- Ibarra-Castanedo, C.; Maldague, X.P. Infrared thermography. In Handbook of Technical Diagnostics: Fundamentals and Application to Structures and Systems; Springer: Berlin/Heidelberg, Germany, 2013; pp. 175–220. [Google Scholar]
- Mercuri, F.; Gnoli, R.; Paoloni, S.; Orazi, N.; Zammit, U.; Cicero, C. Hidden Text Detection by Infrared Thermography. Restaurator 2013, 34, 195–211. [Google Scholar] [CrossRef]
- Caruso, G.; Paoloni, S.; Orazi, N.; Cicero, C.; Zammit, U.; Mercuri, F. Quantitative evaluations by infrared thermography in optically semi-transparent paper-based artefacts. Measurement 2019, 143, 258–266. [Google Scholar] [CrossRef]
- Caruso, G.; Mercuri, F.; Zammit, U.; Paoloni, S.; Ceccarelli, S.; Orazi, N. 3D heat flow effects in the imaging of subsurface graphical features in semi-transparent media by pulsed thermography. Measurement 2021, 185, 110111. [Google Scholar] [CrossRef]
- Broia, D.; Faraggiana di Sarzana, C.; Lucà, S. Manoscritti Palinsesti Criptensi: Lettura Digitale Sulla Banda Dell’invisibile; Facoltà di Conservazione dei Beni Culturali di Ravenna and Fotoscientifica di Parma, Università di Bologna: Bologna, Italy, 1998. [Google Scholar]
- Knox, K.T.; Easton, R.L. Recovery of Lost Writings on Historical Manuscripts with Ultraviolet Illumination. IST Report. Window Imaging 2003, 18, 1–5. [Google Scholar]
- Shiel, P.; Malte, R.; Keating, J. The ghost in the manuscript: Hyperspectral text recovery and segmentation. In Kodikologie und Paläographie im Digitalen Zeitalter—Codicology and Palaeography in the Digital Age; Schriften des Instituts für Dokumentologie und Editorik: Norderstedt, Germany, 2009; Volume 2, pp. 159–174. [Google Scholar]
- Tonazzini, A.; Salerno, E.; Mochi, M.; Bedini, L. Blind source separation techniques for detecting hidden texts and textures in document images. In Image Analysis and Recognition, Lecture Notes in Computer Science 3212, Part II; Campilho, A., Kamel, M., Eds.; Springer: Berlin, Germany, 2004; pp. 241–248. [Google Scholar]
- Salerno, E.; Tonazzini, A.; Bedini, L. Digital image analysis to enhance underwritten text in the Archimedes palimpsest. J. Doc. Anal. Recognit. 2007, 9, 79–87. [Google Scholar] [CrossRef]
- Petrucci Nardelli, F. Legatura e Scrittura: Testi Celati, Messaggi Velati, Annunci Palesi; L. S. Olschki: Firenze, Italy, 2007; pp. 1–4. [Google Scholar]
- Agati, M.L. Il Libro Manoscritto da Oriente a Occidente: Per una Codicologia Comparata; L’Erma di Bretschneider: Roma, Italy, 2009; pp. 75–80. [Google Scholar] [CrossRef]
- Mercuri, F.; Paoloni, S.; Cicero, C.; Zammit, U.; Orazi, N. Infrared emission contrast for the visualization of subsurface graphical features in artworks. Infrared Phys. Technol. 2018, 89, 223–230. [Google Scholar] [CrossRef]
- Sfarra, S.; Regi, M.; Tortora, M.; Casieri, C.; Perilli, S.; Paoletti, D. A multi-technique nondestructive approach for characterizing the state of conservation of ancient bookbindings. J. Thermal Anal. Calorim. 2018, 132, 1367–1387. [Google Scholar] [CrossRef]
- Tortora, M.; Sfarra, S.; Casieri, C. NMR relaxometry and IR thermography to study ancient cotton paper bookbinding. Appl. Sci. 2019, 9, 3406. [Google Scholar] [CrossRef]
- Duivenvoorden, J.R.; Käyhkö, A.; Kwakkel, E.; Dik, J. Hidden library: Visualizing fragments of medieval manuscripts in early-modern bookbindings with mobile macro-XRF scanner. Herit. Sci. 2017, 5, 6. [Google Scholar] [CrossRef]
- Sargan, J.D.; Lockhart, J.J.; Nelson, A.J.; Meert-Williston, D.L.; Gillespie, A. The Ghosts of Bindings Past: Micro-Computed X-Ray Tomography for the Study of Bookbinding. Digit. Philol. J. Mediev. Cult. 2022, 11, 142–173. [Google Scholar] [CrossRef]
- Ensley, J.E.; Tachau, K.H.; Walsh, S.A.; Zhang, H.; Simon, G.; Moser, L.; Sonka, M. Using computed tomography to recover hidden medieval fragments beneath early modern leather bindings, first results. Herit. Sci. 2023, 11, 82. [Google Scholar] [CrossRef]










| Disclaimer/Publisher’s Note: The statements, opinions and data contained in all publications are solely those of the individual author(s) and contributor(s) and not of MDPI and/or the editor(s). MDPI and/or the editor(s) disclaim responsibility for any injury to people or property resulting from any ideas, methods, instructions or products referred to in the content. | 
© 2024 by the authors. Licensee MDPI, Basel, Switzerland. This article is an open access article distributed under the terms and conditions of the Creative Commons Attribution (CC BY) license (https://creativecommons.org/licenses/by/4.0/).
Share and Cite
Paoloni, S.; Caruso, G.; Orazi, N.; Zammit, U.; Mercuri, F. Thermal Reading of Texts Buried in Historical Bookbindings. Sensors 2024, 24, 5493. https://doi.org/10.3390/s24175493
Paoloni S, Caruso G, Orazi N, Zammit U, Mercuri F. Thermal Reading of Texts Buried in Historical Bookbindings. Sensors. 2024; 24(17):5493. https://doi.org/10.3390/s24175493
Chicago/Turabian StylePaoloni, Stefano, Giovanni Caruso, Noemi Orazi, Ugo Zammit, and Fulvio Mercuri. 2024. "Thermal Reading of Texts Buried in Historical Bookbindings" Sensors 24, no. 17: 5493. https://doi.org/10.3390/s24175493
APA StylePaoloni, S., Caruso, G., Orazi, N., Zammit, U., & Mercuri, F. (2024). Thermal Reading of Texts Buried in Historical Bookbindings. Sensors, 24(17), 5493. https://doi.org/10.3390/s24175493
 
        





